Nonlinear Dynamics in HfO2/SiO2-Based Interface Dipole Modulation Field-Effect Transistors for Synaptic Applications
Abstract
1. Introduction
2. Materials and Methods
2.1. Oxide Deposition and Device Fabrication
2.2. Pulse Response Measurements of IDM Devices
2.3. SNN Architecture for Pattern Recognition
3. Results and Discussion
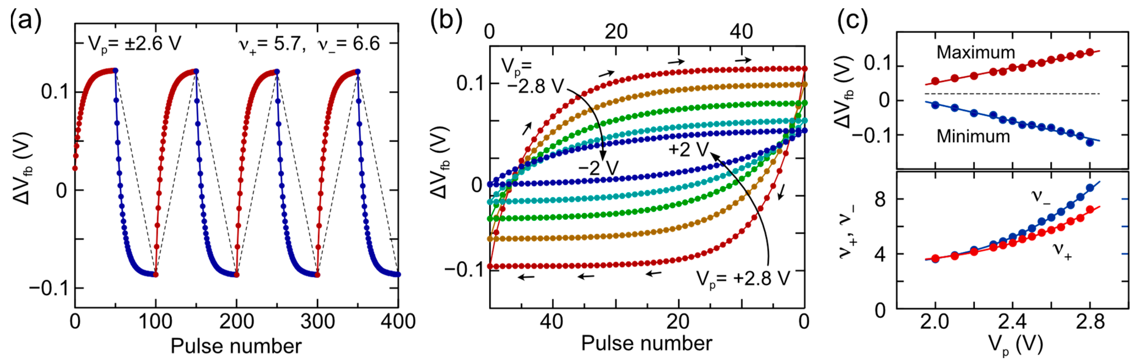
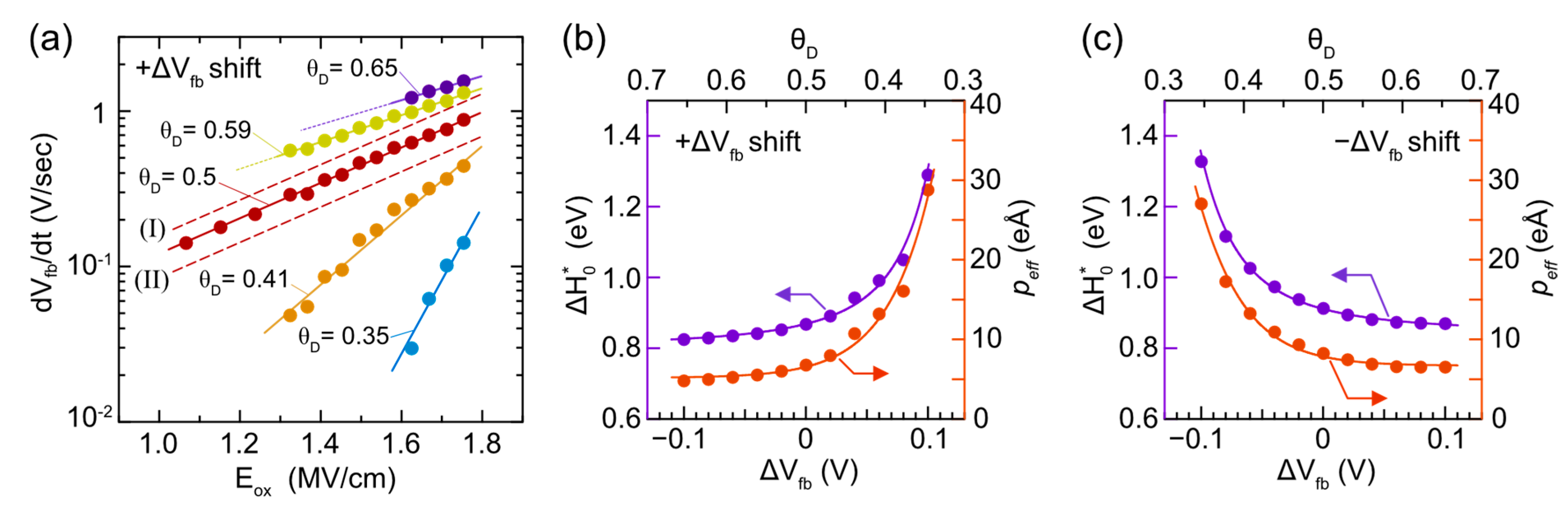
3.1. Pulse Response of IDM MOS Capacitors
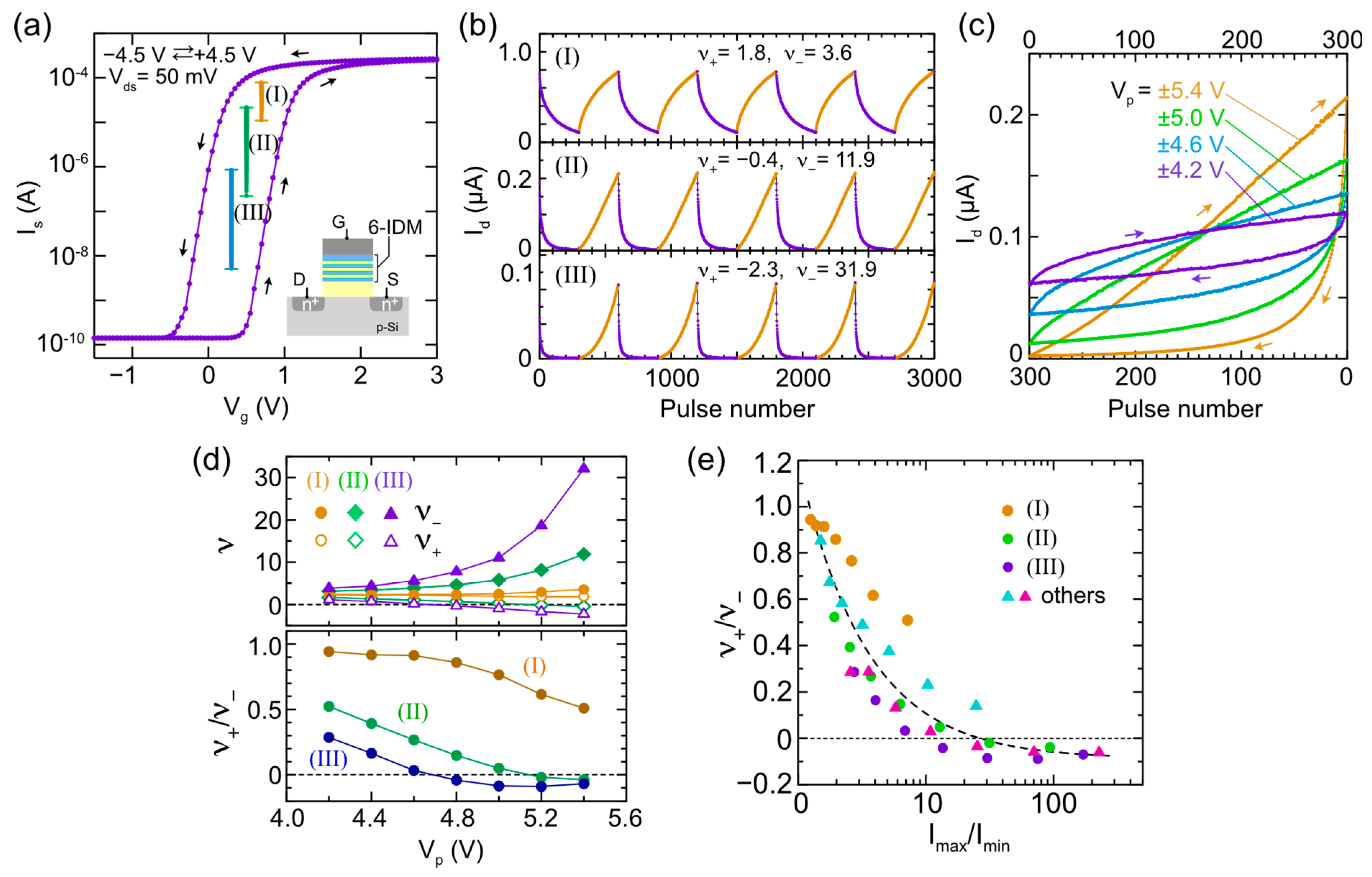
3.2. Pulse Response of IDMFETs
3.3. Double-Pulse-Controlled Synaptic Operation of IDMFETs
3.4. Unsupervised Synaptic Learning Based on IDMFET Characteristics
4. Conclusions
Funding
Data Availability Statement
Acknowledgments
Conflicts of Interest
References
- Kahng, D.; Atalla, M.M. Silicon-silicon dioxide field induced surface devices. In Proceedings of the IRE-AIEE Solid State Device Research Conference, Carnegie Institute of Technology, Pittsburgh, PA, USA, 13–15 June 1960. [Google Scholar]
- Moore, G.E. Cramming More Components onto Integrated Circuits. Electronics 1965, 38, 114–117. [Google Scholar] [CrossRef]
- Robertson, J.; Wallace, R.M. High-k materials and metal gates for CMOS applications. Mater. Sci. Eng. 2015, 88, 1–41. [Google Scholar] [CrossRef]
- Choi, J.; Mao, Y.; Chang, J. Development of hafnium based high-k materials-A review. Mater. Sci. Eng. R Rep. 2011, 72, 97–136. [Google Scholar] [CrossRef]
- Radamson, H.H.; Zhu, H.; Wu, Z.; He, X.; Lin, H.; Liu, J.; Xiang, J.; Kong, Z.; Xiong, W.; Li, J.; et al. State of the Art and Future Perspectives in Advanced CMOS Technology. Nanomaterials 2020, 10, 1555. [Google Scholar] [CrossRef]
- Zhao, C.; Zhao, C.-Z.; Taylor, S.; Chalker, P.-R. Review on non-volatile memory with high-k dielectrics: Flash for generation beyond 32 nm. Materials 2014, 7, 5117–5145. [Google Scholar] [CrossRef]
- Lu, C.-Y.; Hsieh, K.-Y.; Liu, R. Future challenges of flash memory technologies. Microelectron. Eng. 2009, 86, 283–286. [Google Scholar] [CrossRef]
- Miller, S.L.; McWhorter, P.J. Physics of the ferroelectric nonvolatile memory field effect transistor. J. Appl. Phys. 1992, 72, 5999–6010. [Google Scholar] [CrossRef]
