Abstract
Dynamic changes in the global economy, resulting from the implementation of the Industry 4.0 concept, cover practically all areas of life. They mainly concern companies that need to adapt to these changes as soon as possible in order to face growing competition. The digitalization process is of great significance in this respect, as it requires having appropriate material and personal resources as well as knowledge necessary to implement new innovative solutions. Problems associated with the digitalization of economy are very well understood in the European Union (EU), which makes every effort to ensure the best possible conditions for the implementation of this process in companies in all member states. A special group of these countries belong to Central and Eastern Europe (CEE), the youngest members of the EU. Given this extremely important issue, the paper presents the results of research on the level of digitalization of small, medium and large enterprises in this group of countries (CEE). Their aim was to evaluate the level of digitalization of the studied groups of enterprises and individual CEE countries. It was important to determine digital technologies dominating in particular groups of enterprises and, with the use of non-parametric tests, the influence of the digitalization level on selected economic parameters of particular CEE countries. The research was based on 11 selected indicators characterizing the digital technologies used, infrastructure for Industry 4.0 and personnel training in new technologies. The level of digitalization of individual groups of companies was determined based on the multi-criteria decision-making method (MCDM). In this case, the TOPSIS and VIKOR methods were applied, for which the rankings and levels of digitalization of individual CEE countries were also determined. The entropy and CRITIC methods were utilized to measure the weights of indicators adopted for the study. The whole research was complemented by statistical analyses of the adopted indicators. The results showed a high differentiation in the level of digitalization for individual CEE countries and the studied groups of enterprises. The highest levels of digitalization were reported in Slovenia, Croatia and the Czech Republic. The lowest levels were reported in Bulgaria and Romania. From the point of view of the size of enterprises, the highest levels of digitalization were found in the group of large enterprises, which results from their potential and resources. The results are an important source of information regarding the current state of digitalization in the CEE countries, considering the size of enterprises. This, in turn, should be used when developing strategies for the digital transformation of the CEE countries and the entire EU.
1. Introduction
The dynamic development of information and communication technology (ICT), identified with the concept of Industry 4.0, caused huge economic and social changes around the world. The effects of this process, also known as digital transformation, cover virtually all areas of life and the existence of our civilization [1,2,3,4]. Therefore, it is not surprising that the digitalization process has been recognized as one of the major and growing trends changing both society and business.
The concept of Industry 4.0 combines processes, machines, data, information systems and people. Technologies associated with this concept include autonomous robots, big data analytics, incremental manufacturing, cyber security, cloud computing, the Industrial Internet of Things (IIoT), vertical and horizontal system integration and artificial intelligence. They are being used to create new goods and services [5]. The development of these technologies is of great importance for companies that want to meet the growing competition, and thus must adapt to the changes taking place. This is because the use of new solutions makes it possible to improve the effectiveness and efficiency of production processes, the quality of products and services provided and to reduce operating costs [6].
However, the process of implementing new solutions is not simple. It requires an appropriate strategy based on available resources, organizational capabilities as well as the knowledge and competence of both staff and employees. These factors are of key significance for companies that want to achieve business success based on new technologies. The solutions identified with the Industry 4.0 concept have an immensely complex and demanding technological architecture, which makes it expensive to implement [7]. Therefore, their implementation must be preceded by very thorough and objective analyses, which is particularly essential in the case of micro, small and medium enterprises. For these companies, wrong decisions on investments in new technologies may result in very fast bankruptcy or serious economic problems. Therefore, despite the growing interest in new technologies, their effective implementation requires adequate knowledge and preparation. For this reason, the process of implementing solutions related to the Industry 4.0 concept has become one of the most important areas of scientific research [8,9], which is briefly presented in Section 2.
The implementation of digital technologies in enterprises is also extremely important from the point of view of the development of national and regional economies [10,11]. This is due to the technological and social pressure that is exerted by the authorities aiming to build a knowledge-based economy and, consequently, a competitive advantage. It is also associated with changes in the labor market and the market of consumer goods, closely related to the implementation of new technologies. The process of digitalization identified with modernity and innovation is becoming a guarantor of economic growth, changes in the labor market as well as modern organization and management of production processes. These changes also affect the development of science and education, which creates very favorable conditions for the development of individual countries and regions.
The role and importance of the digitalization process is very well understood in the countries of the European Union (EU), where in recent years, an increasingly dynamic use of novel technologies in the economy has been reported. Through the introduction and implementation of many strategies and programs to support the process of digitalization, companies are promoted and encouraged to implement new solutions [12,13,14,15,16].
These processes, however, are costly and require appropriate knowledge and preparation. In the case of the EU, the countries of Central and Eastern Europe (CEE), which are lagging behind in the implementation of digital solutions, have a particular need in this area. The reason for this is the later introduction of a market economy in these countries and their lower economic potential, e.g., in comparison with the countries of the so-called “old EU”. The lower level of digitalization of these countries is evidenced by the results of the annual survey of the Digital Economy and Society Index (DESI) conducted in the EU. For most of the countries in the region (Poland, the Czech Republic, Slovakia, Romania, Hungary, Croatia, Latvia and Bulgaria), the digitalization of economy (and society) is at a level below the average level set for the EU-27. Only Slovenia, Lithuania and Estonia are above the average. In addition to the already mentioned reasons for this state of affairs, it is also worth mentioning the relatively low level of expenditures allocated to R&D activities in these countries. These outlays, in relation to GDP, are twice as low in the CEE than the EU average, which is 2.1% of GDP. The lowest level of these outlays is reported in Romania (0.48% of GDP), and the highest—in Slovenia (2.04% of GDP). It is worth noting that countries that are European leaders in innovation, namely, Sweden, Denmark and Germany, allocate more than 3% of their GDP to R&D [17].
These data indicate that the process of digital transformation in the CEE countries requires decisive action. This concerns both individual CEE countries and the whole EU, which, while striving to build a common regional economy based on knowledge and modern technologies, must also improve the level of digitalization in these countries. A definite chance for greater modernization of these countries is to use more open business models and the concept of open innovation (OI), which enables the exchange of new innovative solutions between stakeholders in the digitalization process [18].
As the level of digitalization in a given country and region is mainly determined by companies implementing modern solutions, it is fully justified to conduct research to determine this level in different groups of companies in different countries. When taking into account the level of development of the CEE countries and the fact that the period of building a competitive economy is relatively short, it is reasonable to study the level of digitalization in individual groups (small, medium and large) of companies in those countries. The aim of the research was primarily to determine the level of digitalization in individual CEE countries and the studied groups of enterprises with their comparison as well as to indicate the leaders of this process, also including countries and enterprises which have problems in this area. Therefore, the evaluation of the level of digitalization in the CEE countries should indicate the potential directions of EU activities in order to raise this level across Europe.
In studies devoted to this issue, thus far there has been no research comprising a comprehensive comparative analysis of the CEE countries in terms of digitalization of groups of companies from these countries. The lack of results of such an analysis limits the possibility of a comprehensive approach to assessing the processes of digital transformation and a more global view of the economy of the CEE countries in the context of economic growth of the EU and the whole world. Therefore, it is reasonable to conduct this type of research and fill this research gap. Given the problem of digital technology implementation in CEE companies and the assessment of their current level of digitalization, three research questions were formulated:
- Question 1: Which digital technologies are dominant in small, medium and large enterprises in the CEE countries?
- Question 2: What is the level of digitalization of small, medium and large enterprises in the CEE countries?
- Question 3: Is there a correlation between the level of digitalization of CEE countries and their economic level, GDP, GDP per capita and R&D expenditures?
The research questions posed fit into the theoretical framework of studies related to the development of the EU and the trend of Europeanization of EU countries in the context of the digitalization of both the economy and society, as well as in the legal framework related to the EU digitalization policy. At the same time, the whole research problem of business digitalization in the context of modern technologies fits into the current of neo-Schumpeterian theory [19] and neoclassical growth theory [20,21], which emphasize the relationship between economic growth and ICT technologies.
