Model Independent Diagnostics in Interacting Dark Energy Models
Abstract
1. Introduction
2. Statefinder Hierarchy and Om Diagnostic
2.1. The Statefinder Hierarchy
2.2. The Diagnostic
3. Exploration of Interacting Dark Energy with Statefinder Hierarchy and Om Diagnostic
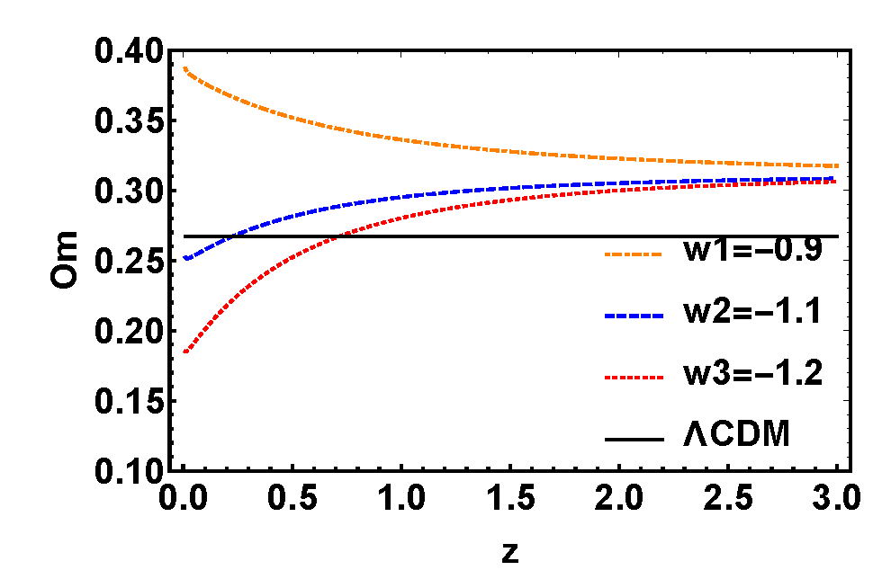
3.1. Consider the Change of w and Keep the Parameter Constant
3.2. Consider the Change of and Keep the Parameter w Constant
4. Conclusions
Author Contributions
Funding
Acknowledgments
Conflicts of Interest
References
- Iorio, L. Editorial for the Special Issue 100 Years of Chronogeometrodynamics: The Status of the Einstein’s Theory of Gravitation in Its Centennial Year. Universe 2015, 1, 38–81. [Google Scholar] [CrossRef]
- Debono, I.; Smoot, G.F. General Relativity and Cosmology: Unsolved Questions and Future Directions. Universe 2016, 2, 23. [Google Scholar] [CrossRef]
- Riess, A.G. Supernova search team collaboration. Astron. J. 1998, 116, 1009. [Google Scholar] [CrossRef]
- Perlmutter, S. Supernova cosmology project collaboration. Astrophys. J. 1999, 517, 565. [Google Scholar] [CrossRef]
- Spergel, D.N.; Bean, R.; Dore, O.; Nolta, M.R.; Bennett, C.L.; Dunkley, J.; Hinshaw, G.; Jarosik, N.; Komatsu, E.; Page, L.; et al. WMAP collaboration. Astrophys. J. Suppl. 2007, 170, 377. [Google Scholar] [CrossRef]
- Adelman-McCarthy, J.K.; Agueros, M.A.; Allam, S.S.; Prieto, C.A.; Anderson, K.S.J.; Anderson, S.F.; Annis, J.; Bahcall, N.A.; Bailer-Jones, C.A.L.; Baldry, I.K.; et al. SDSS collaboration. Astrophys. J. Suppl. 2008, 175, 297. [Google Scholar]
- Tegmark, M.; Strauss, M.; Blanton, M.; Abazajian, K.; Dodelson, S.; Sandvik, H.; Wang, X.; Weinberg, D.; Zehavi, I.; Bahcall, N.; et al. Cosmological parameters from SDSS and WMAP. Phys. Rev. D 2004, 69, 103501. [Google Scholar] [CrossRef]
- Ade, P.A.R.; Aghanim, N.; Arnaud, M.; Ashdown, M.; Aumont, J.; Baccigalupi, C.; Banday, A.J.; Barreiro, R.B.; Bartlett, J.G.; Bartolo, N.; et al. Planck Collaboration. Planck 2015 results—XIII. Cosmological parameters. A&A 2016, 594, A13. [Google Scholar]
- Singh, C.P.; Kumar, A. Ricci dark energy model with bulk viscosity. Eur. Phys. J. Plus 2018, 133, 312. [Google Scholar] [CrossRef]
- Wang, F.Y.; Dai, Z.G.; Qi, S. Probing the cosmographic parameters to distinguish between dark energy and modified gravity models. Astron. Astrophys. 2009, 507, 53–59. [Google Scholar] [CrossRef]
- Batista, C.E.; Daouda, M.H.; Fabris, J.C.; Piattella, O.F.; Rodrigues, D.C. Rastall Cosmology and the ΛCDM Model. Phys. Rev. D 2012, 85, 084008. [Google Scholar] [CrossRef]
- Cao, S.L.; Duan, X.W.; Meng, X.L.; Zhang, T.J. Cosmological model-independent test of ΛCDM with two-point diagnostic by the observational Hubble parameter data. Eur. Phys. J. C 2018, 78, 313. [Google Scholar] [CrossRef]
- Yang, R.-J.; Zhang, S.-N. The age problem in the ΛCDM model. Mon. Not. R. Astron. Soc. 2010, 407, 1835. [Google Scholar] [CrossRef]
- Popolo, A.D.; Delliou, M.L. Small Scale Problems of the ΛCDM Model: A Short Review. Galaxies 2017, 5, 17. [Google Scholar] [CrossRef]
