Axion-like Particle Effects on Photon Polarization in High-Energy Astrophysics
Abstract
1. Introduction
2. Axion-like Particles
3. Polarization Effects
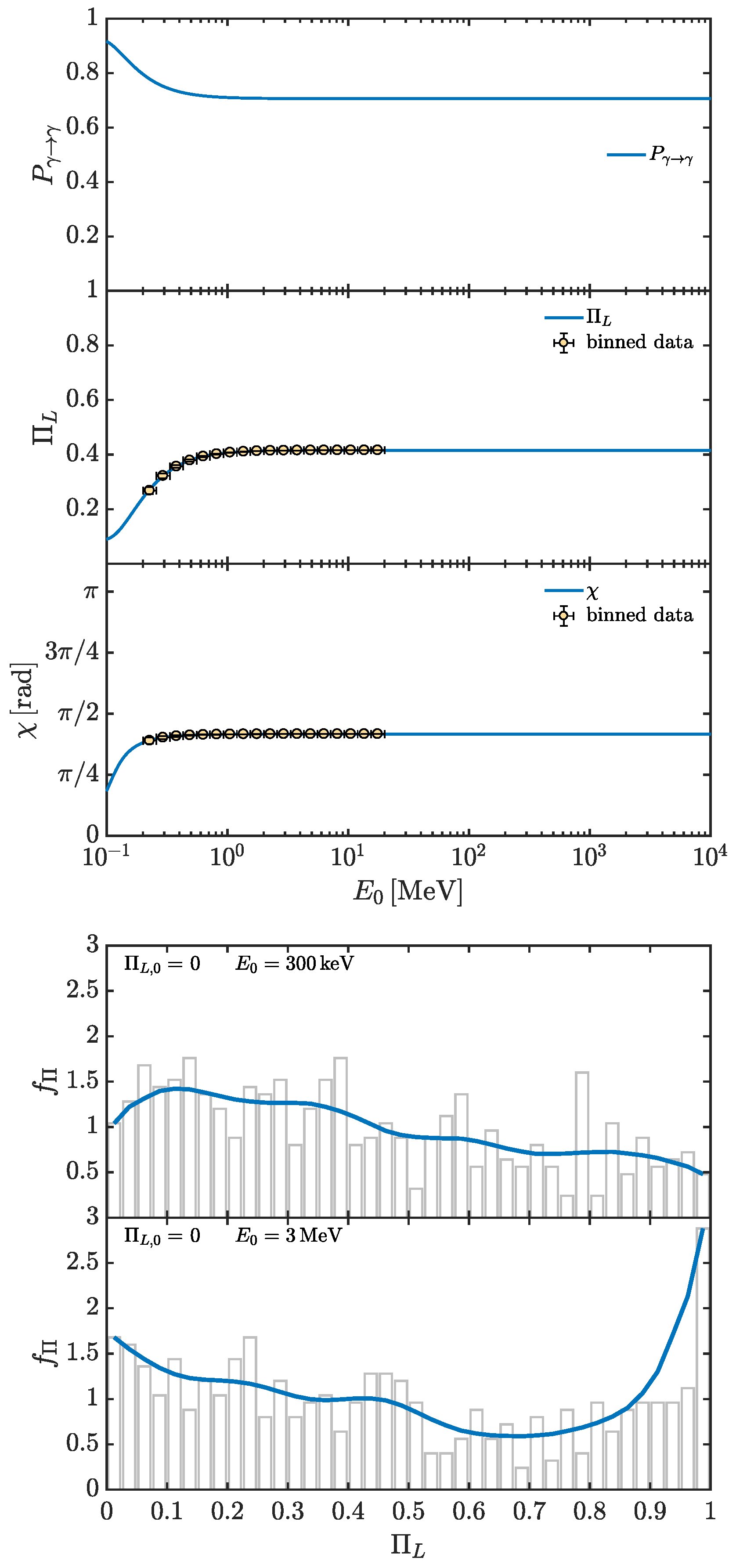
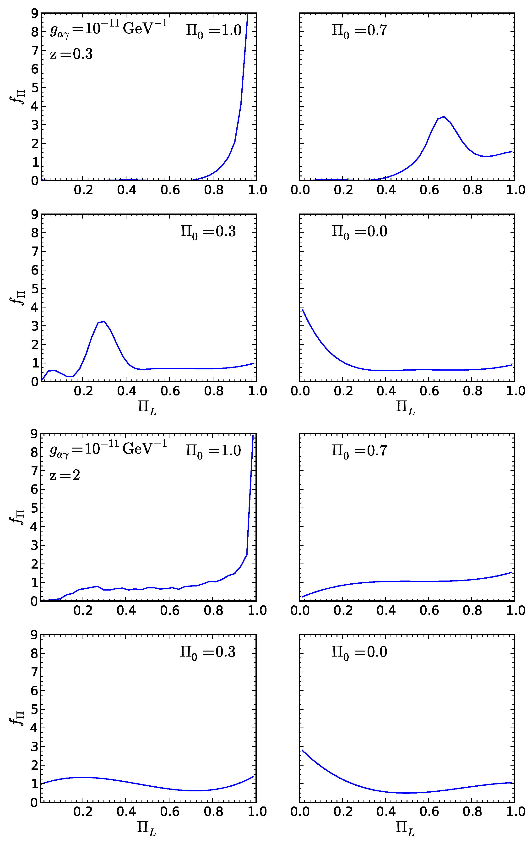
- In case of no photon absorption and a starting condition of only photons with an initial degree of linear polarization , the inequalities and hold. In case of initially unpolarized photons (), we observe and .
- In the previous conditions, represents the measure of the overlap between the values assumed by and . In case of initially unpolarized photons (), and possess the common value of 1/2, at most.