The study was based on a hybrid approach based on a multi-criteria decision-making (MCDM) method to determine the level of digitalization of enterprises in CEE countries, including a set of 11 indicators characterizing the digital technologies used (9), infrastructure for Industry 4.0 (1) and the level of staff training in new technologies (1). The entropy and CRITIC methods as well as the TOPSIS and VIKOR methods were also used for this part of the research. The entropy and CRITIC methods make it possible to determine weights of indicators adopted for the research, while the TOPSIS and VIKOR methods make it possible to determine country rankings and levels in terms of digitalization of small, medium and large enterprises. In turn, non-parametric tests (Spearman’s rank correlation coefficient and Kendall’s tau correlation coefficient) were used to examine the relationship between the level of digitalization of the CEE countries and selected economic parameters of these countries and R&D expenditures.
In relation to existing studies, the presented paper is characterized by a new approach to the studied issue, which concerns three fundamental areas. First, no assessment of the CEE countries in terms of the level of digitalization of small, medium and large enterprises has been conducted thus far. As mentioned before, such an assessment is extremely important for the diagnosis of the current state and the development of strategies for effective building of a digital economy in these countries and the whole EU. Raising the level of digitalization of the entire EU economy depends to a large extent on the level of digitalization in the CEE countries, which with time should approach the level of other EU countries. Secondly, thus far, no research has been conducted to identify or evaluate the degree of application of digital technologies (related to the Industry 4.0 concept) used in small, medium and large enterprises in the CEE countries. Third, the literature to date still lacks studies that would indicate whether and how the economic parameters of individual countries are related to the process of digitalization of enterprises, taking into account their size. This research can also be treated as an element of monitoring and evaluation of the impact of the application of innovative and near-innovative solutions in enterprises on the economic development of individual CEE countries.
2. Categories of Enterprises in the European Union
According to the European Commission’s Recommendation of 6 May 2003 (2003/361/EC), small and medium-sized enterprises are defined as those with a number of employees and profits falling within certain limits, namely:
- A small enterprise has between 10 and 49 employees and a turnover or balance sheet total of up to EUR 10 million.
- A medium-sized enterprise has between 50 and 2490 employees and a turnover of up to EUR 50 million, or a balance sheet total of up to EUR 43 million.
The current regulations do not contain a definition of a large enterprise, however, based on the recommendation of the European Commission (2003/361/EC), it may be concluded that this status is held by an entrepreneur who is not a micro, small or medium-sized enterprise and in at least one of the last two financial years:
- Regardless of the number of employees, exceeded an annual turnover of EUR 50 million, or an annual balance sheet total of EUR 43 million,
- did not exceed an annual turnover of EUR 50 million or an annual balance sheet total of EUR 43 million but had 250 or more employees.
The role and importance of enterprises, regardless of their size, in the free market economy of the world and Europe is enormous. They determine the world’s economic development and technological progress, which from the point of view of digital transformation is of key importance.
A total of 330,162 small, medium and large non-financial enterprises were operating in ECC countries in 2019, among which 82% were small enterprises, 15% were medium-sized enterprises and only 3% were large enterprises. In the CEE countries, the highest share of employees in small enterprises was recorded in Croatia and Hungary (84% each), and in medium-sized enterprises—in Slovakia (18%). In the case of large enterprises, the highest percentages of employment were noted in Slovakia and the Czech Republic (4% each). The given statistics do not include micro enterprises, i.e., enterprises with up to 9 employees. A comparison of the number of small, medium and large enterprises in individual CEE countries is presented in Figure 1.
Figure 1.
Overview of the number of small, medium-sized and large enterprises in individual CEE countries.
3. Literature Review
The presented literature review refers to the most important issues related to the process of implementing technologies identified with the concept of Industry 4.0 in companies as well as the role and importance of open innovation (OI) in this process. The OI concept is of great importance for building an innovative knowledge-based economy. The review also shows selected methods for assessing the level of digitalization of companies and selected countries.
3.1. The Impact of Industry 4.0 Technology and Open Innovation Concepts on Business Operations
Implementation of technologies related to the Industry 4.0 concept enables companies to carry out technological changes in their production processes [22]. Flexibility of these processes and access to data characterizing them in real time (thanks to the development of IoT and the Web) make it possible to take strategic and operational decisions that improve the efficiency and effectiveness of business operations [9]. Therefore, it is crucial for the activity of companies wishing to implement new digital technologies to be open to changes and to have specific resources and knowledge regarding novel solutions. In the field of digitalization and process improvement, an important role is played by the concept of OI, which enables the use of solutions of other companies and research units to make their own solutions available [23]. Indeed, in the context of Industry 4.0 technologies and their implementation and integration, OI is the most suitable system to promote a company’s activities in the field of knowledge exploration and exploitation. This concept allows companies to use a network of external partners to effectively implement innovative solutions in a company, which undoubtedly includes the technologies of Industry 4.0. It is obvious that with such dynamic technological changes, companies must support themselves with external solutions, while providing their own, which they do not use or use to a limited extent. Open innovation in Industry 4.0 is considered a new way of creating values for companies through open collaboration, cooperation and coopetition in contrast to the conventional closed innovation framework [18,24].
Thus, the open business model, of which OI is a part, creates great opportunities to use the latest solutions and technologies identified with the Industry 4.0 concept and related to digital transformation [25]. These technologies include monitoring and big data analytics, optimization and smart machine modelling and simulation, cloud technologies, virtual reality (VR) and augmented reality (AR), horizontal and vertical systems integration, IIoT, incremental technologies (3D printing), autonomous robots and cyber security [26].
These technologies have a tremendous impact on the development of extremely important areas for business operations, which are vertical and horizontal integration and complex engineering [27]. Vertical integration refers to the consolidation of ICT systems at different hierarchical levels of an organization, linking the production and management levels within an enterprise. Horizontal integration, on the other hand, involves inter-enterprise collaboration, along with real-time sharing of resources and information [28]. End-to-end engineering is the integration of the entire product value chain, from development to after-sales service [29]. Undoubtedly, its application is closely related to the high degree of digitalization of the entire manufacturing process.
The existing literature clearly indicates that the implementation of technologies related to Industry 4.0 can bring a number of benefits to enterprises, and the use of the already mentioned concept of OI and conducting an open business model provides opportunities to obtain the results of research and development and their implementation in order to build a development strategy and gain a competitive advantage [30,31].
An unquestionable advantage resulting from the implementation of Industry 4.0 technology in enterprises and enabling their development is also an efficient response to external factors and the ability to adapt to market changes. Horizontal integration is helpful in this regard, enabling cooperation between enterprises, e.g., in the form of combining and using their resources [28]. At the same time, the use of digital channels and smart solutions enables efficient and effective cooperation with customers [32], for whom, depending on the needs, it is possible to change the production process to provide customized products even in small batches. Customized products, nowadays more and more expected in the market, very often result from the process of their personalization. The realization of such a process is possible with a high degree of digitalization, e.g., by using 3D printing [33].
The presented literature analysis shows that technologies related to the Industry 4.0 concept have a huge impact on the activities of companies and without their implementation it is and will be difficult for these companies to stay in the market. On the other hand, the open business model and the OI concept present many opportunities for access to new solutions, which should positively affect the activity of enterprises and scientific units. Therefore, this approach should also be used in the CEE enterprises.
3.2. Implementation of Industry 4.0 Technology in Enterprises
Apart from the knowledge of new technologies, the issues related to their application are of key importance. The problem of adaptation of digital technologies, identified with Industry 4.0, is also more and more often discussed in literature. The literature thus far has provided much information and examples of the implementation of Industry 4.0 technologies in enterprises [34], as well as the readiness of enterprises for Industry 4.0 technologies at the national level [35] or barriers associated with their adaptation [36].
