The Swampland Conjectures: A Bridge from Quantum Gravity to Particle Physics
Abstract
1. Introduction
2. The Swampland Conjectures
2.1. Absence of Global Symmetries and Cobordisms
2.2. The Weak Gravity Conjecture and Beyond
- Electric Weak Gravity Conjecture [3]: The spectrum of the theory must include at least a particle with mass m and charge q that satisfies the inequality
- Magnetic Weak Gravity Conjecture [3]: There exists an upper bound for the UV cutoff of the EFT, given by
2.2.1. The Non-Susy AdS Conjecture
2.2.2. The Festina Lente Bound
2.3. Towers of States and the Distance Conjectures
3. Implications for Particle Physics
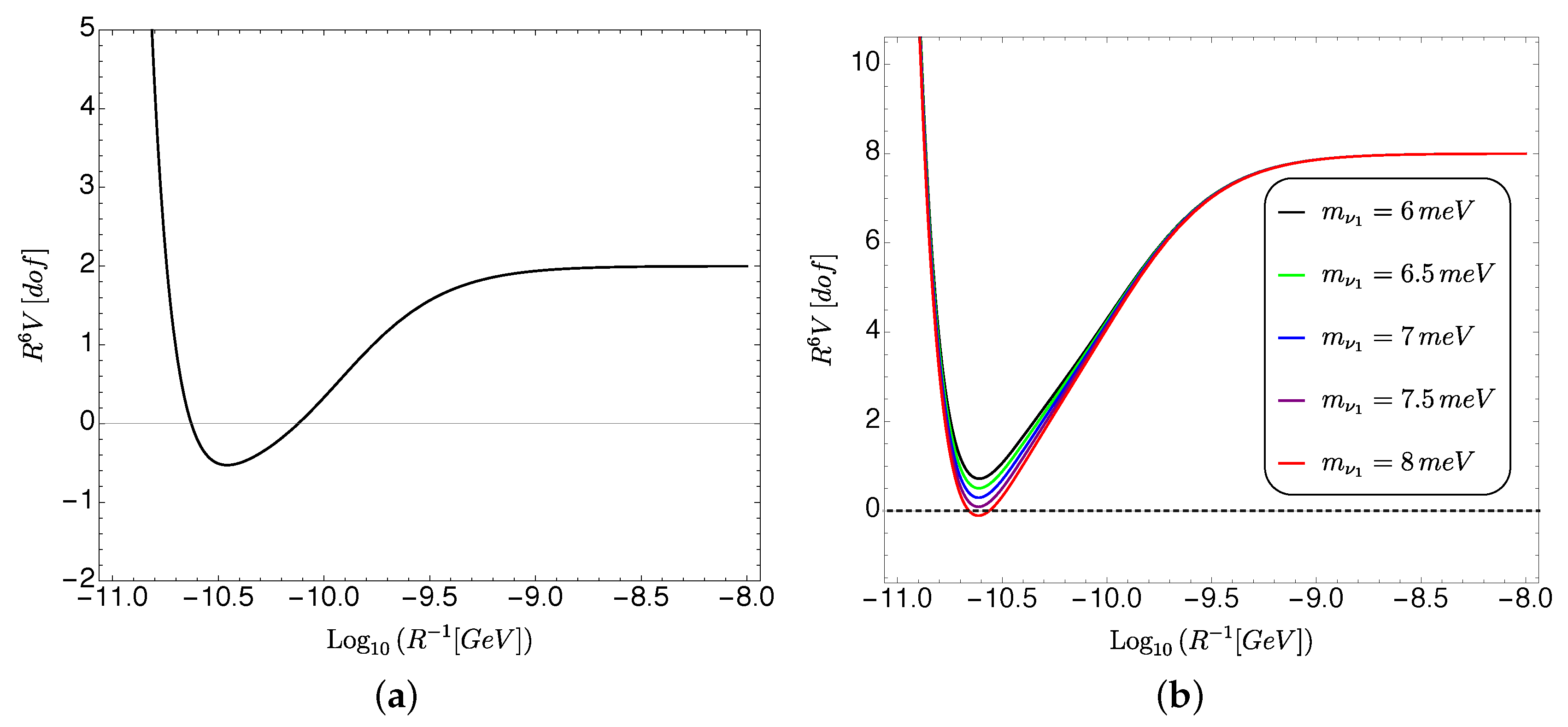
3.1. Compactifying the SM: Neutrino Masses, the Cosmological Constant and Supersymmetry
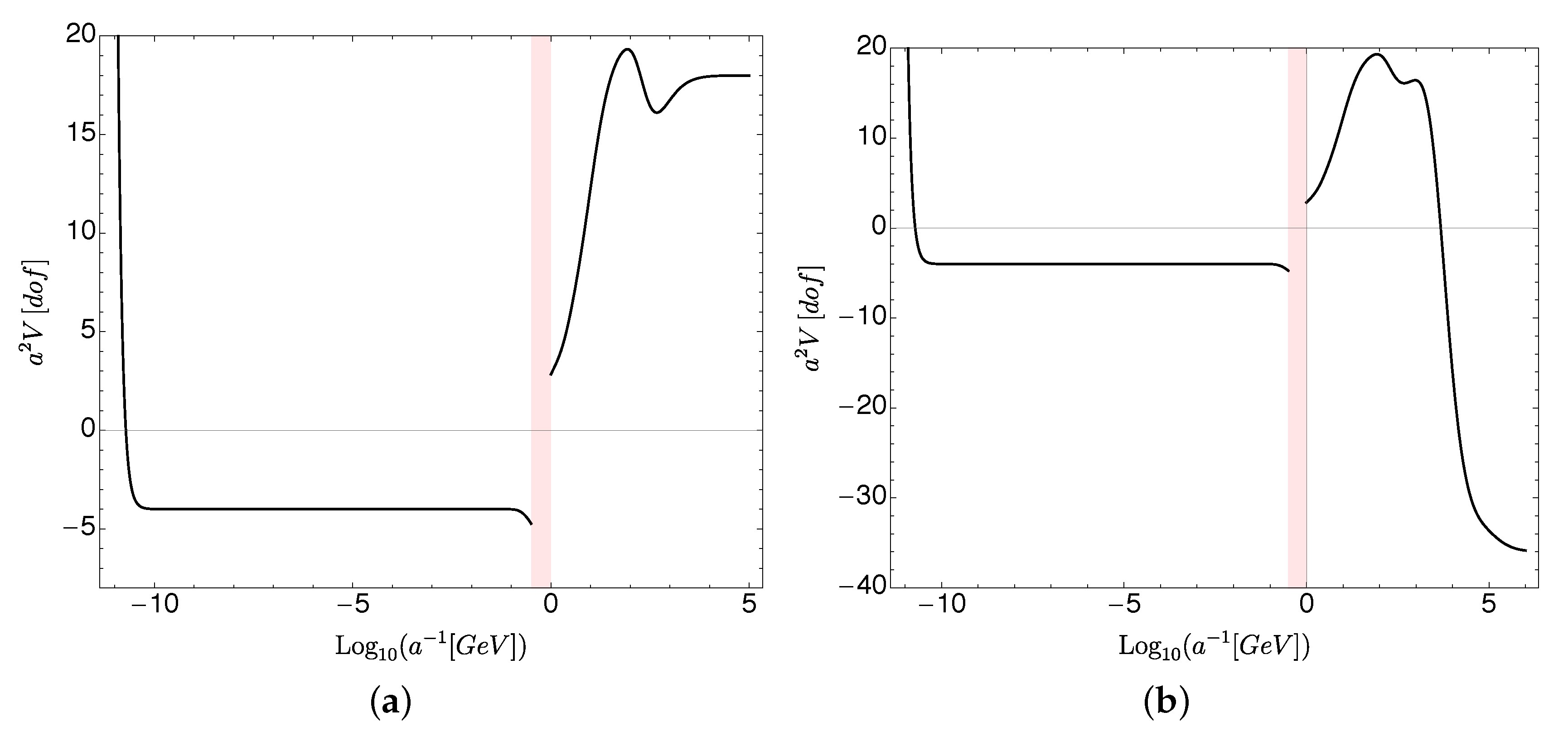
3.1.1. Constraints from the Non-Susy AdS Conjecture
3.1.2. Constraints from the AdS Distance Conjecture
3.2. Supersymmetry Breaking and Towers of States
- ∘
- Low-energy supersymmetry breaking ( TeV). In this case, if supersymmetry happens to be found at energies close to the ones that are currently being probed by the LHC, from one would expect a tower at the scaleEven though this is quite a wide range, it directly rules out the popular big desert scenario, which includes no new physics above the low energy supersymmetry breaking scale and until GeV.
- ∘
- Intermediate-scale supersymmetry breaking ( GeV). This is the minimal case if one wants to prevent the Higgs potential from being unbounded from below (given the experimental value for the Higgs mass GeV), as restoring supersymmetry at that scale would render the potential positive and bounded. A tower is then expected at a scale