- Tokumitsu, E.; Nakamura, R.; Ishiwara, H. Nonvolatile memory operations of metal-ferroelectric-insulator-semiconductor (MFIS) FETs using PLZT/STO/Si(100) structures. IEEE Electron Device Lett. 1997, 18, 160–162. [Google Scholar] [CrossRef]
- Böscke, T.S.; Müller, J.; Bräuhaus, D.; Schröder, U.; Böttger, U. Ferroelectricity in hafnium oxide thin films. Appl. Phys. Lett. 2011, 99, 102903. [Google Scholar] [CrossRef]
- Park, M.H.; Lee, Y.H.; Mikolajick, T.; Schroeder, U.; Hwang, C.S. Review and perspective on ferroelectric HfO2-based thin films for memory applications. MRS Commun. 2018, 8, 795–808. [Google Scholar] [CrossRef]
- Schroeder, U.; Park, M.H.; Mikolajick, T.; Hwang, C.S. The fundamentals and applications of ferroelectric HfO2. Nat. Rev. Mater. 2022, 7, 653–669. [Google Scholar] [CrossRef]
- Trentzsch, M.; Flachowsky, S.; Paul, J.; Reimer, B.; Utess, D.; Jansen, S.; Mulaosmanovic, H.; Müller, S.; Slesazeck, S.; Ocker, J.; et al. A 28 nm HKMG super low power embedded NVM technology based on ferroelectric FETs. In Proceedings of the 2016 IEEE International Electron Devices Meeting (IEDM), San Francisco, CA, USA, 3–7 December 2016; pp. 11.5.1–11.5.4. [Google Scholar]
- Mulaosmanovic, H.; Breyer, E.T.; Dünkel, S.; Beyer, S.; Mikolajick, T.; Slesazeck, S. Ferroelectric field-effect transistors based on HfO2: A review. Nanotechnology 2021, 32, 502002. [Google Scholar] [CrossRef] [PubMed]
- Dutta, S.; Schafer, C.; Gomez, J.; Ni, K.; Joshi, S.; Datta, S. Supervised Learning in All FeFET-Based Spiking Neural Network: Opportunities and Challenges. Front. Neurosci. 2020, 14, 634. [Google Scholar] [CrossRef] [PubMed]
- Yu, S.; Hur, J.; Luo, Y.-C.; Shim, W.; Choe, G.; Wang, P. Ferroelectric HfO2-based synaptic devices: Recent trends and prospects. Semicond. Sci. Technol. 2021, 36, 104001. [Google Scholar] [CrossRef]
- Lin, L.; Robertson, J. Atomic mechanism of electric dipole formed at high-K: SiO2 interface. J. Appl. Phys. 2011, 109, 094502. [Google Scholar] [CrossRef]
- Iwai, H.; Toriumi, A.; Misra, D. High Dielectric Constant Materials for Nanoscale Devices and Beyond. Electrochem. Soc. Interface 2017, 26, 77–81. [Google Scholar] [CrossRef]
- Kita, K.; Toriumi, A. Origin of electric dipoles formed at high- interface. Appl. Phys. Lett. 2009, 94, 132902. [Google Scholar] [CrossRef]
