Zero-Power Control Strategy and Dynamics Enhancement for Hybrid Maglev Conveyor Cart
Abstract
1. Introduction
2. Description of Maglev Conveyor System
2.1. Introduction of Maglev Conveyor System
2.2. Maglev Force Modelling
3. Design of Maglev Unit Controller
3.1. Principle of Maglev Unit State Feedback Controller
3.2. State Feedback Controller Designed with Zero-Power Control
4. Experimental Result and Test Analysis
4.1. Maglev System Integration
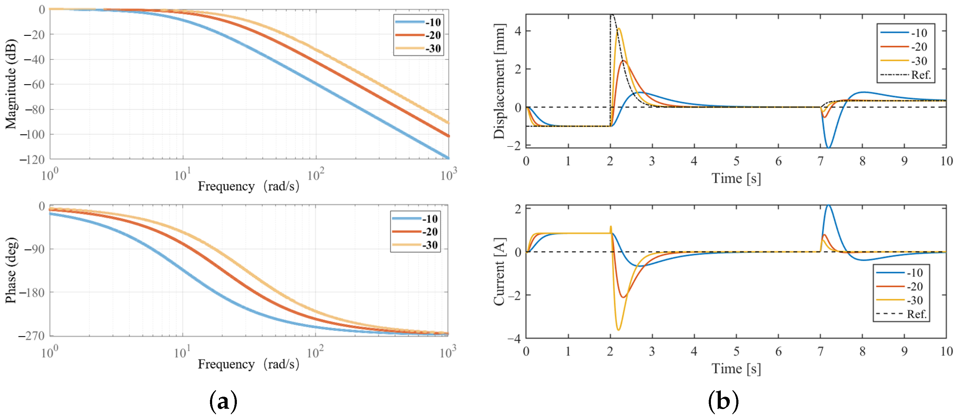
4.2. Maglev System Simulation
4.3. Unique Maglev System Levitation Experimental Results
4.4. Maglev System Levitation Experimental Results
4.4.1. Scenario 1: Static Levitation
4.4.2. Scenario 2: Dynamic Levitation
4.4.3. Scenario 3: Disturbance Input
5. Conclusions and Future Work
Author Contributions
Funding
Institutional Review Board Statement
Informed Consent Statement
Data Availability Statement
Conflicts of Interest
Abbreviations
| Maglev | Magnetic levitation |
| EMS | Electromagnetic system |
| PMS | Permanent magnet system |
| HEMS | Hybrid electromagnet system |
| PM | Permanent magnet |
| LHP | Left half plane |
References
- Tang, X.; Ishii, F.; Kawaguchi, T.; Hashimoto, S.; Kurita, N.; Hishinuma, N.; Egura, K.; Miyamoto, F. Design of Low-Power Consumption of Magnetic Levitate Transportation Unit Based on State Feedback Controller. In Proceedings of the IECON 2023-49th Annual Conference of the IEEE Industrial Electronics Society, Singapore, 16 October 2023; pp. 1–5. [Google Scholar] [CrossRef]
- Qin, Y.; Yang, J.; Guo, H.; Wang, Y. Fuzzy Linear Active Disturbance Rejection Control Method for Permanent Magnet Electromagnetic Hybrid Suspension Platform. Appl. Sci. 2023, 13, 2631. [Google Scholar] [CrossRef]
- Tang, X.; Hashimoto, S.; Kurita, N.; Kawaguchi, T.; Ogiwara, E.; Hishinuma, N.; Egura, K. Development of a Conveyor Cart with Magnetic Levitation Mechanism Based on Multi Control Strategies. Appl. Sci. 2023, 13, 10846. [Google Scholar] [CrossRef]
- Zhai, M.; Long, Z.; Li, X. A new strategy for improving the tracking performance of magnetic levitation system in maglev train. Symmetry 2019, 11, 1053. [Google Scholar] [CrossRef]
- Sun, F.; Oka, K. Zero power non-contact suspension system with permanent magnet motion feedback. J. Syst. Des. Dyn. 2009, 3, 627–638. [Google Scholar] [CrossRef]
- Hu, K.; Jiang, H.; Zhu, Q.; Qian, W.; Yang, J. Magnetic Levitation Belt Conveyor Control System Based on Multi-Sensor Fusion. Appl. Sci. 2023, 13, 7513. [Google Scholar] [CrossRef]
- Sun, Y.G.; Xie, S.; Xu, J.Q.; Lin, G.B. A Robust Levitation Control of Maglev Vehicles Subject to Time Delay and Disturbances: Design and Hardware Experimentation. Appl. Sci. 2020, 10, 1179. [Google Scholar] [CrossRef]
- Zhao, C.; Oka, K.; Sun, F.; Harada, A.; Jin, J.; Zhang, M. Design of Zero-Power Control Strategy With Resisting Tilt of Hybrid Magnetic Levitation System. IEEE Trans. Ind. Electron. 2022, 69, 11394–11402. [Google Scholar] [CrossRef]