3.3. Phenomenological Implications of the Festina Lente Bound
3.4. Massless Photons
3.5. Constraints on the Gauge Groups
4. Summary and Final Comments
- ∘
- From consistency of compactifications of the SM with the Non-susy AdS conjecture, it has been argued that pure Majorana neutrinos with large Majorana masses (as in simple See-Saw models) are inconsistent with quantum gravity, leaving (pseudo-)Dirac neutrinos as the only option, with an upper bound on their mass given by the cosmological constant as argued in [6,95,97]. This applies independently of whether normal or inverse hierarchy are realized. Additionally, some new insights into the electro-weak hierarchy problem can be obtained by translating the upper bound for neutrino masses into an upper bound the electro-weak scale in terms of the cosmological constant [96], as displayed in Equation (24).
- ∘
- ∘
- The same upper bound for Dirac neutrino masses in terms of the cosmological constant is obtained by requiring consistency of compactifications of the SM with the AdS Distance Conjecture [101,102,106]. A possible alternative would be that the neutrinos were the light states of a tower already in 4d with [100,101,102,106]
- ∘
- Preliminary results from the Gravitino Distance Conjecture suggest that low energy supersymmetry is incompatible with the big desert scenario, as a tower with scale GeV is predicted. Additionally, intermediate scale supersymmetry would require GeV [93].
