Multi-Messenger Constraints on the Hubble Constant through Combination of Gravitational Waves, Gamma-Ray Bursts and Kilonovae from Neutron Star Mergers
Abstract
1. Introduction
2. The Hubble Constant Tension
3. Gravitational Waves as Standard Sirens
4. Inclination Constraints from the Gamma-Ray Burst
4.1. Afterglow
4.2. Superluminal Motion
5. Inclination Constraints from the Kilonova
5.1. Matter Outflows as Kilonova Engines
5.2. Constraints from Kilonova Spectro-Photometry
5.3. Constraints from Kilonova Polarimetry
6. Summary and Outlook
Author Contributions
Funding
Institutional Review Board Statement
Informed Consent Statement
Acknowledgments
Conflicts of Interest
Abbreviations
| ACT | Atacama Cosmology Telescope |
| BAO | Baryon Acoustic Oscillations |
| BBH | Binary Black Hole |
| BH | Black Hole |
| BNS | Binary Neutron Star |
| CMB | Cosmic Microwave Background |
| GRB | Gamma-ray burst |
| GTC | Gran Telescopio CANARIAS |
| GW | Gravitational Wave |
| IFU | Integral Field Unit |
| IGWN | International Gravitational-Wave Observatory Network |
| IR | Infrared |
| KN | Kilonova |
| CDM | Cold Dark Matter |
| LIGO | Laser Interferometer Gravitational-wave Observatory |
| LSST | Legacy Survey of Space and Time |
| MAAT | Mirror-slicer Array for Astronomical Transients |
| MAP | Maximum a posteriori |
| NS | Neutron Star |
| SNe | Supernovae |
| TRGB | Tip of the red giant branch |
| UV | Ultraviolet |
| VLBI | Very Long Baseline Interferometer |
| VLT | Very Large Telescope |
| VRO | Vera Rubin Observatory |
| WMAP | Wilkinson Microwave Anisotropy Probe |
| 1 | As admitted by the authors, the term was coined by Sterl Phinney and Sean Carroll |
| 2 | |
| 3 | Note that the viewing angle is measured from the jet axis whereas the inclination i is measured from the axis orthogonal to the binary’s orbital plane. Therefore, this relation between and i assumes that the jet axis is orthogonal to the orbital plane. |
| 4 | These relations are valid for frequencies (where is the self-absorption frequency, is the synchrotron break frequency and is the cooling break frequency), a condition that is satisfied from X-ray to radio wavelengths as long as the density of the circum-merger environment is not much higher than the one inferred for GW170817. |
| 5 | The polarization signal of extragalactic events as supernovae and KNe is the result of integrating over all the contributions coming from different regions of the ejecta. |
References
- Hubble, E. A relation between distance and radial velocity among extra-galactic nebulae. Proc. Nat. Acad. Sci. USA 1929, 15, 168–173. [Google Scholar] [CrossRef] [PubMed]
- Planck Collaboration. Planck 2018 results. VI. Cosmological parameters. Astron. Astrophys. 2020, 641, A6. [Google Scholar] [CrossRef]
- Riess, A.G.; Yuan, W.; Macri, L.M.; Scolnic, D.; Brout, D.; Casertano, S.; Jones, D.O.; Murakami, Y.; Breuval, L.; Brink, T.G.; et al. A Comprehensive Measurement of the Local Value of the Hubble Constant with 1 km/s/Mpc Uncertainty from the Hubble Space Telescope and the SH0ES Team. arXiv 2021, arXiv:2112.04510. [Google Scholar]
- Verde, L.; Treu, T.; Riess, A.G. Tensions between the Early and the Late Universe. Nat. Astron. 2019, 3, 891. [Google Scholar] [CrossRef]
- Schutz, B.F. Determining the Hubble Constant from Gravitational Wave Observations. Nature 1986, 323, 310–311. [Google Scholar] [CrossRef]
- Holz, D.E.; Hughes, S.A. Using gravitational-wave standard sirens. Astrophys. J. 2005, 629, 15–22. [Google Scholar] [CrossRef]
- Abbott, B.P.; Bloemen, S.; Canizares, P.; Falcke, H.; Fender, R.P.; Ghosh, S.; Groot, P.; Hinderer, T.; Hörandel, J.R.; Jonker, P.G. Multi-messenger Observations of a Binary Neutron Star Merger. Astrophys. J. Lett. 2017, 848, L12. [Google Scholar] [CrossRef]
- Aasi, J.; Abbott, B.P.; Abbott, R.; Abbott, T.; Abernathy, M.R.; Ackley, K.; Adams, C.; Adams, T.; Addesso, P.; Adhikari, R.X.; et al. Advanced LIGO. Class. Quant. Grav. 2015, 32, 074001. [Google Scholar] [CrossRef]
- Acernese, F.; Agathos, M.; Agatsuma, K.; Aisa, D.; Allemandou, N.; Allocca, A.; Amarni, J.; Astone, P.; Balestri, G.; Ballardin, G.; et al. Advanced Virgo: A second-generation interferometric gravitational wave detector. Class. Quant. Grav. 2015, 32, 024001. [Google Scholar] [CrossRef]
- Abbott, B.P.; Abbott, R.; Abbott, T.D.; Acernese, F.; Ackley, K.; Adams, C.; Adams, T.; Addesso, P.; Adhikari, R.X.; Adya, V.B.; et al. A gravitational-wave standard siren measurement of the Hubble constant. Nature 2017, 551, 85–88. [Google Scholar] [CrossRef]
- Guidorzi, C.; Margutti, R.; Brout, D.; Scolnic, D.; Fong, W.; Alexander, K.D.; Cowperthwaite, P.S.; Annis, J.; Berger, E.; Blanchard, P.K.; et al. Improved Constraints on H0 from a Combined Analysis of Gravitational-wave and Electromagnetic Emission from GW170817. Astrophys. J. Lett. 2017, 851, L36. [Google Scholar] [CrossRef]
- Hotokezaka, K.; Nakar, E.; Gottlieb, O.; Nissanke, S.; Masuda, K.; Hallinan, G.; Mooley, K.P.; Deller, A.T. A Hubble constant measurement from superluminal motion of the jet in GW170817. Nat. Astron. 2019, 3, 940–944. [Google Scholar] [CrossRef]
