The Origin of Matter at the Base of Relativistic Jets in Active Galactic Nuclei
Abstract
1. Introduction
2. The Problem
- Relativistic jets are produced by rapidly rotating BHs fed by magnetized accretion disks.
- The ultimate power source is the rotational energy of the black hole.
- The energy is extracted via magnetic torque as Poynting flux.
- Jet collimation is due to the external medium outside the MAD zone3.
- Jet acceleration is via conversion of the electromagnetic energy into bulk kinetic energy.
3. The Black Hole Environment
4. Injection of Pairs
4.1. Direct Photon Annihilation
4.2. Cascades
4.3. Bethe-Heitler Mechanism
5. Injection of Baryons
5.1. Neutrons
5.2. Entrainment
5.3. Bulk Matter
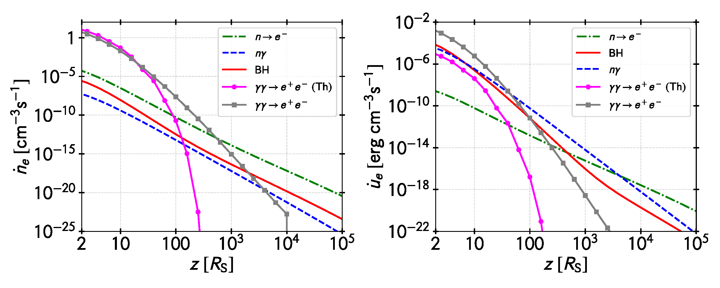
6. Total Injection
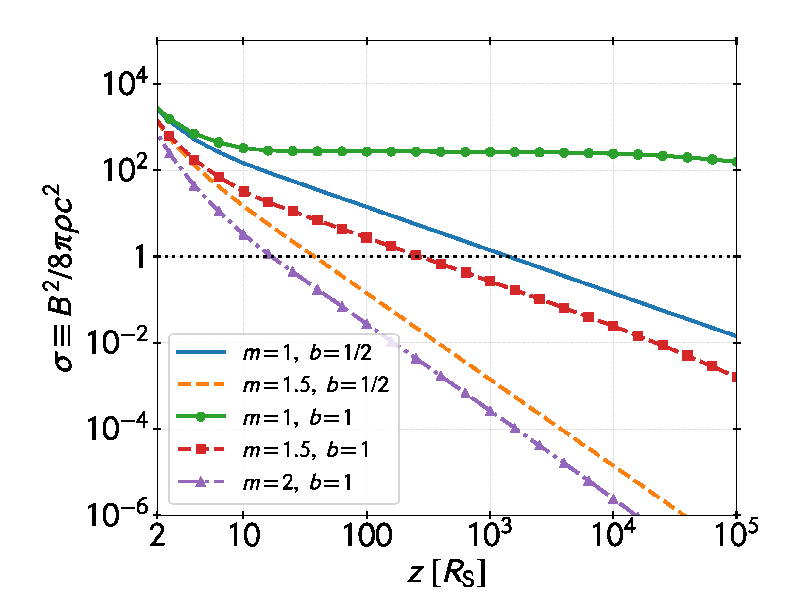
Magnetization of the Jet
7. Discussion
8. Conclusions
Author Contributions
Funding
Acknowledgments
Conflicts of Interest
Abbreviations
| AGN | Active Galactic Nuclei |
| ADAF | Advection Dominated Accretion Flows |
| BH | Black Hole |
| DSA | Diffusive Shock Acceleration |
| EHT | Event Horizon Telescope |
| FSRQ | Flat Spectrum Radio Quasar |
| GRMHD | General relativistic magnetohydrodynamics |
| HD | Hydrodynamics |
| ISCO | Innermost Stable Circular Orbit |
| MAD | Magnetically Arrested Disk |
| MHD | Magnetohydrodynamics |
| RIAF | Radiatively Inefficient Accretion Flow |
| SDA | Stochastic Diffusive Acceleration |
| SED | Spectral Energy Distribution |
| SMBH | Super Massive Black Hole |
References
- Spruit, H.C. Theory of Magnetically Powered Jets; Belloni, T., Ed.; Lecture Notes in Physics; Springer: Berlin, Germany, 2010; Volume 794, p. 233. [Google Scholar] [CrossRef]
- Falcke, H.; Biermann, P.L. The jet-disk symbiosis. I. Radio to X-ray emission models for quasars. Astron. Astrophys. 1995, 293, 665–682. [Google Scholar]
- Romero, G.E.; Vila, G.S. Introduction to Black Hole Astrophysics; Lecture Notes in Physics; Springer: Berlin, Germany, 2014; Volume 876. [Google Scholar] [CrossRef]
- Pepe, C.; Vila, G.S.; Romero, G.E. Lepto-hadronic model for the broadband emission of Cygnus X-1. Astron. Astrophys. 2015, 584, A95. [Google Scholar] [CrossRef][Green Version]
- Bisnovatyi-Kogan, G.S.; Ruzmaikin, A.A. The Accretion of Matter by a Collapsing Star in the Presence of a Magnetic Field. Astrophys. Space Sci. 1974, 28, 45–59. [Google Scholar] [CrossRef]
- Narayan, R.; Igumenshchev, I.V.; Abramowicz, M.A. Magnetically Arrested Disk: An Energetically Efficient Accretion Flow. Publ. Astron. Soc. Jpn. 2003, 55, L69–L72. [Google Scholar] [CrossRef]
- Tchekhovskoy, A.; Narayan, R.; McKinney, J.C. Efficient generation of jets from magnetically arrested accretion on a rapidly spinning black hole. Mon. Not. R. Astron. Soc. Lett. 2011, 418, L79–L83. [Google Scholar] [CrossRef]
