Review of a Light NMSSM Pseudoscalar Higgs-State Production at the LHC
Abstract
1. Introduction
2. Light Pseudoscalar Higgs State a1 in the NMSSM
3. Light Pseudoscalar Higgs Boson Production in Gluon-Gluon Fusion at the LHC
4. Light Pseudoscalar Higgs Boson Production with a Single Bottom-Quark at the LHC
5. Light Pseudoscalar Higgs Boson Production in Bottom-Quark Annihilation at the LHC
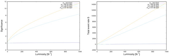
6. Light Pseudoscalar Higgs Boson Production via Decays of a Heavy Scalar Higgs Boson at the LHC
7. Conclusions
Funding
Institutional Review Board Statement
Informed Consent Statement
Data Availability Statement
Acknowledgments
Conflicts of Interest
References
- Chatrchyan, S. et al. [CMS Collaboration] Observation of a new boson at a mass of 125 GeV with the CMS experiment at the LHC. Phys. Lett. B 2012, 716, 30. [Google Scholar]
- Aad, G. et al. [ATLAS Collaboration] Observation of a new particle in the search for the Standard Model Higgs boson with the ATLAS detector at the LHC. Phys. Lett. B 2012, 716, 1. [Google Scholar] [CrossRef]
- Chatrchyan, S. et al. [CMS Collaboration] Observation of a new boson with mass near 125 GeV in pp collisions at √s = 7 and 8 TeV. J. High Energy Phys. 2013, 1306, 81. [Google Scholar]
- Aad, G. et al. [ATLAS Collaboration] Measurements of Higgs boson production and couplings in diboson final states with the ATLAS detector at the LHC. Phys. Lett. B 2013, 726, 88. [Google Scholar]
- Martin, S.P. A Supersymmetry primer. Adv. Ser. Direct. High Energy Phys. 1998, 18, 1. [Google Scholar]
- Djouadi, A. The Anatomy of electro-weak symmetry breaking. II. The Higgs bosons in the minimal supersymmetric model. Phys. Rept. 2008, 1, 459. [Google Scholar]
- Kim, J.E.; Nilles, H.P. The mu Problem and the Strong CP Problem. Phys. Lett. B 1984, 138, 150. [Google Scholar] [CrossRef]
- Carlos, B.D.; Casas, J.A. One loop analysis of the electroweak breaking in supersymmetric models and the fine tuning problem. Phys. Lett. B 1993, 309, 320. [Google Scholar] [CrossRef]
- Chankowski, P.H.; Ellis, J.R.; Pokorski, S. The Fine tuning price of LEP. Phys. Lett. B 1998, 423, 327. [Google Scholar] [CrossRef]
- Barbieri, R.; Strumia, A. About the fine tuning price of LEP. Phys. Lett. B 1998, 433, 63. [Google Scholar] [CrossRef]
- Kane, G.L.; King, S.F. Naturalness implications of LEP results. Phys. Lett. B 1999, 451, 113. [Google Scholar] [CrossRef]
- Giusti, L.; Romanino, A.; Strumia, A. Natural ranges of supersymmetric signals. Nucl. Phys. B 1999, 550, 3. [Google Scholar] [CrossRef][Green Version]
- Maniatis, M. The next-to-minimal supersymmetric extension of the standard model reviewed. Int. J. Mod. Phys. A 2010, 25, 3505–3602. [Google Scholar] [CrossRef]
- Ellwanger, U.; Hugonie, C.; Teixeira, A.M. The next-to-minimal supersymmetric standard model. Phys. Rep. 2010, 496, 1–77. [Google Scholar] [CrossRef]
- Ellwanger, U. A Higgs boson near 125 GeV with enhanced di-photon signal in the NMSSM. J. High Energy Phys. 2012, 44, 1203. [Google Scholar] [CrossRef]
- Gunion, J.F.; Jiang, Y.; Kraml, S. The Constrained NMSSM and Higgs near 125 GeV. Phys. Lett. B 2012, 710, 454. [Google Scholar] [CrossRef]
- King, S.F.; Muhlleitner, M.; Nevzorov, R. NMSSM Higgs Benchmarks Near 125 GeV. Nucl. Phys. B 2012, 860, 207. [Google Scholar] [CrossRef]