- Peebles, P.J.E.; Vilenkin, A. Quintessential inflation. Phys. Rev. D 1999, 59, 063505. [Google Scholar] [CrossRef]
- Wang, L.; Steinhardt, P.J. Cluster Abundance Constraints on Quintessence Models. Astrophys. J. 1998, 508, 483. [Google Scholar] [CrossRef]
- Caldwell, R.R. A Phantom Menace, Cosmological consequences of a dark energy component with super-negative equation of state. Phys. Lett. B 2002, 545, 23–29. [Google Scholar] [CrossRef]
- Guo, Z.K.; Piao, Y.S.; Zhang, X.; Zhang, Y.Z. Cosmological Evolution of a Quintom Model of Dark Energy. Phys. Lett. B 2005, 608, 177–182. [Google Scholar] [CrossRef]
- Zhang, J.; Zhang, X.; Liu, H. Reconstructing generalized ghost condensate model with dynamical dark energy parametrizations and observational datasets. Mod. Phys. Lett. A 2008, 23, 139–152. [Google Scholar] [CrossRef]
- Li, M. A Model of Holographic Dark Energy. Phys. Lett. B 2004, 603, 1–5. [Google Scholar] [CrossRef]
- Zhang, X.; Wu, F.-Q. Constraints on holographic dark energy from type Ia supernova observations. Phys. Rev. D 2005, 72, 043524. [Google Scholar] [CrossRef]
- Zhang, X. Statefinder diagnostic for holographic dark energy model. Int. J. Mod. Phys. D 2005, 14, 1597–1606. [Google Scholar] [CrossRef]
- Yu, F.; Zhang, J.-F. Statefinder diagnosis for the extended holographic Ricci dark energy model without and with interaction. Commun. Theor. Phys. 2013, 59, 243. [Google Scholar]
- Cui, J.L.; Zhang, J.F. Comparing holographic dark energy models with statefinder. Eur. Phys. J. C 2014, 74, 2849. [Google Scholar] [CrossRef]
- Bento, M.C.; Bertolami, O.; Sen, A.A. Generalized Chaplygin gas, accelerated expansion, and dark-energy-matter unification. Phys. Rev. D 2002, 66, 043507. [Google Scholar] [CrossRef]
- Bento, M.C.; Bertolami, O.; Sen, A.A. Revival of the unified dark energy—Dark matter model? Phys. Rev. D 2004, 70, 083519. [Google Scholar] [CrossRef]
- Kamenshchik, A.; Moschella, U.; Pasquier, V. An alternative to quintessence. Phys. Lett. B 2001, 511, 265–268. [Google Scholar] [CrossRef]
- Garousi, M.R.; Sami, M.; Tsujikawa, S. Constraints on Dirac-Born-Infeld type dark energy models from varying alpha. Phys. Rev. D 2005, 71, 083005. [Google Scholar] [CrossRef]
- Cai, R.G.; Wang, S.J. Dark matter superfluid and DBI dark energy. Phys. Rev. D 2016, 93, 023515. [Google Scholar] [CrossRef]
- Yang, W.; Pan, S.; Nunes, R.C.; Mota, D.F. Dark calling Dark: Interaction in the dark sector in presence of neutrino properties after Planck CMB final release. arXiv 2019, arXiv:1910.08821. [Google Scholar]
- Pan, S.; Yang, W.; Valentino, E.D.; Saridakis, E.N.; Chakraborty, S. Interacting scenarios with dynamical dark energy: Observational constraints and alleviation of the H0 tension. Phys. Rev. D 2019, 100, 103520. [Google Scholar] [CrossRef]
- Yang, W.; Mena, O.; Pan, S.; Valentino, E.D. Dark sectors with dynamical coupling. Phys. Rev. D 2019, 100, 083509. [Google Scholar] [CrossRef]
- Yang, W.; Vagnozzi, S.; Valentino, E.D.; Nunes, R.C.; Pan, S.; Mota, D.F. Listening to the sound of dark sector interactions with gravitational wave standard sirens. JCAP 2019, 1907, 037. [Google Scholar] [CrossRef]