- McKinney, J.C.; Tchekhovskoy, A.; Bland ford, R.D. General relativistic magnetohydrodynamic simulations of magnetically choked accretion flows around black holes. Mon. Not. R. Astron. Soc. Lett. 2012, 423, 3083–3117. [Google Scholar] [CrossRef]
- Tchekhovskoy, A.; Tchekhovskoy, A. Launching of Active Galactic Nuclei Jets. In The Formation and Disruption of Black Hole Jets; Contopoulos, I., Gabuzda, D., Kylafis, N., Eds.; Astrophysics and Space Science Library, Springer: Cham, Switzerland, 2015; Volume 414, p. 45. [Google Scholar] [CrossRef]
- Blandford, R.D.; Znajek, R.L. Electromagnetic extraction of energy from Kerr black holes. Mon. Not. R. Astron. Soc. Lett. 1977, 179, 433–456. [Google Scholar] [CrossRef]
- Tchekhovskoy, A.; Narayan, R.; McKinney, J.C. Black Hole Spin and The Radio Loud/Quiet Dichotomy of Active Galactic Nuclei. Astrophys. J. 2010, 711, 50–63. [Google Scholar] [CrossRef]
- Mościbrodzka, M.; Gammie, C.F.; Dolence, J.C.; Shiokawa, H. Pair Production in Low-luminosity Galactic Nuclei. Astrophys. J. 2011, 735, 9. [Google Scholar] [CrossRef]
- Levinson, A.; Rieger, F. Variable TeV Emission as a Manifestation of Jet Formation in M87? Astrophys. J. 2011, 730, 123. [Google Scholar] [CrossRef]
- Kimura, S.S.; Toma, K. Hadronic High-energy Emission from Magnetically Arrested Disks in Radio Galaxies. arXiv 2020, arXiv:2003.13173. [Google Scholar]
- Hirotani, K.; Okamoto, I. Pair Plasma Production in a Force-free Magnetosphere around a Supermassive Black Hole. Astrophys. J. 1998, 497, 563–572. [Google Scholar] [CrossRef]
- Broderick, A.E.; Tchekhovskoy, A. Horizon-scale Lepton Acceleration in Jets: Explaining the Compact Radio Emission in M87. Astrophys. J. 2015, 809, 97. [Google Scholar] [CrossRef]
- Kimura, S.S.; Toma, K.; Takahara, F. Effects of High-energy Particles on Accretion Flows onto a Supermassive Black Hole. Astrophys. J. 2014, 791, 100. [Google Scholar] [CrossRef]
- Toma, K.; Takahara, F. Baryon Loading of Active Galactic Nucleus Jets Mediated by Neutrons. Astrophys. J. 2012, 754, 148. [Google Scholar] [CrossRef]
- Vila, G.S.; Vieyro, F.L.; Romero, G.E. Neutron Production in Black Hole Coronae and Proton Loading of Jets; International Journal of Modern Physics Conference Series; Springer: Cham, Switzerland, 2014; Volume 28, p. 1460191. [Google Scholar] [CrossRef]
- Koide, S.; Meier, D.L.; Shibata, K.; Kudoh, T. General Relativistic Simulations of Early Jet Formation in a Rapidly Rotating Black Hole Magnetosphere. Astrophys. J. 2000, 536, 668–674. [Google Scholar] [CrossRef]
- Koide, S.; Shibata, K.; Kudoh, T.; Meier, D.L. Extraction of Black Hole Rotational Energy by a Magnetic Field and the Formation of Relativistic Jets. Science 2002, 295, 1688–1691. [Google Scholar] [CrossRef]
- Meier, D.L.; Koide, S.; Uchida, Y. Magnetohydrodynamic Production of Relativistic Jets. Science 2001, 291, 84–92. [Google Scholar] [CrossRef]
- Eichler, D. Magnetic Confinement of Jets. Astrophys. J. 1993, 419, 111. [Google Scholar] [CrossRef]
