Resolving Knowledge Gaps in Liquid Crystal Delay Line Phase Shifters for 5G/6G mmW Front-Ends
Abstract
1. Introduction
2. Materials and Methods
2.1. LC Material Specifications and LC DLPS Structures
2.2. Unobserved Physical Constraints Implied on Geometry Design Ranges of Single-Mode LC-coax-DLPS
- For , = 0, resulting in a circular waveguide filled entirely with the LC dielectric.
- For , = 0, causing the coaxial line to degenerate into a solid wire.
2.3. Computational Testbed of LC Coaxial DLPS (PI-Free)
3. Results of Dispersion and New FoMs on Delay Times and Lengths
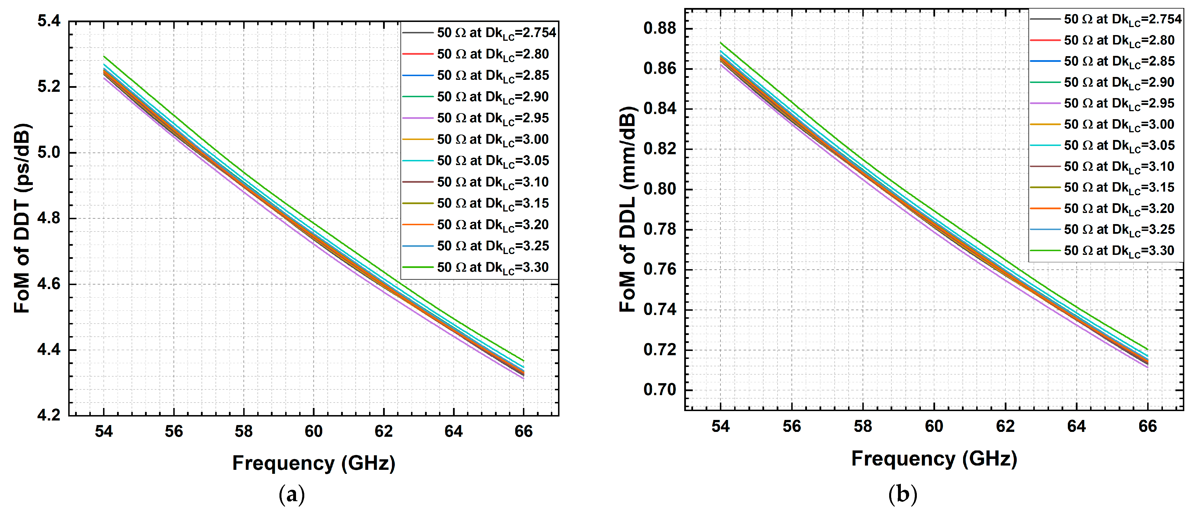
3.1. Results of DDL and DDT Across 54 GHz to 66 GHz
3.2. Proposal of New FoMs and Results Comparison
4. Discussions on Unnoticed Complexities of Partial Dielectric Leakage Attacks (PDLAs) Experimentation
4.1. Rethinking PDLA Impacts on Phase Shift and Insertion Loss
4.2. Possible Transients of Liquid–Gas Two-Phase Flow
4.3. Other Attacking Vulnerabilities on LC DLPS
5. Conclusions
Author Contributions
Funding
Data Availability Statement
Conflicts of Interest
Abbreviations
| AFR | Air-filled ratio |
| B5G | Beyond-fifth-generation communication |
| CFDs | Computational fluid dynamics |
| Dcore | Core line diameter |
| DAC | Digital-to-analog converter |
| DDF | Dielectric dissipation factor |
| DDFiso | Dielectric dissipation factor at isotropic LC state |
| Dk | Dielectric constant |
| Dkiso | Dielectric constant at isotropic LC state |
| DkLC | Dielectric constant of LC |
| DDL | Differential delay length |
| DDT | Differential delay time |
| DLA | Dielectric leakage attack |
| DLPS | Delay line phase shifter |
| ECPW | Enclosed coplanar waveguide |
| EDA | Electronic design automation |
| fc | Cutoff frequency |
| FEM | Finite element method |
| 5G | Fifth-generation communication |
| FoM | Figure of merit |
| Figure of merit (newly proposed in this work) | |
| HFSS | High-frequency structure simulator |
| HoM | Higher-order mode |
| IL | Insertion loss |
| IMSL | Inverted microstrip line |
| LC | Liquid crystal |
| MEMS | Micro-electromechanical system |
| MSL | Microstrip line |
| mmW | Millimeter wave |
| mW | Microwave |
| PDLA | Partial dielectric leakage attack |
| PI | Polyimide |
| RIS | Reconfigurable intelligence surface |
| 6G | Sixth-generation communication |
| S11 | Forward reflection coefficient |
| S21 | Forward transmission coefficient |
| THz | Terahertz |
| TLC | Thickness of LC |
| TTD | True time delay |
References
- Hemadeh, I.A.; Satyanarayana, K.; El-Hajjar, M.; Hanzo, L. Millimeter-Wave Communications: Physical Channel Models, Design Considerations, Antenna Constructions, and Link-Budget. IEEE Commun. Surv. Tutor. 2018, 20, 870–913. [Google Scholar] [CrossRef]
- Busari, S.; Huq, K.; Mumtaz, S.; Dai, S.; Rodriguez, J. Millimeter-Wave Massive MIMO Communication for Future Wireless Systems: A Survey. IEEE Commun. Surv. Tutor. 2018, 20, 836–869. [Google Scholar] [CrossRef]
- Roh, W.; Seol, J.; Park, J.; Lee, B.; Lee, J.; Kim, Y. Millimeter-wave beamforming as an enabling technology for 5G cellular communications: Theoretical feasibility and prototype results. IEEE Commun. Mag. 2014, 52, 106–113. [Google Scholar] [CrossRef]
