Vector-Interaction-Enhanced Bag Model
Abstract
1. Introduction
2. vBag, an Extended Bag Model
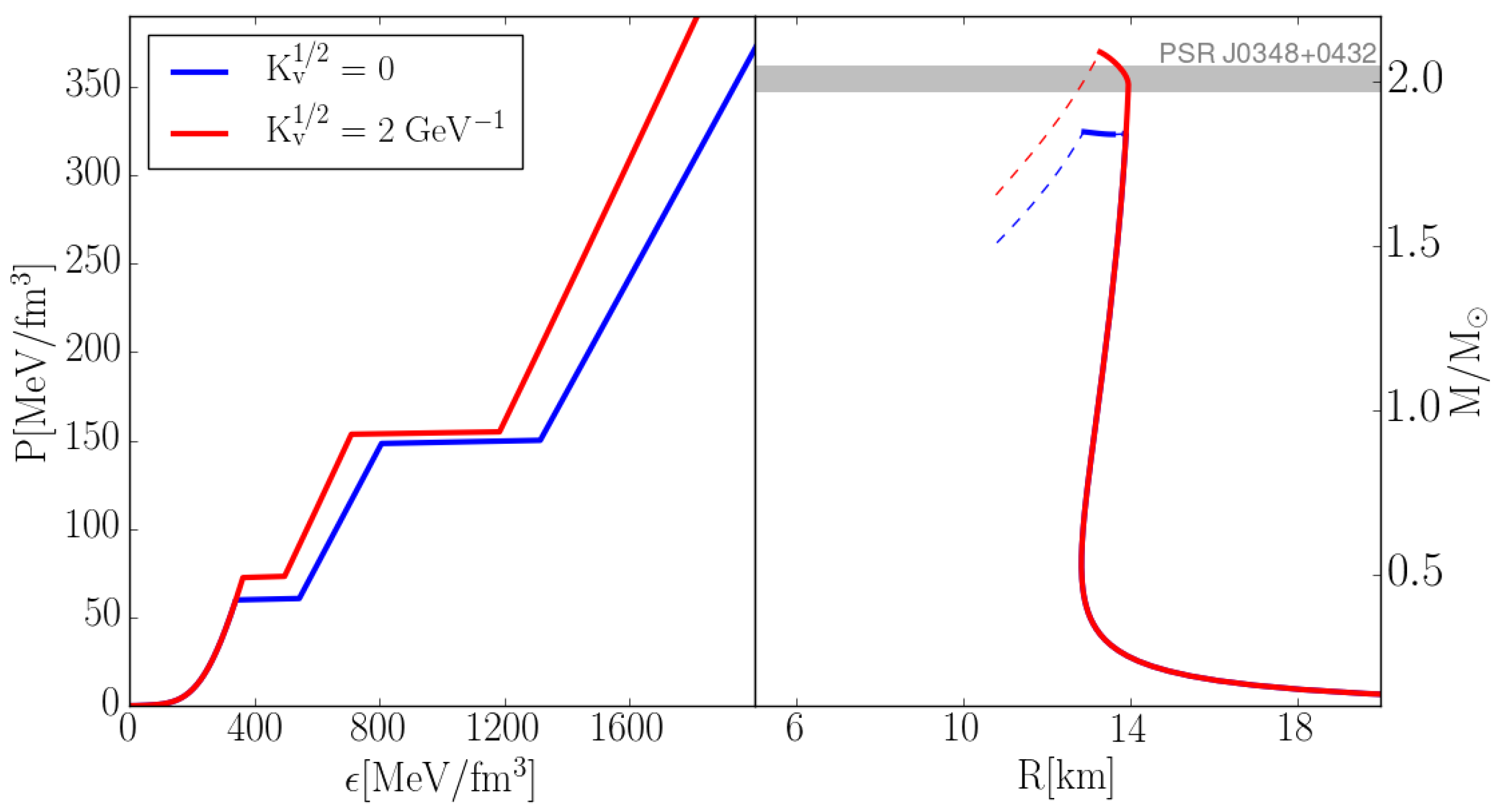
3. Neutron Star Mass–Radius Relation
4. Momentum Dependence
5. Conclusions
Supplementary Materials
Supplementary File 1Acknowledgments
Author Contributions
Conflicts of Interest
Abbreviations
| QCD | Quantum Chromodynamics |
| Dynamic Chiral Symmetry Breaking | |
| EoS | Equation of State |
| MeV | Megaelectronovolt |
| GeV | Gigaelectronovolt |
| Solar mass | |
| DSE | Dyson–Schwinger equation |
| NJL | Nambu–Jona-Lasinio |
| MN | Munczek–Nemirovsky |
| tdBag | thermodynamic bag |
| UV | ultra-violet |
| IR | infra-red |
References
- Roberts, C.D. Three Lectures on Hadron Physics. J. Phys. Conf. Ser. 2016, 706, 022003. [Google Scholar] [CrossRef]
- Fodor, Z.; Katz, S.D. Critical point of QCD at finite T and mu, lattice results for physical quark masses. J. High Energy Phys. 2004, 2004, 529–538. [Google Scholar] [CrossRef]
- Aoki, Y.; Endrodi, G.; Fodor, Z.; Katz, S.D.; Szabo, K.K. The Order of the quantum chromodynamics transition predicted by the standard model of particle physics. Nature 2006, 443, 675–678. [Google Scholar] [CrossRef] [PubMed]
- Borsanyi, S.; Fodor, Z.; Katz, S.D.; Krieg, S.; Ratti, C.; Szabo, K. Fluctuations of conserved charges at finite temperature from lattice QCD. J. High Energy Phys. 2012, 2012, 138. [Google Scholar] [CrossRef]
- Bazavov, A.; Bhattacharya, T.; Cheng, M.; Detar, C.; Ding, H.T. The chiral and deconfinement aspects of the QCD transition. Phys. Rev. D 2012, 85, 054503. [Google Scholar] [CrossRef]
- Bazavov, A.; Ding, H.T.; Hegde, P.; Kaczmarek, O.; Karsch, F. Freeze-out Conditions in Heavy Ion Collisions from QCD Thermodynamics. Phys. Rev. Lett. 2012, 109, 192302. [Google Scholar] [CrossRef] [PubMed]
- Borsanyi, S.; Fodor, Z.; Hoelbling, C.; Katz, S.D.; Krieg, S.; Szabo, K.K. Full result for the QCD equation of state with 2+1 flavors. Phys. Lett. B 2014, 730, 99–104. [Google Scholar] [CrossRef]
- Braun-Munzinger, P.; Kalweit, A.; Redlich, K.; Stachel, J. Confronting fluctuations of conserved charges in central nuclear collisions at the LHC with predictions from Lattice QCD. Phys. Lett. B 2015, 747, 292–298. [Google Scholar] [CrossRef]
- Dexheimer, V.A.; Schramm, S. A Novel Approach to Model Hybrid Stars. Phys. Rev. C 2010, 81, 045201. [Google Scholar] [CrossRef]
- Steinheimer, J.; Schramm, S.; Stocker, H. An Effective chiral Hadron-Quark Equation of State. J. Phys. G 2011, 38, 035001. [Google Scholar] [CrossRef]
- Oertel, M.; Hempel, M.; Klähn, T.; Typel, S. Equations of state for supernovae and compact stars. Rev. Mod. Phys. 2017, 89, 015007. [Google Scholar] [CrossRef]