- Globus, N.; Levinson, A. The collimation of magnetic jets by disc winds. Mon. Not. R. Astron. Soc. Lett. 2016, 461, 2605–2615. [Google Scholar] [CrossRef]
- Event Horizon Telescope Collaboration; Akiyama, K.; Alberdi, A.; Alef, W.; Asada, K.; Azulay, R.; Baczko, A.K.; Ball, D.; Baloković, M.; Barrett, J.; et al. First M87 Event Horizon Telescope Results. I. The Shadow of the Supermassive Black Hole. Astrophys. J. 2019, 875, L1. [Google Scholar] [CrossRef]
- Hada, K.; Kino, M.; Doi, A.; Nagai, H.; Honma, M.; Hagiwara, Y.; Giroletti, M.; Giovannini, G.; Kawaguchi, N. The Innermost Collimation Structure of the M87 Jet Down to ~10 Schwarzschild Radii. Astrophys. J. 2013, 775, 70. [Google Scholar] [CrossRef]
- Hada, K. The Structure and Propagation of the Misaligned Jet M87. Galaxies 2017, 5, 2. [Google Scholar] [CrossRef]
- Park, J.; Hada, K.; Kino, M.; Nakamura, M.; Hodgson, J.; Ro, H.; Cui, Y.; Asada, K.; Algaba, J.C.; Sawada-Satoh, S.; et al. Kinematics of the M87 Jet in the Collimation Zone: Gradual Acceleration and Velocity Stratification. Astrophys. J. 2019, 887, 147. [Google Scholar] [CrossRef]
- Asada, K.; Nakamura, M.; Doi, A.; Nagai, H.; Inoue, M. Discovery of Sub- to Superluminal Motions in the M87 Jet: An Implication of Acceleration from Sub-relativistic to Relativistic Speeds. Astrophys. J. 2014, 781, L2. [Google Scholar] [CrossRef]
- Hada, K.; Park, J.H.; Kino, M.; Niinuma, K.; Sohn, B.W.; Ro, H.W.; Jung, T.; Algaba, J.C.; Zhao, G.Y.; Lee, S.S.; et al. Pilot KaVA monitoring on the M 87 jet: Confirming the inner jet structure and superluminal motions at sub-pc scales. Publ. Astron. Soc. Jpn. 2017, 69, 71. [Google Scholar] [CrossRef]
- Walker, R.C.; Ly, C.; Junor, W.; Hardee, P.J. A VLBA movie of the jet launch region in M87. J. Phys. Conf. Ser. 2008, 131, 012053. [Google Scholar] [CrossRef]
- Bondi, H. On spherically symmetrical accretion. Mon. Not. R. Astron. Soc. Lett. 1952, 112, 195. [Google Scholar] [CrossRef]
- Di Matteo, T.; Blackman, E.G.; Fabian, A.C. Two-temperature coronae in active galactic nuclei. Mon. Not. R. Astron. Soc. Lett. 1997, 291, L23–L27. [Google Scholar] [CrossRef]
- Fabian, A.C.; Lohfink, A.; Kara, E.; Parker, M.L.; Vasudevan, R.; Reynolds, C.S. Properties of AGN coronae in the NuSTAR era. Mon. Not. R. Astron. Soc. Lett. 2015, 451, 4375–4383. [Google Scholar] [CrossRef]
- Narayan, R.; Yi, I. Advection-dominated Accretion: Self-Similarity and Bipolar Outflows. Astrophys. J. 1995, 444, 231. [Google Scholar] [CrossRef]
- Yuan, F.; Narayan, R. Hot Accretion Flows Around Black Holes. Annu. Rev. Astron. Astrophys. 2014, 52, 529–588. [Google Scholar] [CrossRef]
- Xie, F.G.; Zdziarski, A.A. Radiative Properties of Magnetically Arrested Disks. Astrophys. J. 2019, 887, 167. [Google Scholar] [CrossRef]
- Narayan, R.; Kato, S.; Honma, F. Global Structure and Dynamics of Advection-dominated Accretion Flows around Black Holes. Astrophys. J. 1997, 476, 49–60. [Google Scholar] [CrossRef]