- Srivastava, G.; Kumar, A.; Mohan, A.; Kumar, S.; Ali, T. A self-octaplexing millimeter-wave antenna array for 5g fr2 spectrum. Sci. Rep. 2025, 15, 10386. [Google Scholar] [CrossRef] [PubMed]
- Elkashlan, M.; Duong, T.Q.; Chen, H.H. Millimeter-wave communications for 5G: Fundamentals: Part I [guest editorial]. IEEE Commun. Mag. 2014, 52, 52–54. [Google Scholar] [CrossRef]
- Sanjari, P.; Aflatouni, F. An integrated photonic-assisted phased array transmitter for direct fiber to mm-wave links. Nat. Commun. 2023, 14, 1414. [Google Scholar] [CrossRef] [PubMed]
- O’Hara, J.F.; Ekin, S.; Choi, W.; Song, I. A Perspective on Terahertz Next-Generation Wireless Communications. Technologies 2019, 7, 43. [Google Scholar] [CrossRef]
- da Silva, L.M.; Guerreiro, J. On the 5G and Beyond. Appl. Sci. 2020, 10, 7091. [Google Scholar] [CrossRef]
- Esmail, A.A.F.; Koziel, S. Design and optimization of metamaterial-based highly-isolated MIMO antenna with high gain and beam tilting ability for 5G millimeter wave applications. Sci. Rep. 2024, 14, 3203. [Google Scholar] [CrossRef]
- Rasheed, I.; Fei, H.; Hong, Y.; Balasubramanian, B. Intelligent vehicle network routing with adaptive 3D beam alignment for mmWave 5G-based V2X Communications. IEEE Trans. Intell. Transp. Syst. 2021, 22, 2706–2718. [Google Scholar] [CrossRef]
- Ortiz-Fuentes, J.A.; Silva-Montero, J.; Galvan-Tejada, G.M.; Abdalmalak, K.A.; Segovia-Vargas, D. A Novel Super Wide Band Monopole Antenna with a Curved Ground Plane for 6G and Wireless Communications. IEEE Open J. Antennas Propag. 2025, 6, 1435–1443. [Google Scholar] [CrossRef]
- Bryant, B.; Won, H.; Hong, Y.-K.; Lee, W.; Choi, M. Design of Triple-Band (DSRC, 5G, 6G) Antenna for Autonomous Vehicle Telematics. Electronics 2022, 11, 2523. [Google Scholar] [CrossRef]
- Mahmoud, R.; Castanheira, D.; Silva, A.; Gameiro, A. Sensing-Assisted Communication for mmWave Networks: A Review of Techniques, Applications, and Future Directions. Electronics 2025, 14, 3787. [Google Scholar] [CrossRef]
- Jiménez, F. Connected Vehicles, V2V Communications, and VANET. Electronics 2015, 4, 538–540. [Google Scholar] [CrossRef]
- Banerjee, S.; Dutta, P.; Basu, S.; Mishra, S.K.; Appasani, B.; Nanda, S.; Abdulkarim, Y.I.; Muhammadsharif, F.F.; Dong, J.; Jha, A.V.; et al. A New Design of a Terahertz Metamaterial Absorber for Gas Sensing Applications. Symmetry 2023, 15, 24. [Google Scholar] [CrossRef]
- Jiménez, F. Technologies and Applications of Communications in Road Transport. Appl. Sci. 2022, 12, 8997. [Google Scholar] [CrossRef]
- Abdulkarim, Y.I.; Alkurt, F.Ö.; Bakır, M.; Awl, H.N.; Muhammadsharif, F.F.; Karaaslan, M.; Appasani, B.; Badri, K.S.L.A.; Zhu, Y.Y.; Dong, J. A polarization-insensitive triple-band perfect metamaterial absorber incorporating ZnSe for terahertz sensing. J. Opt. 2022, 24, 105102. [Google Scholar] [CrossRef]
- Zhou, F.; Abdalmalak, K.A.; Yuste, A.P. Hybrid Dual-Band Antenna for 5G High-Speed Train Communication and Positioning Systems. Electronics 2025, 14, 847. [Google Scholar] [CrossRef]