- ∘
- The Festina Lente bound applied to the SM electromagnetic is satisfied by all particles in the SM [66] and it gives some insight into the cosmological constant problem by reducing the well-known 120 orders of magnitude between the cosmological constant an the Planck scale to [67]. It also gives a lower bound for the electro-weak hierarchy in terms of the Hubble constant and forbids a local symmetry-preserving minimum at the origin of the Higgs potential unless extreme fine-tuning is implemented [67].
- ∘
- Additionally, when applied to non-abelian groups, the Festina Lente reasoning gives lower bounds for the masses of massive vector bosons and confinement scales in terms of the Hubble constant [67].
- ∘
- The Weak Gravity Conjecture for strings which are magnetically charged under axions giving rise to Stückelberg masses for photons allows to argue in favour of the SM photon being exactly massless. Otherwise a UV cutoff scale would be predicted, which is incompatible with observations [112].
- ∘
- ∘
- Finally, even though we have not discussed the (refined) dS Conjecture [4,5,6] here, there are particularly remarkable implications from applying it to the SM QCD vacuum [120]. In particular, for fixed Yukawa couplings, the extrapolation of large N results to suggest that TeV is needed to avoid the formation of metastable dS vacua, even though full lattice computations have not been able to address the formation of these metastable states yet.
Funding
Institutional Review Board Statement
Informed Consent Statement
Acknowledgments
Conflicts of Interest
| 1 | Even though along this work we always have string theory in mind when referring to quantum gravity, these conjectures are believed to hold in any possible consistent theory of quantum gravity with weakly-coupled Einstein gravity as its low-energy limit, mainly because this kind of black hole arguments can equally be applied to those setups. | 
| 2 | |
| 3 | A simple example of a topological charge is the skyrmion number of solitonic solutions in theories with a global  symmetry (see e.g., [27]). | 
| 4 | We focus here in the 4d version. Note that  factors and powers of the Planck mass would change in different dimensions. | 
| 5 | Note that in our conventions the cosmological constant has units of mass to the power d, as opposed to the usual conventions taken in General Relativity where it is set to have units of mass squared by extracting explicitly a factor of . | 
| 6 | As a side comment, this can be seen as one of the reasons why it is harder to argue for the usual Weak Gravity Conjecture in dS space. In dS, the mere existence of a charged particle is enough to allow for the black hole decay, since such particle can be pair produced at sufficiently long distance from the black hole for the dS expansion to overcome the gravitational attraction, independently of its charge (note still that this process can be extremely slow). By contrast, in Minkowski this attraction after pair production can only be compensated if the electric repulsion is large enough, giving rise to the usual Weak Gravity Conjecture constraint. | 
| 7 | Of course, this distance reduces to the usual distance in moduli space when only massless scalars are varied, and the Generalized Distance Conjecture reduces to the usual Swampland Distance Conjecture. | 
| 8 | |
| 9 | This r is just introduced to keep the lower-dimensional metric adimensional so that the relevant component of the metric is . It gives the periodicity of the coordinate in the circle, namely , and the physical radius of the circular dimension is then controlled by the dimensionfull R, that is . | 
| 10 | |
| 11 | They are expected not to be exactly massless due to electro-weak corrections, but these are numerically taken into account in [99] and do not qualitatively change the picture. Light here means below . | 
| 12 | Incidentally, this would not be the case if the number of generations were two or one, as the approximate global symmetry for n generations is  and it gets broken down to . This yields  light bosonic degrees of freedom and  fermionic ones, which only lead to AdS vacua for  (see [99] for details). | 
| 13 | |
| 14 | In the original formulation of the AdS Distance Conjecture the arguments applied to argue for a tower in the limit  are independent of the sign of the cosmological constant, so it is equally valid for dS and AdS vacua. | 
| 15 | To be precise, this is only valid in the IR, where all the possible heavy degrees of freedom have been integrated out. More general arguments including the analysis around the UV cutoff scale are presented in [67]. | 
