Lossless Data Hiding in VQ Compressed Images Using Adaptive Prediction Difference Coding
Abstract
1. Introduction
2. Related Works
2.1. VQ-Based Image Compression
2.2. Lossless Data Hiding Based on VQ Codebook Rearrangement
3. Proposed Scheme
3.1. Overview
3.2. Codebook Rearrangement
3.3. Prediction Difference Coding and Data Embedding
3.3.1. Prediction Difference Calculation
3.3.2. Prediction Difference Coding
3.3.3. Data Embedding
3.4. Data Extraction and Cover Image Recovery
3.5. Example Illustration
4. Experimental Results and Analysis
4.1. Experiments Setting
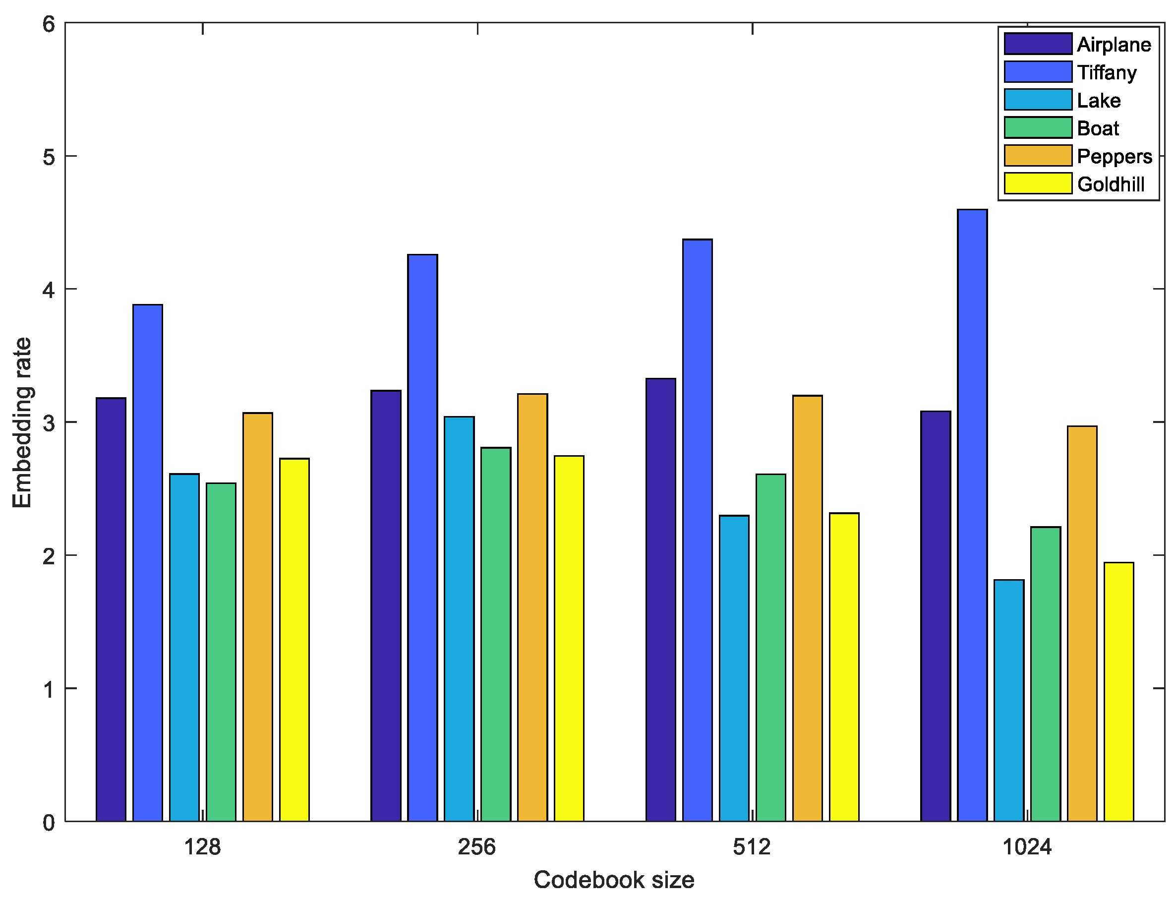
4.2. Performance Analysis
4.3. Comparison Experiments
5. Conclusions
Author Contributions
Funding
Data Availability Statement
Conflicts of Interest
References
- Shi, Y.Q.; Li, X.; Zhang, X.; Wu, H.T.; Ma, B. Reversible data hiding: Advances in the past two decades. IEEE Access 2016, 4, 3210–3237. [Google Scholar] [CrossRef]
- Tian, J. Reversible Data Embedding Using a Difference Expansion. IEEE Trans. Circuits Syst. Video Technol. 2003, 13, 890–896. [Google Scholar] [CrossRef]
- Ni, Z.; Shi, Y.Q.; Ansari, N.; Su, W. Reversible data hiding. IEEE Trans. Circuits Syst. Video Technol. 2006, 16, 354–361. [Google Scholar] [CrossRef]
- Zhang, X.; Wang, S. Efficient steganographic embedding by exploiting modification direction. IEEE Commun. Lett. 2006, 10, 781–783. [Google Scholar] [CrossRef]
- Xiong, X. An Adaptive Bit Allocation Strategy for Minimizing Embedding Distortion in Interpolated Images Used for Reversible Data Hiding. IEEE Internet Things J. 2024, 11, 20088–20098. [Google Scholar] [CrossRef]
- Chang, C.C.; Kieu, T.D.; Wu, W.C. A lossless data embedding technique by joint neighboring coding. Pattern Recognit. 2009, 42, 1597–1603. [Google Scholar] [CrossRef]
- Zhang, Y.; Luo, X.; Yang, C.; Ye, D.; Liu, F. A framework of adaptive steganography resisting JPEG compression and detection. Secur. Commun. Netw. 2016, 9, 2957–2971. [Google Scholar] [CrossRef]
- Zhang, X.; Pan, Z.; Zhou, Q.; Fan, G.; Dong, J. A reversible data hiding method based on bitmap prediction for AMBTC compressed hyperspectral images. J. Inf. Secur. Appl. 2024, 81, 103697. [Google Scholar] [CrossRef]
- Puech, W.; Chaumont, M.; Strauss, O. A reversible data hiding method for encrypted images. In Security, Forensics, Steganography, and Watermarking of Multimedia Contents X; SPIE: San Jose, CA, USA, 2008; Volume 6819, pp. 534–542. [Google Scholar] [CrossRef]
