Equations of State for Hadronic Matter and Mass-Radius Relations of Neutron Stars with Strong Magnetic Fields
Abstract
1. Introduction
2. Formulations
2.1. Equation of State
2.2. Magnetic Fields
2.3. EoS of Hadronic Matter with Magnetic Fields
3. Results
3.1. Comparison of the Case without Magnetic Fields
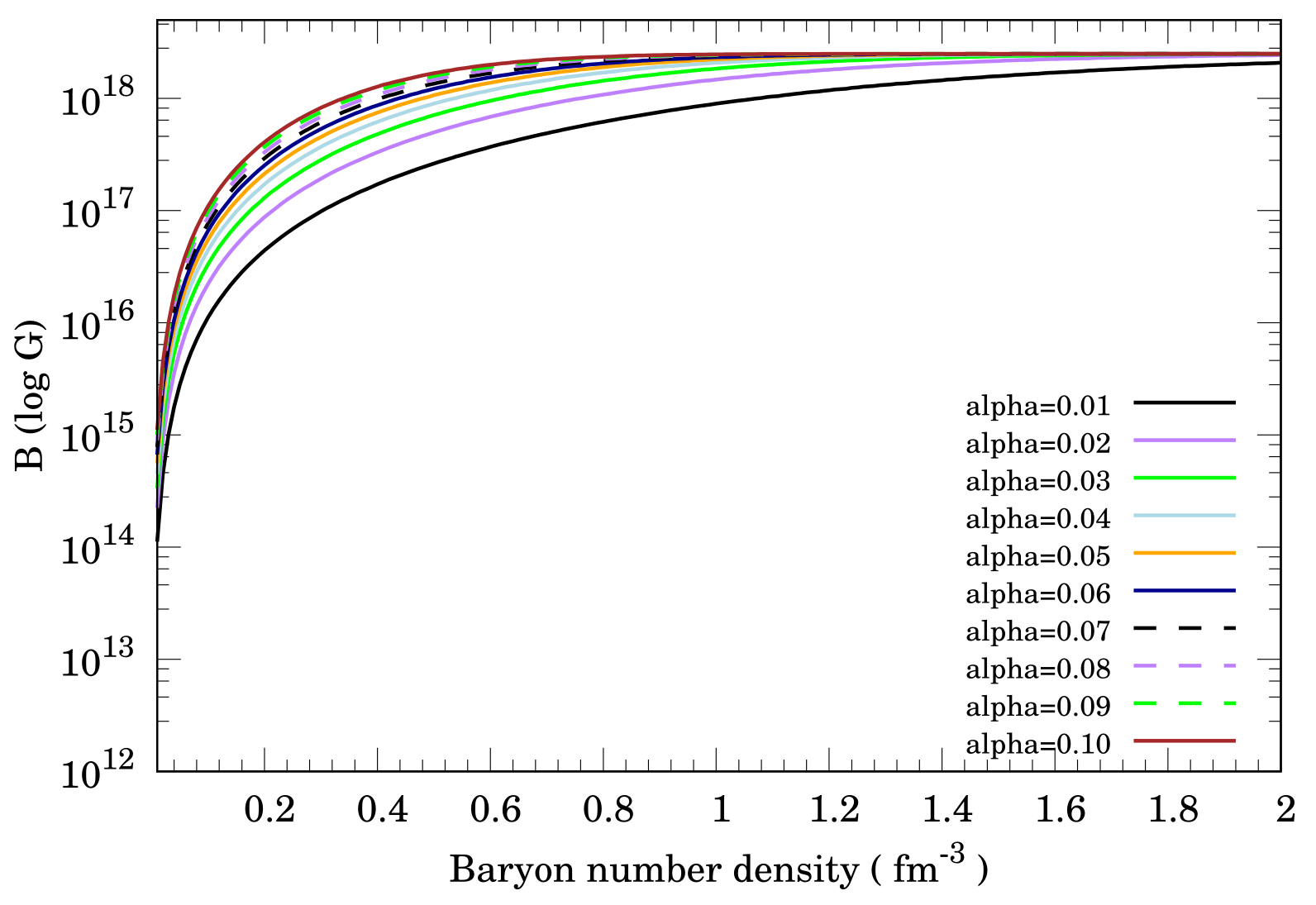
3.2. Changing and Parameters of the Magnetic Field Function
- For , 0.05, 0.06, and 0.07;
- For , 0.02, 0.03, and 0.04;
- For , 0.01.