- Yuan, F.; Peng, Q.; Lu, J.; Wang, J. The Role of the Outer Boundary Condition in Accretion Disk Models: Theory and Application. Astrophys. J. 2000, 537, 236–244. [Google Scholar] [CrossRef][Green Version]
- Drury, L.O. REVIEW ARTICLE: An introduction to the theory of diffusive shock acceleration of energetic particles in tenuous plasmas. Rep. Prog. Phys. 1983, 46, 973–1027. [Google Scholar] [CrossRef]
- Drury, L.O. First-order Fermi acceleration driven by magnetic reconnection. Mon. Not. R. Astron. Soc. Lett. 2012, 422, 2474–2476. [Google Scholar] [CrossRef]
- Lazarian, A.; Eyink, G.L.; Vishniac, E.T.; Kowal, G. Magnetic Reconnection in Astrophysical Environments. In Magnetic Fields in Diffuse Media; Lazarian, A., de Gouveia Dal Pino, E.M., Melioli, C., Eds.; Astrophysics and Space Science Library, Springer: Cham, Switzerland, 2015; Volume 407, p. 311. [Google Scholar] [CrossRef]
- Stawarz, Ł.; Petrosian, V. On the Momentum Diffusion of Radiating Ultrarelativistic Electrons in a Turbulent Magnetic Field. Astrophys. J. 2008, 681, 1725–1744. [Google Scholar] [CrossRef]
- Kimura, S.S.; Murase, K.; Toma, K. Neutrino and Cosmic-Ray Emission and Cumulative Background from Radiatively Inefficient Accretion Flows in Low-luminosity Active Galactic Nuclei. Astrophys. J. 2015, 806, 159. [Google Scholar] [CrossRef]
- Schlickeiser, R. Cosmic Ray Astrophysics; Springer: Berlin/Heidelberg, Germany, 2002. [Google Scholar]
- Reynoso, M.M.; Romero, G.E. Magnetic field effects on neutrino production in microquasars. Astron. Astrophys. 2009, 493, 1–11. [Google Scholar] [CrossRef]
- Romero, G.E.; Vieyro, F.L.; Vila, G.S. Non-thermal processes around accreting galactic black holes. Astron. Astrophys. 2010, 519, A109. [Google Scholar] [CrossRef]
- Vieyro, F.L.; Romero, G.E. Particle transport in magnetized media around black holes and associated radiation. Astron. Astrophys. 2012, 542, A7. [Google Scholar] [CrossRef]
- Kimura, S.S.; Murase, K.; Mészáros, P. Multimessenger tests of cosmic-ray acceleration in radiatively inefficient accretion flows. Phys. Rev. D 2019, 100, 083014. [Google Scholar] [CrossRef]
- Gould, R.J.; Schréder, G.P. Pair Production in Photon-Photon Collisions. Phys. Rev. 1967, 155, 1404–1407. [Google Scholar] [CrossRef]
- Goldreich, P.; Julian, W.H. Pulsar Electrodynamics. Astrophys. J. 1969, 157, 869. [Google Scholar] [CrossRef]
- Levinson, A.; Segev, N. Existence of steady gap solutions in rotating black hole magnetospheres. Phys. Rev. D 2017, 96, 123006. [Google Scholar] [CrossRef]
- Levinson, A. Particle Acceleration and Curvature TeV Emission by Rotating, Supermassive Black Holes. Phys. Rev. Lett. 2000, 85, 912–915. [Google Scholar] [CrossRef]
- Beskin, V.S.; Istomin, Y.N.; Parev, V.I. Filling the Magnetosphere of a Supermassive Black-Hole with Plasma. Soviet Ast. 1992, 36, 642. [Google Scholar]