- Zhang, X. Reversible data hiding in encrypted image. IEEE Signal Process. Lett. 2011, 18, 255–258. [Google Scholar] [CrossRef]
- Fu, Z.; Chai, X.; Tang, Z.; He, X.; Gan, Z.; Cao, G. Adaptive embedding combining LBE and IBBE for high-capacity reversible data hiding in encrypted images. Signal Process. 2024, 216, 109299. [Google Scholar] [CrossRef]
- Chan, C.K.; Cheng, L.M. Hiding data in images by simple LSB substitution. Pattern Recognit. 2004, 37, 469–474. [Google Scholar] [CrossRef]
- He, W.; Cai, Z. Reversible Data Hiding Based on Dual Pairwise Prediction-Error Expansion. IEEE Trans. Image Process. 2021, 30, 5045–5055. [Google Scholar] [CrossRef] [PubMed]
- Kim, S.; Qu, X.; Sachnev, V.; Kim, H.J. Skewed Histogram Shifting for Reversible Data Hiding Using a Pair of Extreme Predictions. IEEE Trans. Circuits Syst. Video Technol. 2019, 29, 3236–3246. [Google Scholar] [CrossRef]
- Fridrich, J.; Soukal, D. Matrix embedding for large payloads. IEEE Trans. Inf. Forensics Secur. 2006, 1, 390–395. [Google Scholar] [CrossRef]
- Zhang, T.; Li, X.; Qi, W.; Guo, Z. Location-Based PVO and Adaptive Pairwise Modification for Efficient Reversible Data Hiding. IEEE Trans. Inf. Forensics Secur. 2020, 15, 2306–2319. [Google Scholar] [CrossRef]
- Wang, Y.; Xiong, G.; He, W. High-capacity reversible data hiding in encrypted images based on pixel-value-ordering and histogram shifting. Expert Syst. Appl. 2023, 211, 118600. [Google Scholar] [CrossRef]
- Wu, Y.; Hu, R.; Xiang, S. PVO-based Reversible Data Hiding Using Global Sorting and Fixed 2D Mapping Modification. IEEE Trans. Circuits Syst. Video Technol. 2023, 34, 618–631. [Google Scholar] [CrossRef]
- Qin, C.; Chang, C.C.; Chiu, Y.P. A novel joint data-hiding and compression scheme based on SMVQ and image inpainting. IEEE Trans. Image Process. 2014, 23, 969–978. [Google Scholar] [CrossRef]
- Hong, W.; Zhou, X.; Lou, D.C.; Chen, T.S.; Li, Y. Joint image coding and lossless data hiding in VQ indices using adaptive coding techniques. Inf. Sci. 2018, 463–464, 245–260. [Google Scholar] [CrossRef]
- Li, Y.; Chang, C.C.; He, M. High Capacity Reversible Data Hiding for VQ-Compressed Images Based on Difference Transformation and Mapping Technique. IEEE Access 2020, 8, 32226–32245. [Google Scholar] [CrossRef]
- Mobasseri, B.G.; Berger, R.J.; Marcinak, M.P.; Naikraikar, Y.J. Data embedding in JPEG bitstream by code mapping. IEEE Trans. Image Process. 2010, 19, 958–966. [Google Scholar] [CrossRef]