- Wang, H.; Giannios, D. Multimessenger parameter estimation of GW170817: From jet structure to the Hubble constant. Astrophys. J. 2021, 908, 200. [Google Scholar] [CrossRef]
- Dhawan, S.; Bulla, M.; Goobar, A.; Carracedo, A.S.; Setzer, C.N. Constraining the observer angle of the kilonova AT2017gfo associated with GW170817: Implications for the Hubble constant. Astrophys. J. 2019, 888, 67. [Google Scholar] [CrossRef]
- Coughlin, M.W.; Antier, S.; Dietrich, T.; Foley, R.J.; Heinzel, J.; Bulla, M.; Christensen, N.; Coulter, D.A.; Issa, L.; Khetan, N. Measuring the Hubble Constant with a sample of kilonovae. Nat. Commun. 2020, 11, 4129. [Google Scholar] [CrossRef] [PubMed]
- Dietrich, T.; Coughlin, M.W.; Pang, P.T.H.; Bulla, M.; Heinzel, J.; Issa, L.; Tews, I.; Antier, S. Multimessenger constraints on the neutron-star equation of state and the Hubble constant. Science 2020, 370, 1450–1453. [Google Scholar] [CrossRef]
- Pérez-García, M.A.; Izzo, L.; Barba, D.; Bulla, M.; Sagués-Carracedo, A.; Pérez, E.; Albertus, C.; Dhawan, S.; Prada, F.; Agnello, A.; et al. Hubble constant and nuclear equation of state from kilonova spectro-photometric light curves. arXiv 2022, arXiv:2204.00022. [Google Scholar]
- Macaulay, E.; Nichol, R.C.; Bacon, D.; Brout, D.; Davis, T.M.; Zhang, B.; Bassett, B.A.; Scolnic, D.; Möller, A.; D’Andrea, C.B.; et al. First cosmological results using Type Ia supernovae from the Dark Energy Survey: Measurement of the Hubble constant. Mon. Not. R. Astron. Soc. 2019, 486, 2184–2196. [Google Scholar] [CrossRef]
- Knox, L.; Millea, M. Hubble constant hunter’s guide. Phys. Rev. D 2020, 101, 043533. [Google Scholar] [CrossRef]
- Shah, P.; Lemos, P.; Lahav, O. A buyer’s guide to the Hubble constant. Astron. Astrophys. Rev. 2021, 29, 9. [Google Scholar] [CrossRef]
- Aiola, S.; Calabrese, E.; Maurin, L.; Naess, S.; Schmitt, B.L.; Abitbol, M.H.; Addison, G.E.; Ade, P.A.R.; Alonso, D.; Amiri, M.; et al. The Atacama Cosmology Telescope: DR4 maps and cosmological parameters. J. Cosmol. Astropart. Phys. 2020, 2020, 047. [Google Scholar] [CrossRef]
- Addison, G.E.; Watts, D.J.; Bennett, C.L.; Halpern, M.; Hinshaw, G.; Weiland, J.L. Elucidating ΛCDM: Impact of Baryon Acoustic Oscillation Measurements on the Hubble Constant Discrepancy. Astrophys. J. 2018, 853, 119. [Google Scholar] [CrossRef]
- Abbott, T.M.C.; Abdalla, F.B.; Annis, J.; Bechtol, K.; Blazek, J.; Benson, B.A.; Bernstein, R.A.; Bernstein, G.M.; Bertin, E.; Brooks, D.; et al. Dark Energy Survey Year 1 Results: A Precise H0 Estimate from DES Y1, BAO, and D/H Data. Mon. Not. R. Astron. Soc. 2018, 480, 3879–3888. [Google Scholar] [CrossRef]
- Freedman, W.L. Measurements of the Hubble Constant: Tensions in Perspective. Astrophys. J. 2021, 919, 16. [Google Scholar] [CrossRef]
- Vogl, C. Cosmological distances of Type II supernovae from radiative transfer modeling. Ph.D. Thesis, Munich University of Technology, Munich, Germany, 2020. [Google Scholar]
- Pesce, D.W.; Braatz, J.A.; Reid, M.J.; Riess, A.G.; Scolnic, D.; Condon, J.J.; Gao, F.; Henkel, C.; Impellizzeri, C.M.V.; Kuo, C.Y.; et al. The Megamaser Cosmology Project. XIII. Combined Hubble Constant Constraints. Astrophys. J. Lett. 2020, 891, L1. [Google Scholar] [CrossRef]
- Wong, K.C.; Suyu, S.H.; Chen, G.C.F.; Rusu, C.E.; Millon, M.; Sluse, D.; Bonvin, V.; Fassnacht, C.D.; Taubenberger, S.; Auger, M.W.; et al. H0LiCOW—XIII. A 2.4 per cent measurement of H0 from lensed quasars: 5.3σ tension between early- and late-Universe probes. Mon. Not. R. Astron. 2020, 498, 1420–1439. [Google Scholar] [CrossRef]
- Birrer, S.; Shajib, A.J.; Galan, A.; Millon, M.; Treu, T.; Agnello, A.; Auger, M.; Chen, G.C.F.; Christensen, L.; Collett, T.; et al. TDCOSMO. IV. Hierarchical time-delay cosmography—joint inference of the Hubble constant and galaxy density profiles. Astron. Astrophys. 2020, 643, A165. [Google Scholar] [CrossRef]
- Birrer, S.; Dhawan, S.; Shajib, A.J. The Hubble Constant from Strongly Lensed Supernovae with Standardizable Magnifications. Astrophys. J. 2022, 924, 2. [Google Scholar] [CrossRef]
- Einstein, A. Über Gravitationswellen. Sitzungsber. Preuss. Akad. Wiss. Berlin (Math. Phys.) 1918, 1918, 154–167. [Google Scholar]
- MacLeod, C.L.; Hogan, C.J. Precision of Hubble constant derived using black hole binary absolute distances and statistical redshift information. Phys. Rev. D 2008, 77, 043512. [Google Scholar] [CrossRef]
- Del Pozzo, W. Inference of the cosmological parameters from gravitational waves: Application to second generation interferometers. Phys. Rev. D 2012, 86, 043011. [Google Scholar] [CrossRef]
- Messenger, C.; Read, J. Measuring a cosmological distance-redshift relationship using only gravitational wave observations of binary neutron star coalescences. Phys. Rev. Lett. 2012, 108, 091101. [Google Scholar] [CrossRef] [PubMed]
- Petiteau, A.; Babak, S.; Sesana, A. Constraining the dark energy equation of state using LISA observations of spinning Massive Black Hole binaries. Astrophys. J. 2011, 732, 82. [Google Scholar] [CrossRef]
- Oguri, M. Measuring the distance-redshift relation with the cross-correlation of gravitational wave standard sirens and galaxies. Phys. Rev. D 2016, 93, 083511. [Google Scholar] [CrossRef]