- Kebe, M.; Yagoub, M.; Amaya, R. A Survey of Phase Shifters for Microwave Phased Array Systems. Int. J. Circuit Theory Appl. 2024, 53, 3719–3739. [Google Scholar] [CrossRef]
- Malik, B.T.; Khan, S.; Koziel, S. Design and implementation of multi-band reflectarray metasurface for 5G millimeter wave coverage enhancement. Sci. Rep. 2024, 14, 15286. [Google Scholar] [CrossRef]
- Ebrahimi, A.; Beziuk, G.; Ghorbani, K.; Martín, F. Tunable phase shifters using composite inductive-capacitive loaded slow-wave transmission lines. AEU—Int. J. Electron. Commun. 2022, 148, 154155. [Google Scholar] [CrossRef]
- Kebe, M.; Yagoub, M.; Amaya, R. A Wideband Analog Vector Modulator Phase Shifter Based on Non-Quadrature Vector Operation. Electronics 2025, 14, 997. [Google Scholar] [CrossRef]
- Mattsson, M.; Buisman, K.; Kuylenstierna, D. Modeling of intermodulation in a loaded-line phase shifter based on a polynomial varactor model. Int. J. Microw. Wirel. Technol. 2024, 16, 1113–1124. [Google Scholar] [CrossRef]
- Dussopt, L. Phase shifters and tuneable delay lines. In Advanced RF MEMS; Lucyszyn, S., Ed.; Cambridge University Press: Cambridge, UK, 2010; pp. 307–342. [Google Scholar]
- Li, J.; Chu, D. Liquid Crystal-Based Enclosed Coplanar Waveguide Phase Shifter for 54–66 GHz Applications. Crystals 2019, 9, 650. [Google Scholar] [CrossRef]
- Zografopoulos, D.C.; Ferraro, A.; Beccherelli, R. Liquid-crystal high-frequency microwave technology: Materials and Characterization. Adv. Mater. Technol. 2018, 4, 1800447. [Google Scholar] [CrossRef]
- Jakoby, R.; Gaebler, A.; Weickhmann, C. Microwave liquid crystal enabling technology for electronically steerable antennas in SATCOM and 5G millimeter-wave systems. Crystals 2020, 10, 514. [Google Scholar] [CrossRef]
- Li, J.; Li, H.; Xiao, Y. Unified Interpretation of Angular and Cumulative Angular Phase Representations with Best-Practice Guidelines for Differential Phase Shift Extraction in Nematic Liquid Crystal-Based Reconfigurable Phase Shifters. Crystals 2025, 15, 994. [Google Scholar] [CrossRef]
- Louati, S.; Talbi, L.; Boutayeb, H.; Hettak, K.; Ghayekhloo, A. Reconfigurable SIW Phase Shifter Based on Parallel Stubs Loaded with Surface Mount p-i-n Diodes. IEEE Trans. Compon. Packag. Manuf. Technol. 2024, 14, 176–179. [Google Scholar] [CrossRef]
- Di Paola, C.; Zhao, K.; Zhang, S.; Pedersen, G.F. Hybrid Switchable Phased Array with p-i-n Diodes for 5G Mobile Terminals. In Proceedings of the 2021 15th European Conference on Antennas and Propagation (EuCAP), Dusseldorf, Germany, 22–26 March 2021; pp. 1–5. [Google Scholar]
- Barker, S.; Rebeiz, G.M. Distributed MEMS true-time delay phase shifters and wide-band switches. IEEE Trans. Microw. Theory Tech. 1998, 46, 1881–1890. [Google Scholar] [CrossRef]
- Scardelletti, M.C.; Ponchak, G.E.; Varaljay, N.C. Ka-Band, MEMS Switched Line Phase Shifters Implemented in Finite Ground Coplanar Waveguide. In Proceedings of the 32nd European Microwave Conference, Milan, Italy, 23–26 September 2002; pp. 1–4. [Google Scholar]