- Cao, J.J.; Heng, Z.X.; Yang, J.M.; Zhang, Y.M.; Zhu, J.Y. A SM-like Higgs near 125 GeV in low energy SUSY: A comparative study for MSSM and NMSSM. J. High Energy Phys. 2012, 86, 1203. [Google Scholar] [CrossRef]
- Vasquez, D.A.; Belanger, G.; Boehm, C.; da Silva, J.; Richardson, P.; Wymant, C. The 125 GeV Higgs in the NMSSM in light of LHC results and astrophysics constraints. Phys. Rev. D 2012, 86, 35023. [Google Scholar] [CrossRef]
- Ellwanger, U.; Hugonie, C. Higgs bosons near 125 GeV in the NMSSM with constraints at the GUT scale. Adv. High Energy Phys. 2012, 2012, 625389. [Google Scholar] [CrossRef]
- Benbrik, R.; Bock, M.G.; Heinemeyer, S.; Stal, O.; Weiglein, G.; Zeune, L. Confronting the MSSM and the NMSSM with the Discovery of a Signal in the two Photon Channel at the LHC. Eur. Phys. J. C 2012, 72, 2171. [Google Scholar] [CrossRef]
- Gunion, J.F.; Jiang, Y.; Kraml, S. Could two NMSSM Higgs bosons be present near 125 GeV? Phys. Rev. D 2012, 86, 71702. [Google Scholar] [CrossRef]
- Bae, K.J.; Choi, K.; Chun, E.J.; Im, S.H.; Park, C.B.; Shin, C.S. Peccei-Quinn NMSSM in the light of 125 GeV Higgs. J. High Energy Phys. 2012, 1211, 118. [Google Scholar] [CrossRef]
- Agashe, K.; Cui, Y.; Franceschini, R. Natural Islands for a 125 GeV Higgs in the scale-invariant NMSSM. J. High Energy Phys. 2013, 1302, 31. [Google Scholar] [CrossRef]
- Choi, K.; Im, S.H.; Jeong, K.S.; Yamaguchi, M. Higgs mixing and diphoton rate enhancement in NMSSM models. J. High Energy Phys. 2013, 1302, 90. [Google Scholar] [CrossRef]
- Kowalska, K.; Munir, S.; Roszkowski, L.; Sessolo, E.M.; Trojanowski, S.; Tsai, Y.-L.S. Constrained next-to-minimal supersymmetric standard model with a 126 GeV Higgs boson: A global analysis. Phys. Rev. D 2013, 87, 115010. [Google Scholar] [CrossRef]
- King, S.F.; Muhlleitner, M.; Nevzorov, R.; Walz, K. Natural NMSSM Higgs Bosons. Nucl. Phys. B 2013, 870, 323. [Google Scholar] [CrossRef]
- Gherghetta, T.; von Harling, B.; Medina, A.D.; Schmidt, M.A. The Scale-Invariant NMSSM and the 126 GeV Higgs Boson. J. High Energy Phys. 2013, 1302, 32. [Google Scholar] [CrossRef]
- Badziak, M.; Olechowski, M.; Pokorski, S. New Regions in the NMSSM with a 125 GeV Higgs. J. High Energy Phys. 2013, 1306, 43. [Google Scholar] [CrossRef]
- Gunion, J.F.; Haber, H.E.; Moroi, T. Will at least one of the Higgs bosons of the next-to-minimal supersymmetric extension of the standard model be observable at LEP-2 or the LHC? arXiv 1996, arXiv:hep-ph/9610337. [Google Scholar]
- Dobrescu, B.A.; Matchev, K.T. Light axion within the next-to-minimal supersymmetric standard model. J. High Energy Phys. 2000, 9, 31. [Google Scholar] [CrossRef]
- Dobrescu, B.A.; Landsberg, G.L.; Matchev, K.T. Higgs boson decays to CP odd scalars at the Tevatron and beyond. Phys. Rev. D 2001, 63, 075003. [Google Scholar] [CrossRef]
- Dermisek, R.; Gunion, J.F. Escaping the large fine tuning and little hierarchy problems in the next to minimal supersymmetric model and h —> aa decays. Phys. Rev. Lett. 2005, 95, 041801. [Google Scholar] [CrossRef]
- Moretti, S.; Munir, S. Di-photon Higgs signals at the LHC in the next-to-minimal supersymmetric standard model. Eur. Phys. J. C 2006, 47, 791–803. [Google Scholar] [CrossRef]