- For , = 0.09;
- For , = 0.03, 0.04, and 0.05;
- For , = 0.01 and 0.02;
- For , = 0.01.
- For , 0.01;
- For , 0.01.
| 2 | 3 | ||||||
|---|---|---|---|---|---|---|---|
| 0.01 | 1.810 | 13.50 | − | 0.01 | 1.977 | 13.54 | − |
| 0.02 | 1.867 | 13.57 | − | 0.02 | 2.130 | 13.68 | 12.62 |
| 0.03 | 1.927 | 13.66 | − | 0.03 | 2.245 | 13.82 | 13.37 |
| 0.04 | 1.989 | 13.78 | − | 0.04 | 2.339 | 13.96 | 13.81 |
| 0.05 | 2.049 | 13.90 | − | 0.05 | 2.421 | 14.09 | 14.13 |
| 0.06 | 2.107 | 14.03 | 12.93 | 0.06 | 2.493 | 14.22 | 14.40 |
| 0.07 | 2.161 | 14.16 | 13.47 | 0.07 | 2.558 | 14.35 | 14.62 |
| 0.08 | 2.214 | 14.30 | 13.85 | 0.08 | 2.619 | 14.47 | 14.82 |
| 0.09 | 2.265 | 14.44 | 14.16 | 0.09 | 2.671 | 14.59 | 15.00 |
| 0.10 | 2.313 | 14.59 | 14.43 | 0.10 | 2.719 | 14.71 | 15.15 |
| 4 | 5 | ||||||
| 0.01 | 2.247 | 13.64 | 13.07 | 0.01 | 2.494 | 13.76 | 13.82 |
| 0.02 | 2.431 | 13.83 | 13.81 | 0.02 | 2.679 | 13.98 | 14.35 |
| 0.03 | 2.557 | 13.99 | 14.22 | 0.03 | 2.799 | 14.15 | 14.66 |
| 0.04 | 2.653 | 14.14 | 14.51 | 0.04 | 2.889 | 14.29 | 14.88 |
| 0.05 | 2.732 | 14.27 | 14.73 | 0.05 | 2.960 | 14.42 | 15.07 |
| 0.06 | 2.800 | 14.40 | 14.92 | 0.05 | 3.020 | 14.53 | 15.23 |
| 0.07 | 2.862 | 14.51 | 15.08 | 0.07 | 3.072 | 14.63 | 15.37 |
| 0.08 | 2.915 | 14.62 | 15.23 | 0.08 | 3.118 | 14.72 | 15.50 |
| 0.09 | 2.962 | 14.71 | 15.37 | 0.09 | 3.160 | 14.80 | 15.61 |
| 0.10 | 3.005 | 14.81 | 15.49 | 0.10 | 3.197 | 14.88 | 15.71 |

| 2 | 3 | ||||||
|---|---|---|---|---|---|---|---|
| 0.01 | 1.357 | − | − | 0.01 | 1.660 | 12.31 | − |
| 0.02 | 1.458 | 11.63 | − | 0.02 | 1.863 | 13.00 | − |
| 0.03 | 1.557 | 12.46 | − | 0.03 | 2.011 | 13.38 | − |
| 0.04 | 1.647 | 12.95 | − | 0.04 | 2.130 | 13.64 | 12.92 |
| 0.05 | 1.730 | 13.30 | − | 0.05 | 2.233 | 13.85 | 13.54 |
| 0.06 | 1.808 | 13.58 | − | 0.06 | 2.322 | 14.03 | 13.95 |