Many authors deal with the reasons for the relatively low level of implementation of Industry 4.0 technologies in enterprises in different countries/regions of the world. These are very valuable studies because they show the barriers associated with the use of these solutions. For example, Huang et al. [37] analyzed factors affecting the implementation of Industry 4.0 technology in 49 Peruvian micro, small and medium manufacturing enterprises. The authors identified four limiting factors, which include the lack of advanced technology and financial investment, poor management vision and the lack of skilled workers. Ingaldi and Ulewicz [38], in turn, conducted a study on the implementation of Industry 4.0 technology in the Częstochowa Industrial District in Poland. Their study found that the main barriers to implementing these technologies were financial resources and the lack of specialized support in acquiring new technologies. Frank et al. [2] conducted a survey among 92 manufacturing companies in Brazil on the implementation of Industry 4.0 technologies. The results show that the implementation of these technologies is a major challenge for companies. This is due to incomplete knowledge of them and financial barriers. Furthermore, Dalenogare et al. [9] examined how the implementation of Industry 4.0 technologies is progressing in Brazil as a developing country and the expected benefits of their implementation. Their results confirmed the previously identified barriers. On the other hand, Hizam-Hanafiah and Soomro [39] examined the course of implementing Industry 4.0 technologies in a sample of 238 technology companies in Malaysia. The findings indicate that small enterprises have considerable difficulties in implementing these technologies. The situation looks better in medium and large enterprises due to their greater investment capacity and resources. González et al. [40] conducted a study on how Industry 4.0 technology is implemented in companies in the Region of Murcia, in southeastern Spain. Their results show that companies with higher turnover, profits and profitability are much more able to cope with this process, which translates into better levels of investment and employee training.
When analyzing the discussed papers, it can be concluded that in terms of implementing technologies related to Industry 4.0, the resources possessed by a given enterprise and country are significant. Much greater potential of medium and large enterprises makes it easier for them to implement new, expensive technologies that require appropriately qualified employees.
3.3. Methods for Assessing the Digital Maturity of Companies and Countries
To assess the digital maturity of companies and countries, and sometimes also regions, indicator methods are most often used. These methods are based on models that take into account various factors that characterize particular areas, technologies or solutions identified with them as well as organizational or social factors. Table 1 presents a brief description of the models that make it possible to assess the level of readiness or digital maturity of an enterprise.
Table 1.
Characteristics of methods/models for assessing the level of readiness or digital maturity of enterprises.
When analyzing the examples presented, it can be concluded that, depending on the purpose and scope of research, different methods and models based on different sets of indicators are used. Their analysis, however, allows for the selection of the most reliable and relevant—from the point of view of the scope of research—factors and dimensions, which were also taken into account in this study.
3.4. Research Gap
When analyzing the presented literature review, it can be claimed that in terms of studying the degree of digitalization of small, medium and large enterprises in the CEE countries, no such research has been conducted thus far. Furthermore, the methods proposed in the paper have not been used for this type of analysis. On the other hand, a very interesting scientific approach is shown in the presented models and methods used for the analysis of digital maturity, which was adopted when developing research methodology. These findings, combined with the importance and timeliness of the presented topic for the economic development of CEE and EU countries fully justify the advisability of taking up the topic of research, the methodology and results of which are presented in this paper.
4. Materials and Methods
The section characterizes the studied CEE countries and discusses the data on the basis of which the research was conducted. It also discusses the research methods used.
4.1. Area of Research
The CEE countries consist of 11 states: Poland, the Czech Republic, Slovakia, Slovenia, Bulgaria, Romania, Croatia, Lithuania, Latvia and Estonia, and Hungary (Figure 2), which are members of the EU. These countries originate from the former Eastern Bloc and are linked by common cultural and historical roots, as well as by the time of their admission to the European community (between 2004 and 2013). Basic information about these countries is presented in Table 2.
Figure 2.
Location of Central and Eastern European (CEE) countries (own elaboration).
Table 2.
Basic demographic, economic and geographical information about the CEE countries (own elaboration based on [17]).
4.2. Data
Data from the Eurostat database [17] were used for this study. The data in this database were collected from enterprises through surveys on ICT and e-commerce usage in enterprises. They concern small, medium and large enterprises from sectors covered by the classification of economic activities carried out in the European Community, the so-called NACE Rev.2 (Nomenclature statistique des Activités économiques dans la Communauté Européenne, Rev.2). The unit measure, for the indicators selected, based on the analysis of the literature and the authors’ own experiences, is the percentage of companies that confirmed the use of a specific digital technology, infrastructure for Industry 4.0 or staff training in their activities. For the indicators AI, IoT, cloud computing, integration of internal processes and Internet connection used in the study, data for 2021 were available, while for the indicators 3D printing, big data analysis, robotization, integration with customers, suppliers or both, supply chain management, cybersecurity and ICT skills, data for 2020 were available. All indicators used in the study along with their brief description and marking are presented in Table 3.
Table 3.
Summary of indicators used to study the degree of digitalization of enterprises in the CEE countries.
4.3. Research Methods
The study was divided into preliminary and fundamental research. Methods of descriptive statistics were used for the preliminary research, and for the fundamental research—a hybrid approach of MCDM methods based on methods determining the weights of indicators and ranking (choosing the best alternative). The entropy and CRITIC methods were used to determine weights of indicators, and the TOPSIS and VIKOR methods to determine rankings of the CEE countries.
The preliminary research involved the determination of basic descriptive statistics of the indicators for the population of the CEE countries, and their aim was to obtain information on their statistical properties.
The aim of using a hybrid approach based on the entropy-CRITIC and TOPSIS-VIKOR methods was to determine rankings for the CEE countries in terms of the level of digitalization of small, medium and large enterprises from these countries. Digitalization indices determined from entropy-CRITIC and TOPSIS-VIKOR methods were used to assess the level of digitalization.
In the last stage, the relationship between the digitalization index of small, medium and large enterprises, determined for the CEE countries, and the basic economic parameters of these countries (gross domestic product, gross domestic product per capita and gross domestic expenditure on R&D) was studied.
The following subsections discuss the research methods used in this study, while the course of the applied research procedure is presented in Figure 3.
Figure 3.
Research procedure.
4.3.1. MCDM Methods
In the case of research with many variables treated as criteria for the evaluated options (CEE countries), the process is highly complex. In addition, there is a need to objectively assign weights to indicators (criteria) of assessment [51]. Therefore, to assess the level of CEE countries in terms of digitalization of enterprises (small, medium and large), a hybrid approach based on 4 independent methods was proposed. Two methods were used to determine the weights of indicators (evaluation criteria): entropy and CRITIC; while the TOPSIS and VIKOR methods were used to determine the level of digitalization. The research procedure using the entropy and CRITIC and TOPSIS and VIKOR methods is shown in Figure 4.
Figure 4.
MCDM hybrid approach to assess the level of digitalization of enterprises in the CEE countries.
Entropy Method
The entropy method was used to determine weights of individual indicators, the algorithm of which is as follows:
- To construct a decision matrix:
- To construct a normalized decision matrix:
- To determine entropy:whereand nij is the proportion of samples in time t in the i indicator.
- To determine the level of variation of entropy for each criterion (the degree of intrinsic divergence of the scores relative to subsequent criteria) from Equation (5):
- To determine weights (degree of importance) of the criteria according to Equation (6):
CRITIC Method
The criteria importance through intercriteria correlation—CRITIC [48]—method is a correlation method. Steps taken to determine indicator weights in this method are as follows:
- To construct a decision matrix that consists of a set of alternatives (Equation (1));
- To construct a normalized decision matrix according to Equation (7):
- To estimate standard deviation for attributes in the normalized decision matrix:
- To determine a correlation between attributes of the normalized decision matrix:
- To determine attribute weights (wi):where: Cj is the quantity of information contained in j-th criterion, σj is the standard deviation of the j-th criterion and rjk is the correlation coefficient between j-th and k-th criteria. For a criterion, high standard deviation and low correlation with the other criteria mean that a given criterion weight is high [52]. The higher the value of Cj, the greater the amount of information obtained from a given criterion.
TOPSIS Method
In the TOPSIS method, decision alternatives under consideration are compared with abstract weighted reference solutions: ideal and anti-ideal. The method uses a measure of relative distance to the best solution, which represents the pattern (ideal), and a measure to the worst solution, which represents the anti-pattern (anti-ideal). Finally, a TOPSIS synthetic measure is determined for each alternative.
The algorithm for determining the ideal solution, the anti-ideal solution and the TOPSIS synthetic measure is as follows:
- To determine a decision matrix, according to Equation (1).