- Chen, H.Y.; Fishbach, M.; Holz, D.E. A two per cent Hubble constant measurement from standard sirens within five years. Nature 2018, 562, 545–547. [Google Scholar] [CrossRef]
- Fishbach, M.; Gray, R.; Hernandez, I.M.; Qi, H.; Sur, A.; Acernese, F.; Aiello, L.; Allocca, A.; Aloy, M.A.; Amato, A.; et al. A Standard Siren Measurement of the Hubble Constant from GW170817 without the Electromagnetic Counterpart. Astrophys. J. Lett. 2019, 871, L13. [Google Scholar] [CrossRef]
- Gray, R.; Hernandez, I.M.; Qi, H.; Sur, A.; Brady, P.R.; Chen, H.Y.; Farr, W.M.; Fishbach, M.; Gair, J.R.; Ghosh, A.; et al. Cosmological inference using gravitational wave standard sirens: A mock data analysis. Phys. Rev. D 2020, 101, 122001. [Google Scholar] [CrossRef]
- Chatterjee, D.; Holder, G.; Holz, D.E.; Perkins, S.; Yagi, K.; Yunes, N. Cosmology with Love: Measuring the Hubble constant using neutron star universal relations. Phys. Rev. D 2021, 104, 083528. [Google Scholar] [CrossRef]
- Ghosh, T.; Biswas, B.; Bose, S. Simultaneous Inference of Neutron Star Equation of State and Hubble Constant with a Population of Merging Neutron Stars. arXiv 2022, arXiv:2203.11756. [Google Scholar]
- Dalal, N.; Holz, D.E.; Hughes, S.A.; Jain, B. Short grb and binary black hole standard sirens as a probe of dark energy. Phys. Rev. D 2006, 74, 063006. [Google Scholar] [CrossRef]
- Nissanke, S.; Holz, D.E.; Hughes, S.A.; Dalal, N.; Sievers, J.L. Exploring short gamma-ray bursts as gravitational-wave standard sirens. Astrophys. J. 2010, 725, 496–514. [Google Scholar] [CrossRef]
- Nissanke, S.; Holz, D.E.; Dalal, N.; Hughes, S.A.; Sievers, J.L.; Hirata, C.M. Determining the Hubble constant from gravitational wave observations of merging compact binaries. arXiv 2013, arXiv:1307.2638. [Google Scholar]
- Feeney, S.M.; Peiris, H.V.; Williamson, A.R.; Nissanke, S.M.; Mortlock, D.J.; Alsing, J.; Scolnic, D. Prospects for resolving the Hubble constant tension with standard sirens. Phys. Rev. Lett. 2019, 122, 061105. [Google Scholar] [CrossRef] [PubMed]
- Mortlock, D.J.; Feeney, S.M.; Peiris, H.V.; Williamson, A.R.; Nissanke, S.M. Unbiased Hubble constant estimation from binary neutron star mergers. Phys. Rev. D 2019, 100, 103523. [Google Scholar] [CrossRef]
- Feeney, S.M.; Peiris, H.V.; Nissanke, S.M.; Mortlock, D.J. Prospects for Measuring the Hubble Constant with Neutron-Star–Black-Hole Mergers. Phys. Rev. Lett. 2021, 126, 171102. [Google Scholar] [CrossRef]
- Trott, E.; Huterer, D. Challenges for the statistical gravitational-wave method to measure the Hubble constant. arXiv 2021, arXiv:2112.00241. [Google Scholar]
- Abbott, B.P.; Abbott, R.; Abbott, T.D.; Acernese, F.; Ackley, K.; Adams, C.; Adams, T.; Addesso, P.; Adhikari, R.X.; Adya, V.B.; et al. Gravitational Waves and Gamma-rays from a Binary Neutron Star Merger: GW170817 and GRB 170817A. Astrophys. J. Lett. 2017, 848, L13. [Google Scholar] [CrossRef]
- Goldstein, A.; Veres, P.; Burns, E.; Briggs, M.S.; Hamburg, R.; Kocevski, D.; Wilson-Hodge, C.A.; Preece, R.D.; Poolakkil, S.; Roberts, O.J.; et al. An Ordinary Short Gamma-Ray Burst with Extraordinary Implications: Fermi-GBM Detection of GRB 170817A. Astrophys. J. Lett. 2017, 848, L14. [Google Scholar] [CrossRef]
- Savchenko, V.; Ferrigno, C.; Kuulkers, E.; Bazzano, A.; Bozzo, E.; Brandt, S.; Chenevez, J.; Courvoisier, T.J. -L.; Diehl, R.; Domingo, A.; et al. INTEGRAL Detection of the First Prompt Gamma-Ray Signal Coincident with the Gravitational-wave Event GW170817. Astrophys. J. Lett. 2017, 848, L15. [Google Scholar] [CrossRef]
- Coulter, D.A.; Foley, R.J.; Kilpatrick, C.D.; Drout, M.R.; Piro, A.L.; Shappee, B.J.; Siebert, M.R.; Simon, J.D.; Ulloa, N.; Kasen, D.; et al. Swope Supernova Survey 2017a (SSS17a), the Optical Counterpart to a Gravitational Wave Source. Science 2017, 358, 1556. [Google Scholar] [CrossRef]
- Soares-Santos, M.; Holz, D.E.; Annis, J.; Chornock, R.; Herner, K.; Berger, E.; Brout, D.; Chen, H.-Y.; Kessler, R.; Sako, M.; et al. The Electromagnetic Counterpart of the Binary Neutron Star Merger LIGO/Virgo GW170817. I. Discovery of the Optical Counterpart Using the Dark Energy Camera. Astrophys. J. Lett. 2017, 848, L16. [Google Scholar] [CrossRef]
- Valenti, S.; Sand, D.J.; Yang, S.; Cappellaro, E.; Tartaglia, L.; Corsi, A.; Jha, S.W.; Reichart, D.E.; Haislip, J.; Kouprianov, V. The discovery of the electromagnetic counterpart of GW170817: Kilonova AT 2017gfo/DLT17ck. Astrophys. J. Lett. 2017, 848, L24. [Google Scholar] [CrossRef]
- Arcavi, I.; Hosseinzadeh, G.; Howell, D.A.; McCully, C.; Poznanski, D.; Kasen, D.; Barnes, J.; Zaltzman, M.; Vasylyev, S.; Maoz, D.; et al. Optical emission from a kilonova following a gravitational-wave-detected neutron-star merger. Nature 2017, 551, 64. [Google Scholar] [CrossRef]
- Tanvir, N.R.; Levan, A.J.; González-Fernández, C.; Korobkin, O.; Mandel, I.; Rosswog, S.; Hjorth, J.; D’Avanzo, P.; Fruchter, A.S.; Fryer, C.L.; et al. The Emergence of a Lanthanide-Rich Kilonova Following the Merger of Two Neutron Stars. Astrophys. J. Lett. 2017, 848, L27. [Google Scholar] [CrossRef]
- Lipunov, V.M.; Gorbovskoy, E.; Kornilov, V.G.; Tyurina, N.; Balanutsa, P.; Kuznetsov, A.; Vlasenko, D.; Kuvshinov, D.; Gorbunov, I.; Buckley, D.A.H.; et al. MASTER Optical Detection of the First LIGO/Virgo Neutron Star Binary Merger GW170817. Astrophys. J. Lett. 2017, 850, L1. [Google Scholar] [CrossRef]