- Dehnaw, A.M.; Shiu, R.K.; Chen, R.B.; Li, J.W.; Manie, Y.C.; Liang, H.C.; Peng, P.C. Self-Start Multi-Wavelength Laser Source with Tunable Delay-Line Interferometer and Optical Fiber Reflector for Wireless Communication System. Appl. Sci. 2021, 11, 9553. [Google Scholar] [CrossRef]
- Li, J.; Li, H. Liquid Crystal-Filled 60 GHz Coaxially Structured Phase Shifter Design and Simulation with Enhanced Figure of Merit by Novel Permittivity-Dependent Impedance Matching. Electronics 2024, 13, 626. [Google Scholar] [CrossRef]
- Neuder, R.; Späth, M.; Schüßler, M.; Sáez, A.J. Architecture for sub-100 ms liquid crystal reconfigurable intelligent surface based on defected delay lines. Commun. Eng. 2024, 3, 70. [Google Scholar] [CrossRef]
- Maune, H.; Jost, M.; Reese, R.; Polat, E.; Nickel, M.; Jakoby, R. Microwave Liquid Crystal Technology. Crystals 2018, 8, 355. [Google Scholar] [CrossRef]
- Roig, M.; Maasch, M.; Damm, C.; Jakoby, R. Dynamic beam steering properties of an electrically tuned liquid crystal based CRLH leaky wave antenna. In Proceedings of the 2014 8th International Congress on Advanced Electromagnetic Materials in Microwaves and Optics, Copenhagen, Denmark, 25–28 August 2014; pp. 253–255. [Google Scholar]
- Li, J.; Li, H. Modeling 0.3 THz Coaxial Single-Mode Phase Shifter Designs in Liquid Crystals with Constitutive Loss Quantifications. Crystals 2024, 14, 364. [Google Scholar] [CrossRef]
- Massoni, E.; Perregrini, L.; Bozzi, M. Substrate Integrated Waveguide Two-Mode Coaxial Launcher. IEEE Trans. Microw. Theory Tech. 2025, 73, 9187–9195. [Google Scholar] [CrossRef]
- Massoni, E.; Bozzi, M.; Perregrini, L.; Tamburini, U.A.; Tomassoni, C. A novel class of high dielectric resonator filters in microstrip line technology. In Proceedings of the 2017 IEEE MTT-S International Microwave Workshop Series on Advanced Materials and Processes for RF and THz Applications (IMWS-AMP), Pavia, Italy, 20–22 September 2017; pp. 1–3. [Google Scholar]
- Weil, C.; Luessem, G.; Jakoby, R. Tunable inverted-microstrip phase shifter device using nematic liquid crystals. In Proceedings of the 2002 IEEE MTT-S International Microwave Symposium Digest (Cat. No.02CH37278), Seattle, WA, USA, 2–7 June 2002; pp. 367–371. [Google Scholar]
- Bazzi, A.; Bomfin, R.; Mezzavilla, M.; Rangan, S.; Rappaport, T.; Chafii, M. Upper Mid-Band Spectrum for 6G: Vision, Opportunity and Challenges. IEEE Commun. Mag. 2026, 64, 206–212. [Google Scholar] [CrossRef]
- Va, V.; Vikalo, H.; Heath, R. Beam tracking for mobile millimeter wave communication systems. In Proceedings of the Global Conference on Signal and Information Processing, Washington, DC, USA, 7–9 December 2016; pp. 743–747. [Google Scholar]
- You, X.; Pagay, V.; Withayachumnankul, W. Non-Contact Monitoring of Plant Leaf Water Status Using Terahertz Waves. J. Infrared Millim. Terahertz Waves 2025, 46, 53. [Google Scholar] [CrossRef]
- Deng, M.; Kanwal, S.; Wang, Z.; Cai, C.; Cheng, Y.; Guan, J.; Hu, G.; Wang, J.; Wen, J.; Chen, L. Dielectric Metasurfaces for Broadband Phase-Contrast Relief-Like Imaging. Nano Lett. 2024, 24, 14641–14647. [Google Scholar] [CrossRef] [PubMed]