- To determine a normalized matrix, according to:
- To determine a weighted normalized decision matrix:
- To determine the ideal solution S+ and the non-ideal solution S−:
- To determine the Euclidean distance of the object from the ideal variant S+ and the non-ideal variant S−:
- To determine the coefficient of relative closeness of the decision variants Si to the ideal solution S+:
The values of the TOPSIS measure belong to the range from 0 to 1, with the higher the value reached by the synthetic measure, the higher the ranking position achieved by the object. The TOPSIS measure (Pi) calculated for each country arranges the units linearly and makes it possible to carry out classification from the highest to the lowest level.
VIKOR Method
The VIKOR (VIseKriterijumska Optimizacija I Kompromisno Resenje) method by Serafim Opricovic is based on the concept of measuring the distance of the studied variant from the ideal solution [53]. The individual variants belonging to the set A (a1, a2,… am) and evaluated by n criteria are described by the coefficient fij, which is the weight of the variant aj against the criterion ni.
The starting parameter for the analysis conducted by the VIKOR method is the Lp-metric distance, determined from:
where: and are the best and worst values of all criterion functions for all alternatives from set A (a1, a2,… am); n is the number of criteria.
The algorithm of the VIKOR method to determine the compromise ranking is as follows:
- to construct a decision matrix, according to Equation (1);
- to construct a normalized decision matrix, according to Equation (11);
- to determine the best and worst values for all criteria functions i = 1, 2, … n. If the i-th criterion represents profit (the larger the better), then and ; if the i-th criterion represents cost (the smaller the better), then and ;
- to calculate Sj and Rj values forming the ranking measure, from the following relationships:where: wi is the weight of the i-th criterion; Sj and Rj represent the utility measure and the regret measure. The solution obtained by minjSj is with a maximum group utility (‘majority’ rule), and the solution obtained by minjRj is with a minimum individual regret of the ‘opponent’
- to calculate the VIKOR—Qj index value (21):where:where: v is measure of strategy weight (takes value from 0 to 1); Sj and Rj are calculated in step 3 and are introduced as weight of strategy of ‘the majority of criteria’ (or ‘the maximum group utility’). In the present study, v = 0.5;
- to create a ranking of alternatives according to the value of Qj.
The alternative with the smallest VIKOR value is referred to as the best (Qminimum). However, to unify the gradation direction in the VIKOR method with the TOPSIS method, the final VIKOR index value is determined as:
At this point, the alternative with the largest VIKOR value is referred to as the best.
4.3.2. Non-Parametric Tests: The Kendall’s Tau Correlation Coefficient and the Spearman’s Rank Coefficient
In the last stage of the study, the relationship between the level of digitalization of small, medium and large enterprises in the CEE countries and the basic economic parameters of the EU economy and R&D expenditures was examined. For this part of the research, non-parametric tests, such as the Spearman’s rank correlation coefficient and Kendall’s tau correlation coefficient, were used.
The Spearman’s rank correlation coefficient makes it possible to test the consistency of the ordering (ranks) of the values of two characteristics. Both features must be measured at least on an ordinal scale. Their rankings can be in ascending or descending direction (the direction of ordering of both features must be the same). If there are several identical values of a feature in the series, then the average of the ranks corresponding to these values is assigned to them. If there is complete agreement in the ordering of the values of the two features, then the relationship between them is functional.
The value of Spearman’s rank coefficient is determined according to:
where dx and dyi are the ranks assigned to the feature values corresponding to the i-th unit, N is the size of the sample population.
The Kendall’s tau correlation coefficient, on the other hand, takes values between −1 and +1. The value of this coefficient is based on the difference between the probability that two variables are in the same order (for the observed data), and the probability that their ordering differs. The lower limit of this coefficient is reached if and only if the random variables (X,Y) are opposite monotonic, while the upper limit is reached if and only if the random variables (X,Y) are co-monotonic. The value “0” occurs for independent random variables.
An important advantage of the Kendall’s tau coefficient is that it indicates not only the strength, but also the direction of the relationship [54].
The Kendall’s tau correlation coefficient is calculated from the following relationship:
5. Results
With the use of the methods presented in Section 4 and the developed methodology, the research was conducted, the results of which are presented in this section.
In the first stage of the research, the adopted indicators characterizing digital technologies, infrastructure for Industry 4.0 and personnel training in enterprises with respect to their size were subjected to preliminary statistical analysis, which enabled the authors to determine their basic parameters describing the population of the studied CEE countries (Table 4, Table 5 and Table 6).
Table 4.
Basic descriptive statistics of indicators for small enterprises in the CEE countries.
Table 5.
Basic descriptive statistics of indicators for medium enterprises in the CEE countries.
Table 6.
Basic descriptive statistics of indicators for large enterprises in the CEE countries.
Based on the results, it was found that the presented set of indicators was characterized, first of all, by a large spread of the coefficient of variation (above 10%). Thus, the condition set for diagnostic characteristics, which should be marked by a significant differentiation within the examined community, was fulfilled. It is worth noting that the higher the value of the coefficient of variation for a given indicator, the greater its variation within the population of countries under study. In the case under study, this indicates heterogeneity in the use of a given technology, infrastructure for Industry 4.0 or the implementation of staff training in the population of the CEE countries. Low values of the indicator, on the other hand, prove the homogeneity of this population in terms of their use in small, medium and large enterprises.
For small enterprises, the highest value of the coefficient of variation is for the technology integration with customers/suppliers (over 80%), and the lowest—for infrastructure for Industry 4.0 in the form of Internet connection—speed between 100 and 500 Mb/s. Furthermore, for medium-sized enterprises, the value of the coefficient of variation for infrastructure for Industry 4.0 was found to be the lowest (26%). By contrast, medium-sized enterprises were reported to have the highest value of coefficient of variation at over 64% for the use of any AI technology. Large enterprises, on the other hand, were shown to have the highest variation in the use of 3D printing technology (57.4%) and the lowest variation in the use of VPN (15.4%).
In general, cloud computing was found to be the most widely implemented technology in small businesses, with 30% of them using it on average. The leader in the use of this technology is Estonia, where as many as 55% of small enterprises declare using it, and the weakest results were found for Bulgaria (only 10% of small enterprises use cloud computing). In medium-sized enterprises, the most commonly used technology is the use of cybersecurity in the form of VPN (52%) and integration of internal processes (51%). The leader in the use of cybersecurity is Lithuania (66%), and in the use of integration of internal processes is the Czech Republic (76%). Furthermore, for large enterprises, these two technologies are used most often, and the leader in their use is Slovakia, where cybersecurity is used by 94% of enterprises and integration of internal processes by 97% of enterprises. The average for the ECC countries is 82% for cybersecurity and 78% for integration of internal processes.
The least used technology in enterprises is 3D printing technology, which is used on average by 13% of large enterprises, 5% of medium-sized enterprises and less than 3% of small enterprises.
When analyzing the results of the calculations presented in Table 3, Table 4 and Table 5, digital technologies taken into account in the research, infrastructure for Industry 4.0 and staff training are implemented to the greatest extent in large enterprises in the CEE countries. The ratio between the studied indicators in small and medium, medium and large and small and large enterprises is presented in Table 7, and Figure 5 shows their average values.
Table 7.
Ratio between examined indicators in small and medium, medium and large and small and large enterprises.
Figure 5.
Average use of Industry 4.0 technologies, infrastructure and training in different groups of enterprises in the CEE countries.