- Abe, Y.; Miyata, N.; Shiraki, Y.; Yasuda, T. Dipole formation at direct-contact HfO2/Si interface. Appl. Phys. Lett. 2007, 90, 172906. [Google Scholar] [CrossRef]
- Miyata, N. Electric-field-controlled interface dipole modulation for Si-based memory devices. Sci. Rep. 2018, 8, 8486. [Google Scholar] [CrossRef] [PubMed]
- Kirihara, Y.; Tsujiguchi, R.; Ito, S.; Yasui, A.; Miyata, N.; Nohira, H. Using hard X-ray photoelectron spectroscopy to study a SiO2/HfO2-based interface dipole modulation stack embedded in a metal–insulator-metal structure. Appl. Phys. Express 2022, 15, 111003. [Google Scholar] [CrossRef]
- Miyata, N. Low temperature preparation of HfO2/SiO2 stack structure for interface dipole modulation. Appl. Phys. Lett. 2018, 113, 251601. [Google Scholar] [CrossRef]
- Roy, K.; Jaiswal, A.; Panda, P. Towards spike-based machine intelligence with neuromorphic computing. Nature 2019, 575, 607–617. [Google Scholar] [CrossRef] [PubMed]
- Ielmini, D.; Wang, Z.; Liu, Y. Brain-inspired computing via memory device physics. APL Mater. 2021, 9, 050702. [Google Scholar] [CrossRef]
- Hasler, J.; Marr, H. Finding a roadmap to achieve large neuromorphic hardware systems. Front. Comput. Neurosci. 2013, 7, 118. [Google Scholar] [CrossRef] [PubMed]
- Pan, W.-Q.; Chen, J.; Kuang, R.; Li, Y.; He, Y.-H.; Feng, G.-R.; Duan, N.; Chang, T.C.; Miao, X.S. Strategies to Improve the Accuracy of Memristor-Based Convolutional Neural Networks. IEEE Trans. Electron. Devices 2020, 67, 895–901. [Google Scholar] [CrossRef]
- Aabrar, K.A.; Gomez, J.; Kirtania, S.G.; Jose, M.S.; Luo, Y.; Ravikumar, P.G.; Ravindran, P.V.; Ye, H.; Banerjee, S.; Dutta, S. BEOL compatible superlattice FerroFET-based high precision analog weight cell with superior linearity and symmetry. In Proceedings of the 2021 IEEE International Electron Devices Meeting (IEDM), San Francisco, CA, USA, 3–7 December 2021; pp. 19.6.1–19.6.4. [Google Scholar]
- Nandakumar, S.R.; Boybat, I.; Le Gallo, M.; Eleftheriou, E.; Sebastian, A.; Rajendran, B. Experimental Demonstration of Supervised Learning in Spiking neural networks with phase-change Memory Synapses. Sci. Rep. 2020, 10, 8080. [Google Scholar] [CrossRef] [PubMed]