| 0.07 | 1.881 | 13.82 | − | 0.07 | 2.402 | 14.19 | 14.27 |
| 0.08 | 1.951 | 14.03 | − | 0.08 | 2.473 | 14.34 | 14.54 |
| 0.09 | 2.018 | 14.22 | − | 0.09 | 2.536 | 14.48 | 14.77 |
| 0.10 | 2.081 | 14.40 | 13.19 | 0.10 | 2.594 | 14.61 | 14.96 |
| 4 | 5 | ||||||
| 0.01 | 2.021 | 13.04 | 0.01 | 2.768 | 13.84 | 14.36 | |
| 0.02 | 2.252 | 13.49 | 13.22 | 0.02 | 2.949 | 14.13 | 14.80 |
| 0.03 | 2.404 | 13.76 | 13.83 | 0.03 | 3.060 | 14.31 | 15.07 |
| 0.04 | 2.520 | 13.96 | 14.22 | 0.04 | 3.139 | 14.45 | 15.27 |
| 0.05 | 2.614 | 14.13 | 14.51 | 0.05 | 3.201 | 14.57 | 15.42 |
| 0.06 | 2.694 | 14.28 | 14.74 | 0.06 | 3.253 | 14.66 | 15.55 |
| 0.07 | 2.763 | 14.42 | 14.94 | 0.07 | 3.297 | 14.75 | 15.66 |
| 0.08 | 2.824 | 14.54 | 15.11 | 0.08 | 3.336 | 14.82 | 15.76 |
| 0.09 | 2.878 | 14.65 | 15.26 | 0.09 | 3.370 | 14.89 | 15.85 |
| 0.10 | 2.927 | 14.75 | 15.40 | 0.10 | 3.401 | 14.95 | 15.93 |

| 1 | 2 | ||||||
|---|---|---|---|---|---|---|---|
| 0.01 | 2.177 | 13.63 | 14.07 | 0.01 | 2.188 | 13.63 | 14.08 |
| 0.02 | 2.182 | 13.66 | 14.10 | 0.02 | 2.220 | 13.65 | 14.14 |
| 0.03 | 2.190 | 13.71 | 14.15 | 0.03 | 2.262 | 13.69 | 14.21 |
| 0.04 | 2.200 | 13.78 | 14.21 | 0.04 | 2.310 | 13.74 | 14.29 |
| 0.05 | 2.212 | 13.87 | 14.29 | 0.05 | 2.359 | 13.81 | 14.38 |
| 0.06 | 2.227 | 13.98 | 14.39 | 0.06 | 2.409 | 13.88 | 14.47 |
| 0.07 | 2.244 | 14.10 | 14.49 | 0.07 | 2.457 | 13.96 | 14.55 |
| 0.08 | 2.262 | 14.25 | 14.61 | 0.08 | 2.503 | 14.05 | 14.65 |
| 0.09 | 2.282 | 14.42 | 14.75 | 0.09 | 2.549 | 14.16 | 14.75 |
| 0.10 | 2.303 | 14.61 | 14.88 | 0.10 | 2.592 | 14.26 | 14.86 |
| 3 | 4 | ||||||
| 0.01 | 2.268 | 13.63 | 14.13 | 0.01 | 2.485 | 13.64 | 14.22 |
| 0.02 | 2.394 | 13.67 | 14.24 | 0.02 | 2.664 | 13.70 | 14.37 |
| 0.03 | 2.500 | 13.72 | 14.34 | 0.03 | 2.782 | 13.78 | 14.50 |
| 0.04 | 2.589 | 13.79 | 14.44 | 0.04 | 2.869 | 13.86 | 14.63 |