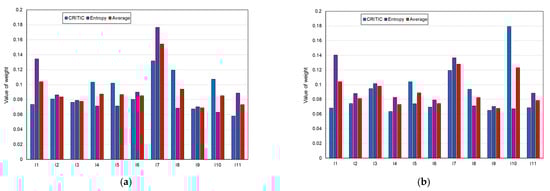
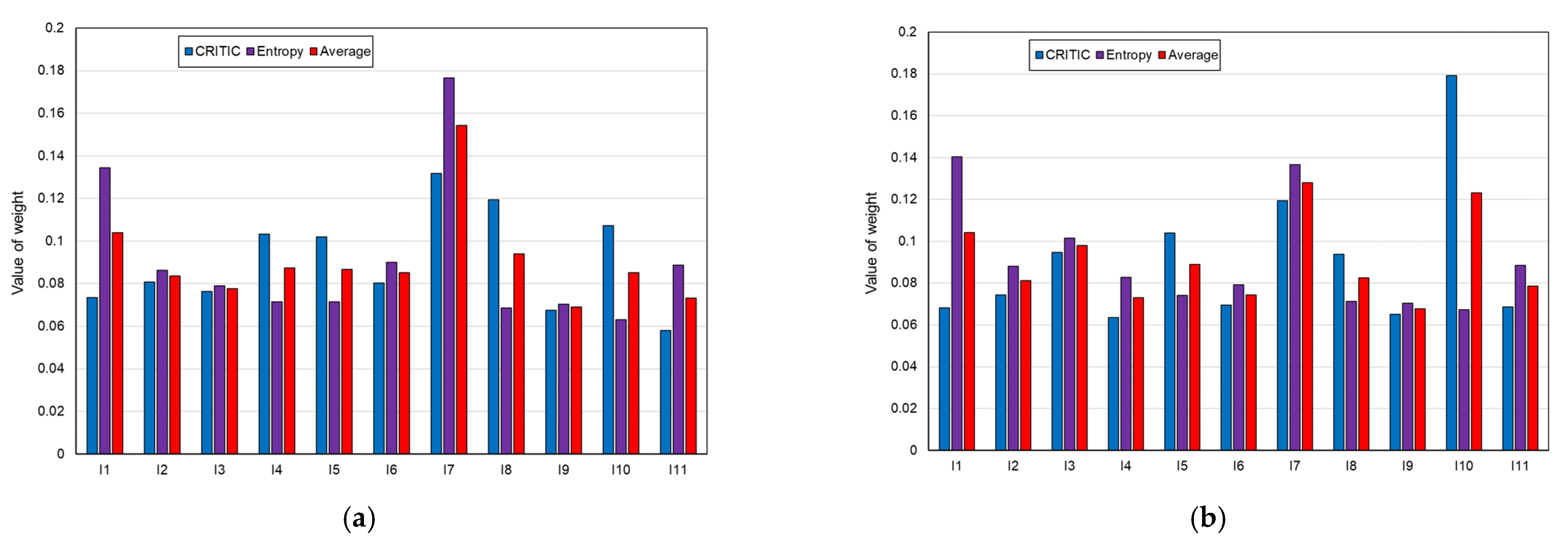
In the next stage of the research, the index and level of digitalization of the CEE countries in terms of implemented digital technologies, infrastructure for Industry 4.0 and personnel training in small, medium and large enterprises were determined. Using a hybrid approach, based on MCDM methods, a ranking of the studied CEE countries in terms of the level of digitalization of their enterprises (small, medium and large) was also made. All indicators adopted for the study were stimulants. The values of weights for individual indicators determined by the entropy, CRITIC and average entropy-CRITIC methods are presented in Figure 6, and the results of the calculation of the digitalization index and ranking of countries by TOPSIS, VIKOR methods are summarized in Table 8 and Table 9.

Figure 6.
The values of indicator weights for small (a), medium (b) and large (c) enterprises.
Table 8.
Distance of individual CEE countries from the pattern and anti-pattern together with the TOPSIS measure for the level of digitalization of individual groups of enterprises.
Table 9.
Ranking of the CEE countries in terms of the level of digitalization of individual groups of enterprises determined by the VIKOR method.
The obtained results related to the classification (ranking) of the CEE countries showed that the method of analysis used had an impact on the country’s position in the ranking (different for each country). For example, Slovenia—in terms of digitalization of all types of enterprises in the ranking for TOPSIS and VIKOR methods—was found to be on the 1st place, while Bulgaria—in the ranking made with the VIKOR method for all types of enterprises—in the 10th place, and with the TOPSIS method—on the 11th place for small and medium enterprises, and for large enterprises—in the 10th place.
In order to obtain the most reliable digitalization index and ranking for the CEE countries, the mean-rank method was applied, which combines results obtained using the TOPSIS and VIKOR methods. The mean-rank method enables—in a relatively simple, clear and objective manner—determining an unambiguous result of such analysis. The mean value of the digitalization index (Di) was determined from Equation (26).
The digitalization index and ranking for the CEE countries are presented in Table 10.
Table 10.
Ranking of the CEE countries in terms of the level of digitalization of individual groups of enterprises determined by the VIKOR method.
Based on the calculations carried out, in terms of the digitalization index of small, medium and large enterprises, the final ranking in terms of the value of this index is as follows:
- For small enterprises: Slovenia > Croatia > Estonia > Lithuania > Czech Republic > Slovakia > Latvia > Poland > Hungary > Romania > Bulgaria
- For medium-sized enterprises: Slovenia > Estonia > Czech Republic > Croatia > Lithuania > Latvia > Poland > Slovakia > Hungary > Romania > Bulgaria
- For large enterprises: Slovenia > Czech Republic > Poland > Estonia > Hungary > Croatia > Slovakia > Latvia > Lithuania > Bulgaria > Romania.
Thus, the results show that in terms of the digitalization of small enterprises, in the CEE countries, Slovenia and Croatia perform best and Bulgaria and Romania perform worst. They also achieve the worst results in terms of the digitalization of medium enterprises. When it comes to the digitalization of medium-sized enterprises, Slovenia and Estonia were found to have the best outcomes. When it comes to large enterprises, Slovenia and the Czech Republic are the leaders, while Bulgaria and Romania are the worst performers again.
Determining the average value of the small, medium and large enterprise digitalization index made it possible to assess the CEE countries in terms of their level of digitalization. For this purpose, the CEE countries were divided into four groups according to the following conditions:
- Class I—high level
- Class II—average level
- Class III—low level
- Class IV—very low level
where: is the digitalization index value, is the average digitalization index value for CEE countries and is the standard deviation from the digitalization index value.
Table 11.
The level of CEE countries in terms of digitalization of their enterprises.

Figure 7.
Level of CEE countries in terms of digitalization of their enterprises: small (a), medium (b) and large (c).
The analyses made it possible to assign individual CEE countries to one of four classes in terms of the level of digitization of their enterprises based on the adopted indicators. In the case of small enterprises, countries with a high level of digitalization are Slovenia and Croatia. In the case of medium-sized enterprises, these are Slovenia and Estonia, and in the case of large enterprises—Slovenia and the Czech Republic. The lowest level of digitalization, for all types of enterprises, was reported for Bulgaria, and for large enterprises—also Romania.
In the last stage of the research, it was checked whether the selected economic parameters of the CEE countries are related to the digitalization indices of small, medium and large enterprises from these countries (determined in the previous part of the research).
The economic parameters of the CEE countries included in the study were GDP per capita, GDP value and R&D expenditures as % of GDP value. In order to check these correlations, the Spearman’s rank correlation coefficients and Kendall’s tau correlation coefficient were used. The results are presented in Table 12 and Table 13.
Table 12.
Spearman’s rank correlation coefficients between the value of digitalization index of small, medium and large enterprises and the basic economic parameters of CEE countries.
Table 13.
Kendall’s tau correlation coefficient between the value of the digitalization index of small, medium and large enterprises and the basic economic parameters of the economy of CEE countries.
The determined relationships clearly indicate that the values of Kendall’s tau correlation coefficients are much lower than the values of Spearman’s rank coefficients. This means that the strength of the relationship between the digitalization index for these companies and the studied economic parameters of the CEE economies for the Spearman’s rank correlation coefficients is higher.
For the values of the Spearman’s rank correlation coefficients, positive and statistically significant relationships were reported (for all types of companies) between the digitalization index and the value of GDP per capita and gross domestic expenditure on R&D. This is a highly significant result, indicating that the value of GDP per capita and the amount of R&D expenditure affect the level of digitalization of enterprises, regardless of their size. The strongest relationship between the digitalization index and GDP per capita was found for medium-sized enterprises and between the digitalization index and gross domestic expenditure on R&D for large enterprises.
By contrast, no statistically significant relationship was found between the digitalization index and GDP value for the Spearman’s rank or Kendall’s tau correlation coefficients. It was also observed that the values of the Kendall’s tau coefficient did not show a significant positive relationship between the value of the digitalization index for small enterprises and gross domestic expenditure on R&D or the value of this index for large enterprises and the value of GDP per capita.