- Moretti, S.; Munir, S.; Poulose, P. Another step towards a no-lose theorem for NMSSM Higgs discovery at the LHC. Phys. Lett. B 2007, 644, 241–247. [Google Scholar] [CrossRef][Green Version]
- Arhrib, A.; Cheung, K.; Hou, T.J.; Song, K.W. Associated production of a light pseudoscalar Higgs boson with a chargino pair in the NMSSM. J. High Energy Phys. 2007, 703, 73. [Google Scholar] [CrossRef][Green Version]
- Dermisek, R.; Gunion, J.F. A Comparison of Mixed-Higgs Scenarios In the NMSSM and the MSSM. Phys. Rev. D 2008, 77, 015013. [Google Scholar] [CrossRef]
- Cheung, K.; Hou, T.J. Light Pseudoscalar Higgs boson in Neutralino Decays in the Next-to-Minimal Supersymmetric Standard Model. Phys. Lett. B 2009, 674, 54. [Google Scholar] [CrossRef]
- Lisanti, M.; Wacker, J.G. Discovering the Higgs boson with low mass muon pairs. Phys. Rev. D 2009, 79, 115006. [Google Scholar] [CrossRef]
- Belyaev, A.; Pivarski, J.; Safonov, A.; Senkin, S.; Tatarinov, A. LHC discovery potential of the lightest NMSSM Higgs boson in the h1→a1a1→4μ channel. Phys. Rev. D 2010, 81, 075021. [Google Scholar] [CrossRef]
- Mahmoudi, F.; Rathsman, J.; Stal, O.; Zeune, L. Light Higgs bosons in phenomenological NMSSM. Eur. Phys. J. C 2011, 71, 1608. [Google Scholar] [CrossRef]
- Almarashi, M.M.; Moretti, S. Low Mass Higgs signals at the LHC in the Next-to-Minimal Supersymmetric Standard Model. Eur. Phys. J. C 2011, 71, 1618. [Google Scholar] [CrossRef][Green Version]
- Almarashi, M.M.; Moretti, S. Very Light CP-odd Higgs bosons of the NMSSM at the LHC in 4b-quark final states. Phys. Rev. D 2011, 84, 15014. [Google Scholar] [CrossRef]
- Almarashi, M.M.; Moretti, S. Muon Signals of Very Light CP-odd Higgs states of the NMSSM at the LHC. Phys. Rev. D 2011, 83, 35023. [Google Scholar] [CrossRef]
- Belanger, G.; Ellwanger, U.; Gunion, J.F.; Jiang, Y.; Kraml, S.; Schwarz, J.H. Higgs Bosons at 98 and 125 GeV at LEP and the LHC. J. High Energy Phys. 2013, 1, 069. [Google Scholar] [CrossRef]
- Cerdeño, D.G.; Ghosh, P.; Park, C.B.; Peiro, M. Collider signatures of a light NMSSM pseudoscalar in neutralino decays in the light of LHC results. J. High Energy Phys. 2014, 1402, 48. [Google Scholar] [CrossRef]
- King, S.F.; Muhlleitner, M.; Nevzorov, R.; Walz, K. Discovery Prospects for NMSSM Higgs Bosons at the High-Energy Large Hadron Collider. Phys. Rev. D 2014, 90, 095014. [Google Scholar] [CrossRef]
- Bomark, N.E.; Moretti, S.; Munir, S.; Roszkowski, L. A light NMSSM pseudoscalar Higgs boson at the LHC redux. J. High Energy Phys. 2015, 1502, 44. [Google Scholar] [CrossRef]
- Ellwanger, U.; Hugonie, C. A 750 GeV Diphoton Signal from a Very Light Pseudoscalar in the NMSSM. J. High Energy Phys. 2016, 1605, 114. [Google Scholar] [CrossRef]
- Conte, E.; Fuks, B.; Guo, J.; Li, J.; Williams, A.G. Investigating light NMSSM pseudoscalar states with boosted ditau tagging. J. High Energy Phys. 2016, 1605, 100. [Google Scholar] [CrossRef]
- Guchait, M.; Kumar, J. Diphoton Signal of light pseudoscalar in NMSSM at the LHC. Phys. Rev. D 2017, 3, 35036. [Google Scholar] [CrossRef]
- Ellwanger, U.; Rodriguez-Vazquez, M. Discovery Prospects of a Light Scalar in the NMSSM. J. High Energy Phys. 2016, 96, 1602. [Google Scholar] [CrossRef]