- Yang, S.-T.; Li, X.-Y.; Yu, T.-L.; Wang, J.; Fang, H.; Nie, F.; He, B.; Zhao, L.; Lü, W.-M.; Yan, S.-S.; et al. High-Performance Neuromorphic Computing Based on Ferroelectric Synapses with Excellent Conductance Linearity and Symmetry. Adv. Funct. Mater. 2022, 32, 2202366. [Google Scholar] [CrossRef]
- Diehl, P.U.; Cook, M. Unsupervised learning of digit recognition using spike-timing-dependent plasticity. Front. Comput. Neurosci. 2015, 9, 99. [Google Scholar] [CrossRef]
- Shrestha, A.; Ahmed, K.; Wang, Y.; Qiu, Q. Stable spike-timing dependent plasticity rule for multilayer unsupervised and supervised learning. In Proceedings of the International Joint Conference on Neural Networks (IJCNN), Anchorage, AK, USA, 14–19 May 2017; pp. 1999–2006. [Google Scholar]
- Brivio, S.; Ly, D.R.B.; Vianello, E.; Spiga, S. Non-linear Memristive Synaptic Dynamics for Efficient Unsupervised Learning in Spiking Neural Networks. Front. Neurosci. 2021, 15, 580909. [Google Scholar] [CrossRef]
- Izhikevich, E. Simple model of Spiking Neurons. IEEE Trans. Neural Netw. 2003, 14, 1569–1572. [Google Scholar] [CrossRef]
- Yamazaki, K.; Vo-Ho, V.K.; Bulsara, D.; Le, N. Spiking neural networks and their applications: A Review. Brain Sci. 2022, 12, 863. [Google Scholar] [CrossRef] [PubMed]
- Wang, W.; Pedretti, G.; Milo, V.; Carboni, R.; Calderoni, A.; Ramaswamy, N.; Spinelli, A.S.; Ielmini, D. Learning of spatiotemporal patterns in a spiking neural network with resistive switching synapses. Sci. Adv. 2018, 4, eaat4752. [Google Scholar] [CrossRef] [PubMed]
- Saïghi, S.; Mayr, C.G.; Serranogotarredona, T.; Schmidt, H.; Lecerf, G.; Tomas, J.; Grollier, J.; Boyn, S.; Vincent, A.F.; Querlioz, D.; et al. Plasticity in memristive devices for spiking neural networks. Front. Neurosci. 2015, 9, 51. [Google Scholar] [CrossRef] [PubMed]
- Kim, C.-H.; Lee, S.; Woo, S.Y.; Kang, W.-M.; Lim, S.; Bae, J.-H.; Kim, J.; Lee, J.-H. Demonstration of unsupervised learning with spike-timing-dependent plasticity using a TFT-type NOR Flash memory array. IEEE Trans. Electron Devices 2018, 65, 1774–1780. [Google Scholar] [CrossRef]