- Howlett, C.; Davis, T.M. Standard siren speeds: Improving velocities in gravitational-wave measurements of H0. Mon. Not. Roy. Astron. Soc. 2020, 492, 3803–3815. [Google Scholar] [CrossRef]
- Nicolaou, C.; Lahav, O.; Lemos, P.; Hartley, W.; Braden, J. The Impact of Peculiar Velocities on the Estimation of the Hubble Constant from Gravitational Wave Standard Sirens. Mon. Not. Roy. Astron. Soc. 2020, 495, 90–97. [Google Scholar] [CrossRef]
- Mukherjee, S.; Lavaux, G.; Bouchet, F.R.; Jasche, J.; Wandelt, B.D.; Nissanke, S.M.; Leclercq, F.; Hotokezaka, K. Velocity correction for Hubble constant measurements from standard sirens. Astron. Astrophys. 2021, 646, A65. [Google Scholar] [CrossRef]
- Petrov, P.; Singer, L.P.; Coughlin, M.W.; Kumar, V.; Almualla, M.; Anand, S.; Bulla, M.; Dietrich, T.; Foucart, F.; Guessoum, N. Data-driven Expectations for Electromagnetic Counterpart Searches Based on LIGO/Virgo Public Alerts. Astrophys. J. 2022, 924, 54. [Google Scholar] [CrossRef]
- Sathyaprakash, B.S.; Schutz, B.F. Physics, Astrophysics and Cosmology with Gravitational Waves. Living Rev. Rel. 2009, 12, 2. [Google Scholar] [CrossRef]
- Chen, H.Y.; Vitale, S.; Narayan, R. Viewing angle of binary neutron star mergers. Phys. Rev. X 2019, 9, 031028. [Google Scholar] [CrossRef]
- Blinnikov, S.I.; Novikov, I.D.; Perevodchikova, T.V.; Polnarev, A.G. Exploding Neutron Stars in Close Binaries. Sov. Astron. Lett. 1984, 10, 177–179. [Google Scholar]
- Goodman, J. Are gamma-ray bursts optically thick? Astrophys. J. Lett. 1986, 308, L47–L50. [Google Scholar] [CrossRef]
- Paczynski, B. Gamma-ray bursters at cosmological distances. Astrophys. J. Lett. 1986, 308, L43–L46. [Google Scholar] [CrossRef]
- Eichler, D.; Livio, M.; Piran, T.; Schramm, D.N. Nucleosynthesis, Neutrino Bursts and Gamma-Rays from Coalescing Neutron Stars. Nature 1989, 340, 126–128. [Google Scholar] [CrossRef]
- Alexander, K.D.; Berger, E.; Fong, W.; Williams, P.K.G.; Guidorzi, C.; Margutti, R.; Metzger, B.D.; Annis, J.; Blanchard, P.K.; Brout, D.; et al. The Electromagnetic Counterpart of the Binary Neutron Star Merger LIGO/VIRGO GW170817. VI. Radio Constraints on a Relativistic Jet and Predictions for Late-Time Emission from the Kilonova Ejecta. Astrophys. J. Lett. 2017, 848, L21. [Google Scholar] [CrossRef]
- Haggard, D.; Nynka, M.; Ruan, J.J.; Kalogera, V.; Bradley Cenko, S.; Evans, P.; Kennea, J.A. A Deep Chandra X-ray Study of Neutron Star Coalescence GW170817. Astrophys. J. Lett. 2017, 848, L25. [Google Scholar] [CrossRef]
- Hallinan, G.; Corsi, A.; Mooley, K.P.; Hotokezaka, K.; Nakar, E.; Kasliwal, M.M.; Kaplan, D.L.; Frail, D.A.; Myers, S.T.; Murphy, T.; et al. A Radio Counterpart to a Neutron Star Merger. Science 2017, 358, 1579. [Google Scholar] [CrossRef]
- Margutti, R.; Berger, E.; Fong, W.; Guidorzi, C.; Alexander, K.D.; Metzger, B.D.; Blanchard, P.K.; Cowperthwaite, P.S.; Chornock, R.; Eftekhari, T.; et al. The Electromagnetic Counterpart of the Binary Neutron Star Merger LIGO/VIRGO GW170817. V. Rising X-ray Emission from an Off-Axis Jet. Astrophys. J. Lett. 2017, 848, L20. [Google Scholar] [CrossRef]
- Troja, E.; Piro, L.; van Eerten, H.; Wollaeger, R.T.; Im, M.; Fox, O.D.; Butler, N.R.; Cenko, S.B.; Sakamoto, T.; Fryer, C.L.; et al. The X-ray counterpart to the gravitational wave event GW 170817. Nature 2017, 551, 71–74. [Google Scholar] [CrossRef]
- Piran, T. The physics of gamma-ray bursts. Rev. Mod. Phys. 2004, 76, 1143–1210. [Google Scholar] [CrossRef]
- Meszaros, P. Gamma-Ray Bursts. Rept. Prog. Phys. 2006, 69, 2259–2322. [Google Scholar] [CrossRef]
- Nakar, E. Short-Hard Gamma-Ray Bursts. Phys. Rept. 2007, 442, 166–236. [Google Scholar] [CrossRef]
- Gehrels, N.; Ramirez-Ruiz, E.; Fox, D.B. Gamma-Ray Bursts in the Swift Era. Ann. Rev. Astron. Astrophys. 2009, 47, 567–617. [Google Scholar] [CrossRef]
- Berger, E. Short-Duration Gamma-Ray Bursts. Ann. Rev. Astron. Astrophys. 2014, 52, 43–105. [Google Scholar] [CrossRef]
- Kumar, P.; Zhang, B. The physics of gamma-ray bursts \& relativistic jets. Phys. Rept. 2014, 561, 1–109. [Google Scholar] [CrossRef]
- Granot, J.; Panaitescu, A.; Kumar, P.; Woosley, S.E. Off-axis afterglow emission from jetted gamma-ray bursts. Astrophys. J. Lett. 2002, 570, L61–L64. [Google Scholar] [CrossRef]
- Nakar, E.; Piran, T. GRBs light curves—Another clue on the inner engine. Astrophys. J. Lett. 2002, 572, L139–L142. [Google Scholar] [CrossRef]
- Gottlieb, O.; Nakar, E.; Piran, T. Detectability of neutron star merger afterglows. Mon. Not. Roy. Astron. Soc. 2019, 488, 2405–2411. [Google Scholar] [CrossRef]
- Lyman, J.D.; Lamb, G.P.; Levan, A.J.; Mandel, I.; Tanvir, N.R.; Kobayashi, S.; Gompertz, B.; Hjorth, J.; Fruchter, A.S.; Kangas, T.; et al. The optical afterglow of the short gamma-ray burst associated with GW170817. Nat. Astron. 2018, 2, 751–754. [Google Scholar] [CrossRef]
- Lazzati, D.; Perna, R.; Morsony, B.J.; López-Cámara, D.; Cantiello, M.; Ciolfi, R.; Giacomazzo, B.; Workman, J.C. Late time afterglow observations reveal a collimated relativistic jet in the ejecta of the binary neutron star merger GW170817. Phys. Rev. Lett. 2018, 120, 241103. [Google Scholar] [CrossRef] [PubMed]