| 0.05 | 2.665 | 13.86 | 14.55 | 0.05 | 2.939 | 13.95 | 14.75 |
| 0.06 | 2.731 | 13.94 | 14.65 | 0.06 | 2.997 | 14.04 | 14.87 |
| 0.07 | 2.789 | 14.03 | 14.76 | 0.07 | 3.047 | 14.12 | 14.98 |
| 0.08 | 2.841 | 14.12 | 14.87 | 0.08 | 3.089 | 14.21 | 15.09 |
| 0.09 | 2.887 | 14.21 | 14.97 | 0.09 | 3.127 | 14.29 | 15.19 |
| 0.10 | 2.930 | 14.30 | 15.08 | 0.10 | 3.161 | 14.37 | 15.29 |

| 1 | 2 | ||||||
|---|---|---|---|---|---|---|---|
| 0.01 | 2.373 | 13.63 | 14.19 | 0.01 | 2.381 | 13.63 | 14.19 |
| 0.02 | 2.377 | 13.66 | 14.21 | 0.02 | 2.405 | 13.65 | 14.23 |
| 0.03 | 2.383 | 13.71 | 14.25 | 0.03 | 2.438 | 13.69 | 14.27 |
| 0.04 | 2.390 | 13.78 | 14.30 | 0.04 | 2.475 | 13.74 | 14.33 |
| 0.05 | 2.400 | 13.87 | 14.37 | 0.05 | 2.512 | 13.81 | 14.39 |
| 0.06 | 2.411 | 13.98 | 14.45 | 0.06 | 2.551 | 13.88 | 14.47 |
| 0.07 | 2.424 | 14.10 | 14.54 | 0.07 | 2.588 | 13.96 | 14.56 |
| 0.08 | 2.438 | 14.25 | 14.65 | 0.08 | 2.625 | 14.05 | 14.65 |
| 0.09 | 2.453 | 14.42 | 14.77 | 0.09 | 2.661 | 14.16 | 14.75 |
| 0.10 | 2.469 | 14.61 | 14.90 | 0.10 | 2.696 | 14.26 | 14.86 |
| 3 | 4 | ||||||
| 0.01 | 2.440 | 13.63 | 14.21 | 0.01 | 2.606 | 13.64 | 14.25 |
| 0.02 | 2.536 | 13.67 | 14.27 | 0.02 | 2.751 | 13.70 | 14.37 |
| 0.03 | 2.620 | 13.72 | 14.35 | 0.03 | 2.848 | 13.78 | 14.50 |
| 0.04 | 2.691 | 13.79 | 14.45 | 0.04 | 2.924 | 13.86 | 14.63 |
| 0.05 | 2.754 | 13.86 | 14.55 | 0.05 | 2.984 | 13.95 | 14.75 |
| 0.06 | 2.808 | 13.94 | 14.65 | 0.06 | 3.033 | 14.04 | 14.87 |
| 0.07 | 2.855 | 14.03 | 14.76 | 0.07 | 3.076 | 14.12 | 14.98 |
| 0.08 | 2.900 | 14.12 | 14.87 | 0.08 | 3.114 | 14.21 | 15.09 |
| 0.09 | 2.940 | 14.21 | 14.97 | 0.09 | 3.149 | 14.29 | 15.19 |
| 0.10 | 2.977 | 14.30 | 15.08 | 0.10 | 3.180 | 14.37 | 15.29 |
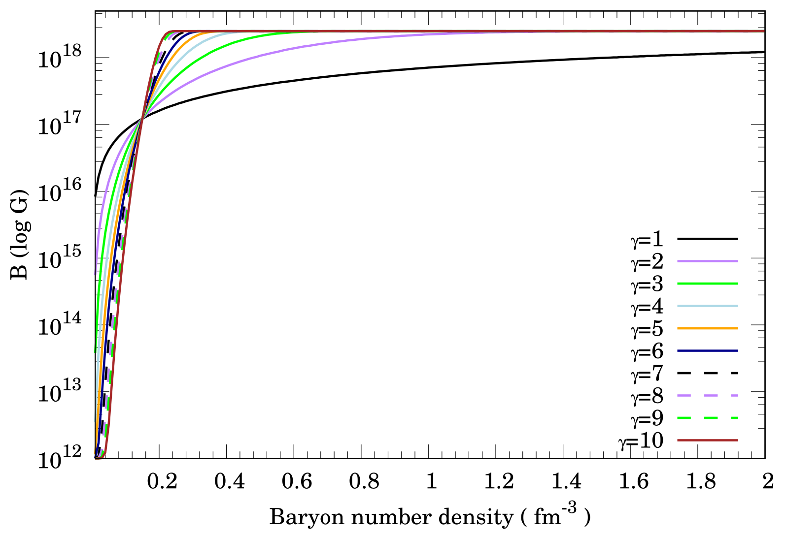
- For , 0.05 and 0.06;
- For , 0.02, 0.03, and 0.04;
- For , 0.01.