- Tang, W.; Yao, H.; Le, Y.; Qin, C. Reversible data hiding for JPEG images based on block difference model and Laplacian distribution estimation. Signal Process. 2023, 212, 109130. [Google Scholar] [CrossRef]
- Weng, S.; Zhou, Y.; Zhang, T.; Xiao, M.; Zhao, Y. Reversible Data Hiding for JPEG Images With Adaptive Multiple Two-Dimensional Histogram and Mapping Generation. IEEE Trans. Multimed. 2023, 25, 8738–8752. [Google Scholar] [CrossRef]
- Ma, K.; Zhang, W.; Zhao, X.; Yu, N.; Li, F. Reversible data hiding in encrypted images by reserving room before encryption. IEEE Trans. Inf. Forensics Secur. 2013, 8, 553–562. [Google Scholar] [CrossRef]
- Chen, S.; Chang, C.C. Reversible data hiding in encrypted images using block-based adaptive MSBs prediction. J. Inf. Secur. Appl. 2022, 69, 103297. [Google Scholar] [CrossRef]
- Yang, Y.; Chen, F.; Tai, H.M.; He, H.; Qu, L. Reversible data hiding in encrypted image based on key-controlled balanced Huffman coding. J. Inf. Secur. Appl. 2024, 84, 103833. [Google Scholar] [CrossRef]
- Wang, J.X.; Lu, Z.M. A path optional lossless data hiding scheme based on VQ joint neighboring coding. Inf. Sci. 2009, 179, 3332–3348. [Google Scholar] [CrossRef]
- Kieu, T.D.; Rudder, A. A reversible steganographic scheme for VQ indices based on joint neighboring and predictive coding. Multimed. Tools Appl. 2016, 75, 13705–13731. [Google Scholar] [CrossRef]
- Weinberger, M.J.; Seroussi, G.; Sapiro, G. From LOCO-I to the JPEG-LS standard. IEEE Int. Conf. Image Process. 1999, 4, 68–72. [Google Scholar] [CrossRef]
- Zhang, T.; Weng, S.; Wu, Z.; Lin, J.; Hong, W. Adaptive encoding based lossless data hiding method for VQ compressed images using tabu search. Inf. Sci. 2022, 602, 128–142. [Google Scholar] [CrossRef]
- Linde, Y.; Buzo, A.; Gray, R.M. An algorithm for vector quantization. IEEE Trans. Commun. 1980, 28, 84–95. [Google Scholar] [CrossRef]
- Nasrabadi, N.M.; King, R.A. Image Coding Using Vector Quantization: A Review. IEEE Trans. Commun. 1988, 36, 957–971. [Google Scholar] [CrossRef]
- Weber, A.G. The USC-SIPI Image Database: Version 5; USC Viterbi School Eng.; Signal Image Processing Institute: Los Angeles, CA, USA, 2006. [Google Scholar]
- Kodak. Kodak Lossless True Color Image Suite. Available online: http://r0k.us/graphics/kodak/index.html (accessed on 4 October 2022).