- Gutiérrez, E.M.; Romero, G.E.; Vieyro, F.L. Cosmic rays from the nearby starburst galaxy NGC 253: The effect of a low-luminosity active galactic nucleus. Mon. Not. R. Astron. Soc. Lett. 2020, 494, 2109–2116. [Google Scholar] [CrossRef]
- Begelman, M.C.; Rudak, B.; Sikora, M. Consequences of relativistic proton injection in active galactic nuclei. Astrophys. J. 1990, 362, 38–51. [Google Scholar] [CrossRef]
- Mastichiadis, A.; Protheroe, R.J.; Kirk, J.G. Spectral and temporal signatures of ultrarelativistic protons in compact sources. I. Effects of Bethe-Heitler pair production. Astron. Astrophys. 2005, 433, 765–776. [Google Scholar] [CrossRef]
- Romero, G.E.; Vila, G.S. The proton low-mass microquasar: High-energy emission. Astron. Astrophys. 2008, 485, 623–631. [Google Scholar] [CrossRef]
- Maximon, L. Simple analytic expressions for the total Born approximation cross section for pair production in a Coulomb field. J. Res. Natl. Bur. Stand. Sect. B Math. Sci. 1968, 72B. [Google Scholar] [CrossRef]
- Chodorowski, M.J.; Zdziarski, A.A.; Sikora, M. Reaction rate and energy-loss rate for photopair production by relativistic nuclei. Astrophys. J. 1992, 400, 181–185. [Google Scholar] [CrossRef]
- Sikora, M.; Begelman, M.C.; Rudak, B. Relativistic Neutrons in Active Galactic Nuclei. Astrophys. J. 1989, 341, L33. [Google Scholar] [CrossRef]
- Atoyan, A.M. Relativistic neutrons in active galactic nuclei. I—Energy transport from the core. II—Gamma-rays of high and very high energies. Astron. Astrophys. 1992, 257, 465–488. [Google Scholar]
- Atoyan, A.M.; Dermer, C.D. Neutral Beams from Blazar Jets. Astrophys. J. 2003, 586, 79–96. [Google Scholar] [CrossRef]
- Abraham, P.B.; Brunstein, K.A.; Cline, T.L. Production of Low-Energy Cosmic-Ray Electrons. Phys. Rev. 1966, 150, 1088–1103. [Google Scholar] [CrossRef]
- Gould, R.J. Neutron-Photon Scattering in the Early Universe. Astrophys. J. 1993, 417, 12. [Google Scholar] [CrossRef]
- Romero, G.E. Fine-Scale Structure in Relativistic Jets and Rapid Variability in Blazars. Astrophys. Space Sci. 1995, 234, 49–55. [Google Scholar] [CrossRef]
- Kersalé, E.; Longaretti, P.Y.; Pelletier, G. Pressure- and magnetic shear-driven instabilities in rotating MHD jets. Astron. Astrophys. 2000, 363, 1166–1176. [Google Scholar]
- Giannios, D.; Spruit, H.C. The role of kink instability in Poynting-flux dominated jets. Astron. Astrophys. 2006, 450, 887–898. [Google Scholar] [CrossRef]
- McKinney, J.C.; Blandford, R.D. Stability of relativistic jets from rotating, accreting black holes via fully three-dimensional magnetohydrodynamic simulations. Mon. Not. R. Astron. Soc. Lett. 2009, 394, L126–L130. [Google Scholar] [CrossRef]
- Mignone, A.; Rossi, P.; Bodo, G.; Ferrari, A.; Massaglia, S. High-resolution 3D relativistic MHD simulations of jets. Mon. Not. R. Astron. Soc. Lett. 2010, 402, 7–12. [Google Scholar] [CrossRef]
- Blandford, R.D.; Königl, A. Relativistic jets as compact radio sources. Astrophys. J. 1979, 232, 34–48. [Google Scholar] [CrossRef]