6. Discussion and Conclusions
On the basis of the research carried out, the level of digitalization of enterprises in the CEE countries was evaluated taking into account their size and the relationship between selected economic parameters of these countries. Descriptive statistics, MCDM methods (entropy-CRITIC and TOPSIS-VIKOR) and non-parametric tests (Spearman’s rank and Kendall’s tau correlation coefficients) were used for the study. The analysis was based on indicators characterizing mainly the digital technologies used (9 indicators), also including a very important area such as infrastructure necessary to implement the Industry 4.0 concept (one indicator) and personnel training (one indicator), which also has a huge impact on the effectiveness of implementing innovative solutions.
The results showed that despite the common history of political and related economic transformations, the CEE countries are very diverse in terms of the level of digitalization. This concerns both the technologies used and the size of enterprises. The results also indicate that the most frequently used digital technology by small enterprises from these countries is cloud computing (30%), and among medium and large enterprises—the use of cybersecurity of networks in the form of VPNs (used by 52% and 82%, respectively).
An appropriate infrastructure was found to be immensely important for the process of implementation of new technologies, and thus also for the level of digitalization [55]. In this respect, Romania (small enterprises) and Estonia (medium and large enterprises) achieved the best results, and Croatia (small enterprises) and Slovakia (medium and large enterprises) the worst results. Another important factor emphasized by many researchers [56,57] is the human factor, the measure of which in this study was the staff training index. In this regard, the most favorable results were obtained by Slovenia (small and large enterprises), the Czech Republic (medium enterprises) and the least favorable by Romania (small, medium and large enterprises).
The highest level of digitalization of small and medium enterprises was found in Slovenia and Croatia, while the lowest in Romania and Bulgaria. On the other hand, in terms of the digitalization of small and medium enterprises, countries such as the Czech Republic, Latvia, Hungary, Poland and Slovakia, and in the case of large enterprises, additionally Lithuania and Croatia, were found to be at a medium level. In the case of large enterprises, the highest level of digitalization was found in Slovenia and the Czech Republic, and slightly lower in Estonia and Poland. Undoubtedly, a high level of digitalization of enterprises characterizes countries with a high level of competitiveness and innovation, which causes an even faster process of their digitalization [58].
It is also worth noting that the level of digitalization in the CEE significantly depends on GDP per capita and the number of resources spent on research and development (R&D). Countries that are more affluent (higher GDP per capita) and those that spend more on R&D achieve higher levels of digitalization. These trends are consistent with the results of studies conducted in this regard for other groups of countries/regions, e.g., Sub-Saharan Africa, OECD and Middle East [59].
Digitalization of enterprises, especially those in the small and medium sector, is currently one of the most important elements of the economic policy not only for the CEE countries, but also for the entire EU-27, which was further strengthened by the pandemic caused by the SARS coronavirus CoV-2 [60,61]. Digitalization is not only about implementing modern technologies, but also about modernizing the Internet infrastructure and investing in digital skills and building an open approach to innovation. Training and upskilling of employees and staff also play a very important role in these processes [56,62,63,64,65,66].
The development of digitalization and modernization of the CEE economies is one of the economic priorities of the EU. Increasing the use of digital technologies gives the entire region (CEE) a great opportunity for development and coming closer to the most developed countries both in Europe and the whole world. The digitalization process is related to the entire economic and environmental transformation of the region, which is trying to build a sustainable economy based on knowledge and innovation.
The results obtained in terms of the level of digitalization of companies also indicate that some CEE countries are not using the opportunity and potential created by the openness of global markets and pro-development activities in this area undertaken by the EU. An example is Hungary, characterized by an average level of digitization of all enterprises, poorly exploiting the potential associated with investments made in this country by Japan, Germany or South Korea. Undoubtedly, these investments create very favorable conditions for development of the R&D sector and technologies with a high degree of innovation. There is a big delay in Romania and Bulgaria, which rank last not only among the CEE countries, but also among the entire European community in the digitalization of their companies. Companies operating in these countries are still insufficiently involved in such processes as production automation, use of 3D printing, big data analytics, AI or cloud computing. In other CEE countries, the situation looks slightly better, although in relation to the so-called “old” EU, there is still a significant lag. A great opportunity for building and developing an innovative economy in the CEE countries is offered by the concept of open innovation, both for cooperation between companies and groups of countries. Cooperation between individual CEE countries, the use of good practices across the EU, creating an open market for the flow of knowledge, capital and people provide a great opportunity for the CEE countries to make progress in this regard. It is particularly important to pay more attention to small and medium-sized enterprises, whose resources, and thus potential and opportunities, are much smaller than those of large companies. The open business model and broad cooperation on the open EU market as well as joint application for investment and R&D funds give these groups of enterprises a chance for rapid development and modernization of their production. Becoming more competitive will enable them to further develop, overcome potential barriers and increase their ability to implement new technologies.
The government also plays an extremely important role in the digital economy. The state’s role in building an innovative economy involves setting national and regional policies and priorities for the digital economy. These activities include supporting the research and development of promising technologies, regulating and complementing market forces to provide access to the Internet, investing in human and organizational resources, guiding the transformation and management of public services and building state capacities and institutions to plan, finance and implement national digital transformation strategies.
The role of government in the era of digitalization must not be static but evolve with the development of the economy and technology. This adaptation to reality must now move much faster than before. It should also take into account the volatility of the political situation in the world. As Nagy [67] points out, there is no one universal solution for the role of government in the digital age. It must be a process of continuous improvement and adaptation to reality, especially in relation to small businesses. In this context, the triple helix model (THM) and the open innovation (OI) model are of great importance.
The research results presented in this paper make a new contribution to the existing literature on assessing the digitalization of CEE countries. They indicate that these countries, despite a common past and the same period of transition from centrally planned to free market economy systems, are at different levels in the process of digitalization of the economy. This makes it possible to assess the effectiveness of their actions and the development of path adopted.
This is due to the fact that these countries are undertaking actual innovation activities to a different extent. This is mainly related to the variation in expenditures on R&D activities, which ultimately translates into the degree of digitalization of enterprises. The largest financial outlays in this regard are allocated by Slovenia, and the smallest by Romania and Bulgaria, which also translates into the level of digitalization of all types of enterprises in these countries.
To sum up, the conducted research and its results made it possible to formulate comprehensive answers to the set research questions. At the same time, they showed that the digitalization of enterprises is an extremely important but also not an easy process for the development of the economies of CEE countries and the whole EU. The disproportions in the degree of digitalization in the studied groups of companies and in individual CEE countries, as well as in relation to other EU countries, which are visible in these results, indicate the need to take them into account when creating strategies for the EU digital economy. A new approach to the pro-innovation policy should consider the creation of an open digital ecosystem that will enable rapid and effective transfer of knowledge and technology between all stakeholders in the EU economy.
Author Contributions
Conceptualization, M.T. and J.B.; methodology, J.B. and M.T.; software, M.T. and J.B.; formal analysis, J.B. and M.T.; investigation, J.B. and M.T.; resources, M.T. and J.B.; data curation, M.T. and J.B.; writing—original draft preparation, M.T. and J.B.; writing—review and editing, J.B. and M.T.; visualization, M.T.; supervision, M.T. and J.B.; project administration, M.T. and J.B.; funding acquisition, M.T. All authors have read and agreed to the published version of the manuscript.
Funding
This publication was funded by the statutory research performed at Silesian University of Technology, Department of Production Engineering, Faculty of Organization and Management, grant number BK-288/ROZ3/2022/ (13/030/BK_22/0070).
Institutional Review Board Statement
Not applicable.
Informed Consent Statement
Not applicable.
Data Availability Statement
Not applicable.
Conflicts of Interest
The authors declare no conflict of interest.