4. Photon–ALP Beam Propagation in Different Media
4.1. Blazars
4.2. Host Galaxy
4.3. Galaxy Clusters
4.4. Extragalactic Space
4.5. Milky Way
4.6. Overall Photon–ALP Beam Propagation
5. ALP Effects on Photon Polarization
5.1. UV-X-ray Band


5.2. High-Energy Band



6. Discussion and Future Perspectives
6.1. Very High Energy Band
6.2. Gamma-Ray Bursts
7. Conclusions
Funding
Data Availability Statement
Acknowledgments
Conflicts of Interest
References
- Chang, S.; Tazawa, S.; Yamaguchi, M. Axion model in extra dimensions with TeV scale gravity. Phys. Rev. D 2000, 61, 084005. [Google Scholar] [CrossRef]
- Dienes, K.R.; Dudas, E.; Gherghetta, T. Invisible axions and large-radius compactifications. Phys. Rev. D 2000, 62, 105023. [Google Scholar] [CrossRef]
- Turok, N. Almost-Goldstone Bosons from Extra-Dimensional Gauge Theories. Phys. Rev. Lett. 1996, 76, 1015. [Google Scholar] [CrossRef] [PubMed]
- Corianò, C.; Irges, N. Windows over a new low energy axion. Phys. Lett. B 2007, 651, 298–305. [Google Scholar] [CrossRef][Green Version]
- Corianò, C.; Irges, N.; Morelli, S. Stückelberg axions and the effective action of anomalous abelian models 1. A unitarity analysis of the Higgs-axion mixing. J. High Energy Phys. 2007, 2007, 008. [Google Scholar] [CrossRef][Green Version]
- Baer, H.; Krami, S.; Sekmen, S.; Summy, H. Dark matter allowed scenarios for Yukawa-unified SO(10) SUSY GUTs. J. High Energy Phys. 2008, 2008, 056. [Google Scholar] [CrossRef]
- Baer, H.; Summy, H. SO(10) SUSY GUTs, the gravitino problem, non-thermal leptogenesis and axino dark matter. Phys. Lett. B 2008, 666, 5–9. [Google Scholar] [CrossRef]
- Baer, H.; Haider, M.; Kraml, S.; Sekmen, S.; Summy, H. Cosmological consequences of Yukawa-unified SUSY with mixed axion/axino cold and warm dark matter. J. Cosmol. Astropart. Phys. 2009, 2009, 002. [Google Scholar] [CrossRef]
- Witten, E. Some properties of O(32) superstrings. Phys. Lett. B 1984, 149, 351–356. [Google Scholar] [CrossRef]
- Conlon, J.P. The QCD axion and moduli stabilisation. J. High Energy Phys. 2006, 2006, 078. [Google Scholar] [CrossRef]
- Svrcek, P.; Witten, E. Axions in string theory. J. High Energy Phys. 2006, 2006, 051. [Google Scholar] [CrossRef]
- Conlon, J.P. Seeing an Invisible Axion in the Supersymmetric Particle Spectrum. Phys. Rev. Lett. 2006, 97, 261802. [Google Scholar] [CrossRef] [PubMed]
- Choi, K.-S.; Kim, I.-W.; Kim, J.E. String compactification, QCD axion and axion–photon–photon coupling. J. High Energy Phys. 2007, 2007, 116. [Google Scholar] [CrossRef]
- Arvanitaki, A.; Dimopoulos, S.; Dubovsky, S.; Kaloper, N.; March-Russell, J. String axiverse. Phys. Rev. D 2010, 81, 123530. [Google Scholar] [CrossRef]
- Acharya, B.S.; Bobkov, K.; Kumar, P. An M theory solution to the strong CP-problem, and constraints on the axiverse. J. High Energy Phys. 2010, 11, 105. [Google Scholar] [CrossRef]
- Cicoli, M.; Goodsell, M.; Ringwald, A. The type IIB string axiverse and its low-energy phenomenology. J. High Energy Phys. 2012, 10, 146. [Google Scholar] [CrossRef]
- Jaeckel, J.; Ringwald, A. The Low-Energy Frontier of Particle Physics. Ann. Rev. Nucl. Part. Sci. 2010, 60, 405–437. [Google Scholar] [CrossRef]
- Ringwald, A. Exploring the role of axions and other WISPs in the dark universe. Phys. Dark Univ. 2012, 1, 116–135. [Google Scholar] [CrossRef]
- Kim, J.H. Light pseudoscalars, particle physics and cosmology. Phys. Rep. 1987, 150, 1–177. [Google Scholar] [CrossRef]
- Cheng, H.Y. The strong CP problem revisited. Phys. Rep. 1988, 158, 1–89. [Google Scholar] [CrossRef]
- Kim, J.E.; Carosi, G. Axions and the strong CP problem. Rev. Mod. Phys. 2010, 82, 557. [Google Scholar] [CrossRef]
- Marsch, D.J.E. Axion cosmology. Phys. Rep. 2016, 643, 1. [Google Scholar] [CrossRef]
- Preskill, J.; Wise, M.B.; Wilczek, F. Cosmology of the invisible axion. Phys. Lett. B 1983, 120, 127–132. [Google Scholar] [CrossRef]
- Abbott, L.F.; Sikivie, P. A cosmological bound on the invisible axion. Phys. Lett. B 1983, 120, 133–136. [Google Scholar] [CrossRef]
- Dine, M.; Fischler, W. The not-so-harmless axion. Phys. Lett. B 1983, 120, 137–141. [Google Scholar] [CrossRef]
- Arias, P.; Cadamuro, D.; Goodsell, M.; Jaeckel, J.; Redondo, J.; Ringwald, A. WISPy cold dark matter. J. Cosmol. Astropart. Phys. 2012, 2012, 013. [Google Scholar] [CrossRef]
- Maiani, L.; Petronzio, R.; Zavattini, E. Effects of nearly massless, spin-zero particles on light propagation in a magnetic field. Phys. Let. B 1986, 175, 359–363. [Google Scholar] [CrossRef]
- Raffelt, G.G.; Stodolsky, L. Mixing of the photon with low-mass particles. Phys. Rev. D 1988, 37, 1237. [Google Scholar] [CrossRef] [PubMed]
- Irastorza, I.G.; Redondo, J. New experimental approaches in the search for axion-like particles. Prog. Part. Nucl. Phys. 2018, 102, 89–159. [Google Scholar] [CrossRef]
- Galanti, G.; Roncadelli, M. Axion-like Particles Implications for High-Energy Astrophysics. Universe 2022, 8, 253. [Google Scholar] [CrossRef]
- Tavecchio, F.; Roncadelli, M.; Galanti, G. Photons to axion-like particles conversion in Active Galactic Nuclei. Phys. Lett. B 2015, 744, 375–379. [Google Scholar] [CrossRef]
- Tavecchio, F.; Roncadelli, M.; Galanti, G.; Bonnoli, G. Evidence for an axion-like particle from PKS 1222+216? Phys. Rev. D 2012, 86, 085036. [Google Scholar] [CrossRef]
- Galanti, G.; Roncadelli, M.; De Angelis, A.; Bignami, G.F. Hint at an axion-like particle from the redshift dependence of blazar spectra. Mon. Not. Astron. R. Soc. 2020, 493, 1553. [Google Scholar] [CrossRef]
- De Angelis, A.; Roncadelli, M.; Mansutti, O. Evidence for a new light spin-zero boson from cosmological gamma-ray propagation? Phys. Rev. D 2007, 76, 121301. [Google Scholar] [CrossRef]
- De Angelis, A.; Galanti, G.; Roncadelli, M. Relevance of axionlike particles for very-high-energy astrophysics. Phys. Rev. D 2011, 84, 105030, Erratum in Phys. Rev. D 2013, 87, 109903. [Google Scholar] [CrossRef]
- Galanti, G.; Roncadelli, M. Extragalactic photon–axion-like particle oscillations up to 1000 TeV. J. High Energy Astrophys. 2018, 20, 1–17. [Google Scholar] [CrossRef]
- De Angelis, A.; Galanti, G.; Roncadelli, M. Transparency of the Universe to gamma rays. Mon. Not. Astron. R. Soc. 2013, 432, 3245. [Google Scholar] [CrossRef]
- Franceschini, A.; Rodighiero, G. The extragalactic background light revisited and the cosmic photon-photon opacity. Astron. Astrophys. 2017, 603, A34. [Google Scholar] [CrossRef]
- Galanti, G.; Piccinini, F.; Roncadelli, M.; Tavecchio, F. Estimating γγ absorption for ultrahigh-energy photons with lepton and hadron production. Phys. Rev. D 2020, 102, 123004. [Google Scholar] [CrossRef]
- Galanti, G.; Tavecchio, F.; Roncadelli, M.; Evoli, C. Blazar VHE spectral alterations induced by photon–ALP oscillations. Mon. Not. Astron. R. Soc. 2019, 487, 123. [Google Scholar] [CrossRef]
- Galanti, G.; Tavecchio, F.; Landoni, M. Fundamental physics with blazar spectra: A critical appraisal. Mon. Not. Astron. R. Soc. 2020, 491, 5268. [Google Scholar] [CrossRef]
- Vercellone, S.; Bigongiari, C.; Burtovoi, A.; Cardillo, M.; Catalano, O.; Franceschini, A.; Lombardi, S.; Nava, L.; Pintore, F.; Stamerra, A.; et al. ASTRI Mini-Array core science at the Observatorio del Teide. J. High Energy Astrophys. 2022, 35, 1–42. [Google Scholar] [CrossRef]
- Available online: https://www.cta-observatory.org/ (accessed on 10 June 2024).