- Pan, S.; Yang, W.; Singha, C.; Saridakis, E.N. Observational constraints on sign-changeable interaction models and alleviation of the H0 tension. Phys. Rev. D 2019, 100, 083539. [Google Scholar] [CrossRef]
- Yang, W.; Banerjee, N.; Paliathanasis, A.; Pan, S. Reconstructing the dark matter and dark energy interaction scenarios from observations. Phys. Dark Univ. 2019, 26, 100383. [Google Scholar] [CrossRef]
- Yang, W.; Mukherjee, A.; Valentino, E.D.; Pan, S. Interacting dark energy with time varying equation of state and the H0 tension. Phys. Rev. D 2018, 98, 123527. [Google Scholar] [CrossRef]
- Yang, W.; Pan, S.; Herrera, R.; Chakraborty, S. Large-scale (in) stability analysis of an exactly solved coupled dark-energy model. Phys. Rev. D 2018, 98, 043517. [Google Scholar] [CrossRef]
- Yang, W.; Pan, S.; Valentino, E.D.; Nunes, R.C.; Vagnozzi, S.; Mota, D.F. Tale of stable interacting dark energy, observational signatures, and the H0 tension. JCAP 2018, 1809, 019. [Google Scholar] [CrossRef]
- Yang, W.; Pan, S.; Barrow, J.D. Large-scale Stability and Astronomical Constraints for Coupled Dark-Energy Models. Phys. Rev. D 2018, 97, 043529. [Google Scholar] [CrossRef]
- Yang, W.; Xu, L. Cosmological constraints on interacting dark energy with redshift-space distortion after Planck data. Phys. Rev. D 2014, 89, 083517. [Google Scholar] [CrossRef]
- Yang, W.; Xu, L. Testing coupled dark energy with large scale structure observation. JCAP 2014, 1408, 034. [Google Scholar] [CrossRef]
- Nunes, R.C.; Pan, S.; Saridakis, E.N. New constraints on interacting dark energy from cosmic chronometers. Phys. Rev. D 2016, 94, 023508. [Google Scholar] [CrossRef]
- Sharov, G.S.; Bhattacharya, S.; Pan, S.; Nunes, R.C.; Chakraborty, S. A new interacting two fluid model and its consequences. Mon. Not. R. Astron. Soc. 2017, 466, 3497–3506. [Google Scholar] [CrossRef]
- Pan, S.; Mukherjee, A.; Banerjee, N. Astronomical bounds on a cosmological model allowing a general interaction in the dark sector. Mon. Not. R. Astron. Soc. 2018, 477, 1189–1205. [Google Scholar] [CrossRef]
- Pan, S.; Bhattacharya, S.; Chakraborty, S. An analytic model for interacting dark energy and its observational constraints. Mon. Not. R. Astron. Soc. 2015, 452, 3038–3046. [Google Scholar] [CrossRef]
- Feng, L.; Li, H.L.; Zhang, J.F.; Zhang, X. Exploring neutrino mass and mass hierarchy in interacting dark energy models. Sci. China Phys. Mech. Astron. 2020, 63, 220401. [Google Scholar] [CrossRef]
- Guo, R.Y.; Zhang, J.F.; Zhang, X. Exploring neutrino mass and mass hierarchy in the scenario of vacuum energy interacting with cold dark matte. Chin. Phys. C 2018, 42, 095103. [Google Scholar] [CrossRef]
- Feng, L.; Zhang, J.F.; Zhang, X. Search for sterile neutrinos in a universe of vacuum energy interacting with cold dark matter. Phys. Dark Univ. 2019, 23, 100261. [Google Scholar] [CrossRef]
- Zhang, J.; An, R.; Luo, W.; Li, Z.; Liao, S.; Wang, B. The First Constraint from SDSS Galaxy-Galaxy Weak Lensing Measurements on Interacting Dark Energy Models. Astrophys. J. 2019, 875, L11. [Google Scholar] [CrossRef]