- Hajela, A.; Margutti, R.; Alexander, K.D.; Kathirgamaraju, A.; Baldeschi, A.; Guidorzi, C.; Giannios, D.; Fong, W.; Wu, Y.; MacFadyen, A.; et al. Two Years of Nonthermal Emission from the Binary Neutron Star Merger GW170817: Rapid Fading of the Jet Afterglow and First Constraints on the Kilonova Fastest Ejecta. Astrophys. J. Lett. 2019, 886, L17. [Google Scholar] [CrossRef]
- Lamb, G.P.; Lyman, J.D.; Levan, A.J.; Tanvir, N.R.; Kangas, T.; Fruchter, A.S.; Gompertz, B.; Hjorth, J.; Mandel, I.; Oates, S.R.; et al. The optical afterglow of GW170817 at one year post-merger. Astrophys. J. Lett. 2019, 870, L15. [Google Scholar] [CrossRef]
- Troja, E.; van Eerten, H.; Ryan, G.; Ricci, R.; Burgess, J.M.; Wieringa, M.H.; Piro, L.; Cenko, S.B.; Sakamoto, T. A year in the life of GW 170817: The rise and fall of a structured jet from a binary neutron star merger. Mon. Not. Roy. Astron. Soc. 2019, 489, 1919–1926. [Google Scholar] [CrossRef]
- Wu, Y.; MacFadyen, A. GW170817 Afterglow Reveals that Short Gamma-Ray Bursts are Neutron Star Mergers. Astrophys. J. Lett. 2019, 880, L23. [Google Scholar] [CrossRef]
- Ryan, G.; van Eerten, H.; Piro, L.; Troja, E. Gamma-Ray Burst Afterglows in the Multimessenger Era: Numerical Models and Closure Relations. Astrophys. J. 2020, 896, 166. [Google Scholar] [CrossRef]
- van Eerten, H.; Zhang, W.; MacFadyen, A. Off-Axis Gamma-Ray Burst Afterglow Modeling Based On A Two-Dimensional Axisymmetric Hydrodynamics Simulation. Astrophys. J. 2010, 722, 235–247. [Google Scholar] [CrossRef]
- van Eerten, H.J.; MacFadyen, A.I. Observational implications of gamma-ray burst afterglow jet simulations and numerical light curve calculations. Astrophys. J. 2012, 751, 155. [Google Scholar] [CrossRef]
- Takahashi, K.; Ioka, K. Inverse reconstruction of jet structure from off-axis gamma-ray burst afterglows. Mon. Not. Roy. Astron. Soc. 2020, 497, 1217–1235. [Google Scholar] [CrossRef]
- Beniamini, P.; Granot, J.; Gill, R. Afterglow light curves from misaligned structured jets. Mon. Not. Roy. Astron. Soc. 2020, 493, 3521–3534. [Google Scholar] [CrossRef]
- Nakar, E.; Piran, T. Afterglow constraints on the viewing angle of binary neutron star mergers and determination of the Hubble constant. Astrophys. J. 2021, 909, 114. [Google Scholar] [CrossRef]
- Lamb, G.P.; Fernández, J.J.; Hayes, F.; Kong, A.K.H.; Lin, E.T.; Tanvir, N.R.; Hendry, M.; Heng, I.S.; Saha, S.; Veitch, J. Inclination Estimates from Off-Axis GRB Afterglow Modelling. Universe 2021, 7, 329. [Google Scholar] [CrossRef]
- Nativi, L.; Lamb, G.P.; Rosswog, S.; Lundman, C.; Kowal, G. Are interactions with neutron star merger winds shaping the jets? Mon. Not. Roy. Astron. Soc. 2021, 509, 903–913. [Google Scholar] [CrossRef]
- Mooley, K.P.; Deller, A.T.; Gottlieb, O.; Nakar, E.; Hallinan, G.; Bourke, S.; Frail, D.A.; Horesh, A.; Corsi, A.; Hotokezaka, K. Superluminal motion of a relativistic jet in the neutron-star merger GW170817. Nature 2018, 561, 355–359. [Google Scholar] [CrossRef] [PubMed]
- Ghirlanda, G.; Salafia, O.S.; Paragi, Z.; Giroletti, M.; Yang, J.; Marcote, B.; Blanchard, J.; Agudo, I.; An, T.; Bernardini, M.G.; et al. Compact radio emission indicates a structured jet was produced by a binary neutron star merger. Science 2019, 363, 968. [Google Scholar] [CrossRef] [PubMed]
- Rees, M.J. Appearance of Relativistically Expanding Radio Sources. Nature 1966, 211, 468–470. [Google Scholar] [CrossRef]
- Sari, R. Linear polarization and proper motion in the afterglow of beamed grbs. Astrophys. J. Lett. 1999, 524, L43–L46. [Google Scholar] [CrossRef]
- Mastrogiovanni, S.; Duque, R.; Chassande-Mottin, E.; Daigne, F.; Mochkovitch, R. The potential role of binary neutron star merger afterglows in multimessenger cosmology. Astron. Astrophys. 2021, 652, A1. [Google Scholar] [CrossRef]
- Metzger, B.D. Kilonovae. Living Rev. Rel. 2020, 23, 1. [Google Scholar] [CrossRef]
- Nakar, E. The electromagnetic counterparts of compact binary mergers. Phys. Rept. 2020, 886, 1–84. [Google Scholar] [CrossRef]
- Hotokezaka, K.; Kiuchi, K.; Kyutoku, K.; Okawa, H.; Sekiguchi, Y.I.; Shibata, M.; Taniguchi, K. Mass ejection from the merger of binary neutron stars. Phys. Rev. D 2013, 87, 024001. [Google Scholar] [CrossRef]
- Sekiguchi, Y.; Kiuchi, K.; Kyutoku, K.; Shibata, M. Dynamical mass ejection from binary neutron star mergers: Radiation-hydrodynamics study in general relativity. Phys. Rev. D 2015, 91, 064059. [Google Scholar] [CrossRef]
- Dietrich, T.; Ujevic, M. Modeling dynamical ejecta from binary neutron star mergers and implications for electromagnetic counterparts. Class. Quant. Grav. 2017, 34, 105014. [Google Scholar] [CrossRef]
- Radice, D.; Perego, A.; Hotokezaka, K.; Fromm, S.A.; Bernuzzi, S.; Roberts, L.F. Binary Neutron Star Mergers: Mass Ejection, Electromagnetic Counterparts and Nucleosynthesis. Astrophys. J. 2018, 869, 130. [Google Scholar] [CrossRef]
- Krüger, C.J.; Foucart, F. Estimates for Disk and Ejecta Masses Produced in Compact Binary Mergers. Phys. Rev. D 2020, 101, 103002. [Google Scholar] [CrossRef]