- Fischer, T.; Bastian, N.U.; Blaschke, D.; Cierniak, M.; Hempel, M.; Klähn, T.; Martínez-Pinedo, G.; Newton, W.G.; Röpke, G.; Typel, S. The state of matter in simulations of core-collapse supernovae—Reflections and recent developments. Publ. Astron. Soc. Aust. 2017, 34, e067. [Google Scholar] [CrossRef]
- Farhi, E.; Jaffe, R.L. Strange Matter. Phys. Rev. D 1984, 30, 2379–2390. [Google Scholar] [CrossRef]
- Nambu, Y.; Jona-Lasinio, G. Dynamical Model of Elementary Particles Based on an Analogy with Superconductivity. I. Phys. Rev. 1961, 122, 345–358. [Google Scholar] [CrossRef]
- Nambu, Y.; Jona-Lasinio, G. Dynamical model of elementary particles based on an analogy with superconductivity. II. Phys. Rev. 1961, 124, 246–254. [Google Scholar] [CrossRef]
- Klevansky, S.P. The Nambu-Jona-Lasinio model of quantum chromodynamics. Rev. Mod. Phys. 1992, 64, 649–708. [Google Scholar] [CrossRef]
- Buballa, M. NJL model analysis of quark matter at large density. Phys. Rep. 2005, 407, 205–376. [Google Scholar] [CrossRef]
- Klahn, T.; Fischer, T. Vector interaction enhanced bag model for astrophysical applications. Astrophys. J. 2015, 810, 134. [Google Scholar] [CrossRef]
- Demorest, P.; Pennucci, T.; Ransom, S.; Roberts, M.; Hessels, J. Shapiro Delay Measurement of a Two Solar Mass Neutron Star. Nature 2010, 467, 1081–1083. [Google Scholar] [CrossRef] [PubMed]
- Fonseca, E.; Pennucci, T.T.; Ellis, J.A.; Stairs, I.H.; Nice, D.J.; Ransom, S.M.; Demorest, P.B.; Arzoumanian, Z.; Crowter, K.; Dolch, T.; et al. The NANOGrav Nine-year Data Set: Mass and Geometric Measurements of Binary Millisecond Pulsars. Astrophys. J. 2016, 832, 167. [Google Scholar] [CrossRef]
- Antoniadis, J.; Whelan, D.G. A Massive Pulsar in a Compact Relativistic Binary. Science 2013, 340, 1233232. [Google Scholar] [CrossRef] [PubMed]
- Qin, S.X.; Chang, L.; Chen, H.; Liu, Y.X.; Roberts, C.D. Phase diagram and critical endpoint for strongly-interacting quarks. Phys. Rev. Lett. 2011, 106, 172301. [Google Scholar] [CrossRef] [PubMed]
- Fischer, C.S.; Luecker, J.; Welzbacher, C.A. Phase structure of three and four flavor QCD. Phys. Rev. D 2014, 90, 034022. [Google Scholar] [CrossRef]
- Klahn, T.; Fischer, T.; Hempel, M. Simultaneous chiral symmetry restoration and deconfinement—Consequences for the QCD phase diagram. Astrophys. J. 2017, 836, 89. [Google Scholar] [CrossRef]
- Fischer, T.; Klähn, T.; Hempel, M. Consequences of simultaneous chiral symmetry breaking and deconfinement for the isospin symmetric phase diagram. Eur. Phys. J. A 2016, 52, 225. [Google Scholar] [CrossRef]