- Egorov, A.E.; Topchiev, N.P.; Galper, A.M.; Dalkarov, O.D.; Leonov, A.A.; Suchkov, S.I.; Yurkin, Y.T. Dark matter searches by the planned gamma-ray telescope GAMMA-400. J. Cosmol. Astropart. Phys. 2020, 11, 049. [Google Scholar] [CrossRef]
- Available online: https://www.hawc-observatory.org/ (accessed on 10 June 2024).
- Huang, X.; Lamperstorfer, A.S.; Tsai, Y.L.S.; Xu, M.; Yuan, Q.; Chang, J.; Dong, Y.W.; Hu, B.L.; Lü, J.G.; Wang, L.; et al. Perspective of monochromatic gamma-ray line detection with the High Energy cosmic-Radiation Detection (HERD) facility onboard China’s space station. Astropart. Phys. 2016, 78, 35–42. [Google Scholar] [CrossRef]
- Cao, Z.; della Volpe, D.; Liu, S.; Bi, X.; Chen, Y.; D’Ettorre Piazzoli, B.; Feng, L.; Jia, H.; Li, Z.; Ma, X.; et al. The Large High Altitude Air Shower Observatory (LHAASO) Science Book (2021 Edition). Chin. Phys. C 2022, 46, 035001–035007. [Google Scholar]
- Available online: https://taiga-experiment.info/taiga-hiscore/ (accessed on 10 June 2024).
- Ajello, M. et al. [Fermi-LAT collaboration] Search for spectral irregularities due to photon–axionlike-particle oscillations with the Fermi Large Area Telescope. Phys. Rev. Lett. 2016, 116, 161101. [Google Scholar] [CrossRef] [PubMed]
- Abdalla, H.; Abe, H.; Acero, F.; Acharyya, A.; Adam, R.; Agudo, I.; Aguirre-Santaella, A.; Alfaro, R.; Alfaro, J.; Alispach, C.; et al. Sensitivity of the Cherenkov Telescope Array for probing cosmology and fundamental physics with gamma-ray propagation. J. Cosmol. Astropart. Phys. 2021, 2021, 048. [Google Scholar] [CrossRef]
- Ayala, A.; Domínguez, I.; Giannotti, M.; Mirizzi, A.; Straniero, O. Revisiting the Bound on Axion-Photon Coupling from Globular Clusters. Phys. Rev. Lett. 2014, 113, 191302. [Google Scholar] [CrossRef] [PubMed]
- Conlon, J.P.; Marsh, M.C.D.; Powell, A.J. Galaxy cluster thermal x-ray spectra constrain axionlike particles. Phys. Rev. D 2016, 93, 123526. [Google Scholar] [CrossRef]
- Jaeckel, J.; Redondo, J.; Ringwald, A. 3.55 keV hint for decaying axionlike particle dark matter. Phys. Rev. D 2014, 89, 103511. [Google Scholar] [CrossRef]
- Zhou, J.; Wang, Z.; Huang, F.; Chen, L. A possible blazar spectral irregularity case caused by photon-axionlike-particle oscillations. J. Cosmol. Astropart. Phys. 2021, 2021, 007. [Google Scholar] [CrossRef]
- LHAASO Collaboration. GCN Circular n. 32677. 2022. Available online: https://gcn.gsfc.nasa.gov/gcn3/32677.gcn3 (accessed on 10 June 2024).