- Most, E.R.; Papenfort, L.J.; Tootle, S.; Rezzolla, L. Fast ejecta as a potential way to distinguish black holes from neutron stars in high-mass gravitational-wave events. Astrophys. J. 2021, 912, 80. [Google Scholar] [CrossRef]
- Nedora, V.; Radice, D.; Bernuzzi, S.; Perego, A.; Daszuta, B.; Endrizzi, A.; Prakash, A.; Schianchi, F. Dynamical ejecta synchrotron emission as a possible contributor to the changing behaviour of GRB170817A afterglow. Mon. Not. Roy. Astron. Soc. 2021, 506, 5908–5915. [Google Scholar] [CrossRef]
- Fernández, R.; Kasen, D.; Metzger, B.D.; Quataert, E. Outflows from accretion discs formed in neutron star mergers: Effect of black hole spin. Mon. Not. Roy. Astron. Soc. 2015, 446, 750–758. [Google Scholar] [CrossRef]
- Siegel, D.M.; Metzger, B.D. Three-Dimensional General-Relativistic Magnetohydrodynamic Simulations of Remnant Accretion Disks from Neutron Star Mergers: Outflows and r-Process Nucleosynthesis. Phys. Rev. Lett. 2017, 119, 231102. [Google Scholar] [CrossRef]
- Fernández, R.; Tchekhovskoy, A.; Quataert, E.; Foucart, F.; Kasen, D. Long-term GRMHD simulations of neutron star merger accretion discs: Implications for electromagnetic counterparts. Mon. Not. Roy. Astron. Soc. 2019, 482, 3373–3393. [Google Scholar] [CrossRef]
- Just, O.; Bauswein, A.; Pulpillo, R.A.; Goriely, S.; Janka, H.T. Comprehensive nucleosynthesis analysis for ejecta of compact binary mergers. Mon. Not. Roy. Astron. Soc. 2015, 448, 541–567. [Google Scholar] [CrossRef]
- Radice, D.; Perego, A.; Hotokezaka, K.; Bernuzzi, S.; Fromm, S.A.; Roberts, L.F. Viscous-Dynamical Ejecta from Binary Neutron Star Merger. Astrophys. J. Lett. 2018, 869, L35. [Google Scholar] [CrossRef]
- Shibata, M.; Hotokezaka, K. Merger and Mass Ejection of Neutron-Star Binaries. Ann. Rev. Nucl. Part. Sci. 2019, 69, 41–64. [Google Scholar] [CrossRef]
- Radice, D.; Perego, A.; Bernuzzi, S.; Zhang, B. Long-lived Remnants from Binary Neutron Star Mergers. Mon. Not. Roy. Astron. Soc. 2018, 481, 3670–3682. [Google Scholar] [CrossRef]
- Siegel, D.M.; Ciolfi, R. Electromagnetic emission from long-lived binary neutron star merger remnants I: Formulation of the problem. Astrophys. J. 2016, 819, 14. [Google Scholar] [CrossRef]
- Siegel, D.M.; Ciolfi, R. Electromagnetic emission from long-lived binary neutron star merger remnants II: Lightcurves and spectra. Astrophys. J. 2016, 819, 15. [Google Scholar] [CrossRef]
- Nedora, V.; Bernuzzi, S.; Radice, D.; Perego, A.; Endrizzi, A.; Ortiz, N. Spiral-wave wind for the blue kilonova. Astrophys. J. Lett. 2019, 886, L30. [Google Scholar] [CrossRef]
- Rosswog, S.; Liebendoerfer, M.; Thielemann, F.K.; Davies, M.B.; Benz, W.; Piran, T. Mass ejection in neutron star mergers. Astron. Astrophys. 1999, 341, 499–526. [Google Scholar]
- Freiburghaus, C.; Rosswog, S.; Thielemann, F.K. R-Process in Neutron Star Mergers. Astrophys. J. Lett. 1999, 525, L121–L124. [Google Scholar] [CrossRef]
- Kasen, D.; Badnell, N.R.; Barnes, J. Opacities and Spectra of the r-process Ejecta from Neutron Star Mergers. Astrophys. J. 2013, 774, 25. [Google Scholar] [CrossRef]
- Tanaka, M.; Hotokezaka, K. Radiative Transfer Simulations of Neutron Star Merger Ejecta. Astrophys. J. 2013, 775, 113. [Google Scholar] [CrossRef]
- Barnes, J.; Kasen, D. Effect of a High Opacity on the Light Curves of Radioactively Powered Transients from Compact Object Mergers. Astrophys. J. 2013, 775, 18. [Google Scholar] [CrossRef]
- Metzger, B.D.; Fernández, R. Red or blue? A potential kilonova imprint of the delay until black hole formation following a neutron star merger. Mon. Not. Roy. Astron. Soc. 2014, 441, 3444–3453. [Google Scholar] [CrossRef]
- Villar, V.A.; Guillochon, J.; Berger, E.; Metzger, B.D.; Cowperthwaite, P.S.; Nicholl, M.; Alexander, K.D.; Blanchard, P.K.; Chornock, R.; Eftekhari, T.; et al. The Combined Ultraviolet, Optical, and Near-Infrared Light Curves of the Kilonova Associated with the Binary Neutron Star Merger GW170817: Unified Data Set, Analytic Models, and Physical Implications. Astrophys. J. Lett. 2017, 851, L21. [Google Scholar] [CrossRef]
- Nicholl, M.; Margalit, B.; Schmidt, P.; Smith, G.P.; Ridley, E.J.; Nuttall, J. Tight multimessenger constraints on the neutron star equation of state from GW170817 and a forward model for kilonova light-curve synthesis. Mon. Not. Roy. Astron. Soc. 2021, 505, 3016–3032. [Google Scholar] [CrossRef]
- Kasen, D.; Fernandez, R.; Metzger, B. Kilonova light curves from the disc wind outflows of compact object mergers. Mon. Not. Roy. Astron. Soc. 2015, 450, 1777–1786. [Google Scholar] [CrossRef]
- Wollaeger, R.T.; Korobkin, O.; Fontes, C.J.; Rosswog, S.K.; Even, W.P.; Fryer, C.L.; Sollerman, J.; Hungerford, A.L.; van Rossum, D.R.; Wollaber, A.B. Impact of ejecta morphology and composition on the electromagnetic signatures of neutron star mergers. Mon. Not. Roy. Astron. Soc. 2018, 478, 3298–3334. [Google Scholar] [CrossRef]
- Bulla, M. POSSIS: Predicting spectra, light curves and polarization for multi-dimensional models of supernovae and kilonovae. Mon. Not. Roy. Astron. Soc. 2019, 489, 5037–5045. [Google Scholar] [CrossRef]
- Darbha, S.; Kasen, D. Inclination Dependence of Kilonova Light Curves from Globally Aspherical Geometries. Astrophys. J. 2020, 897, 150. [Google Scholar] [CrossRef]