| 16 | This interplay between the Swampland Distance Conjecture and the (tower versions of the) Weak Gravity Conjecture is a recurring pattern in string compactifications and it has been suggested as a generic property of infinite distance points [73], as well as used to fix order one parameters in the conjectures [83,86]. | 
| 17 | As opposed to this, in the Higgs case there are typically semiclassical strings at whose core the Higgs vev goes to zero (i.e., the value for which the symmetry is not broken). This difference is the reason why the claim in [112] is only about Stückelberg masses. | 
| 18 | This comes about because the I-fold is the fixed plane of a symmetry that involves charge conjugation. | 
References
- Vafa, C. The String landscape and the swampland. arXiv 2005, arXiv:hep-th/0509212. [Google Scholar]
- Banks, T.; Seiberg, N. Symmetries and Strings in Field Theory and Gravity. Phys. Rev. D 2011, 83, 084019. [Google Scholar] [CrossRef]
- Arkani-Hamed, N.; Motl, L.; Nicolis, A.; Vafa, C. The String landscape, black holes and gravity as the weakest force. J. High Energy Phys. 2007, 6, 60. [Google Scholar] [CrossRef]
- Obied, G.; Ooguri, H.; Spodyneiko, L.; Vafa, C. De Sitter Space and the Swampland. arXiv 2018, arXiv:hep-th/1806.08362. [Google Scholar]
- Garg, S.K.; Krishnan, C. Bounds on Slow Roll and the de Sitter Swampland. J. High Energy Phys. 2019, 11, 75. [Google Scholar] [CrossRef]
- Ooguri, H.; Palti, E.; Shiu, G.; Vafa, C. Distance and de Sitter Conjectures on the Swampland. Phys. Lett. B 2019, 788, 180–184. [Google Scholar] [CrossRef]
- Danielsson, U.H.; Van Riet, T. What if string theory has no de Sitter vacua? Int. J. Mod. Phys. D 2018, 27, 1830007. [Google Scholar] [CrossRef]
- Andriot, D. On the de Sitter swampland criterion. Phys. Lett. B 2018, 785, 570–573. [Google Scholar] [CrossRef]
- Harlow, D.; Ooguri, H. Constraints on Symmetries from Holography. Phys. Rev. Lett. 2019, 122, 191601. [Google Scholar] [CrossRef] [PubMed]
- Harlow, D.; Ooguri, H. Symmetries in quantum field theory and quantum gravity. arXiv 2018, arXiv:hep-th/1810.05338. [Google Scholar]
- Montero, M. A Holographic Derivation of the Weak Gravity Conjecture. J. High Energy Phys. 2019, 3, 157. [Google Scholar] [CrossRef]
- Brennan, T.D.; Carta, F.; Vafa, C. The String Landscape, the Swampland, and the Missing Corner. PoS 2017, TASI2017, 15. [Google Scholar] [CrossRef]
- Palti, E. The Swampland: Introduction and Review. Fortsch. Phys. 2019, 67, 1900037. [Google Scholar] [CrossRef]
- Van Beest, M.; Calderón-Infante, J.; Mirfendereski, D.; Valenzuela, I. Lectures on the Swampland Program in String Compactifications. arXiv 2021, arXiv:2102.01111. [Google Scholar]
- Cheung, C.; Remmen, G.N. Naturalness and the Weak Gravity Conjecture. Phys. Rev. Lett. 2014, 113, 051601. [Google Scholar] [CrossRef] [PubMed]
- Lust, D.; Palti, E. Scalar Fields, Hierarchical UV/IR Mixing and The Weak Gravity Conjecture. J. High Energy Phys. 2018, 2, 40. [Google Scholar] [CrossRef]
- Craig, N.; Garcia Garcia, I.; Koren, S. Discrete Gauge Symmetries and the Weak Gravity Conjecture. J. High Energy Phys. 2019, 5, 140. [Google Scholar] [CrossRef]
- Craig, N.; Garcia Garcia, I.; Koren, S. The Weak Scale from Weak Gravity. J. High Energy Phys. 2019, 9, 81. [Google Scholar] [CrossRef]
- Banks, T.; Dixon, L.J. Constraints on String Vacua with Space-Time Supersymmetry. Nucl. Phys. B 1988, 307, 93–108. [Google Scholar] [CrossRef]
- Ooguri, H. Constraints on Quantum Gravity; Lectures at CERN Winter School on Supergravity, Strings and Gauge Theory. 2019. Available online: https://cds.cern.ch/record/2658068 (accessed on 29 June 2021).
- Susskind, L. Trouble for remnants. arXiv 1995, arXiv:hep-th/9501106. [Google Scholar]
- Gaiotto, D.; Kapustin, A.; Seiberg, N.; Willett, B. Generalized Global Symmetries. J. High Energy Phys. 2015, 2, 172. [Google Scholar] [CrossRef]
- Heidenreich, B.; McNamara, J.; Montero, M.; Reece, M.; Rudelius, T.; Valenzuela, I. Chern-Weil Global Symmetries and How Quantum Gravity Avoids Them. arXiv 2020, arXiv:2012.00009. [Google Scholar]
- Heidenreich, B.; Mcnamara, J.; Montero, M.; Reece, M.; Rudelius, T.; Valenzuela, I. Non-Invertible Global Symmetries and Completeness of the Spectrum. arXiv 2021, arXiv:2104.07036. [Google Scholar]
- McNamara, J.; Vafa, C. Cobordism Classes and the Swampland. arXiv 2019, arXiv:1909.10355. [Google Scholar]
- Witten, E. Global Gravitational Anomalies. Commun. Math. Phys. 1985, 100, 197. [Google Scholar] [CrossRef]
- Tong, D. Lectures on Gauge Theory. Available online: https://www.damtp.cam.ac.uk/user/tong/gaugetheory.html (accessed on 29 June 2021).