- Domingo, F. Decays of a NMSSM CP-odd Higgs in the low-mass region. J. High Energy Phys. 2017, 52, 1703. [Google Scholar] [CrossRef]
- Almarashi, M.M. Prospects of Neutral Higgs boson decays in the NMSSM. Results Phys. 2018, 9, 534. [Google Scholar] [CrossRef]
- Almarashi, M.M. Discovery potential of the NMSSM CP-odd Higgs at the LHC. Results Phys. 2018, 10, 799. [Google Scholar] [CrossRef]
- Almarashi, M.M. Light CP-odd Higgs boson production of the NMSSM in bottom-gluon fusion at the LHC. Int. J. Mod. Phys. A 2020, 25, 2050151. [Google Scholar] [CrossRef]
- Almarashi, M.M. Detection prospects of a low-mass pseudoscalar Higgs in bottom-quark fusion in the NMSSM at the LHC. Results Phys. 2021, 23, 104022. [Google Scholar] [CrossRef]
- Almarashi, M.M. LHC signals of the next-to-lightest scalar Higgs state of the NMSSM in the 4τ decay channel. Adv. High Energy Phys. 2021, 2021, 5569862. [Google Scholar] [CrossRef]
- Tung, Y.C.; Hsiung, Y.B.; Wu, M.L.; Chen, K.F.; Ahn, J.K.; Akune, Y.; Baranov, V.; Comfort, J.; Doroshenko, M.; Fujioka, Y.; et al. Search for a light pseudoscalar particle in the decay K0(L) —> pi0 pi0 X. Phys. Rev. Lett. 2009, 102, 051802. [Google Scholar] [CrossRef] [PubMed]
- Chatrchyan, S. et al. [CMS Collaboration] Search for a Light Pseudoscalar Higgs Boson in the Dimuon Decay Channel in pp Collisions at √s =7 TeV. Phys. Rev. Lett. 2012, 109, 121801. [Google Scholar] [CrossRef] [PubMed]
- Lees, J.P. et al. [BABAR Collaboration] Search for di-muon decays of a low-mass Higgs boson in radiative decays of the Y(1S). Phys. Rev. D 2013, 3, 31102. [Google Scholar]
- Lees, J.P. et al. [BABAR Collaboration] Search for a low-mass scalar Higgs boson decaying to a tau pair in single-photon decays of Υ(1S). Phys. Rev. D 2013, 7, 71102. [Google Scholar]
- Aad, G. et al. [ATLAS Collaboration] Search for a CP-odd Higgs boson decaying to Zh in pp collisions at √s = 8 TeV with the ATLAS detector. Phys. Lett. B 2015, 744, 163. [Google Scholar] [CrossRef]
- Sirunyan, A.M. et al. [CMS Collaboration] Search for a light pseudoscalar Higgs boson produced in association with bottom quarks in pp collisions at √s = 8 TeV. J. High Energy Phys. 2017, 1711, 10. [Google Scholar]
- Sirunyan, A.M. et al. [CMS Collaboration] Search for an exotic decay of the Higgs boson to a pair of light pseudoscalars in the final state with two b quarks and two τ leptons in proton-proton collisions at √s = 13 TeV. Phys. Lett. B 2018, 785, 462. [Google Scholar] [CrossRef]
- Seong, I.S. et al. [Belle Collaboration] Search for a light CP-odd Higgs boson and low-mass dark matter at the Belle experiment. Phys. Rev. Lett. 2019, 122, 011801. [Google Scholar] [CrossRef]
- Sirunyan, A.M. et al. [CMS Collaboration] Search for an exotic decay of the Higgs boson to a pair of light pseudoscalars in the final state with two muons and two b quarks in pp collisions at 13 TeV. Phys. Lett. B 2019, 795, 398. [Google Scholar] [CrossRef]
- Sirunyan, A.M. et al. [CMS Collaboration] Search for light pseudoscalar boson pairs produced from decays of the 125 GeV Higgs boson in final states with two muons and two nearby tracks in pp collisions at √s = 13 TeV. Phys. Lett. B 2020, 800, 135087. [Google Scholar] [CrossRef]