References
- Frank, A.G.; Mendes, G.; Ayala, N.F.; Ghezzi, A. Servitization and Industry 4.0 convergence in the digital transformation of product firms: A business model innovation perspective. Technol. Forecast. Soc. Chang. 2019, 141, 341–351. [Google Scholar] [CrossRef]
- Frank, A.G.; Santos Dalenogare, L.; Ayala, N.F. Industry 4.0 technologies: Implementation patterns in manufacturing companies. Int. J. Prod. Econ. 2019, 210, 15–26. [Google Scholar] [CrossRef]
- Parviainen, P.; Tihinen, M.; Kääriäinen, J.; Teppola, S. Tackling the digitalization challenge: How to benefit from digitalization in practice. Int. J. Inf. Syst. Proj. Manag. 2017, 5, 63–77. [Google Scholar] [CrossRef]
- Yang, F.; Gu, S. Industry 4.0, a revolution that requires technology and national strategies. Complex Intell. Syst. 2021, 7, 1311–1325. [Google Scholar] [CrossRef]
- Rachinger, M.; Rauter, R.; Müller, C.; Vorraber, W.; Schirgi, E. Digitalization and its influence on business model innovation. J. Manuf. Technol. Manag. 2019, 30, 143–1160. [Google Scholar] [CrossRef]
- Toktaş-Palut, P. Analyzing the effects of Industry 4.0 technologies and coordination on the sustainability of supply chains. Sustain. Prod. Consum. 2022, 30, 341–358. [Google Scholar] [CrossRef]
- Lee, J.; Bagheri, B.; Kao, H.A. A cyber-physical systems architecture for industry 4.0-based manufacturing systems. Manuf. Lett. 2015, 3, 18–23. [Google Scholar] [CrossRef]
- Babiceanu, R.F.; Seker, R. Big Data and virtualization for manufacturing cyber-physical systems: A survey of the current status and future outlook. Comput. Ind. 2016, 81, 128–137. [Google Scholar] [CrossRef]
- Dalenogare, L.S.; Benitez, G.B.; Ayala, N.F.; Frank, A.G. The expected contribution of Industry 4.0 technologies for industrial performance. Int. J. Prod. Econ. 2018, 204, 383–394. [Google Scholar] [CrossRef]
- Samara, E.; Andronikidis, A.; Komninos, N.; Bakouros, Y.; Katsoras, E. The Role of Digital Technologies for Regional Development: A System Dynamics Analysis. J. Knowl. Econ. 2022, 1–23. [Google Scholar] [CrossRef]
- Zhang, W.; Zhao, S.; Wan, X.; Yao, Y. Study on the effect of digital economy on high-quality economic development in China. PLoS ONE 2021, 16, e0257365. [Google Scholar] [CrossRef]
- European Broadband: Investing in Digitally Driven Growth. 2013. Available online: https://eur-lex.europa.eu/legal-content/EN/TXT/HTML/?uri=LEGISSUM:si0017&from=EN (accessed on 20 February 2022).
- Towards a Thriving Data-Driven Economy. 2014. Available online: http://eur-lex.europa.eu/legal-content/EN/TXT/?uri=COM%3A2014%3A0442%3AFIN (accessed on 20 February 2022).
- Building a European Data Economy. 2017. Available online: https://eur-lex.europa.eu/legal-content/EN/TXT/?qid=1521790097276&uri=CELEX:52017DC0009 (accessed on 20 February 2022).
- The Age of Artificial Intelligence: Towards a European Strategy for Human-Centric Machines. 2018. Available online: https://ec.europa.eu/jrc/communities/en/node/1286/document/age-artificial-intelligence-towards-european-strategy-human-centric-machines (accessed on 20 February 2022).
- The Digital Europe Programme. 2021. Available online: https://digital-strategy.ec.europa.eu/en/activities/digital-programme (accessed on 20 February 2022).
- Eurostat Database. 2021. Available online: https://ec.europa.eu/eurostat/web/main/data/database (accessed on 20 February 2022).
- Mubarak, M.; Petraite, M. Industry 4.0 technologies, digital trust and technological orientation: What matters in open innovation? Technol. Forecast. Soc. Change 2020, 161, 120332. [Google Scholar] [CrossRef]
- Pyka, A.; Andersen, E.S. Introduction: Long term economic development: Demand, finance, organization, policy and innovation in a schumpeterian perspective. J. Evol. Econ. 2012, 22, 621–625. [Google Scholar] [CrossRef] [Green Version]
- Solow, R. A contribution to the theory of economic growth. Q. J. Econ. 1956, 70, 65. [Google Scholar] [CrossRef]
- Hahn, F.H. Neoclassical growth theory. In Economic Growth. The New Palgrave Economics Collection; Durlauf, S.N., Blume, L.E., Eds.; Palgrave Macmillan: London, UK, 2010. [Google Scholar] [CrossRef]
- Di Bona, G.; Cesarotti, V.; Arcese, G.; Gallo, T. Implementation of Industry 4.0 technology: New opportunities and challenges for maintenance strategy. Procedia Comput. Sci. 2021, 180, 424–429. [Google Scholar] [CrossRef]
- Urbinati, A.; Chiaroni, C.; Chiesa, V.; Frattini, F. The role of digital technologies in open innovation processes: An exploratory multiple case study analysis. R&D Manag. 2020, 50, 136–160. [Google Scholar]
- Chesbrough, H. To recover faster from COVID-19, open up: Managerial implications from an open innovation perspective. Indus. Market. Manag. 2020, 88, 410–413. [Google Scholar] [CrossRef]
- Weking, J.; Stöcker, M.; Kowalkiewicz, M.; Böhm, B.; Krcmar, H. Leveraging industry 4.0—A business model pattern framework. Int. J. Prod. Econ. 2020, 225, 107588. [Google Scholar] [CrossRef]
- Rüßmann, M.; Lorenz, M.; Gerbert, P.; Waldner, M.; Justus, J.; Engel, P.; Harnisch, M. Industry 4.0: The future of productivity and growth in manufacturing industries. Boston Consult. Group 2015, 9, 54–89. [Google Scholar]
- Törngren, M.; Onori, M. Current status and advancement of cyber-physical systems in manufacturing. J. Manuf. Syst. 2015, 37, 517–527. [Google Scholar]
- Brettel, M.; Friederichsen, N.; Keller, M.; Rosenberg, M. How virtualization, decentralization and network building change the manufacturing Landscape. Int. J. Mech. Ind. Sci. Eng. 2014, 8, 37–44. [Google Scholar]
- Gilchrist, A. Industry 4.0: The Industrial Internet of Things; Apress: Berkeley, CA, USA, 2016. [Google Scholar]
- Büchi, G.; Cugno, M.; Castagnoli, R. Smart factory performance and Industry 4.0. Technol. Forecast. Soc. Change 2020, 150, 119790. [Google Scholar] [CrossRef]
- Nagy, J.; Oláh, J.; Erdei, E.; Máté, D.; Popp, J. The Role and Impact of Industry 4.0 and the Internet of Things on the Business Strategy of the Value Chain—The Case of Hungary. Sustainability 2018, 10, 3491. [Google Scholar] [CrossRef] [Green Version]
- Kiel, D.; Arnold, C.; Collisi, M.; Voigt, K. The impact of the industrial internet of things on established business models. In Proceedings of the 25th International Association for Management of Technology (IAMOT) Conference, Orlando, FL, USA, 15–19 May 2016; pp. 673–695. [Google Scholar]
- Weller, C.; Kleer, R.; Piller, F.T. Economic implications of 3D printing: Market structure models in light of additive manufacturing revisited. Int. J. Prod. Econ. 2015, 164, 43–56. [Google Scholar] [CrossRef]
- Yu, F.; Schweisfurth, T. Industry 4.0 technology implementation in SMEs—A survey in the Danish-German border region. Int. J. Innov. Stud. 2020, 4, 76–84. [Google Scholar] [CrossRef]
- Tortora, A.; Alfano, M.; Di Pasquale, V.; Iannone, R.; Pianese, C. A survey study on Industry 4.0 readiness level of Italian small and medium enterprises. Procedia Comput. Sci. 2021, 180, 744–753. [Google Scholar] [CrossRef]
- Raj, A.; Dwivedi, G.; Sharma, A.; Lopes de Sousa Jabbour, A.; Rajak, S. Barriers to the adoption of industry 4.0 technologies in the manufacturing sector: An inter-country comparative perspective. Int. J. Prod. Econ. 2020, 224, 107546. [Google Scholar] [CrossRef]
- Huang, C.-J.; Talla Chicoma, E.D.; Huang, Y.-H. Evaluating the Factors that are Affecting the Implementation of Industry 4.0 Technologies in Manufacturing MSMEs, the Case of Peru. Processes 2019, 7, 161. [Google Scholar] [CrossRef] [Green Version]
- Ingaldi, M.; Ulewicz, R. Problems with the Implementation of Industry 4.0 in Enterprises from the SME Sector. Sustainability 2020, 12, 217. [Google Scholar] [CrossRef] [Green Version]
- Hizam-Hanafiah, M.; Soomro, M.A. The Situation of Technology Companies in Industry 4.0 and the Open Innovation. J. Open Innov. Technol. Mark. Complex. 2021, 7, 34. [Google Scholar] [CrossRef]
- González, A.; Quiñonero, D.; Vega, S. Assessment of the Degree of Implementation of Industry 4.0 Technologies: Case Study of Murcia Region in Southeast Spain. Eng. Econ. 2021, 32, 422–432. [Google Scholar] [CrossRef]
- Schumacher, A.; Erol, S.; Sihn, W. A maturity approach for assessing Industry 4.0 readiness and maturity of manufacturing enterprises. Procedia Cirp 2016, 52, 161–166. [Google Scholar] [CrossRef]
- Pacchini, A.P.T.; Lucatoa, W.C.; Facchini, F.; Mummolo, G. The degree of readiness for the implementation of Industry 4.0. Comput. Ind. 2019, 113, 103125. [Google Scholar] [CrossRef]
- Kljajić Borštnar, M.; Pucihar, A. Multi-Attribute Assessment of Digital Maturity of SMEs. Electronics 2021, 10, 885. [Google Scholar] [CrossRef]
- Akdil, K.Y.; Ustundag, A.; Cevikcan, E. Maturity and Readiness Model for Industry 4.0 Strategy. In Industry 4.0: Managing the Digital Transformation. Springer Series in Advanced Manufacturing; Springer: Cham, Switzerland, 2018. [Google Scholar]
- Lichtblau, K.; Stich, V.; Bertenrath, R.; Blum, M.; Bleider, M.; Millack, A.; Schmitt, K.; Schmitz, E.; Schröter, M. IMPULS—Industrie 4.0—Readiness, Impuls-Stiftung des VDMA, Aachen-Köln. 2015. Available online: https://www.industrie40-readiness.de/?lang=en (accessed on 20 February 2022).