- Brown, J.; Cottrell, W.; Shiu, G.; Soler, P. Fencing in the Swampland: Quantum Gravity Constraints on Large Field Inflation. J. High Energy Phys. 2015, 10, 23. [Google Scholar] [CrossRef]
- Rudelius, T. Constraints on Axion Inflation from the Weak Gravity Conjecture. J. Cosmol. Astropart. Phys. 2015, 9, 20. [Google Scholar] [CrossRef]
- Heidenreich, B.; Reece, M.; Rudelius, T. Sharpening the Weak Gravity Conjecture with Dimensional Reduction. J. High Energy Phys. 2016, 2, 140. [Google Scholar] [CrossRef]
- Heidenreich, B.; Reece, M.; Rudelius, T. Weak Gravity Strongly Constrains Large-Field Axion Inflation. J. High Energy Phys. 2015, 12, 108. [Google Scholar] [CrossRef]
- Ibanez, L.E.; Montero, M.; Uranga, A.; Valenzuela, I. Relaxion Monodromy and the Weak Gravity Conjecture. J. High Energy Phys. 2016, 4, 20. [Google Scholar] [CrossRef]
- Marsh, D.J.E. Axion Cosmology. Phys. Rept. 2016, 643, 1–79. [Google Scholar] [CrossRef]
- Hebecker, A.; Rompineve, F.; Westphal, A. Axion Monodromy and the Weak Gravity Conjecture. J. High Energy Phys. 2016, 4, 157. [Google Scholar] [CrossRef]
- Heidenreich, B.; Reece, M.; Rudelius, T. Evidence for a sublattice weak gravity conjecture. J. High Energy Phys. 2017, 8, 25. [Google Scholar] [CrossRef]
- Montero, M.; Shiu, G.; Soler, P. The Weak Gravity Conjecture in three dimensions. J. High Energy Phys. 2016, 10, 159. [Google Scholar] [CrossRef]
- Saraswat, P. Weak gravity conjecture and effective field theory. Phys. Rev. D 2017, 95, 025013. [Google Scholar] [CrossRef]
- McAllister, L.; Schwaller, P.; Servant, G.; Stout, J.; Westphal, A. Runaway Relaxion Monodromy. J. High Energy Phys. 2018, 2, 124. [Google Scholar] [CrossRef]
- Brandenberger, R.; Peter, P. Bouncing Cosmologies: Progress and Problems. Found. Phys. 2017, 47, 797–850. [Google Scholar] [CrossRef]
- Palti, E. The Weak Gravity Conjecture and Scalar Fields. J. High Energy Phys. 2017, 8, 34. [Google Scholar] [CrossRef]
- Montero, M. Are tiny gauge couplings out of the Swampland? J. High Energy Phys. 2017, 10, 208. [Google Scholar] [CrossRef]
- Ibanez, L.E.; Montero, M. A Note on the WGC, Effective Field Theory and Clockwork within String Theory. J. High Energy Phys. 2018, 2, 57. [Google Scholar] [CrossRef]
- Aldazabal, G.; Ibáñez, L.E. A Note on 4D Heterotic String Vacua, FI-terms and the Swampland. Phys. Lett. B 2018, 782, 375–379. [Google Scholar] [CrossRef]
- Lee, S.J.; Lerche, W.; Weigand, T. Tensionless Strings and the Weak Gravity Conjecture. J. High Energy Phys. 2018, 10, 164. [Google Scholar] [CrossRef]
- Lee, S.J.; Lerche, W.; Weigand, T. A Stringy Test of the Scalar Weak Gravity Conjecture. Nucl. Phys. B 2019, 938, 321–350. [Google Scholar] [CrossRef]
- Andriolo, S.; Junghans, D.; Noumi, T.; Shiu, G. A Tower Weak Gravity Conjecture from Infrared Consistency. Fortsch. Phys. 2018, 66, 1800020. [Google Scholar] [CrossRef]
- Cheung, C.; Liu, J.; Remmen, G.N. Proof of the Weak Gravity Conjecture from Black Hole Entropy. J. High Energy Phys. 2018, 10, 4. [Google Scholar] [CrossRef]
- Heidenreich, B.; Reece, M.; Rudelius, T. Repulsive Forces and the Weak Gravity Conjecture. J. High Energy Phys. 2019, 10, 55. [Google Scholar] [CrossRef]
- Lee, S.J.; Lerche, W.; Weigand, T. Modular Fluxes, Elliptic Genera, and Weak Gravity Conjectures in Four Dimensions. J. High Energy Phys. 2019, 8, 104. [Google Scholar] [CrossRef]
- Gonzalo, E.; Ibáñez, L.E. A Strong Scalar Weak Gravity Conjecture and Some Implications. J. High Energy Phys. 2019, 8, 118. [Google Scholar] [CrossRef]
- Benakli, K.; Branchina, C.; Lafforgue-Marmet, G. Revisiting the scalar weak gravity conjecture. Eur. Phys. J. C 2020, 80, 742. [Google Scholar] [CrossRef]
- Benakli, K.; Branchina, C.; Lafforgue-Marmet, G. U(1) mixing and the Weak Gravity Conjecture. Eur. Phys. J. C 2020, 80, 1118. [Google Scholar] [CrossRef]