- Kaneko, Y.; Nishitani, Y.; Ueda, M. Ferroelectric artificial synapses for recognition of a multishaded image. IEEE Trans. Electron Devices 2014, 61, 2827–2828. [Google Scholar] [CrossRef]
- Han, H.; Yu, H.; Wei, H.; Gong, J.; Xu, W. Recent Progress in Three-Terminal Artificial Synapses: From Device to System. Small 2019, 15, 1900695. [Google Scholar] [CrossRef] [PubMed]
- Miyata, N. Study of Direct-Contact HfO2/Si Interfaces. Materials 2012, 5, 512–527. [Google Scholar] [CrossRef] [PubMed]
- Miyata, N.; Ishii1, H.; Itatani, T.; Yasuda, T. Electron Mobility Degradation and Interface Dipole Formation in Direct-Contact HfO2/Si Metal–Oxide–Semiconductor Field-Effect Transistors. Appl. Phys. Express 2011, 4, 101101. [Google Scholar] [CrossRef]
- Lécun, Y.; Bottou, L.; Bengio, Y.; Haffner, P. Gradient-based learning applied to document recognition. Proc. IEEE 1998, 86, 2278–2324. [Google Scholar] [CrossRef]
- Iakymchuk, T.; Rosado-Muñoz, A.; Guerrero-Martínez, J.F.; Bataller-Mompeán, M.; Francés-Víllora, J.V. Simplified spiking neural network architecture and STDP learning algorithm applied to image classification. EURASIP J. Image Video Process. 2015, 4, 1–11. [Google Scholar] [CrossRef]
- Agarwal, S.; Plimpton, S.J.; Hughart, D.R.; Hsia, A.H.; Richter, I.; Cox, J.A.; James, C.D.; Marinella, M.J. Resistive memory device requirements for a neural algorithm accelerator. In Proceedings of the 2016 International Joint Conference on Neural Networks (IJCNN), Vancouver, BC, Canada, 24–29 July 2016; pp. 929–938. [Google Scholar]
- Kim, M.K.; Lee, J.S. Ferroelectric Analog Synaptic Transistors. Nano Lett. 2019, 19, 2044–2050. [Google Scholar] [CrossRef] [PubMed]
- Hauser, J.R.; Ahmed, K. Characterization of ultra-thin oxides using electrical C-V and I-V measurements. AIP Conf. Proc. 1998, 449, 235–239. [Google Scholar]
- McPherson, J.; Kim, J.-Y.; Shanware, A.; Mogul, H. Thermochemical description of dielectric breakdown in high dielectric constant materials. Appl. Phys. Lett. 2003, 82, 2121–2123. [Google Scholar] [CrossRef]
- McPhersona, J.W. Extended Mie-Grüneisen molecular model for time dependent dielectric breakdown in silica detailing the critical roles of O−Si≡O3 tetragonal bonding, stretched bonds, hole capture, and hydrogen release. J. Appl. Phys. 2006, 99, 083501. [Google Scholar] [CrossRef]