- Li, J.; Li, H. Dielectric Leakage Attacks on Liquid Crystal Phase Shifters in 60 GHz WiGig Systems. Electron. Lett. 2025, 61, e70317. [Google Scholar] [CrossRef]
- Li, J.; Li, H. Assessing Vulnerabilities in Line Length Parameterization and the Per-Unit-Length Paradigm for Phase Modulation and Figure-of-Merit Evaluation in 60 GHz Liquid Crystal Phase Shifters. Symmetry 2024, 16, 1261. [Google Scholar] [CrossRef]
- Qi, K.; Wu, Q.; Fan, P.; Cheng, N.; Fan, Q.; Wang, J. Reconfigurable Intelligent Surface Assisted VEC Based on Multi-Agent Reinforcement Learning. IEEE Commun. Lett. 2024, 28, 2427–2431. [Google Scholar] [CrossRef]
- Yadav, A.K.; Yadav, S.; Pandey, A.; Silva, A. On the secrecy performance of RIS-enabled wireless communications over Nakagami-m fading channels. ICT Express 2023, 9, 452–458. [Google Scholar] [CrossRef]
- Qi, K.; Wu, Q.; Fan, P.; Cheng, N.; Chen, W.; Letaief, K.B. Reconfigurable-Intelligent-Surface-Aided Vehicular Edge Computing: Joint Phase-Shift Optimization and Multiuser Power Allocation. IEEE Internet Things J. 2025, 12, 764–777. [Google Scholar] [CrossRef]


















| Design of 50 Ω Match at = ? | (mm) | (mm) | (mm) |
|---|---|---|---|
| = 2.754 | 0.34 | 0.23 | 15.92 |
| = 2.80 | 0.34876 | 0.23 | 15.92 |
| = 2.85 | 0.35454 | 0.23 | 15.92 |
| = 2.90 | 0.36035 | 0.23 | 15.92 |
| = 2.95 | 0.36617 | 0.23 | 15.92 |
| = 3.00 | 0.37202 | 0.23 | 15.92 |
| = 3.05 | 0.37789 | 0.23 | 15.92 |
| = 3.10 | 0.38378 | 0.23 | 15.92 |
| = 3.15 | 0.38969 | 0.23 | 15.92 |
| = 3.20 | 0.39563 | 0.23 | 15.92 |
| = 3.25 | 0.40159 | 0.23 | 15.92 |
| = 3.30 | 0.41 | 0.23 | 15.92 |
Disclaimer/Publisher’s Note: The statements, opinions and data contained in all publications are solely those of the individual author(s) and contributor(s) and not of MDPI and/or the editor(s). MDPI and/or the editor(s) disclaim responsibility for any injury to people or property resulting from any ideas, methods, instructions or products referred to in the content. |
© 2026 by the authors. Licensee MDPI, Basel, Switzerland. This article is an open access article distributed under the terms and conditions of the Creative Commons Attribution (CC BY) license.
Share and Cite
Li, J.; Li, H. Resolving Knowledge Gaps in Liquid Crystal Delay Line Phase Shifters for 5G/6G mmW Front-Ends. Electronics 2026, 15, 485. https://doi.org/10.3390/electronics15020485
Li J, Li H. Resolving Knowledge Gaps in Liquid Crystal Delay Line Phase Shifters for 5G/6G mmW Front-Ends. Electronics. 2026; 15(2):485. https://doi.org/10.3390/electronics15020485
Chicago/Turabian StyleLi, Jinfeng, and Haorong Li. 2026. "Resolving Knowledge Gaps in Liquid Crystal Delay Line Phase Shifters for 5G/6G mmW Front-Ends" Electronics 15, no. 2: 485. https://doi.org/10.3390/electronics15020485
APA StyleLi, J., & Li, H. (2026). Resolving Knowledge Gaps in Liquid Crystal Delay Line Phase Shifters for 5G/6G mmW Front-Ends. Electronics, 15(2), 485. https://doi.org/10.3390/electronics15020485