- Dittmaier, S.; Kramer, M.; Spira, M.; Walser, M. Charged-Higgs-boson production at the LHC: NLO supersymmetric QCD corrections. Phys. Rev. D 2011, 83, 055005. [Google Scholar] [CrossRef]
- Degrande, C.; Ubiali, M.; Wiesemann, M.; Zaro, M. Heavy charged Higgs boson production at the LHC. J. High Energy Phys. 2015, 1510, 145. [Google Scholar] [CrossRef]
- Dawson, S.; Kao, C.; Wang, Y.; Williams, P. QCD Corrections to Higgs Pair Production in Bottom Quark Fusion. Phys. Rev. D 2007, 75, 013007. [Google Scholar] [CrossRef]
- Dittmaier, S.; Kroamer, M.; Muck, A.; Schluter, T. MSSM Higgs-boson production in bottom-quark fusion: Electroweak radiative corrections. J. High Energy Phys. 2007, 0703, 114. [Google Scholar] [CrossRef]
- Dawson, S.; Kao, C.; Wang, Y. SUSY QCD Corrections to Higgs Pair Production from Bottom Quark Fusion. Phys. Rev. D 2008, 77, 113005. [Google Scholar] [CrossRef]
- Zhu, H.X.; Li, C.S.; Zhang, J.J.; Zhang, H.; Li, Z. Threshold Resummation Effects in Neutral Higgs Boson Production by Bottom Quark Fusion at the CERN Large Hadron Collider. Phys. Rev. D 2009, 79, 113005. [Google Scholar] [CrossRef]
- Harlander, R.V.; Ozeren, K.J.; Wiesemann, M. Higgs plus jet production in bottom quark annihilation at next-to-leading order. Phys. Lett. B 2010, 693, 269. [Google Scholar] [CrossRef]
- Bouhler, S.; Herzog, F.; Lazopoulos, A.; Mouller, R. The fully differential hadronic production of a Higgs boson via bottom quark fusion at NNLO. J. High Energy Phys. 2012, 1207, 115. [Google Scholar] [CrossRef]
- Harlander, R.V.; Tripathi, A.; Wiesemann, M. Higgs production in bottom quark annihilation: Transverse momentum distribution at NNLO+NNLL. Phys. Rev. D 2014, 90, 15017. [Google Scholar] [CrossRef]
- Forte, S.; Napoletano, D.; Ubiali, M. Higgs production in bottom-quark fusion in a matched scheme. Phys. Lett. B 2015, 751, 331. [Google Scholar] [CrossRef]
- Forte, S.; Napoletano, D.; Ubiali, M. Higgs production in bottom-quark fusion: Matching beyond leading order. Phys. Lett. B 2016, 763, 190. [Google Scholar] [CrossRef]
- Ajjath, A.H.; Banerjee, P.; Chakraborty, A.; Dhani, P.K.; Mukherjee, P.; Rana, N.; Ravindran, V. Higgs pair production from bottom quark annihilation to NNLO in QCD. J. High Energy Phys. 2019, 1905, 30. [Google Scholar] [CrossRef]
- Ajjath, A.H.; Banerjee, P.; Chakraborty, A.; Dhani, P.K.; Mukherjee, P.; Rana, N.; Ravindran, V. NNLO QCD⊕QED corrections to Higgs production in bottom quark annihilation. Phys. Rev. D 2019, 11, 114016. [Google Scholar]
- Forte, S.; Giani, T.; Napoletano, D. Fitting the b-quark PDF as a massive-b scheme: Higgs production in bottom fusion. Eur. Phys. J. C 2019, 7, 609. [Google Scholar] [CrossRef]
- Duhr, C.; Dulat, F.; Mistlberger, B. Higgs production in bottom-quark fusion to third order in the strong coupling. Phys. Rev. Lett. 2020, 5, 51804. [Google Scholar] [CrossRef]
- Duhr, C.; Dulat, F.; Hirschi, V.; Mistlberger, B. Higgs production in bottom quark fusion: Matching the 4- and 5-flavour schemes to third order in the strong coupling. J. High Energy Phys. 2020, 2008, 17. [Google Scholar] [CrossRef]
- Peccei, R.D.; Quinn, H.R. CP Conservation in the Presence of Instantons. Phys. Rev. Lett. 1977, 38, 1440. [Google Scholar] [CrossRef]