- Kawaguchi, K.; Shibata, M.; Tanaka, M. Diversity of Kilonova Light Curves. Astrophys. J. 2020, 889, 171. [Google Scholar] [CrossRef]
- Korobkin, O.; Wollaeger, R.T.; Fryer, C.L.; Hungerford, A.L.; Rosswog, S.; Fontes, C.J.; Mumpower, M.R.; Chase, E.A.; Even, W.P.; Miller, J.; et al. Axisymmetric Radiative Transfer Models of Kilonovae. Astrophys. J. 2021, 910, 116. [Google Scholar] [CrossRef]
- Klion, H.; Duffell, P.C.; Kasen, D.; Quataert, E. The effect of jet–ejecta interaction on the viewing angle dependence of kilonova light curves. Mon. Not. Roy. Astron. Soc. 2021, 502, 865–875. [Google Scholar] [CrossRef]
- Ascenzi, S.; Coughlin, M.W.; Dietrich, T.; Foley, R.J.; Ramirez-Ruiz, E.; Piranomonte, S.; Mockler, B.; Murguia-Berthier, A.; Fryer, C.L.; Lloyd-Ronning, N.M.; et al. A luminosity distribution for kilonovae based on short gamma-ray burst afterglows. Mon. Not. Roy. Astron. Soc. 2019, 486, 672–690. [Google Scholar] [CrossRef]
- Fong, W.; Margutti, R.; Chornock, R.; Berger, E.; Shappee, B.J.; Levan, A.J.; Tanvir, N.R.; Smith, N.; Milne, P.A.; Laskar, T.; et al. The Afterglow and Early-Type Host Galaxy of the Short GRB 150101B at z= 0.1343. Astrophys. J. 2016, 833, 151. [Google Scholar] [CrossRef]
- Fox, D.B.; Frail, D.A.; Price, P.A.; Kulkarni, S.R.; Berger, E.; Piran, T.; Soderberg, A.M.; Cenko, S.B.; Cameron, P.B.; Gal-Yam, A.; et al. The afterglow of grb050709 and the nature of the short-hard gamma-ray bursts. Nature 2005, 437, 845–850. [Google Scholar] [CrossRef]
- Kasliwal, M.M.; Korobkin, O.; Lau, R.M.; Wollaeger, R.; Fryer, C.L. Infrared emission from kilonovae: The case of the nearby short hard burst GRB 160821B. Astrophys. J. Lett. 2017, 843, L34. [Google Scholar] [CrossRef]
- Zhang, B.; Zhang, B.B.; Liang, E.W.; Gehrels, N.; Burrows, D.N.; Meszaros, P. Making a Short Gamma-Ray Burst from a Long one: Implications for the Nature of GRB 060614. Astrophys. J. Lett. 2007, 655, L25–L28. [Google Scholar] [CrossRef]
- Coughlin, M.W.; Dietrich, T.; Heinzel, J.; Khetan, N.; Antier, S.; Bulla, M.; Christensen, N.; Coulter, D.A.; Foley, R.J. Standardizing kilonovae and their use as standard candles to measure the Hubble constant. Phys. Rev. Res. 2020, 2, 022006. [Google Scholar] [CrossRef]
- Kasen, D.; Metzger, B.; Barnes, J.; Quataert, E.; Ramirez-Ruiz, E. Origin of the heavy elements in binary neutron-star mergers from a gravitational-wave event. Nature 2017, 551, 80–84. [Google Scholar] [CrossRef]
- Prada, F.; Content, R.; Goobar, A.; Izzo, L.; Pérez, E.; Agnello, A.; del Burgo, C.; Dhillon, V.; Diego, J.M.; Galbany, L.; et al. White Paper on MAAT@GTC. arXiv 2020, arXiv:2007.01603. [Google Scholar]
- Smartt, S.J.; Chen, T.-W.; Jerkstrand, A.; Coughlin, M.; Kankare, E.; Sim, S.A.; Fraser, M.; Inserra, C.; Maguire, K.; Chambers, K.C.; et al. A kilonova as the electromagnetic counterpart to a gravitational-wave source. Nature 2017, 551, 75–79. [Google Scholar] [CrossRef] [PubMed]
- Pian, E.; D’Avanzo, P.; Benetti, S.; Branchesi, M.; Brocato, E.; Campana, S.; Cappellaro, E.; Covino, S.; D’Elia, V.; Fynbo, J.P.U.; et al. Spectroscopic identification of r-process nucleosynthesis in a double neutron star merger. Nature 2017, 551, 67–70. [Google Scholar] [CrossRef] [PubMed]
- Doctor, Z. Thunder and Lightning: Using Neutron-Star Mergers as Simultaneous Standard Candles and Sirens to Measure Cosmological Parameters. Astrophys. J. Lett. 2020, 892, L16. [Google Scholar] [CrossRef]
- Heinzel, J.; Coughlin, M.W.; Dietrich, T.; Bulla, M.; Antier, S.; Christensen, N.; Coulter, D.A.; Foley, R.J.; Issa, L.; Khetan, N. Comparing inclination dependent analyses of kilonova transients. Mon. Not. Roy. Astron. Soc. 2021, 502, 3057–3065. [Google Scholar] [CrossRef]
- Rosswog, S.; Feindt, U.; Korobkin, O.; Wu, M.R.; Sollerman, J.; Goobar, A.; Martinez-Pinedo, G. Detectability of compact binary merger macronovae. Class. Quant. Grav. 2017, 34, 104001. [Google Scholar] [CrossRef]
- Barnes, J.; Zhu, Y.L.; Lund, K.A.; Sprouse, T.M.; Vassh, N.; McLaughlin, G.C.; Mumpower, M.R.; Surman, R. Kilonovae Across the Nuclear Physics Landscape: The Impact of Nuclear Physics Uncertainties on r-process-powered Emission. Astrophys. J. 2021, 918, 44. [Google Scholar] [CrossRef]
- Tanaka, M.; Kato, D.; Gaigalas, G.; Kawaguchi, K. Systematic Opacity Calculations for Kilonovae. Mon. Not. Roy. Astron. Soc. 2020, 496, 1369–1392. [Google Scholar] [CrossRef]
- Banerjee, S.; Tanaka, M.; Kato, D.; Gaigalas, G.; Kawaguchi, K.; Domoto, N. Opacity of the highly ionized lanthanides and the effect on the early kilonova. arXiv 2022, arXiv:2204.06861. [Google Scholar]
- Wang, L.; Wheeler, J.C. Spectropolarimetry of Supernovae. Ann. Rev. Astron. Astrophys. 2008, 46, 433–474. [Google Scholar] [CrossRef]
- Jeffery, D.J. Analysis of SN 1987A Polarimetry. Astrophys. J. 1991, 375, 264. [Google Scholar] [CrossRef]
- Hoflich, P.; Wheeler, J.C.; Hines, D.C.; Trammell, S.R. Analysis of the polarization and flux spectra of SN1993J. Astrophys. J. 1996, 459, 307. [Google Scholar] [CrossRef][Green Version]