- Sze, S.M. Physics of Semiconductor Devices, 2nd ed.; Wiley-Interscience Publication: New York, NY, USA, 1981; pp. 438–448. [Google Scholar]
- Qian, C.; Sun, J.; Kong, L.; Gou, G.; Yang, J.; He, J.; Gao, Y.; Wan, Q. Artificial Synapses Based on in-Plane Gate Organic Electrochemical Transistors. ACS Appl. Mater. Interfaces 2016, 8, 26169–26175. [Google Scholar] [CrossRef]
- Fuller, E.J.; Keene, S.T.; Melianas, A.; Wang, Z.; Agarwal, S.; Li, Y.; Tuchman, Y.; James, C.D.; Marinella, M.J.; Yang, J.J.; et al. Parallel programming of an ionic floating-gate memory array for scalable neuromorphic computing. Science 2019, 364, 570–574. [Google Scholar] [CrossRef]








Disclaimer/Publisher’s Note: The statements, opinions and data contained in all publications are solely those of the individual author(s) and contributor(s) and not of MDPI and/or the editor(s). MDPI and/or the editor(s) disclaim responsibility for any injury to people or property resulting from any ideas, methods, instructions or products referred to in the content. |
© 2024 by the author. Licensee MDPI, Basel, Switzerland. This article is an open access article distributed under the terms and conditions of the Creative Commons Attribution (CC BY) license (https://creativecommons.org/licenses/by/4.0/).
Share and Cite
Miyata, N. Nonlinear Dynamics in HfO2/SiO2-Based Interface Dipole Modulation Field-Effect Transistors for Synaptic Applications. Electronics 2024, 13, 726. https://doi.org/10.3390/electronics13040726
Miyata N. Nonlinear Dynamics in HfO2/SiO2-Based Interface Dipole Modulation Field-Effect Transistors for Synaptic Applications. Electronics. 2024; 13(4):726. https://doi.org/10.3390/electronics13040726
Chicago/Turabian StyleMiyata, Noriyuki. 2024. "Nonlinear Dynamics in HfO2/SiO2-Based Interface Dipole Modulation Field-Effect Transistors for Synaptic Applications" Electronics 13, no. 4: 726. https://doi.org/10.3390/electronics13040726
APA StyleMiyata, N. (2024). Nonlinear Dynamics in HfO2/SiO2-Based Interface Dipole Modulation Field-Effect Transistors for Synaptic Applications. Electronics, 13(4), 726. https://doi.org/10.3390/electronics13040726