- Buratti, G.; Calderon, J.; Mininno, A.; Uranga, A.M. Discrete Symmetries, Weak Coupling Conjecture and Scale Separation in AdS Vacua. J. High Energy Phys. 2020, 6, 83. [Google Scholar] [CrossRef]
- Gonzalo, E.; Ibáñez, L.E. Pair Production and Gravity as the Weakest Force. J. High Energy Phys. 2020, 12, 39. [Google Scholar] [CrossRef]
- Penrose, R. Gravitational collapse: The role of general relativity. Riv. Nuovo Cim. 1969, 1, 252–276. [Google Scholar] [CrossRef]
- Lanza, S.; Marchesano, F.; Martucci, L.; Valenzuela, I. Swampland Conjectures for Strings and Membranes. J. High Energy Phys. 2021, 2, 6. [Google Scholar] [CrossRef]
- Lanza, S.; Marchesano, F.; Martucci, L.; Valenzuela, I. The EFT stringy viewpoint on large distances. arXiv 2021, arXiv:2104.05726. [Google Scholar]
- Ooguri, H.; Vafa, C. Non-supersymmetric AdS and the Swampland. arXiv 2016, arXiv:1610.01533. [Google Scholar] [CrossRef]
- Maldacena, J.M.; Michelson, J.; Strominger, A. Anti-de Sitter fragmentation. J. High Energy Phys. 1999, 2, 11. [Google Scholar] [CrossRef]
- García Etxebarria, I.; Montero, M.; Sousa, K.; Valenzuela, I. Nothing is certain in string compactifications. J. High Energy Phys. 2020, 12, 32. [Google Scholar] [CrossRef]
- Dibitetto, G.; Petri, N.; Schillo, M. Nothing really matters. J. High Energy Phys. 2020, 8, 40. [Google Scholar] [CrossRef]
- Witten, E. Instability of the Kaluza-Klein Vacuum. Nucl. Phys. B 1982, 195, 481–492. [Google Scholar] [CrossRef]
- Crisford, T.; Santos, J.E. Violating the Weak Cosmic Censorship Conjecture in Four-Dimensional Anti–de Sitter Space. Phys. Rev. Lett. 2017, 118, 181101. [Google Scholar] [CrossRef]
- Crisford, T.; Horowitz, G.T.; Santos, J.E. Testing the Weak Gravity—Cosmic Censorship Connection. Phys. Rev. D 2018, 97, 066005. [Google Scholar] [CrossRef]
- Horowitz, G.T.; Santos, J.E. Further evidence for the weak gravity—Cosmic censorship connection. J. High Energy Phys. 2019, 6, 122. [Google Scholar] [CrossRef]
- Montero, M.; Van Riet, T.; Venken, G. Festina Lente: EFT Constraints from Charged Black Hole Evaporation in de Sitter. J. High Energy Phys. 2020, 1, 39. [Google Scholar] [CrossRef]
- Montero, M.; Vafa, C.; Van Riet, T.; Venken, G. The FL bound and its phenomenological implications. arXiv 2021, arXiv:2106.07650. [Google Scholar]
- Ooguri, H.; Vafa, C. On the Geometry of the String Landscape and the Swampland. Nucl. Phys. B 2007, 766, 21–33. [Google Scholar] [CrossRef]
- Baume, F.; Palti, E. Backreacted Axion Field Ranges in String Theory. J. High Energy Phys. 2016, 8, 43. [Google Scholar] [CrossRef]
- Kläwer, D.; Palti, E. Super-Planckian Spatial Field Variations and Quantum Gravity. J. High Energy Phys. 2017, 1, 88. [Google Scholar] [CrossRef]
- Blumenhagen, R.; Valenzuela, I.; Wolf, F. The Swampland Conjecture and F-term Axion Monodromy Inflation. J. High Energy Phys. 2017, 7, 145. [Google Scholar] [CrossRef]
- Blumenhagen, R.; Kläwer, D.; Schlechter, L.; Wolf, F. The Refined Swampland Distance Conjecture in Calabi-Yau Moduli Spaces. J. High Energy Phys. 2018, 6, 52. [Google Scholar] [CrossRef]
- Grimm, T.W.; Palti, E.; Valenzuela, I. Infinite Distances in Field Space and Massless Towers of States. J. High Energy Phys. 2018, 8, 143. [Google Scholar] [CrossRef]
- Grimm, T.W.; Li, C.; Palti, E. Infinite Distance Networks in Field Space and Charge Orbits. J. High Energy Phys. 2019, 3, 16. [Google Scholar] [CrossRef]
- Corvilain, P.; Grimm, T.W.; Valenzuela, I. The Swampland Distance Conjecture for Kähler moduli. J. High Energy Phys. 2019, 8, 75. [Google Scholar] [CrossRef]
- Lee, S.J.; Lerche, W.; Weigand, T. Emergent Strings, Duality and Weak Coupling Limits for Two-Form Fields. arXiv 2019, arXiv:1904.06344. [Google Scholar]
- Lee, S.J.; Lerche, W.; Weigand, T. Emergent Strings from Infinite Distance Limits. arXiv 2019, arXiv:1910.01135. [Google Scholar]