- Cao, Z. et al. [The LHAASO Collaboration] Very high-energy gamma-ray emission beyond 10 TeV from GRB 221009A. Sci. Adv. 2023, 9, eadj2778. [Google Scholar]
- Galanti, G.; Nava, L.; Roncadelli, M.; Tavecchio, F.; Bonnoli, G. Observability of the Very-High-Energy Emission from GRB 221009A. Phys. Rev. Lett. 2023, 131, 251001. [Google Scholar] [CrossRef] [PubMed]
- Galanti, G.; Roncadelli, M.; Tavecchio, F. Assessment of ALP scenarios for GRB 221009A. arXiv 2022, arXiv:2211.06935. [Google Scholar]
- Weisskopf, M.C.; Soffitta, P.; Baldini, L.; Ramsey, B.D.; O’Dell, S.L.; Romani, R.W.; Matt, G.; Deininger, W.D.; Baumgartner, W.H.; Bellazzini, R.; et al. Imaging X-ray Polarimetry Explorer: Prelaunch. J. Astron. Telesc. Instrum. Syst. 2022, 8, 026002. [Google Scholar] [CrossRef]
- Zhang, S.; Santangelo, A.; Feroci, M.; Xu, Y.; Lu, F.; Chen, Y.; Feng, H.; Zhang, S.; Brandt, S.; Hernanz, M.; et al. The enhanced X-ray Timing and Polarimetry mission–eXTP. Sci. China Phys. Mech. Astron. 2019, 62, 29502. [Google Scholar] [CrossRef]
- Abarr, Q.; Awaki, H.; Baring, M.G.; Bose, R.; De Geronimo, G.; Dowkontt, P.; Errando, M.; Guarino, V.; Hattori, K.; Hayashida, K.; et al. XL-Calibur—A second-generation balloon-borne hard X-ray polarimetry mission. Astropart. Phys. 2021, 126, 102529. [Google Scholar] [CrossRef]
- Soffitta, P.; Bucciantini, N.; Churazov, E.; Costa, E.; Dovciak, M.; Feng, H.; Heyl, J.; Ingram, A.; Jahoda, K.; Kaaret, P.; et al. A polarized view of the hot and violent universe. Exp. Astron. 2021, 51, 1109–1141. [Google Scholar] [CrossRef]
- Jahoda, K.; Krawczynski, H.; Kislat, F.; Marshall, H.; Okajima, T.; Agudo, I.; Angelini, L.; Bachetti, M.; Baldini, L.; Baring, M.; et al. The X-ray Polarization Probe mission concept. arXiv 2019, arXiv:1907.10190. [Google Scholar]
- Yang, C.-Y.; Lowell, A.; Zoglauer, A.; Tomsick, J.; Chiu, J.-L.; Kierans, C.; Sleator, C.; Boggs, S.; Chang, H.-K.; Jean, P.; et al. The polarimetric performance of the Compton Spectrometer and Imager (COSI). Proc. SPIE 2018, 10699, 642. [Google Scholar]
- De Angelis, A.; Tatischeff, V.; Tavani, M.; Oberlack, U.; Grenier, I.; Hanlon, L.; Walter, R.; Argan, A.; von Ballmoos, P.; Bulgarelli, A.; et al. The e-ASTROGAM mission. Exp. Astron. 2017, 44, 25–82. [Google Scholar] [CrossRef]
- Tatischeff, V. et al. [e-ASTROGAM Collaboration] The e-ASTROGAM gamma-ray space observatory for the multimessenger astronomy of the 2030s. Proc. SPIE 2018, 10699, 106992J. [Google Scholar]
- Kierans, C.A. et al. [AMEGO Collaboration] AMEGO: Exploring the Extreme Multimessenger Universe. Proc. SPIE 2020, 11444, 1144431. [Google Scholar]
- Bassan, N.; Mirizzi, A.; Roncadelli, M. Axion-like particle effects on the polarization of cosmic high-energy gamma sources. J. Cosmol. Astropart. Phys. 2010, 2010, 010. [Google Scholar] [CrossRef]
- Jain, P.; Panda, S.; Sarala, S. Electromagnetic polarization effects due to axion-photon mixing. Phys. Rev. D 2002, 66, 085007. [Google Scholar] [CrossRef]
- Agarwal, N.; Kamal, A.; Jain, P. Alignments in quasar polarizations: Pseudoscalar-photon mixing in the presence of correlated magnetic fields. Phys. Rev. D 2011, 83, 065014. [Google Scholar] [CrossRef]
- Gill, R.; Heyl, J.S. Constraining the photon-axion coupling constant with magnetic white dwarfs. Phys. Rev. D 2011, 84, 085001. [Google Scholar] [CrossRef]
- Payez, A.; Cudell, J.R.; Hutsemekers, D. Can axionlike particles explain the alignments of the polarizations of light from quasars? Phys. Rev. D 2011, 84, 085029. [Google Scholar] [CrossRef]
- Agarwal, N.; Aluri, P.K.; Jain, P.; Khanna, U.; Tiwari, P. A complete 3D numerical study of the effects of pseudoscalar–photon mixing on quasar polarizations. Eur. Phys. J. C 2012, 72, 1928. [Google Scholar] [CrossRef][Green Version]
- Perna, R.; Ho, W.C.G.; Verde, L.; Adelsberg, M.; Jimenez, R. Signatures of photon-axion conversion in the thermal spectra and polarization of neutron stars. Astrophys. J. 2012, 748, 116. [Google Scholar] [CrossRef]
- Day, F.; Krippendorf, S. Searching for axion-like particles with X-ray polarimeters. Galaxies 2018, 6, 45. [Google Scholar] [CrossRef]
- Galanti, G. Photon-ALP interaction as a measure of initial photon polarization. Phys. Rev. D 2022, 105, 083022. [Google Scholar] [CrossRef]
- Galanti, G. Photon-ALP oscillations inducing modifications to photon polarization. Phys. Rev. D 2023, 107, 043006. [Google Scholar] [CrossRef]
- Galanti, G.; Roncadelli, M.; Tavecchio, F.; Costa, E. ALP induced polarization effects on photons from galaxy clusters. Phys. Rev. D 2023, 107, 103007. [Google Scholar] [CrossRef]
- Galanti, G.; Roncadelli, M.; Tavecchio, F. ALP-induced polarization effects on photons from blazars. Phys. Rev. D 2023, 108, 083017. [Google Scholar] [CrossRef]
- CAST Collaboration. New CAST limit on the axion–photon interaction. Nat. Phys. 2017, 13, 584–590. [Google Scholar] [CrossRef]
- Payez, A.; Evoli, C.; Fischer, T.; Giannotti, M.; Mirizzi, A.; Ringwald, A. Revisiting the SN1987A gamma-ray limit on ultralight axion-like particles. J. Cosmol. Astropart. Phys. 2015, 2015, 006. [Google Scholar] [CrossRef]
- Berg, M.; Conlon, J.P.; Day, F.; Jennings, N.; Krippendorf, S.; Powell, A.J.; Rummel, M. Constraints on axion-like particles from X-ray observations of NGC1275. Astrophys. J. 2017, 847, 101. [Google Scholar] [CrossRef]
- Conlon, J.P.; Day, F.; Jennings, N.; Krippendorf, S.; Rummel, M. Constraints on axion-like particles from non-observation of spectral modulations for X-ray point sources. J. Cosmol. Astropart. Phys. 2017, 2017, 005. [Google Scholar] [CrossRef][Green Version]