- Peccei, R.D.; Quinn, H.R. Constraints Imposed by CP Conservation in the Presence of Instantons. Phys. Rev. D 1977, 16, 1791. [Google Scholar] [CrossRef]
- Miller, D.J.; Nevzorov, R.; Zerwas, P.M. The Higgs sector of the next-to-minimal supersymmetric standard model. Nucl. Phys. B 2004, 681, 3–30. [Google Scholar] [CrossRef]
- Baglio, J.; Groober, R.; Mouhlleitner, M.; Nhung, D.T.; Rzehak, H.; Spira, M.; Streicher, J.; Walz, K. NMSSMCALC: A Program Package for the Calculation of Loop-Corrected Higgs Boson Masses and Decay Widths in the (Complex) NMSSM. Comput. Phys. Commun. 2014, 12, 3372. [Google Scholar] [CrossRef]
- Belanger, G.; Bizouard, V.; Chalons, G. Boosting Higgs boson decays into gamma and a Z in the NMSSM. Phys. Rev. D 2014, 9, 095023. [Google Scholar] [CrossRef]
- Liebler, S. Neutral Higgs production at proton colliders in the CP-conserving NMSSM. Eur. Phys. J. C 2015, 5, 210. [Google Scholar] [CrossRef]
- Liebler, S.; Mantler, H.; Wiesemann, M. Distributions for neutral Higgs production in the NMSSM. arXiv 2012, arXiv:1608.02949. [Google Scholar]
- Goodsell, M.D.; Liebler, S.; Staub, F. Generic calculation of two-body partial decay widths at the full one-loop level. Eur. Phys. J. C 2017, 11, 758. [Google Scholar] [CrossRef]
- Allanach, B.C.; Cridge, T. The Calculation of Sparticle and Higgs Decays in the Minimal and Next-to-Minimal Supersymmetric Standard Models: SOFTSUSY4.0. Comput. Phys. Commun. 2017, 220, 417. [Google Scholar] [CrossRef]
- Elanger, G.B.; Bizouard, V.; Boudjema, F.; Chalons, G. One-loop renormalization of the NMSSM in SloopS. II. The Higgs sector. Phys. Rev. D 2017, 96, 15040. [Google Scholar] [CrossRef]
- Domingo, F.; Heinemeyer, S.; Paoehr, S.; Weiglein, G. Decays of the neutral Higgs bosons into SM fermions and gauge bosons in the CP-violating NMSSM. Eur. Phys. J. C 2018, 78, 942. [Google Scholar] [CrossRef]
- Domingo, F.; Paßehr, S. Electroweak corrections to the fermionic decays of heavy Higgs states. Eur. Phys. J. C 2019, 11, 905. [Google Scholar] [CrossRef]
- Baglio, J.; Dao, T.N.; Mouhlleitner, M. One-Loop Corrections to the Two-Body Decays of the Neutral Higgs Bosons in the Complex NMSSM. Eur. Phys. J. C 2020, 10, 960. [Google Scholar] [CrossRef]
- Baglio, J.; Campanario, F.; Glaus, S.; Mouhlleitner, M.; Ronca, J.; Spira, M.; Streicher, J. Higgs-Pair Production via Gluon Fusion at Hadron Colliders: NLO QCD Corrections. J. High Energy Phys. 2020, 80, 181. [Google Scholar] [CrossRef]
- Domingo, F.; Paehr, S. Towards Higgs masses and decay widths satisfying the symmetries in the (N)MSSM. Eur. Phys. J. C 2020, 12, 1124. [Google Scholar] [CrossRef]
- Baglio, J.; Campanario, F.; Glaus, S.; Mouhlleitner, M.; Ronca, J.; Spira, M. gg→HH: Combined uncertainties. Phys. Rev. D 2021, 5, 56002. [Google Scholar] [CrossRef]
- Dermisek, R.; Gunion, J.F. Next-to-minimal supersymmetric model solution to the fine-tuning problem, precision electroweak constraints, and the largest CERN LEP Higgs event excess. Phys. Rev. D. 2007, 76, 95006. [Google Scholar] [CrossRef]
- Ellwanger, U.; Gunion, J.F.; Hugonie, C. NMHDECAY: A Fortran Code for the Higgs Masses, Couplings and Decay widths in the NMSSM. 2005. Available online: https://iopscience.iop.org/article/10.1088/1126-6708/2005/02/066/pdf (accessed on 18 August 2020).