- Blumenhagen, R.; Kläwer, D.; Schlechter, L. Swampland Variations on a Theme by KKLT. J. High Energy Phys. 2019, 5, 152. [Google Scholar] [CrossRef]
- Marchesano, F.; Wiesner, M. Instantons and infinite distances. J. High Energy Phys. 2019, 8, 88. [Google Scholar] [CrossRef]
- Font, A.; Herraez, A.; Ibáñez, L.E. The Swampland Distance Conjecture and Towers of Tensionless Branes. J. High Energy Phys. 2019, 8, 44. [Google Scholar] [CrossRef]
- Grimm, T.W.; Van De Heisteeg, D. Infinite Distances and the Axion Weak Gravity Conjecture. J. High Energy Phys. 2020, 3, 20. [Google Scholar] [CrossRef]
- Baume, F.; Marchesano, F.; Wiesner, M. Instanton Corrections and Emergent Strings. J. High Energy Phys. 2020, 4, 174. [Google Scholar] [CrossRef]
- Gendler, N.; Valenzuela, I. Merging the weak gravity and distance conjectures using BPS extremal black holes. J. High Energy Phys. 2021, 1, 176. [Google Scholar] [CrossRef]
- Baume, F.; Calderón Infante, J. Tackling the SDC in AdS with CFTs. arXiv 2020, arXiv:2011.03583. [Google Scholar]
- Perlmutter, E.; Rastelli, L.; Vafa, C.; Valenzuela, I. A CFT Distance Conjecture. arXiv 2020, arXiv:2011.10040. [Google Scholar]
- Bastian, B.; Grimm, T.W.; van de Heisteeg, D. Weak Gravity Bounds in Asymptotic String Compactifications. J. High Energy Phys. 2021, 2021, 1–65. [Google Scholar]
- Klaewer, D.; Lee, S.J.; Weigand, T.; Wiesner, M. Quantum corrections in 4d N = 1 infinite distance limits and the weak gravity conjecture. J. High Energy Phys. 2021, 3, 252. [Google Scholar] [CrossRef]
- Calderón-Infante, J.; Uranga, A.M.; Valenzuela, I. The Convex Hull Swampland Distance Conjecture and Bounds on Non-geodesics. J. High Energy Phys. 2021, 3, 299. [Google Scholar] [CrossRef]
- Lüst, D.; Palti, E.; Vafa, C. AdS and the Swampland. Phys. Lett. B 2019, 797, 134867. [Google Scholar] [CrossRef]
- Palti, E. Fermions and the Swampland. Phys. Lett. B 2020, 808, 135617. [Google Scholar] [CrossRef]
- Antoniadis, I.; Bachas, C.; Lewellen, D.C.; Tomaras, T.N. On Supersymmetry Breaking in Superstrings. Phys. Lett. B 1988, 207, 441–446. [Google Scholar] [CrossRef]
- Cribiori, N.; Lüst, D.; Scalisi, M. The Gravitino and the Swampland. J. High Energy Phys. 2021. [Google Scholar] [CrossRef]
- Castellano, A.; Font, A.; Herraez, A.; Ibáñez, L.E. A Gravitino Distance Conjecture. arXiv 2021, arXiv:2104.10181. [Google Scholar]
- Arkani-Hamed, N.; Dubovsky, S.; Nicolis, A.; Villadoro, G. Quantum Horizons of the Standard Model Landscape. J. High Energy Phys. 2007, 6, 78. [Google Scholar] [CrossRef]
- Ibáñez, L.E.; Martin-Lozano, V.; Valenzuela, I. Constraining Neutrino Masses, the Cosmological Constant and BSM Physics from the Weak Gravity Conjecture. J. High Energy Phys. 2017, 11, 66. [Google Scholar] [CrossRef]
- Ibáñez, L.E.; Martin-Lozano, V.; Valenzuela, I. Constraining the EW Hierarchy from the Weak Gravity Conjecture. arXiv 2017, arXiv:1707.05811. [Google Scholar]
- Hamada, Y.; Shiu, G. Weak Gravity Conjecture, Multiple Point Principle and the Standard Model Landscape. J. High Energy Phys. 2017, 11, 43. [Google Scholar] [CrossRef]
- Gonzalo, E.; Herraez, A.; Ibáñez, L.E. AdS-phobia, the WGC, the Standard Model and Supersymmetry. J. High Energy Phys. 2018, 6, 51. [Google Scholar] [CrossRef]
- Gonzalo, E.; Ibáñez, L.E. The Fundamental Need for a SM Higgs and the Weak Gravity Conjecture. Phys. Lett. B 2018, 786, 272–277. [Google Scholar] [CrossRef]
- Rudelius, T. Dimensional Reduction and (Anti) de Sitter Bounds. arXiv 2021, arXiv:2101.11617. [Google Scholar]
- Gonzalo, E.; Ibáñez, L.E.; Valenzuela, I. AdS Swampland Conjectures and Light Fermions. arXiv 2021, arXiv:2104.06415. [Google Scholar]
- Gonzalo, E. (Universidad Autónoma de Madrid, Cantoblanco, Madrid, Spain); Ibáñez, L.E. (Universidad Autónoma de Madrid, Cantoblanco, Madrid, Spain); Valenzuela, I. (Harvard University, Cambridge, MA, USA). Personal communication, 2021.