- Meyer, M. et al. [Fermi-LAT Collaboration] Search for Axionlike-Particle-Induced Prompt γ-Ray Emission from Extragalactic Core-Collapse Supernovae with the Fermi Large Area Telescope. Phys. Rev. Lett. 2020, 124, 231101, Erratum in Phys. Rev. Lett. 2020, 125, 119901. [Google Scholar] [CrossRef]
- Reynolds, C.S.; Marsh, M.C.D.; Russell, H.R.; Fabian, A.C.; Smith, R.; Tombesi, F.; Veilleux, S. Astrophysical limits on very light axion-like particles from Chandra grating spectroscopy of NGC 1275. Astrophys. J. 2020, 890, 59. [Google Scholar] [CrossRef]
- Sisk-Reynés, J.; Matthews, J.H.; Reynolds, C.S.; Russell, H.R.; Smith, R.N.; Marsh, M.C.D. New constraints on light axion-like particles using Chandra transmission grating spectroscopy of the powerful cluster-hosted quasar H1821+643. Mon. Not. Astron. R. Soc. 2022, 510, 1264. [Google Scholar] [CrossRef]
- Schallmoser, S.; Krippendorf, S.; Chadha-Day, F.; Weller, J. Updated Bounds on Axion-Like Particles from X-ray Observations. Mon. Not. Astron. R. Soc. 2022, 514, 329. [Google Scholar] [CrossRef]
- Matthews, J.H.; Reynolds, C.S.; Marsh, M.C.D.; Sisk-Reynés, J.; Rodman, P.E. How do Magnetic Field Models Affect Astrophysical Limits on Light Axion-like Particles? An X-ray Case Study with NGC 1275. Astrophys. J. 2022, 930, 90. [Google Scholar] [CrossRef]
- Dessert, C.; Dunsky, D.; Safdi, B.R. Upper limit on the axion-photon coupling from magnetic white dwarf polarization. Phys. Rev. D 2022, 105, 103034. [Google Scholar] [CrossRef]
- Heisenberg, W.; Euler, H. Folgerungen aus der diracschen theorie des positrons. Z. Phys. 1936, 98, 714–732. [Google Scholar] [CrossRef]
- Weisskopf, V.S. Über die elektrodynamik des vakuums auf grund des quanten-theorie des elektrons. K. Dan. Vidensk. Selsk. Mat. Fys. Medd. 1936, 14, 6. [Google Scholar]
- Schwinger, J. On Gauge Invariance and Vacuum Polarization. Phys. Rev. 1951, 82, 664. [Google Scholar] [CrossRef]
- Dobrynina, A.; Kartavtsev, A.; Raffelt, G. Photon-photon dispersion of TeV gamma rays and its role for photon-ALP conversion. Phys. Rev. D 2015, 91, 083003, Erratum in Phys. Rev. D 2015, 91, 109902. [Google Scholar] [CrossRef]
- Kosowsky, A. Cosmic Microwave Background Polarization. Ann. Phys. 1996, 246, 49. [Google Scholar] [CrossRef]
- Rybicki, G.B.; Lightman, A.P. Radiative Processes in Astrophysics; Wiley: New York, NY, USA, 1979. [Google Scholar]
- Ghisellini, G.; Righi, C.; Costamante, L.; Tavecchio, F. The Fermi blazar sequence. Mon. Not. Astron. R. Soc. 2017, 469, 255. [Google Scholar] [CrossRef]
- Jansson, R.; Farrar, G.R. A New Model of the Galactic Magnetic Field. Astrophys. J. 2012, 757, 14. [Google Scholar] [CrossRef]
- Jansson, R.; Farrar, G.R. The galactic magnetic field. Astrophys. J. 2012, 761, L11. [Google Scholar] [CrossRef]
- Yao, J.M.; Manchester, R.N.; Wang, N. A New Electron-density Model for Estimation of Pulsar and FRB Distances. Astrophys. J. 2017, 835, 29. [Google Scholar] [CrossRef]
- Roming, P.W.A.; Kennedy, T.E.; Mason, K.O.; Nousek, J.A.; Ahr, L.; Bingham, R.E.; Broos, P.S.; Carter, M.J.; Hancock, B.K.; Huckle, H.E.; et al. The Swift Ultra-Violet/Optical Telescope. Space Sci. Rev. 2005, 120, 95. [Google Scholar] [CrossRef]
- Burrows, D.N.; Hill, J.E.; Nousek, J.; Kennea, J.A.; Wells, A.; Osborne, J.P.; Abbey, A.F.; Beardmore, A.; Mukerjee, K.; Short, A.D.T.; et al. The Swift X-ray Telescope. Space Sci. Rev. 2005, 120, 165. [Google Scholar] [CrossRef]
- Available online: https://www.slac.stanford.edu/exp/glast/groups/canda/lat_Performance.htm (accessed on 10 June 2024).
- Urry, C.M.; Padovani, P. Unified schemes for radio-loud active galactic nuclei. Pub. Astron. Soc. Pacific 1995, 107, 803. [Google Scholar] [CrossRef]
- Collmar, W. News from CGRO-COMPTEL. Mem. Soc. Astron. Ital. 2002, 73, 99. [Google Scholar]
- Torres, D.F.; Anchordoqui, L.A. Astrophysical origins of ultrahigh energy cosmic rays. Rep. Prog. Phys. 2004, 67, 1663. [Google Scholar] [CrossRef]
- Liu, T.H.; Bai, J.M. Absorption of 10–200 GeV gamma rays by radiation from broad-line regions in blazars. Astrophys. J. 2006, 653, 1089. [Google Scholar] [CrossRef]
- Tavecchio, F.; Mazin, D. Intrinsic absorption in 3C 279 at GeV–TeV energies and consequences for estimates of the extragalactic background light. Mon. Not. Astron. R. Soc. 2009, 392, L40. [Google Scholar] [CrossRef]
- Poutanen, J.; Stern, B. GeV Breaks in Blazars as a Result of Gamma-ray Absorption within the Broad-Line Region. Astrophys. J. 2010, 717, L118. [Google Scholar] [CrossRef]
- Galanti, G.; Landoni, M.; Tavecchio, F.; Covino, S. Probing the absorption of gamma-rays by IR radiation from the dusty torus in FSRQs with the Cherenkov telescope array. Mon. Not. Astron. R. Soc. 2020, 495, 3463. [Google Scholar] [CrossRef]
- Albert, J.; Aliu, E.; Anderhub, H.; Antonelli, L.A.; Antoranz, P.; Backes, M.; Baixeras, C.; Barrio, J.A.; Bartko, H.; Bastieri, D.; et al. Very-High-Energy Gamma Rays from a Distant Quasar: How Transparent Is the Universe? Science 2008, 320, 1752. [Google Scholar] [CrossRef]
- Aleksić, J.; Antonelli, L.A.; Antoranz, P.; Backes, M.; Barrio, J.A.; Bastieri, D.; Becerra González, J.; Bednarek, W.; Berdyugin, A.; Berger, K.; et al. MAGIC Discovery of Very High Energy Emission from the FSRQ PKS 1222+21. Astrophys. J. 2011, 730, L8. [Google Scholar] [CrossRef]