- Ellwanger, U.; Hugonie, C. NMHDECAY 2.1: An updated program for sparticle masses, Higgs masses, couplings and decay widths in the NMSSM. Comput. Phys. Commun. 2006, 175, 290–303. [Google Scholar] [CrossRef]
- NMSSMTOOLS—Home. Available online: https://www.lupm.univ-montp2.fr/users/nmssm/ (accessed on 18 August 2020).
- Domingo, F. A New Tool for the study of the CP-violating NMSSM. J. High Energy Phys. 2015, 6, 052. [Google Scholar] [CrossRef]
- Belyaev, A.; Christensen, N.D.; Pukhov, A. CalcHEP 3.4 for collider physics within and beyond the Standard Model. Comput. Phys. Commun. 2013, 184, 1729. [Google Scholar] [CrossRef]
- Andreas, S.; Lebedev, O.; Sanchez, S.R.; Ringwald, A. Constraints on a very light CP-odd Higgs of the NMSSM and other axion-like particles. J. High Energy Phys. 2010, 1008, 003. [Google Scholar] [CrossRef]
- Almarashi, M.M. Study of a Light NMSSM CP-Odd Higgs Produced via Bottom-Quark Annihilation in the Di-Photon Channel at the LHC. 2021. Available online: http://www.andromedapublisher.com/media/img/confprocimg/3/Pdf/MoslehAlmarashi_vqY8tCJ.pdf (accessed on 10 October 2021).
- OPAL Collaboration. Decay mode independent searches for new scalar bosons with the OPAL detector at LEP. Eur. Phys. J. C 2003, 27, 311. [Google Scholar] [CrossRef]
- LEP Working Group for Higgs Boson Searches. ALEPH, DELPHI, L3 and OPAL. Search for the standard model Higgs boson at LEP. Phys. Lett. B 2003, 565, 61. [Google Scholar] [CrossRef]
- ALEPH, DELPHI, L3, OPAL and LEP Working Group for Higgs Boson Searches. Search for neutral MSSM Higgs bosons at LEP. Eur. Phys. J. C 2006, 47, 547. [Google Scholar] [CrossRef]
- Tevatron New Physics Higgs Working Group. Updated Combination of CDF and D0 Searches for Standard Model Higgs Boson Production with up to 10.0 fb−1 of Data. arXiv 2012, arXiv:1207.0449. [Google Scholar]
- Search for Resonances in the 65 to 110 GeV Diphoton Invariant Mass Range Using 80 fb−1 of pp Collisions Collected at √s = 13 TeV with the ATLAS Detector. Available online: https://cds.cern.ch/record/2628760/files/ATLAS-CONF-2018-025.pdf (accessed on 10 October 2021).