| Type | 1 | 2 | 4 | t − 2 | t − 1 | t | ||
|---|---|---|---|---|---|---|---|---|
| Prediction difference | 0 | 1 | ||||||
| Number of identical HSBs | 3 | 2 | ||||||
| Frequency |
| Type | |||||||||
|---|---|---|---|---|---|---|---|---|---|
| Indicator (t is even) | 00 | 01 | 100 | 101 | |||||
| Indicator (t is odd) | 00 | 01 | 100 | 101 |
| Type ID | Identical HSBs | Indicator | Retained LSBs | Vacated Room (bits) |
|---|---|---|---|---|
| 1 | 8 | 00 | 0 | 6 |
| 2 | 7 | 01 | 0 | 6 |
| 3 | 6 | 100 | 1 | 4 |
| 4 | 5 | 101 | 2 | 3 |
| 5 | 4 | 1100 | 3 | 1 |
| 6 | 3 | 1101 | 4 | 0 |
| 7 | 2 | 1110 | 5 | −1 |
| 8 | 1111 | 8 | −4 |
| Image | Airplane | Lena | Tiffany | Peppers | Boat | Baboon | Goldhill |
|---|---|---|---|---|---|---|---|
| Kieu and Rudder [29] | 0.307 | 0.349 | 0.283 | 0.335 | 0.342 | 0.492 | 0.389 |
| Hong et al. [20] | 0.317 | 0.308 | 0.260 | 0.316 | 0.345 | 0.443 | 0.351 |
| Li et al. [21] (difference index) | 0.316 | 0.321 | 0.248 | 0.316 | 0.343 | 0.448 | 0.335 |
| Zhang et al. [31] | 0.316 | 0.302 | 0.256 | 0.309 | 0.339 | 0.437 | 0.341 |
| Proposed | 0.298 | 0.281 | 0.234 | 0.299 | 0.324 | 0.440 | 0.328 |
Disclaimer/Publisher’s Note: The statements, opinions and data contained in all publications are solely those of the individual author(s) and contributor(s) and not of MDPI and/or the editor(s). MDPI and/or the editor(s) disclaim responsibility for any injury to people or property resulting from any ideas, methods, instructions or products referred to in the content. |
© 2024 by the authors. Licensee MDPI, Basel, Switzerland. This article is an open access article distributed under the terms and conditions of the Creative Commons Attribution (CC BY) license (https://creativecommons.org/licenses/by/4.0/).
Share and Cite
Chen, S.; Liu, J.-C.; Chang, C.-C.; Chang, C.-C. Lossless Data Hiding in VQ Compressed Images Using Adaptive Prediction Difference Coding. Electronics 2024, 13, 3532. https://doi.org/10.3390/electronics13173532
Chen S, Liu J-C, Chang C-C, Chang C-C. Lossless Data Hiding in VQ Compressed Images Using Adaptive Prediction Difference Coding. Electronics. 2024; 13(17):3532. https://doi.org/10.3390/electronics13173532
Chicago/Turabian StyleChen, Sisheng, Jui-Chuan Liu, Ching-Chun Chang, and Chin-Chen Chang. 2024. "Lossless Data Hiding in VQ Compressed Images Using Adaptive Prediction Difference Coding" Electronics 13, no. 17: 3532. https://doi.org/10.3390/electronics13173532
APA StyleChen, S., Liu, J.-C., Chang, C.-C., & Chang, C.-C. (2024). Lossless Data Hiding in VQ Compressed Images Using Adaptive Prediction Difference Coding. Electronics, 13(17), 3532. https://doi.org/10.3390/electronics13173532