- Wagner, S.J.; Behera, B. Hess Observations of Quasars. In Proceedings of the 10th HEAD Meeting, BAAS, Honolulu, HI, USA, 5 July 2010; Volume 41. [Google Scholar]
- Ghisellini, G.; Maraschi, L.; Tavecchio, F. The Fermi blazars’ divide. Mon. Not. Astron. R. Soc. 2009, 396, L105–L109. [Google Scholar] [CrossRef]
- Righi, C.; Tavecchio, F.; Inoue, S. Neutrino emission from BL Lac objects: The role of radiatively inefficient accretion flows. Mon. Not. Astron. R. Soc. 2019, 483, L127–L131. [Google Scholar] [CrossRef]
- Begelman, M.C.; Blandford, R.D.; Rees, M.J. Theory of extragalactic radio sources. Rev. Mod. Phys. 1984, 56, 255–351. [Google Scholar] [CrossRef]
- Ghisellini, G.; Tavecchio, F. Canonical high-power blazars. Mon. Not. Astron. R. Soc. 2009, 397, 985–1002. [Google Scholar] [CrossRef]
- Pudritz, R.E.; Hardcastle, M.J.; Gabuzda, D.C. Magnetic Fields in Astrophysical Jets: From Launch to Termination. Space Sci. Rev. 2012, 169, 27–72. [Google Scholar] [CrossRef]
- Tavecchio, F.; Ghisellini, G.; Ghirlanda, G.; Foschini, L.; Maraschi, L. TeV BL Lac objects at the dawn of the Fermi era. Mon. Not. Astron. R. Soc. 2010, 401, 1570–1586. [Google Scholar] [CrossRef]
- Maraschi, L.; Ghisellini, G.; Celotti, A. A jet model for the gamma-ray emitting blazar 3C 279. Astrophys. J. 1992, 397, L5–L9. [Google Scholar] [CrossRef]
- Sikora, M.; Begelman, M.G.; Rees, M.J. Comptonization of diffuse ambient radiation by a relativistic jet: The source of gamma rays from blazars? Astrophys. J. 1994, 421, 153–162. [Google Scholar] [CrossRef]
- Bloom, S.D.; Marscher, A.P. An analysis of the synchrotron self-compton model for the multi–wave band spectra of blazars. Astrophys. J. 1996, 461, 657. [Google Scholar] [CrossRef]
- Mannheim, K. The proton blazar. Astron. Astrophys. 1993, 269, 67–76. [Google Scholar]
- Mannheim, K. TeV gamma-rays from proton blazars. Space Sci. Rev. 1996, 75, 331–340. [Google Scholar] [CrossRef]
- Mücke, A.; Protheroe, R.J.; Engel, R.; Rachen, J.P.; Stanev, T. BL Lac objects in the synchrotron proton blazar model. Astropart. Phys. 2003, 18, 593. [Google Scholar] [CrossRef]
- Zhang, H.; Böttcher, M. X-ray and Gamma-Ray Polarization in Leptonic and Hadronic Jet Models of Blazars. Astrophys. J. 2013, 774, 18. [Google Scholar] [CrossRef]
- Beck, R. Magnetic fields in spiral galaxies. Astron. Astrophys. Rev. 2016, 24, 4. [Google Scholar] [CrossRef]
- Fletcher, A. Magnetic Fields in Nearby Galaxies. The Dynamic Interstellar Medium: A Celebration of the Canadian Galactic Plane Survey. Astron. Soc. Pac. Conf. Ser. 2011, 438, 197. [Google Scholar]
- Thompson, T.A.; Quataert, E.; Waxman, E.; Murray, N.; Martin, C.L. Magnetic Fields in Starburst Galaxies and the Origin of the FIR-Radio Correlation. Astrophys. J. 2006, 645, 186. [Google Scholar] [CrossRef]
- Lopez-Rodriguez, E.; Guerra, J.A.; Asgari-Targhi, M.; Schmelz, J.T. The Strength and Structure of the Magnetic Field in the Galactic Outflow of Messier 82. Astrophys. J. 2021, 914, 24. [Google Scholar] [CrossRef]
- Blanchard, P.K.; Berger, E.; Fong, W. The Offset and Host Light Distributions of Long Gamma-Ray Bursts: A New View from HST Observations of Swift Bursts. Astrophys. J. 2016, 817, 144. [Google Scholar] [CrossRef]
- Lyman, J.D.; Levan, A.J.; Tanvir, N.R.; Fynbo, J.P.U.; McGuire, J.T.W.; Perley, D.A.; Angus, C.R.; Bloom, J.S.; Conselice, C.J.; Fruchter, A.S.; et al. The host galaxies and explosion sites of long-duration gamma-ray bursts: Hubble Space Telescope near-infrared imaging. Mon. Not. Astron. R. Soc. 2017, 467, 1795–1817. [Google Scholar] [CrossRef]
- Levan, A.J.; Lamb, G.P.; Schneider, B.; Hjorth, J.; Zafar, T.; de Ugarte Postigo, A.; Sargent, B.; Mullally, S.E.; Izzo, L.; d’Avanzo, P.; et al. The First JWST Spectrum of a GRB Afterglow: No Bright Supernova in Observations of the Brightest GRB of all Time, GRB 221009A. Astrophys. J. Lett. 2023, 946, L28. [Google Scholar] [CrossRef]
- Moss, D.; Shukurov, A. Turbulence and Magnetic Fields in Elliptical Galaxies. Mon. Not. Astron. R. Soc. 1996, 279, 229–239. [Google Scholar] [CrossRef]
- Bahcall, N.A. Clusters and superclusters of galaxies. In Formation of Structure in the Universe; Dekel, A., Ostriker, J.P., Eds.; Cambridge University Press: Cambridge, UK, 1999. [Google Scholar]
- Govoni, F.; Feretti, L. Magnetic fields in clusters of galaxies. Int. J. Mod. Phys. D 2004, 13, 1549–1594. [Google Scholar] [CrossRef]
- Feretti, L.; Giovannini, G.; Govoni, F.; Murgia, M. Clusters of galaxies: Observational properties of the diffuse radio emission. Astron. Astrophys. Rev. 2012, 20, 54. [Google Scholar] [CrossRef]
- Bonafede, A.; Feretti, L.; Murgia, M.; Govoni, F.; Giovannini, G.; Dallacasa, D.; Dolag, K.; Taylor, G.B. The Coma cluster magnetic field from Faraday rotation measures. Astron. Astrophys. 2010, 513, A30. [Google Scholar] [CrossRef]
- Kuchar, P.; Enßlin, T.A. Magnetic power spectra from Faraday rotation maps. Astron. Astrophys. 2011, 529, A13. [Google Scholar] [CrossRef]
- Meyer, M.; Montanino, D.; Conrad, J. On detecting oscillations of gamma rays into axion-like particles in turbulent and coherent magnetic fields. J. Cosmol. Astropart. Phys. 2014, 2014, 003. [Google Scholar] [CrossRef][Green Version]
- Hudson, D.S.; Mittal, R.; Reiprich, T.H.; Nulsen, P.E.J.; Andernach, H.; Sarazin, C.L. What is a cool-core cluster? A detailed analysis of the cores of the X-ray flux-limited HIFLUGCS cluster sample. Astron. Astrophys. 2010, 513, A37. [Google Scholar] [CrossRef]