- Ogiwara, E.; Kuirta, N.; Wang, B. Implementation and suspension force evaluation of a permanent magnet hybrid type magnetically levitated carrier system. Dyn. Des. Conf. 2021, 2021, 538. [Google Scholar] [CrossRef]
- Kurita, N.; Hishmuma, N.; Egura, K. Development of Magnetic Levitation Conveyor with Permanent Magnet. Dyn. Des. Conf. 2019, 2019, 521. [Google Scholar]
- Pourkand, A.; Abbott, J.J. Magnetic actuation with stationary electromagnets considering power and temperature constraints. IEEE Robot. Autom. Lett. 2020, 5, 6964–6971. [Google Scholar] [CrossRef]
- Matsumoto, S.; Arai, Y.; Nakagawa, T. Noncontact levitation and conveyance characteristics of a very thin steel plate magnetically levitated by a LIM-driven cart. IEEE Trans. Magn. 2014, 50, 1–4. [Google Scholar]
- Zhang, H.; Kou, B.; Zhou, Y. Analysis and design of a novel magnetic levitation gravity compensator with low passive force variation in a large vertical displacement. IEEE Trans. Ind. Electron. 2019, 67, 4797–4805. [Google Scholar] [CrossRef]
- Zhao, C.; Sun, F.; Jin, J.; Tang, J.; Xu, F.; Li, Q.; Oka, K. Analysis of quasi-zero power characteristic for a permanent magnetic levitation system with a variable flux path control mechanism. IEEE/ASME Trans. Mechatron. 2020, 26, 437–447. [Google Scholar] [CrossRef]
- Kim, C.H.; Cho, H.W.; Lee, J.M.; Han, H.S.; Kim, B.S.; Kim, D.S. Zero-power control of magnetic levitation vehicles with permanent magnets. In Proceedings of the ICCAS 2010, Gyeonggi-do, Republic of Korea, 27–30 October 2010; pp. 732–735. [Google Scholar]
- Morishita, M.; Azukizawa, T.; Kanda, S.; Tamura, N.; Yokoyama, T. A new maglev system for magnetically levitated carrier system. IEEE Trans. Veh. Technol. 1989, 38, 230–236. [Google Scholar] [CrossRef]
- Bozkurt, A.F.; Erkan, K.; Güney, Ö.F. Zero power control of a 3 dof levitated multiple hybrid electromagnet flexible conveyor system. In Proceedings of the 2015 Intl Aegean Conference on Electrical Machines & Power Electronics (ACEMP), 2015 Intl Conference on Optimization of Electrical & Electronic Equipment (OPTIM) & 2015 Intl Symposium on Advanced Electromechanical Motion Systems (ELECTROMOTION), Side, Turkey, 2–4 September 2015; pp. 570–575. [Google Scholar]
- Kim, Y.H.; Kim, K.M.; Lee, J. Zero power control with load observer in controlled-PM levitation. IEEE Trans. Magn. 2001, 37, 2851–2854. [Google Scholar]
- Mizuno, T.; Sakurada, T.; Ishino, Y.; Takasaki, M. Zero-power control of parallel magnetic suspension systems. J. Syst. Des. Dyn. 2011, 5, 765–776. [Google Scholar] [CrossRef][Green Version]
- Wei, Z.; Huang, Z.; Zhu, J. Position control of magnetic levitation ball based on an improved adagrad algorithm and deep neural network feedforward compensation control. Math. Probl. Eng. 2020, 2020, 8935423. [Google Scholar]