- Canelli, M.F. et al. [CMS Collaboration] Search for additional neutral MSSM Higgs bosons in the ττ final state in proton-proton collisions at √s = 13 TeV. J. High Energy Phys. 2018, 9, 7. [Google Scholar]
- Sirunyan, A.M. et al. [CMS Collaboration] Search for a standard model-like Higgs boson in the mass range between 70 and 110 GeV in the diphoton final state in proton-proton collisions at √s = 8 and 13 TeV. Phys. Lett. B 2019, 793, 320. [Google Scholar] [CrossRef]










| Point | |||
|---|---|---|---|
| 1 | 0.17633 | 0.248102 | 15.9481 |
| 2 | 0.295035 | 0.481850 | 17.2552 |
| 3 | 0.259318 | −0.548899 | 13.4015 |
| 4 | 0.120601 | 0.294640 | 13.2896 |
| Point | |||
| 1 | 165.357 | 34.9856 | 0.0221315 |
| 2 | 169.105 | −15.7234 | −2.63603 |
| 3 | 177.252 | 540.586E | 16.2739 |
| 4 | 766.903 | −1821.2 | −8.76219 |
| Point | ) | (gb ) [fb] | |
| 1 | 8.80412 | 0.767892 | 16,340.7 |
| 2 | 45.0156 | 0.0808669 | 371.75 |
| 3 | 92.0510 | 0.0929458 | 796.7 |
| 4 | 147.483 | 0.108216 | 400.9 |
| P1 | P2 | P3 | P4 | P5 | P6 | |
|---|---|---|---|---|---|---|
| 0.0549371 | 0.248102 | 0.217092 | 0.197646 | 0.172677 | 0.249246 | |
| 0.496695 | 0.618832 | 0.392990 | −0.349694 | 0.481966 | 0.547502 | |
| 13.8036 | 18.8314 | 32.9745 | 53.9098 | 20.6563 | 12.2270 | |
| 106.941 | 139.910 | 328.891 | 546.213 | 622.326 | 875.295 | |
| 490.984 | 826.568 | 339.250 | 1125.35 | −1434.74 | −1201.27 | |
| −0.0759634 | −0.310352 | −4.45516 | 4.52072 | −4.38217 | −4.45711 | |
| 8 | 52 | 100 | 150 | 197 | 243 | |
| ) | 0.870856 | 0.0835167 | 0.103431 | 0.121666 | 0.116006 | 0.118482 |
| [fb] |
| P1 | P2 | P3 | P4 | |
|---|---|---|---|---|
| 0.615706 | 0.650828 | 0.637590 | 0.617789 | |
| 0.261287 | 0.264725 | 0.339134 | 0.387478 | |
| 5.2247 | 3.78738 | 3.82514 | 3.70979 | |
| 153.678 | 198.766 | 198.201 | 199.224 | |
| 646.778 | 517.464 | 464.215 | 426.835 | |
| −8.00937 | 5.1126 | −9.72344 | 9.09329 | |
| 140 | 180 | 220 | 260 | |
| 66 | 64 | 99 | 67 | |
| S [fb] with 300 fb | ||||
| B [fb] with 300 fb | ||||
| with 300 fb | 160.4 | 43.6 | 12 | 1.6 |
| with 1000 fb | 292.9 | 79.6 | 21.9 | 3 |
Publisher’s Note: MDPI stays neutral with regard to jurisdictional claims in published maps and institutional affiliations. |
© 2021 by the author. Licensee MDPI, Basel, Switzerland. This article is an open access article distributed under the terms and conditions of the Creative Commons Attribution (CC BY) license (https://creativecommons.org/licenses/by/4.0/).
Share and Cite
Almarashi, M.M. Review of a Light NMSSM Pseudoscalar Higgs-State Production at the LHC. Universe 2021, 7, 392. https://doi.org/10.3390/universe7110392
Almarashi MM. Review of a Light NMSSM Pseudoscalar Higgs-State Production at the LHC. Universe. 2021; 7(11):392. https://doi.org/10.3390/universe7110392
Chicago/Turabian StyleAlmarashi, Mosleh M. 2021. "Review of a Light NMSSM Pseudoscalar Higgs-State Production at the LHC" Universe 7, no. 11: 392. https://doi.org/10.3390/universe7110392
APA StyleAlmarashi, M. M. (2021). Review of a Light NMSSM Pseudoscalar Higgs-State Production at the LHC. Universe, 7(11), 392. https://doi.org/10.3390/universe7110392