- 1.
- For , 0.03, 0.04, 0.05, and 0.06;
- 2.
- For , 0.01, 0.02, 0.03, and 0.04;
| 2 | 0.05 | 1.983 | 13.59 | − |
| 2 | 0.06 | 2.048 | 13.71 | 12.56 |
| 3 | 0.02 | 2.072 | 13.38 | 12.12 |
| 3 | 0.03 | 2.210 | 13.51 | 13.35 |
| 3 | 0.04 | 2.320 | 13.65 | 13.75 |
| 4 | 0.01 | 2.212 | 13.35 | 13.06 |
| 4 | 0.02 | 2.425 | 13.53 | 13.73 |
| 4 | 0.03 | 2.561 | 13.71 | 14.06 |
| 5 | 0.01 | 2.497 | 13.46 | 13.73 |
| 5 | 0.02 | 2.691 | 13.71 | 14.16 |
| 6 | 0.01 | 2.711 | 13.61 | 14.08 |
- 3.
- For , 0.01.

| 2 | 0.03 | 2.018 | 13.38 | − |
| 2 | 0.04 | 2.077 | 13.47 | 12.51 |
| 2 | 0.05 | 2.135 | 13.59 | 13.18 |
| 2 | 0.06 | 2.192 | 13.71 | 13.52 |
| 3 | 0.01 | 2.056 | 13.28 | − |
| 3 | 0.02 | 2.207 | 13.38 | 13.15 |
| 3 | 0.03 | 2.321 | 13.51 | 13.55 |
| 3 | 0.04 | 2.416 | 13.65 | 13.81 |
| 4 | 0.01 | 2.322 | 13.35 | 13.32 |
| 4 | 0.02 | 2.503 | 13.53 | 13.76 |
| 4 | 0.03 | 2.620 | 13.71 | 14.06 |
| 5 | 0.01 | 2.565 | 13.46 | 13.74 |
| 5 | 0.02 | 2.731 | 13.71 | 14.16 |
| 6 | 0.01 | 2.748 | 13.61 | 14.08 |

| 0.01 | 2.163 | 14.18 | 14.43 | 0.01 | 2.174 | 14.18 | 14.45 |
| 0.02 | 2.168 | 14.22 | 14.47 | 0.02 | 2.205 | 14.21 | 14.51 |
| 0.03 | 2.176 | 14.27 | 14.52 | 0.03 | 2.247 | 14.24 | 14.59 |
| 0.04 | 2.187 | 14.34 | 14.59 | 0.04 | 2.295 | 14.30 | 14.68 |
| 0.05 | 2.200 | 14.44 | 14.68 | 0.05 | 2.345 | 14.36 | 14.76 |
| 1 | 2 | ||||||
|---|---|---|---|---|---|---|---|
| 0.01 | 2.362 | 14.18 | 14.59 | 0.01 | 2.370 | 14.18 | 14.60 |
| 0.02 | 2.366 | 14.22 | 14.62 | 0.02 | 2.394 | 14.21 | 14.62 |
| 0.03 | 2.372 | 14.27 | 14.66 | 0.03 | 2.427 | 14.24 | 14.67 |
| 0.04 | 2.381 | 14.34 | 14.71 | 0.04 | 2.465 | 14.30 | 14.73 |
| 0.05 | 2.391 | 14.44 | 14.78 | 0.05 | 2.505 | 14.36 | 14.79 |
- For , 0.01, 0.02, and 0.03;
- For , 0.01.