- Aghanim, N.; Akrami, Y.; Ashdown, M.; Aumont, J.; Baccigalupi, C.; Ballardini, M.; Banday, A.J.; Barreiro, R.B.; Bartolo, N.; Basak, S.; et al. Planck 2018 results. VI. Cosmological parameters. Astron. Astrophys. 2020, 641, A6. [Google Scholar] [CrossRef]
- Zyla, P.A.; Barnett, R.M.; Beringer, J.; Dahl, O.; Dwyer, D.A.; Groom, D.E.; Lin, C.-J.; Lugovsky, K.S.; Pianori, E.; Robinson, D.J.; et al. Review of Particle Physics. Progress Theor. Exp. Phys. 2020, 2020, 083C01. [Google Scholar] [CrossRef]
- Bedroya, A.; Vafa, C. Trans-Planckian Censorship and the Swampland. J. High Energy Phys. 2020, 9, 123. [Google Scholar] [CrossRef]
- Gonzalo, E. Constraints on SM from AdS Conjectures. Gong Show Talk at Strings. 2021. Available online: https://www.youtube.com/watch?v=Cv92qxKt2LA (accessed on 29 June 2021).
- Herraez, A.; Ibanez, L.E. An Axion-induced SM/MSSM Higgs Landscape and the Weak Gravity Conjecture. J. High Energy Phys. 2017, 2, 109. [Google Scholar] [CrossRef][Green Version]
- Giudice, G.F.; Kehagias, A.; Riotto, A. The Selfish Higgs. J. High Energy Phys. 2019, 10, 199. [Google Scholar] [CrossRef]
- Kaloper, N.; Westphal, A. A Goldilocks Higgs. Phys. Lett. B 2020, 808, 135616. [Google Scholar] [CrossRef]
- Lee, H.M. Relaxation of Higgs mass and cosmological constant with four-form fluxes and reheating. J. High Energy Phys. 2020, 1, 45. [Google Scholar] [CrossRef]
- Dvali, G. Cosmological Relaxation of Higgs Mass Before and After LHC and Naturalness. arXiv 2019, arXiv:1908.05984. [Google Scholar]
- Reece, M. Photon Masses in the Landscape and the Swampland. J. High Energy Phys. 2019, 7, 181. [Google Scholar] [CrossRef]
- Montero, M.; Vafa, C. Cobordism Conjecture, Anomalies, and the String Lamppost Principle. J. High Energy Phys. 2021, 1, 63. [Google Scholar] [CrossRef]
- Hamada, Y.; Vafa, C. 8d Supergravity, Reconstruction of Internal Geometry and the Swampland. arXiv 2021, arXiv:2104.05724. [Google Scholar]
- Agrawal, P.; Obied, G.; Steinhardt, P.J.; Vafa, C. On the Cosmological Implications of the String Swampland. Phys. Lett. B 2018, 784, 271–276. [Google Scholar] [CrossRef]
- Cicoli, M.; De Alwis, S.; Maharana, A.; Muia, F.; Quevedo, F. De Sitter vs. Quintessence in String Theory. Fortsch. Phys. 2019, 67, 1800079. [Google Scholar] [CrossRef]
- Agrawal, P.; Obied, G.; Vafa, C. H0 tension, swampland conjectures, and the epoch of fading dark matter. Phys. Rev. D 2021, 103, 043523. [Google Scholar] [CrossRef]
- Bedroya, A.; Brandenberger, R.; Loverde, M.; Vafa, C. Trans-Planckian Censorship and Inflationary Cosmology. Phys. Rev. D 2020, 101, 103502. [Google Scholar] [CrossRef]
- Agrawal, P.; Gukov, S.; Obied, G.; Vafa, C. Topological Gravity as the Early Phase of Our Universe. arXiv 2020, arXiv:2009.10077. [Google Scholar]
- March-Russell, J.; Petrossian-Byrne, R. QCD, Flavor, and the de Sitter Swampland. arXiv 2020, arXiv:2006.01144. [Google Scholar]







| Publisher’s Note: MDPI stays neutral with regard to jurisdictional claims in published maps and institutional affiliations. | 
© 2021 by the authors. Licensee MDPI, Basel, Switzerland. This article is an open access article distributed under the terms and conditions of the Creative Commons Attribution (CC BY) license (https://creativecommons.org/licenses/by/4.0/).
Share and Cite
Graña, M.; Herráez, A. The Swampland Conjectures: A Bridge from Quantum Gravity to Particle Physics. Universe 2021, 7, 273. https://doi.org/10.3390/universe7080273
Graña M, Herráez A. The Swampland Conjectures: A Bridge from Quantum Gravity to Particle Physics. Universe. 2021; 7(8):273. https://doi.org/10.3390/universe7080273
Chicago/Turabian StyleGraña, Mariana, and Alvaro Herráez. 2021. "The Swampland Conjectures: A Bridge from Quantum Gravity to Particle Physics" Universe 7, no. 8: 273. https://doi.org/10.3390/universe7080273
APA StyleGraña, M., & Herráez, A. (2021). The Swampland Conjectures: A Bridge from Quantum Gravity to Particle Physics. Universe, 7(8), 273. https://doi.org/10.3390/universe7080273
 
         
                                                