- Mitchell, R.J.; Dickens, R.J.; Bell Burnell, J.S.; Culhane, J.L. The X-ray spectra of clusters of galaxies and their relationship to other cluster properties. Mon. Not. Astron. R. Soc. 1979, 189, 329. [Google Scholar] [CrossRef]
- Houston, B.P.; Wolfendale, A.W.; Young, E.C.M. Cosmic gamma rays from galaxy clusters. Phys, J. G Nucl. Phys. 1984, 10, L147–L150. [Google Scholar] [CrossRef]
- Dennison, B. Formation of radio halos in clusters of galaxies from cosmic-ray protons. Astrophys. J. 1980, 239, L93–L96. [Google Scholar] [CrossRef]
- Colafrancesco, S.; Marchegiani, P. Warming rays in cluster cool cores. Astron. Astrophys. 2008, 484, 51–65. [Google Scholar] [CrossRef]
- Timokhin, A.N.; Aharonian, F.A.; Neronov, A.Y. On the non-thermal high energy radiation of galaxy clusters. Astron. Astrophys. 2004, 417, 391. [Google Scholar] [CrossRef]
- Lei, F.; Dean, A.J.; Hills, G.L. Compton Polarimetry in Gamma-Ray Astronomy. Space Sci. Rev. 1997, 82, 309. [Google Scholar] [CrossRef]
- Giomi, M.; Bühler, R.; Sgrò, C.; Longo, F.; Atwood, W.B.; on behalf of the Fermi LAT Collaboration. Estimate of the Fermi large area telescope sensitivity to gamma-ray polarization. AIP Conf. Proc. 2017, 1792, 0022. [Google Scholar]
- Kronberg, P.P. Extragalactic magnetic fields. Rept. Prog. Phys. 1994, 57, 325–382. [Google Scholar] [CrossRef]
- Grasso, D.; Rubinstein, H.R. Magnetic fields in the early Universe. Phys. Rep. 2001, 348, 163–266. [Google Scholar] [CrossRef]
- Wang, C.; Lai, D. Axion-Photon Propagation in Magnetized Universe. J. Cosmol. Astropart. Phys. 2016, 6, 006. [Google Scholar] [CrossRef]
- Neronov, A.; Vovk, I. Evidence for Strong Extragalactic Magnetic Fields from Fermi Observations of TeV Blazars. Science 2010, 328, 73. [Google Scholar] [CrossRef]
- Durrer, R.; Neronov, A. Cosmological magnetic fields: Their generation, evolution and observation. Astron. Astrophys. Rev. 2013, 21, 62. [Google Scholar] [CrossRef]
- Pshirkov, M.S.; Tinyakov, P.G.; Urban, F.R. New Limits on Extragalactic Magnetic Fields from Rotation Measures. Phys. Rev. Lett. 2016, 116, 191302. [Google Scholar] [CrossRef]
- Rees, M.J.; Setti, G. Model for the Evolution of Extended Radio Sources. Nature 1968, 219, 127. [Google Scholar] [CrossRef]
- Hoyle, F. Magnetic Fields and Highly Condensed Objects. Nature 1969, 223, 936. [Google Scholar] [CrossRef]
- Kronberg, P.P.; Lesch, H.; Hopp, U. Magnetization of the Intergalactic Medium by Primeval Galaxies. Astrophys. J. 1999, 511, 56. [Google Scholar] [CrossRef]
- Furlanetto, S.; Loeb, A. Intergalactic Magnetic Fields from Quasar Outflows. Astrophys. J. 2001, 556, 619–634. [Google Scholar] [CrossRef]
- Galanti, G.; Roncadelli, M. Behavior of axionlike particles in smoothed out domainlike magnetic fields. Phys. Rev. D 2018, 98, 043018. [Google Scholar] [CrossRef]
- Beck, M.C.; Beck, A.M.; Beck, R.; Dolag, K.; Strong, A.W.; Nielaba, P. New constraints on modelling the random magnetic field of the MW. J. Cosmol. Astropart. Phys. 2016, 2016, 056. [Google Scholar] [CrossRef]
- Pshirkov, M.S.; Tinyakov, P.G.; Kronberg, P.P.; Newton-McGee, K.J. Deriving the Global Structure of the Galactic Magnetic Field from Faraday Rotation Measures of Extragalactic Sources. Astrophys. J. 2011, 738, 192. [Google Scholar] [CrossRef]
- Churazov, E.; Forman, W.; Jones, C.; Böhringer, H. XMM-Newton Observations of the Perseus Cluster. I. The Temperature and Surface Brightness Structure. Astrophys. J. 2003, 590, 225. [Google Scholar] [CrossRef]
- Taylor, G.B.; Gugliucci, N.E.; Fabian, A.C.; Sanders, J.S.; Gentile, G.; Allen, S.W. Magnetic fields in the centre of the Perseus cluster. Mon. Not. Astron. R. Soc. 2006, 368, 1500–1506. [Google Scholar] [CrossRef]
- Aleksić, J. et al. [MAGIC Collaboration] Constraining cosmic rays and magnetic fields in the Perseus galaxy cluster with TeV observations by the MAGIC telescopes. Astron. Astrophys. 2012, 541, A99. [Google Scholar] [CrossRef]
- Böttcher, M.; Reimer, A.; Sweeney, K.; Prakash, A. Leptonic and Hadronic Modeling of Fermi-detected Blazars. Astrophys. J. 2013, 768, 54. [Google Scholar] [CrossRef]
- Kostelecký, V.A.; Mewes, M. Electrodynamics with Lorentz-violating operators of arbitrary dimension. Phys. Rev. D 2009, 80, 015020. [Google Scholar] [CrossRef]
- Zhang, H.; Böttcher, M.; Liodakis, I. Revisiting High-Energy Polarization from Leptonic and Hadronic Blazar Scenarios. arXiv 2024, arXiv:2404.12475. [Google Scholar] [CrossRef]
- Di Gesu, L.; Donnarumma, I.; Tavecchio, F.; Agudo, I.; Barnounin, T.; Cibrario, N.; Di Lalla, N.; Di Marco, A.; Escudero, J.; Errando, M.; et al. The X-ray Polarization View of Mrk 421 in an Average Flux State as Observed by the Imaging X-ray Polarimetry Explorer. Astrophys. J. Lett. 2022, 938, L7. [Google Scholar] [CrossRef]
- Liodakis, I.; Marscher, A.P.; Agudo, I.; Berdyugin, A.V.; Bernardos, M.I.; Bonnoli, G.; Borman, G.A.; Casadio, C.; Casanova, V.; Cavazzuti, E.; et al. Polarized blazar X-rays imply particle acceleration in shocks. Nature 2022, 611, 677. [Google Scholar] [CrossRef]
- Middei, R.; Liodakis, I.; Perri, M.; Puccetti, S.; Cavazzuti, E.; Di Gesu, L.; Ehlert, S.R.; Madejski, G.; Marscher, A.P.; Marshall, H.L.; et al. X-ray Polarization Observations of BL Lacertae. Astrophys. J. Lett. 2023, 942, L10. [Google Scholar] [CrossRef]
- Peirson, A.L.; Negro, M.; Liodakis, I.; Middei, R.; Kim, D.E.; Marscher, A.P.; Marshall, H.L.; Pacciani, L.; Romani, R.W.; Wu, K.; et al. X-ray Polarization of BL Lacertae in Outburst. Astrophys. J. Lett. 2023, 948, L25. [Google Scholar] [CrossRef]