4. Summary
Author Contributions
Funding
Institutional Review Board Statement
Informed Consent Statement
Data Availability Statement
Acknowledgments
Conflicts of Interest
References
- Oppenheimer, J.R.; Volkoff, G.M. On Massive Neutron Cores. Phys. Rev. 1939, 55, 374. [Google Scholar] [CrossRef]
- Tolman, R.C. Static Solutions of Einstein’s Field Equations for Spheres of Fluid. Phys. Rev. 1939, 55, 364. [Google Scholar] [CrossRef]
- Bethe, H.A.; Brown, G.E. Observational Constraints on the Maximum Neutron Star Mass. Astrophys. J. 1995, 445, L129. [Google Scholar] [CrossRef]
- Muto, T.; Maruyama, T.; Tatsumi, T. Effects of three-baryon forces on kaon condensation in hyperon-mixed matter. Phys. Lett. B 2021, 820, 136587. [Google Scholar] [CrossRef]
- Demorest, P.B.; Pennucci, T.; Ransom, S.M.; Roberts, M.S.E.; Hessels, J.W.T. A two-solar-mass neutron star measured using Shapiro delay. Nature 2010, 467, 1081–1083. [Google Scholar] [CrossRef] [PubMed]
- Antoniadis, J.; Freire, P.C.C.; Wex, N.; Tauris, T.M.; Lynch, R.S.; van Kerkwijk, M.H.; Kramer, M.; Bassa, C.; Dhillon, V.S.; Driebe, T.; et al. A massive pulsar in a compact relativistic binary. Science 2013, 340, 1233232. [Google Scholar] [CrossRef] [PubMed]
- Cromartie, H.T.; Fonseca, E.; Ransom, S.M.; Demorest, P.B.; Arzoumanian, Z.; Blumer, H.; Brook, P.R.; DeCesar, M.E.; Dolch, T.; Ellis, J.A.; et al. Relativistic Shapiro delay measurements of an extremely massive millisecond pulsar. Nat. Astron. 2020, 4, 72–76. [Google Scholar] [CrossRef]
- Fonseca, E.; Cromartie, H.T.; Pennucci, T.T.; Ray, P.S.; Kirichenko, A.Y.; Ransom, S.M.; Demorest, P.B.; Stairs, I.H.; Arzoumanian, Z.; Guillemot, L.; et al. Refined Mass and Geometric Measurements of the High-Mass PSR J0740+6620. arXiv 2021, arXiv:2104.00880v2. [Google Scholar] [CrossRef]
- Riley, T.E.; Watts, A.L.; Ray, P.S.; Bogdanov, S.; Guillot, S.; Morsink, S.M.; Bilous, A.V.; Arzoumanian, Z.; Choudhury, D.; Deneva, J.S.; et al. A NICER View of the Massive Pulsar PSR J0740+6620 Informed by Radio Timing and XMM-Newton Spectroscopy. Astrop. J. Lett. 2021, 918, L27. [Google Scholar] [CrossRef]
- Miller, M.C.; Lamb, F.K.; Dittmann, A.J.; Bogdanov, S.; Arzoumanian, Z.; Gendreau, K.C.; Guillot, S.; Ho, W.C.G.; Lattimer, J.M.; Loewenstein, M.; et al. The radius of psr J0740+6620 from nicer and XMM-Newton data. arXiv 2021, arXiv:2105.06979v1. [Google Scholar] [CrossRef]
- Yanase, K.; Yoshinaga, N.; Nakano, E.; Watanabe, C. Deformation of neutron stars due to poloidal magnetic fields. Prog. Theor. Exp. Phys. 2019, 8, 083E01. [Google Scholar] [CrossRef]
- Watanabe, C.; Yanase, K.; Yoshinaga, N. Searching optimum equations of state of neutron star matter in strong magnetic fields with rotation. Prog. Theor. Exp. Phys. 2020, 10, 103E04. [Google Scholar] [CrossRef]
- Olausen, S.A.; Kaspi, V.M. The McGill Magnetar Catalog. Astrophys. J. Suppl. 2014, 212, 22. [Google Scholar] [CrossRef]
- McGill Online Magnetar Catalog. Available online: http://www.physics.mcgill.ca/pulsar/magnetar/main.html (accessed on 8 May 2012).