- Kasen, D.; Nugent, P.; Wang, L.; Howell, D.A.; Wheeler, J.C.; Hoeflich, P.; Baade, D.; Baron, E.; Hauschildt, P.H. Analysis of the flux and polarization spectra of the Type Ia supernova SN 2001el: Exploring the geometry of the high-velocity ejecta. Astrophys. J. 2003, 593, 788–808. [Google Scholar] [CrossRef]
- Bulla, M.; Covino, S.; Kyutoku, K.; Tanaka, M.; Maund, J.R.; Patat, F.; Toma, K.; Wiersema, K.; Bruten, J.; Jin, Z.P.; et al. The origin of polarization in kilonovae and the case of the gravitational-wave counterpart AT 2017gfo. Nat. Astron. 2019, 3, 99–106. [Google Scholar] [CrossRef]
- Bulla, M.; Covino, S.; Patat, F.; Kyutoku, K.; Maund, J.R.; Tanaka, M.; Toma, K.; Wiersema, K.; D’Avanzo, P.; Higgins, A.B.; et al. Shedding Light on the Geometry of Kilonovae. Messenger 2018, 174, 34–36. [Google Scholar] [CrossRef]
- Covino, S.; Wiersema, K.; Fan, Y.Z.; Toma, K.; Higgins, A.B.; Melandri, A.; D’Avanzo, P.; Mundell, C.G.; Palazzi, E.; Tanvir, N.R.; et al. The unpolarized macronova associated with the gravitational wave event GW170817. Nat. Astron. 2017, 1, 791–794, Erratum: Nat. Astron. 2017, 1, 805. [Google Scholar] [CrossRef]
- Bulla, M.; Kyutoku, K.; Tanaka, M.; Covino, S.; Bruten, J.R.; Matsumoto, T.; Maund, J.R.; Testa, V.; Wiersema, K. Polarized kilonovae from black hole–neutron star mergers. Mon. Not. Roy. Astron. Soc. 2021, 501, 1891–1899. [Google Scholar] [CrossRef]
- An, S.; Coughlin, M.W.; Kasliwal, M.M.; Bulla, M.; Ahumada, T.; Sagués, C.A.; Almualla, M.; Andreoni, I.; Stein, R.; Foucart, F.; et al. Optical follow-up of the neutron star–black hole mergers S200105ae and S200115j. Nat. Astron. 2021, 5, 46–53. [Google Scholar] [CrossRef]
- Vitale, S.; Del Pozzo, W.; Li, T.G.F.; Van Den Broeck, C.; Mandel, I.; Aylott, B.; Veitch, J. Effect of calibration errors on Bayesian parameter estimation for gravitational wave signals from inspiral binary systems in the Advanced Detectors era. Phys. Rev. D 2012, 85, 064034. [Google Scholar] [CrossRef]
- Payne, E.; Talbot, C.; Lasky, P.D.; Thrane, E.; Kissel, J.S. Gravitational-wave astronomy with a physical calibration model. Phys. Rev. D 2020, 102, 122004. [Google Scholar] [CrossRef]
- Vitale, S.; Haster, C.J.; Sun, L.; Farr, B.; Goetz, E.; Kissel, J.; Cahillane, C. Physical approach to the marginalization of LIGO calibration uncertainties. Phys. Rev. D 2021, 103, 063016. [Google Scholar] [CrossRef]
- Huang, Y.; Chen, H.Y.; Haster, C.J.; Sun, L.; Vitale, S.; Kissel, J. Impact of calibration uncertainties on Hubble constant measurements from gravitational-wave sources. arXiv 2022, arXiv:2204.03614. [Google Scholar]
- Chen, H.Y. Systematic Uncertainty of Standard Sirens from the Viewing Angle of Binary Neutron Star Inspirals. Phys. Rev. Lett. 2020, 125, 201301. [Google Scholar] [CrossRef] [PubMed]
- Abbott, B.P.; Abbott, R.; Abbott, T.D.; Abernathy, M.R.; Acernese, F.; Ackley, K.; Adams, C.; Adams, T.; Addesso, P.; Adhikari, R.X.; et al. Prospects for observing and localizing gravitational-wave transients with Advanced LIGO, Advanced Virgo and KAGRA. Living Rev. Rel. 2018, 21, 3. [Google Scholar] [CrossRef] [PubMed]
- Ivezić, Ž; Kahn, S.M.; Tyson, J.A.; Abel, B.; Acosta, E.; Allsman, R.; Alonso, D.; AlSayyad, Y.; Anderson, S.F.; Andrew, J.; et al. LSST: From Science Drivers to Reference Design and Anticipated Data Products. Astrophys. J. 2019, 873, 111. [Google Scholar] [CrossRef]



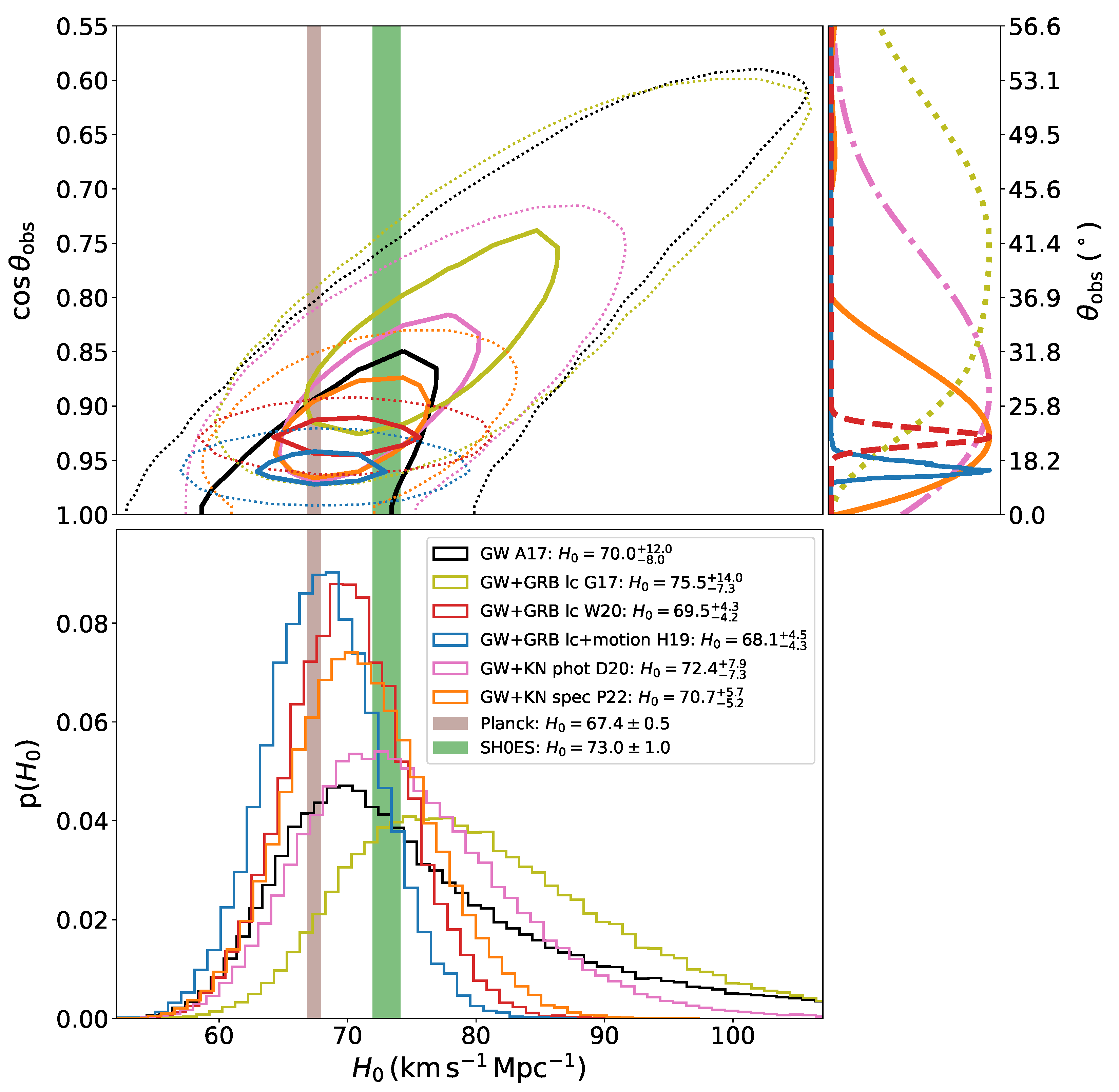
| Method | (km s Mpc) | Δ (%) | Reference |
|---|---|---|---|
| GW | / | [10] | |
| GW | / | [10] | |
| GW + GRB lc | 10.7 | [11] | |
| GW + GRB lc | 61.0 | [13] | |
| GW + GRB lc + motion | 63.1 | [12] | |
| GW + KN photometry | 34.0 | [14] | |
| GW + KN spectroscopy | 53.9 | [17] | |
| Planck (CMB) | / | [2] | |
| SH0ES (SNe Ia) | / | [3] |
Publisher’s Note: MDPI stays neutral with regard to jurisdictional claims in published maps and institutional affiliations. |
© 2022 by the authors. Licensee MDPI, Basel, Switzerland. This article is an open access article distributed under the terms and conditions of the Creative Commons Attribution (CC BY) license (https://creativecommons.org/licenses/by/4.0/).
Share and Cite
Bulla, M.; Coughlin, M.W.; Dhawan, S.; Dietrich, T. Multi-Messenger Constraints on the Hubble Constant through Combination of Gravitational Waves, Gamma-Ray Bursts and Kilonovae from Neutron Star Mergers. Universe 2022, 8, 289. https://doi.org/10.3390/universe8050289
Bulla M, Coughlin MW, Dhawan S, Dietrich T. Multi-Messenger Constraints on the Hubble Constant through Combination of Gravitational Waves, Gamma-Ray Bursts and Kilonovae from Neutron Star Mergers. Universe. 2022; 8(5):289. https://doi.org/10.3390/universe8050289
Chicago/Turabian StyleBulla, Mattia, Michael W. Coughlin, Suhail Dhawan, and Tim Dietrich. 2022. "Multi-Messenger Constraints on the Hubble Constant through Combination of Gravitational Waves, Gamma-Ray Bursts and Kilonovae from Neutron Star Mergers" Universe 8, no. 5: 289. https://doi.org/10.3390/universe8050289
APA StyleBulla, M., Coughlin, M. W., Dhawan, S., & Dietrich, T. (2022). Multi-Messenger Constraints on the Hubble Constant through Combination of Gravitational Waves, Gamma-Ray Bursts and Kilonovae from Neutron Star Mergers. Universe, 8(5), 289. https://doi.org/10.3390/universe8050289