- Komissarov, S.S. Mass-Loaded Relativistic Jets. Mon. Not. R. Astron. Soc. Lett. 1994, 269, 394. [Google Scholar] [CrossRef]
- Araudo, A.T.; Bosch-Ramon, V.; Romero, G.E. Gamma rays from cloud penetration at the base of AGN jets. Astron. Astrophys. 2010, 522, A97. [Google Scholar] [CrossRef]
- Bosch-Ramon, V.; Perucho, M.; Barkov, M.V. Clouds and red giants interacting with the base of AGN jets. Astron. Astrophys. 2012, 539, A69. [Google Scholar] [CrossRef]
- Araudo, A.T.; Bosch-Ramon, V.; Romero, G.E. Gamma-ray emission from massive stars interacting with active galactic nuclei jets. Mon. Not. R. Astron. Soc. Lett. 2013, 436, 3626–3639. [Google Scholar] [CrossRef]
- del Palacio, S.; Bosch-Ramon, V.; Romero, G.E. Gamma rays from jets interacting with BLR clouds in blazars. Astron. Astrophys. 2019, 623, A101. [Google Scholar] [CrossRef]
- Yuan, F.; Bu, D.; Wu, M. Numerical Simulation of Hot Accretion Flows. II. Nature, Origin, and Properties of Outflows and their Possible Observational Applications. Astrophys. J. 2012, 761, 130. [Google Scholar] [CrossRef]
- Bu, D.F.; Yuan, F.; Gan, Z.M.; Yang, X.H. Magnetohydrodynamic Numerical Simulation of Wind Production from Hot Accretion Flows around Black Holes at Very Large Radii. Astrophys. J. 2016, 823, 90. [Google Scholar] [CrossRef]
- Runacres, M.C.; Owocki, S.P. The outer evolution of instability-generated structure in radiatively driven stellar winds. Astron. Astrophys. 2002, 381, 1015–1025. [Google Scholar] [CrossRef]
- Bu, D.F.; Gan, Z.M. On the wind production from hot accretion flows with different accretion rates. Mon. Not. R. Astron. Soc. Lett. 2018, 474, 1206–1213. [Google Scholar] [CrossRef]
- Potter, W.J. Using radiative energy losses to constrain the magnetization and magnetic reconnection rate at the base of black hole jets. Mon. Not. R. Astron. Soc. Lett. 2017, 465, 337–357. [Google Scholar] [CrossRef]
- Komissarov, S.S. Numerical simulations of relativistic magnetized jets. Mon. Not. R. Astron. Soc. Lett. 1999, 308, 1069–1076. [Google Scholar] [CrossRef]
- Krolik, J.H. Active Galactic Nuclei: From the Central Black Hole to the Galactic Environment; Princeton University Press: Princeton, NJ, USA, 1999. [Google Scholar]
- Kowal, G.; de Gouveia Dal Pino, E.M.; Lazarian, A. Magnetohydrodynamic Simulations of Reconnection and Particle Acceleration: Three-dimensional Effects. Astrophys. J. 2011, 735, 102. [Google Scholar] [CrossRef]
- Sironi, L.; Spitkovsky, A. Relativistic Reconnection: An Efficient Source of Non-thermal Particles. Astrophys. J. 2014, 783, L21. [Google Scholar] [CrossRef]
- de Gouveia Dal Pino, E.M.; Alves Batista, R.; Kowal, G.; Medina-Torrejón, T.; Ramirez-Rodriguez, J.C. Magnetic Reconnection, Cosmic Ray Acceleration, and Gamma-Ray emission around Black Holes and Relativistic Jets. arXiv 2019, arXiv:1903.08982. [Google Scholar]