- Zhang, J.; An, R.; Liao, S.; Luo, W.; Li, Z.; Wang, B. Fully self-consistent cosmological simulation pipeline for interacting dark energy models. Phys. Rev. D 2018, 98, 103530. [Google Scholar] [CrossRef]
- Shenavar, H.; Javidan, K. A Modified Dynamical Model of Cosmology I Theory. Universe 2020, 6, 1. [Google Scholar] [CrossRef]
- Dymnikova, I.; Dobosz, A.; Soltysek, B. Lemaitre class dark energy model for relaxing cosmological constant. Universe 2017, 3, 39. [Google Scholar] [CrossRef]
- Deng, X.-M. A Modified Generalized Chaplygin Gas as the Unified Dark Matter—Dark Energy Revisited. Braz. J. Phys. 2011, 41, 333–348. [Google Scholar] [CrossRef]
- Bhadra, J.; Debnath, U. Dynamical system analysis of interacting variable modified Chaplygin gas model in FRW universe. Eur. Phys. J. Plus 2012, 127, 30. [Google Scholar] [CrossRef][Green Version]
- Pourhassan, B. Viscous modified cosmic Chaplygin gas cosmology. Int. J. Mod. Phys. 2013, 22, 1350061. [Google Scholar] [CrossRef]
- Cui, J.L.; Yin, L.; Wang, L.F.; Li, Y.H.; Zhang, X. A closer look at interacting dark energy with statefinder hierarchy and growth rate of structure. JCAP 2015, 09, 024. [Google Scholar] [CrossRef]
- Zhang, Z.; Li, S.; Li, X.; Zhang, X.; Li, M. Revisit of the Interaction between Holographic Dark Energy and Dark Matter. JCAP 2012, 06, 009. [Google Scholar] [CrossRef]
- Wang, B.; Gong, Y.; Abdalla, E. Transition of the dark energy equation of state in an interacting holographic dark energy model. Phys. Lett. B 2005, 624, 141–146. [Google Scholar] [CrossRef]
- Hu, B.; Ling, Y. Interacting dark energy, holographic principle and coincidence problem. Phys. Rev. D 2006, 73, 123510. [Google Scholar] [CrossRef]
- Setare, M.R.; Vagenas, E.C. The cosmological dynamics of interacting holograhic dark energy model. Int. J. Mod. Phys. 2009, 18, 147–157. [Google Scholar] [CrossRef]
- Cao, S.; Liang, N. Interacting between dark energy and dark matter: Observational conditions from OHD, BAO, CMB AND SNe Ia. Int. J. Mod. Phys. D 2013, 22, 1350082. [Google Scholar] [CrossRef]
- Wang, J.S.; Wang, F.Y. Cosmological model of the interaction between dark matter and dark energy. A&A 2014, 564, A137. [Google Scholar]
- He, J.-H.; Wang, B. The interaction between dark energy and dark matter. J. Phys. Conf. Ser. 2010, 222, 012029. [Google Scholar] [CrossRef]
- Tamanini, N. On phenomenological models of dark energy interacting with dark matter. Phys. Rev. D 2015, 92, 043524. [Google Scholar] [CrossRef]
- Wei, H.; Cai, R.-G. Statefinder Diagnostic and w-w’ Analysis for the Agegraphic Dark Energy Models without and with Interaction. Phys. Lett. B 2007, 655, 1–6. [Google Scholar] [CrossRef]
- Arabsalmani, M.; Sahni, V. The Statefinder hierarchy: An extended null diagnostic for concordance cosmology. Phys. Rev. D 2011, 83, 043501. [Google Scholar] [CrossRef]
- Zhang, J.-F.; Cui, J.-L.; Zhang, X. Diagnosing holographic dark energy models with statefinder hierarchy. Eur. Phys. J. C 2014, 74, 3100. [Google Scholar] [CrossRef]
- Yu, F.; Cui, J.-L.; Zhang, J.-F.; Zhang, X. Statefinder hierarchy exploration of the extended Ricci dark energy. Eur. Phys. J. C 2015, 75, 274. [Google Scholar] [CrossRef]