- PwC. Price Water House Coopers: The Industry 4.0/Digital Operations Self Assessment 2016. Available online: https://i40-self-assessment.pwc.de/i40/landing/ (accessed on 20 February 2022).
- Rockwellautomation: The Connected Enterprise Maturity Model. 2014. Available online: https://literature.rockwellautomation.com/idc/groups/literature/documents/wp/cie-wp002_-en-p.pdf (accessed on 20 February 2022).
- Leyh, C.; Schäffer, T.; Bley, K.; Forstenhäusler, S. SIMMI 4.0—A Maturity Model for Classifying the Enterprise-wide IT and Software. Landscape Focusing on Industry 4.0. In Proceedings of the Federated Conference on Computer Science and Information Systems, Sofia, Bulgaria, 6–9 September 2016; Volume 8, pp. 1297–1302. [Google Scholar]
- Zoubek, M.; Simon, M. A framework for a logistics 4.0 maturity model with a specification for internal logistics. MM Sci. J. 2021, 1, 4264–4274. [Google Scholar] [CrossRef]
- Lee, J.; Jun, S.; Chang, T.-W.; Park, J. A Smartness Assessment Framework for Smart Factories Using Analytic Network Process. Sustainability 2017, 9, 794. [Google Scholar] [CrossRef] [Green Version]
- Diakoulaki, D.; Mavrotas, G.; Papayannakis, L.; Determining, L. Objective weights in multiple criteria problems: The CRITIC method. Comput. Oper. Res. 1995, 22, 763–770. [Google Scholar] [CrossRef]
- Aznar Bellver, J.; Cervelló, R.R.; García, F.F. Spanish savings banks and their future transformation into private capital banks. Determining their value by a multicriteria valuation methodology. Eur. J. Econ. Finance Admin. Sci. 2011, 35, 155–164. [Google Scholar]
- Opricovic, S. Multi-criteria Optimization of Civil Engineering Systems. Fac. Civ. Eng. Belgrade 1998, 2, 5–21. [Google Scholar]
- Abdi, H.; Salkind, N.J. Encyclopedia of Measurement and Statistics. Thousand Oaks (CA) Sage 2007, 7, 131–153. [Google Scholar]
- Pereira, C.S.; Durão, N.; Moreira, F.; Veloso, B. The Importance of Digital Transformation in International Business. Sustainability 2022, 14, 834. [Google Scholar] [CrossRef]
- Eller, R.; Alford, P.; Kallmünzer, A.; Peters, M. Antecedents, consequences, and challenges of small and medium-sized enterprise digitalization. J. Bus. Res. 2020, 112, 119–127. [Google Scholar] [CrossRef]
- Jackman, J.A.; Gentile, D.A.; Cho, N.J.; Park, Y. Addressing the digital skills gap for future education. Nat. Hum. Behav. 2021, 5, 542–545. [Google Scholar] [CrossRef] [PubMed]
- Novak, M.; Purta, T.; Marciniak, T.; Ignatowicz, K.; Rozenbaum, K.; Yearwood, K. The Rise of Digital Challengers. How Digitization Can Become the Next Growth Engine for Central and Eastern Europe; Digital/McKinsey, 2018. Available online: https://digitalchallengers.mckinsey.com/ (accessed on 20 February 2022).
- Habibi, F.; Zabardast, M.A. Digitalization, education and economic growth: A comparative analysis of Middle East and OECD countries. Technol. Soc. 2020, 63, 101370. [Google Scholar] [CrossRef]
- Rupeika-Apoga, R.; Bule, L.; Petrovska, K. Digital Transformation of Small and Medium Enterprises: Aspects of Public Support. J. Risk Financial Manag. 2022, 15, 45. [Google Scholar] [CrossRef]
- Stalmachova, K.; Chinoracky, R.; Strenitzerova, M. Changes in Business Models Caused by Digital Transformation and the COVID-19 Pandemic and Possibilities of Their Measurement—Case Study. Sustainability 2022, 14, 127. [Google Scholar] [CrossRef]
- Bikse, V.; Lusena-Ezera, I.; Rivza, P.; Rivza, B. The Development of Digital Transformation and Relevant Competencies for Employees in the Context of the Impact of the COVID-19 Pandemic in Latvia. Sustainability 2021, 13, 9233. [Google Scholar] [CrossRef]
- Hulla, M.; Herstätter, P.; Wolf, M.; Ramsauer, C. Towards digitalization in production in SMEs—A qualitative study of challenges, competencies and requirements for trainings. Procedia CIRP 2021, 104, 887–892. [Google Scholar] [CrossRef]
- Ober, J.; Kochmańska, A. Adaptation of Innovations in the IT Industry in Poland: The Impact of Selected Internal Communication Factors. Sustainability 2022, 14, 140. [Google Scholar] [CrossRef]
- Kuzior, A.; Kettler, K.; Rąb, Ł. Digitalization of Work and Human Resources Processes as a Way to Create a Sustainable and Ethical Organization. Energies 2022, 15, 172. [Google Scholar] [CrossRef]
- Ober, J.; Karwot, J. Pro-Ecological Behavior: Empirical Analysis on the Example of Polish Consumers. Energies 2022, 15, 1690. [Google Scholar] [CrossRef]
- Nagy, H. A Role for the State in the Digital Age. J. Innov. Entrep. 2018, 7, 5. Available online: https://innovation-entrepreneurship.springeropen.com/articles/10.1186/s13731-018-0086-3 (accessed on 1 July 2022).
Publisher’s Note: MDPI stays neutral with regard to jurisdictional claims in published maps and institutional affiliations. |
© 2022 by the authors. Licensee MDPI, Basel, Switzerland. This article is an open access article distributed under the terms and conditions of the Creative Commons Attribution (CC BY) license (https://creativecommons.org/licenses/by/4.0/).