| 1. | Radial distances are measured perpendicularly to the jet axis throughout the paper. When we refer to the accretion disk the radial distances are along the equatorial plane of the disk. |
| 2. | The magnetic field can be decomposed as , where is the poloidal component of the field and is the toroidal component. |
| 3. | |
| 4. | For a MAD the ratio is rather small because of the magnetic pressure (say ) and then increases with r; see the simulations in Reference [7]. The other values adopted correspond roughly to those of M87. |
| 5. | To facilitate the comparison we remind that the range between 30 GHz and 300 GHz corresponds to a wavelength range of 10 to 1 mm. The photon energy ranges from 0.1 to 1.2 milli-electron volts (meV) in the same interval. |
| 6. | Particle lifetimes are always given in the proper system. |
| 7. | The dimensionless compactness parameter l of a gamma-ray source of size R is defined by , where L is the luminosity, is the Thompson cross section and the electron rest mass. A compactness means that the source radiation is self-absorbed through pair creation. |
| 8. | The mean lifetime of neutrons in the disk reference system is s. Since cm, neutrons should have Lorentz factors , i.e., energies above ∼10 GeV. |
| 9. | There are several slightly different definitions of this parameter. The most general one takes into account the bulk kinetic energy and the internal energy of the matter: . |
| 10. | Cascades develop only if the magnetic configuration is such as not to allow catastrophic synchrotron losses, see Section 4.2. |












| Parameter [Units] | Value |
|---|---|
| black hole mass [] | |
| accretion rate [] | |
| outer radius [] | 100 |
| viscosity parameter | |
| plasma parameter | |
| fraction of energy heating electrons | |
| fraction of the accretion power going to non-thermal particles | |
| ratio of electron to proton non-thermal power | |
| acceleration efficiency | |
| p spectral index of injection | 2 |
© 2020 by the authors. Licensee MDPI, Basel, Switzerland. This article is an open access article distributed under the terms and conditions of the Creative Commons Attribution (CC BY) license (http://creativecommons.org/licenses/by/4.0/).
Share and Cite
Romero, G.E.; Gutiérrez, E. The Origin of Matter at the Base of Relativistic Jets in Active Galactic Nuclei. Universe 2020, 6, 99. https://doi.org/10.3390/universe6070099
Romero GE, Gutiérrez E. The Origin of Matter at the Base of Relativistic Jets in Active Galactic Nuclei. Universe. 2020; 6(7):99. https://doi.org/10.3390/universe6070099
Chicago/Turabian StyleRomero, Gustavo E., and Eduardo Gutiérrez. 2020. "The Origin of Matter at the Base of Relativistic Jets in Active Galactic Nuclei" Universe 6, no. 7: 99. https://doi.org/10.3390/universe6070099
APA StyleRomero, G. E., & Gutiérrez, E. (2020). The Origin of Matter at the Base of Relativistic Jets in Active Galactic Nuclei. Universe, 6(7), 99. https://doi.org/10.3390/universe6070099