- Zhao, Z.; Wang, S. Diagnosing holographic type dark energy models with the Statefinder hierarchy, composite null diagnostic and w-w′ pair. Sci. China Phys. Mech. Astron. 2018, 61, 039811. [Google Scholar] [CrossRef]
- Zhou, L.; Wang, S. Diagnosing ΛHDE model with statefinder hierarchy and fractional growth parameter. Sci. China Phys. Mech. Astron. 2016, 59, 670411. [Google Scholar] [CrossRef][Green Version]
- Li, S.; Ma, Y.; Chen, Y. Dynamical Evolution of Interacting Modified Chaplygin Gas. Int. J. Mod. Phys. D 2009, 18, 1785–1800. [Google Scholar] [CrossRef]
- Khurshudyan, M.Z.; Makarenko, A.N. On a phenomenology of the accelerated expansion with a varying ghost dark energy. Astrophys. Space Sci. 2016, 361, 187. [Google Scholar] [CrossRef]
- Chang, B.; Liu, H.; Xu, L.; Zhang, C. Statefinder Parameters for Five-Dimensional Cosmology. Mod. Phys. Lett. A 2008, 23, 269–279. [Google Scholar] [CrossRef]
- Alam, U.; Sahni, V.; Saini, T.D.; Starobinsky, A.A. Exploring the Expanding Universe and Dark Energy using the Statefinder Diagnostic. Mon. Not. R. Astron. Soc. 2003, 344, 1057–1074. [Google Scholar] [CrossRef]
- Sahni, V.; Shafieloo, A.; Starobinsky, A.A. Two new diagnostics of dark energy. Phys. Rev. D 2008, 78, 103502. [Google Scholar] [CrossRef]
- Shafieloo, A.; Sahni, V.; Starobinsky, A.A. A new null diagnostic customized for reconstructing the properties of dark energy from BAO data. Phys. Rev. D 2012, 86, 103527. [Google Scholar] [CrossRef]
- Sahni, V.; Shafieloo, A.; Starobinsky, A.A. Model independent evidence for dark energy evolution from Baryon Acoustic Oscillations. Astrophys. J. 2014, 793, 40. [Google Scholar] [CrossRef]
- Malekjani, M.; Khodam-Mohammadi, A.; Nazari-pooya, N. Cosmological evolution and statefinder diagnostic for new holographic dark energy model in non flat universe. Astrophys. Space Sci. 2011, 332, 515–524. [Google Scholar] [CrossRef]














© 2020 by the authors. Licensee MDPI, Basel, Switzerland. This article is an open access article distributed under the terms and conditions of the Creative Commons Attribution (CC BY) license (http://creativecommons.org/licenses/by/4.0/).
Share and Cite
Jiang, Y.; Han, Z.; Zhang, Q.; Yang, W.; Wu, Y.; Li, J.; Lou, H.; Zhao, C.; Wang, Y. Model Independent Diagnostics in Interacting Dark Energy Models. Universe 2020, 6, 49. https://doi.org/10.3390/universe6040049
Jiang Y, Han Z, Zhang Q, Yang W, Wu Y, Li J, Lou H, Zhao C, Wang Y. Model Independent Diagnostics in Interacting Dark Energy Models. Universe. 2020; 6(4):49. https://doi.org/10.3390/universe6040049
Chicago/Turabian StyleJiang, Ying, Zhongxu Han, Qian Zhang, Weiqiang Yang, Yabo Wu, Jinyang Li, Han Lou, Chenchen Zhao, and Yan Wang. 2020. "Model Independent Diagnostics in Interacting Dark Energy Models" Universe 6, no. 4: 49. https://doi.org/10.3390/universe6040049
APA StyleJiang, Y., Han, Z., Zhang, Q., Yang, W., Wu, Y., Li, J., Lou, H., Zhao, C., & Wang, Y. (2020). Model Independent Diagnostics in Interacting Dark Energy Models. Universe, 6(4), 49. https://doi.org/10.3390/universe6040049