- Middei, R.; Perri, M.; Puccetti, S.; Liodakis, I.; Di Gesu, L.; Marscher, A.P.; Cavero, N.R.; Tavecchio, F.; Donnarumma, I.; Laurenti, M.; et al. IXPE and Multiwavelength Observations of Blazar PG 1553+113 Reveal an Orphan Optical Polarization Swing. Astrophys. J. Lett. 2023, 953, L28. [Google Scholar] [CrossRef]
- Ehlert, S.R.; Liodakis, I.; Middei, R.; Marscher, A.P.; Tavecchio, F.; Agudo, I.; Kouch, P.M.; Lindfors, E.; Nilsson, K.; Myserlis, I.; et al. X-ray Polarization of the BL Lacertae Type Blazar 1ES 0229+200. Astrophys. J. 2023, 959, 61. [Google Scholar] [CrossRef]
- Di Gesu, L.; Marshall, H.L.; Ehlert, S.R.; Kim, D.E.; Donnarumma, I.; Tavecchio, F.; Liodakis, I.; Kiehlmann, S.; Agudo, I.; Jorstad, S.G.; et al. Discovery of X-ray polarization angle rotation in the jet from blazar Mrk 421. Nature Astronomy 2023, 7, 1245. [Google Scholar] [CrossRef]
- Errando, M.; Liodakis, I.; Marscher, A.P.; Marshall, H.L.; Middei, R.; Negro, M.; Peirson, A.L.; Perri, M.; Puccetti, S.; Rabinowitz, P.L.; et al. Detection of X-ray Polarization from the Blazar 1ES 1959+650 with the Imaging X-ray Polarimetry Explorer. Astrophys. J. 2024, 963, 5. [Google Scholar] [CrossRef]
- Kouch, P.M.; Liodakis, I.; Middei, R.; Kim, D.E.; Tavecchio, F.; Marscher, A.P.; Marshall, H.L.; Ehlert, S.R.; Di Gesu, L.; Jorstad, S.G.; et al. IXPE observation of PKS 2155-304 reveals the most highly polarized blazar. arXiv 2024, arXiv:2406.01693. [Google Scholar] [CrossRef]
- Kole, M.; De Angelis, N.; Berlato, F.; Burgess, J.M.; Gauvin, N.; Greiner, J.; Hajdas, W.; Li, H.C.; Li, Z.H.; Pollo, A.; et al. The POLAR gamma-ray burst polarization catalog. Astron. Astrophys. 2020, 644, A124. [Google Scholar] [CrossRef]
- Gill, R.; Kole, M.; Granot, J. GRB Polarization: A Unique Probe of GRB Physics. Galaxies 2021, 9, 82. [Google Scholar] [CrossRef]
- Chattopadhyay, T.; Gupta, S.; Iyyani, S.; Saraogi, D.; Sharma, V.; Tsvetkova, A.; Ratheesh, A.; Gupta, R.; Mithun, N.P.S.; Vaishnava, C.S.; et al. Hard X-ray Polarization Catalog for a Five-year Sample of Gamma-Ray Bursts Using AstroSat CZT Imager. Astrophys. J. 2022, 936, 12. [Google Scholar] [CrossRef]
- Negro, M.; Di Lalla, N.; Omodei, N.; Veres, P.; Silvestri, S.; Manfreda, A.; Burns, E.; Baldini, L.; Costa, E.; Ehlert, S.R.; et al. The IXPE View of GRB 221009A. Astrophys. J. Lett. 2023, 946, L21. [Google Scholar] [CrossRef]
- Depaola, G.O.; Kozameh, C.N.; Tiglio, M.H. A method to determine the polarization of high energy gamma rays. Astropart. Phys. 1999, 10, 175. [Google Scholar] [CrossRef][Green Version]
- Bähre, R.; Döbrich, B.; Dreyling-Eschweiler, J.; Ghazaryan, S.; Hodajerdi, R.; Horns, D.; Januschek, F.; Knabbe, E.-A.; Lindner, A.; Notz, D.; et al. Any light particle search II—Technical design report. J. Instrum. 2013, 8, T09001. [Google Scholar] [CrossRef]
- Armengaud, E.; Attié, D.; Basso, S.; Brun, P.; Bykovskiy, N.; Carmona, J.M.; Castel, J.F.; Cebrián, S.; Cicoli, M.; Civitani, M.; et al. Physics potential of the international axion observatory (IAXO). J. Cosmol. Astropart. Phys. 2019, 2019, 047. [Google Scholar] [CrossRef]
- Capparelli, L.M.; Cavoto, G.; Ferretti, J.; Giazotto, F.; Polosa, A.D.; Spagnolo, P. Axion-like particle searches with sub-THz photons. Phys. Dark Univ. 2016, 12, 37. [Google Scholar] [CrossRef]
- Avignone, F.T., III. Potential for large germanium detector arrays for solar-axion searches utilizing the axio-electric effect for detection. Phys. Rev. D 2009, 79, 035015. [Google Scholar] [CrossRef]
- Avignone, F.T., III; Crewick, R.J.; Nussinov, S. Can large scintillators be used for solar-axion searches to test the cosmological axion–photon oscillation proposal? Phys. Lett. B 2009, 681, 122–124. [Google Scholar] [CrossRef][Green Version]
- Avignone, F.T., III; Crewick, R.J.; Nussinov, S. The experimental challenge of detecting solar axion-like particles to test the cosmological ALP-photon oscillation hypotheses. Astropart. Phys. 2011, 34, 640–642. [Google Scholar] [CrossRef][Green Version]
- Kahn, Y.; Safdi, B.R.; Thaler, J. Broadband and resonant approaches to axion dark matter detection. Phys. Rev. Lett. 2016, 117, 141801. [Google Scholar] [CrossRef]





Disclaimer/Publisher’s Note: The statements, opinions and data contained in all publications are solely those of the individual author(s) and contributor(s) and not of MDPI and/or the editor(s). MDPI and/or the editor(s) disclaim responsibility for any injury to people or property resulting from any ideas, methods, instructions or products referred to in the content. |
© 2024 by the author. Licensee MDPI, Basel, Switzerland. This article is an open access article distributed under the terms and conditions of the Creative Commons Attribution (CC BY) license (https://creativecommons.org/licenses/by/4.0/).
Share and Cite
Galanti, G. Axion-like Particle Effects on Photon Polarization in High-Energy Astrophysics. Universe 2024, 10, 312. https://doi.org/10.3390/universe10080312
Galanti G. Axion-like Particle Effects on Photon Polarization in High-Energy Astrophysics. Universe. 2024; 10(8):312. https://doi.org/10.3390/universe10080312
Chicago/Turabian StyleGalanti, Giorgio. 2024. "Axion-like Particle Effects on Photon Polarization in High-Energy Astrophysics" Universe 10, no. 8: 312. https://doi.org/10.3390/universe10080312
APA StyleGalanti, G. (2024). Axion-like Particle Effects on Photon Polarization in High-Energy Astrophysics. Universe, 10(8), 312. https://doi.org/10.3390/universe10080312