- Sazawa, M.; Ohishi, K.; Katsura, S. High speed positioning servo system using integrator correction of PI controller based on disturbance observer. In Proceedings of the 2008 34th Annual Conference of IEEE Industrial Electronics, Orlando, FL, USA, 10–13 November 2008; pp. 2539–2544. [Google Scholar]
- Zhang, W.; van Luttervelt, C. Toward a resilient manufacturing system. CIRP Ann. 2011, 60, 469–472. [Google Scholar]
- Zhang, T.; Zhang, W.; Gupta, M.M. Resilient Robots: Concept, Review, and Future Directions. Robotics 2017, 6, 22. [Google Scholar] [CrossRef]








| Parameter | Description | Numerical Value |
|---|---|---|
| Target position | 0 mm | |
| Gap position | 4 mm | |
| Control current | 0.05 A | |
| Vacuum permeability | 4 × (H/m) | |
| A | Magnetic permeability area | × (m2) |
| N | Coil turns | 670 |
| m | Suspend float | 70 kg |
| Gain of current and the force | 85 (N/A) | |
| Gain of position and the force | 1.5 × 105 (N/m) |
| Loads of Baggage | Current in SFB Controller | Displacement in SFB Controller | Current in SFB and Zero-Power Controllers | Displacement in SFB and Zero-Power Controllers |
|---|---|---|---|---|
| 8 kgf | −0.8 A | 0 mm | 0 A | −0.7 mm |
| 16 kgf | −0.7 A | 0 mm | 0 A | −0.5 mm |
| 24 kgf | −0.4 A | 0 mm | 0 A | −0.25 mm |
| 32 kgf | −0.3 A | 0 mm | 0 A | −0.18 mm |
| 40 kgf | −0.18 A | 0 mm | 0 A | −0.07 mm |
| 48 kgf | −0.25 A | 0 mm | 0 A | −0.15 mm |
Disclaimer/Publisher’s Note: The statements, opinions and data contained in all publications are solely those of the individual author(s) and contributor(s) and not of MDPI and/or the editor(s). MDPI and/or the editor(s) disclaim responsibility for any injury to people or property resulting from any ideas, methods, instructions or products referred to in the content. |
© 2024 by the authors. Licensee MDPI, Basel, Switzerland. This article is an open access article distributed under the terms and conditions of the Creative Commons Attribution (CC BY) license (https://creativecommons.org/licenses/by/4.0/).
Share and Cite
Tang, X.; Hashimoto, S.; Kawaguchi, T.; Kurita, N. Zero-Power Control Strategy and Dynamics Enhancement for Hybrid Maglev Conveyor Cart. Electronics 2024, 13, 2921. https://doi.org/10.3390/electronics13152921
Tang X, Hashimoto S, Kawaguchi T, Kurita N. Zero-Power Control Strategy and Dynamics Enhancement for Hybrid Maglev Conveyor Cart. Electronics. 2024; 13(15):2921. https://doi.org/10.3390/electronics13152921
Chicago/Turabian StyleTang, Xiaowei, Seiji Hashimoto, Takahiro Kawaguchi, and Nobuyuki Kurita. 2024. "Zero-Power Control Strategy and Dynamics Enhancement for Hybrid Maglev Conveyor Cart" Electronics 13, no. 15: 2921. https://doi.org/10.3390/electronics13152921
APA StyleTang, X., Hashimoto, S., Kawaguchi, T., & Kurita, N. (2024). Zero-Power Control Strategy and Dynamics Enhancement for Hybrid Maglev Conveyor Cart. Electronics, 13(15), 2921. https://doi.org/10.3390/electronics13152921