- Annala, E.; Gorda, T.; Kurkela, A.; Vuorinen, A. Gravitational-Wave Constraints on the Neutron-Star-Matter Equation of State. Phys. Rev. Lett. 2018, 120, 172703. [Google Scholar] [CrossRef]
- Fattoyev, F.J.; Piekarewicz, J.; Horowitz, C. Neutron Skins and Neutron Stars in the Multimessenger Era. Phys. Rev. Lett. 2018, 120, 172702. [Google Scholar] [CrossRef]
- Bauswein, A.; Just, O.; Janka, H.-T.; Stergioulas, N. Neutron-star radius constraints from GW170817 and future detections. Astrop. Jour. Lett. 2017, 850, L34. [Google Scholar] [CrossRef]
- Miller, M.C.; Lamb, F.K.; Dittmann, A.J.; Bogdanov, S.; Arzoumanian, Z.; Gendreau, K.C.; Guillot, S.; Harding, A.K.; Ho, W.C.G.; Lattimer, J.M.; et al. PSR J0030+0451 Mass and Radius from NICER Data and Implications for the Properties of Neutron Star Matter. Astrop. J. Lett. 2019, 887, L24. [Google Scholar] [CrossRef]
- Glendenning, N.K. Compact Stars; Springer Science & Business Media: Berlin/Heidelberg, Germany, 2012. [Google Scholar]
- Fortin, M.; Avancini, S.S.; Providência, C.; Vidaña, I. Hypernuclei and massive neutron stars. Phys. Rev. C 2017, 95, 065803. [Google Scholar] [CrossRef]
- Glendenning, N.K. Vacuum polarization effects on nuclear matter and neutron stars. Nucl. Phys. A 1989, 493, 521–548. [Google Scholar] [CrossRef][Green Version]
- Glendenning, N.K.; Moszkowski, S.A. Reconciliation of neutron-star masses and binding of the Λ in hypernuclei. Phys. Rev. Lett. 1991, 67, 2414. [Google Scholar] [CrossRef]
- Sugahara, Y.; Toki, H. Relativistic mean-field theory for unstable nuclei with non-linear σ and ω terms. Nucl. Phys. A 1994, 579, 557–572. [Google Scholar] [CrossRef]
- Broderick, A.; Prakash, M.; Lattimer, J.M. The Equation of State of Neutron Star Matter in Strong Magnetic Fields. Astrophys. J. 2000, 537, 351. [Google Scholar] [CrossRef]
- Rabhi, A.; Perez-Garcia, M.A.; Providência, C.; Vidaña, I. Magnetic susceptibility and magnetization properties of asymmetric nuclear matter in a strong magnetic field. Phys. Rev. C 2015, 91, 045803. [Google Scholar] [CrossRef]
- Casali, R.H.; Castro, L.B.; Menezes, D.P. Hadronic and hybrid stars subject to density-dependent magnetic fields. Phys. Rev. C 2014, 89, 015805. [Google Scholar] [CrossRef]
- Particle Data Group. Available online: http://pdg.lbl.gov/ (accessed on 8 May 2012).