- Klähn, T.; Fischer, T.; Cierniak, M.; Hempel, M. Phase Diagram of (Proto)Neutron Star Matter in an Extended Bag Model. J. Phys. Conf. Ser. 2017, 861, 012026. [Google Scholar] [CrossRef]
- Rusnak, J.J.; Furnstahl, R.J. Two point fermion correlation functions at finite density. Z. Phys. A 1995, 352, 345–350. [Google Scholar] [CrossRef]
- Roberts, C.D.; Schmidt, S.M. Dyson-Schwinger equations: Density, temperature and continuum strong QCD. Prog. Part. Nucl. Phys. 2000, 45, S1–S103. [Google Scholar] [CrossRef]
- Gutierrez-Guerrero, L.X.; Bashir, A.; Cloet, I.C.; Roberts, C.D. Pion form factor from a contact interaction. Phys. Rev. C 2010, 81, 065202. [Google Scholar] [CrossRef]
- Munczek, H.J. Dynamical chiral symmetry breaking, Goldstone’s theorem and the consistency of the Schwinger-Dyson and Bethe-Salpeter Equations. Phys. Rev. D 1995, 52, 4736–4740. [Google Scholar] [CrossRef]
- Bender, A.; Roberts, C.D.; Von Smekal, L. Goldstone theorem and diquark confinement beyond rainbow ladder approximation. Phys. Lett. B 1996, 380, 7–12. [Google Scholar] [CrossRef]
- Ebert, D.; Feldmann, T.; Reinhardt, H. Extended NJL model for light and heavy mesons without q anti-q thresholds. Phys. Lett. B 1996, 388, 154–160. [Google Scholar] [CrossRef]
- Munczek, H.J.; Nemirovsky, A.M. The Ground State q anti-q Mass Spectrum in QCD. Phys. Rev. D 1983, 28, 181. [Google Scholar] [CrossRef]
- Klahn, T.; Roberts, C.D.; Chang, L.; Chen, H.; Liu, Y.X. Cold quarks in medium: An equation of state. Phys. Rev. C 2010, 82, 035801. [Google Scholar] [CrossRef]
- Cierniak, M.; Klähn, T. Exploring the in-Medium Momentum Dependence of the Dynamical Quark Mass. arXiv 2017, arXiv:nucl-th/1705.06182. [Google Scholar]




© 2018 by the authors. Licensee MDPI, Basel, Switzerland. This article is an open access article distributed under the terms and conditions of the Creative Commons Attribution (CC BY) license (http://creativecommons.org/licenses/by/4.0/).
Share and Cite
Cierniak, M.; Klähn, T.; Fischer, T.; Bastian, N.-U.F. Vector-Interaction-Enhanced Bag Model. Universe 2018, 4, 30. https://doi.org/10.3390/universe4020030
Cierniak M, Klähn T, Fischer T, Bastian N-UF. Vector-Interaction-Enhanced Bag Model. Universe. 2018; 4(2):30. https://doi.org/10.3390/universe4020030
Chicago/Turabian StyleCierniak, Mateusz, Thomas Klähn, Tobias Fischer, and Niels-Uwe F. Bastian. 2018. "Vector-Interaction-Enhanced Bag Model" Universe 4, no. 2: 30. https://doi.org/10.3390/universe4020030
APA StyleCierniak, M., Klähn, T., Fischer, T., & Bastian, N.-U. F. (2018). Vector-Interaction-Enhanced Bag Model. Universe, 4(2), 30. https://doi.org/10.3390/universe4020030