- Ducoin, C.; Margueron, J.; Providência, C.; Vidaẽa, I. Core-crust transition in neutron stars: Predictivity of density developments. Phys. Rev. C 2011, 83, 045810. [Google Scholar] [CrossRef]
- Baldo, M.; Burgio, G.F. The nuclear symmetry energy. Prog. Part. Nucl. Phys. 2016, 91, 203. [Google Scholar] [CrossRef]
- Bandyopadhyay, D.; Chakrabarty, S.; Pal, S. Quantizing Magnetic Field and Quark-Hadron Phase Transition in a Neutron Star. Phys. Rev. Lett. 1997, 79, 2176. [Google Scholar] [CrossRef]
- Menezes, D.P.; Alloy, M.D. Maxwell equation violation by density dependent magnetic fields in neutron stars. arXiv 2016, arXiv:1607.07687. [Google Scholar]



| GM1 | GM3 | TM1 | TM2 | NL3 | NL3 | DDME2 | |
|---|---|---|---|---|---|---|---|
| 0.153 | 0.153 | 0.146 | 0.146 | 0.148 | 0.148 | 0.152 | |
| K | 300 | 240 | 281.2 | 281.7 | 271.8 | 271.8 | 250.9 |
| J | 32.5 | 32.5 | 36.9 | 32.1 | 37.4 | 31.7 | 32.3 |
| L | 93.9 | 89.7 | 111.2 | 54.8 | 118.9 | 55.5 | 51.2 |
| 17.9 | 33.8 |
| EoS | |||
|---|---|---|---|
| TM1-a | 0.64 | 0.56 | 0.32 |
| TM1-b | 0.91 | 0.56 | 0.32 |
| TM2-a | 0.64 | 0.55 | 0.32 |
| TM2-b | 0.93 | 0.55 | 0.32 |
| NL3-a | 0.67 | 0.59 | 0.33 |
| NL3-b | 0.97 | 0.59 | 0.33 |
| NL3-a | 0.67 | 0.59 | 0.33 |
| NL3-b | 0.97 | 0.59 | 0.33 |
| DDME2-a | 0.69 | 0.60 | 0.34 |
| DDME2-b | 0.98 | 0.60 | 0.34 |
| EoS | Mmax () | (km) | (km) |
|---|---|---|---|
| GM1 | 1.784 | 13.5 | − |
| GM3 | 1.299 | − | − |
| TM1-a | 1.540 | 14.1 | − |
| TM1-b | 1.787 | 14.1 | − |
| TM2-a | 1.663 | 13.2 | − |
| TM2-b | 1.891 | 13.2 | − |
| NL3-a | 2.122 | 14.4 | 14.4 |
| NL3-b | 2.336 | 14.4 | 14.8 |
| NL3-a | 2.175 | 13.6 | 14.1 |
| NL3-b | 2.372 | 13.6 | 14.2 |
| DDME-a | 2.161 | 14.2 | 14.4 |
| DDME-b | 2.360 | 14.2 | 14.6 |
| 0.01 | |
| 0.02 | |
| 0.03 | |
| 0.04 | |
| 0.05 | |
| 0.06 | |
| 0.07 | |
| 0.08 | |
| 0.09 |
Publisher’s Note: MDPI stays neutral with regard to jurisdictional claims in published maps and institutional affiliations. |
© 2022 by the authors. Licensee MDPI, Basel, Switzerland. This article is an open access article distributed under the terms and conditions of the Creative Commons Attribution (CC BY) license (https://creativecommons.org/licenses/by/4.0/).
Share and Cite
Watanabe, C.; Yoshinaga, N.; Ebata, S. Equations of State for Hadronic Matter and Mass-Radius Relations of Neutron Stars with Strong Magnetic Fields. Universe 2022, 8, 48. https://doi.org/10.3390/universe8010048
Watanabe C, Yoshinaga N, Ebata S. Equations of State for Hadronic Matter and Mass-Radius Relations of Neutron Stars with Strong Magnetic Fields. Universe. 2022; 8(1):48. https://doi.org/10.3390/universe8010048
Chicago/Turabian StyleWatanabe, Chinatsu, Naotaka Yoshinaga, and Shuichiro Ebata. 2022. "Equations of State for Hadronic Matter and Mass-Radius Relations of Neutron Stars with Strong Magnetic Fields" Universe 8, no. 1: 48. https://doi.org/10.3390/universe8010048
APA StyleWatanabe, C., Yoshinaga, N., & Ebata, S. (2022). Equations of State for Hadronic Matter and Mass-Radius Relations of Neutron Stars with Strong Magnetic Fields. Universe, 8(1), 48. https://doi.org/10.3390/universe8010048

