Effects of Different Factors on Single Event Effects Introduced by Heavy Ions in SiGe Heterojunction Bipolar Transistor: A TCAD Simulation
Abstract
1. Introduction
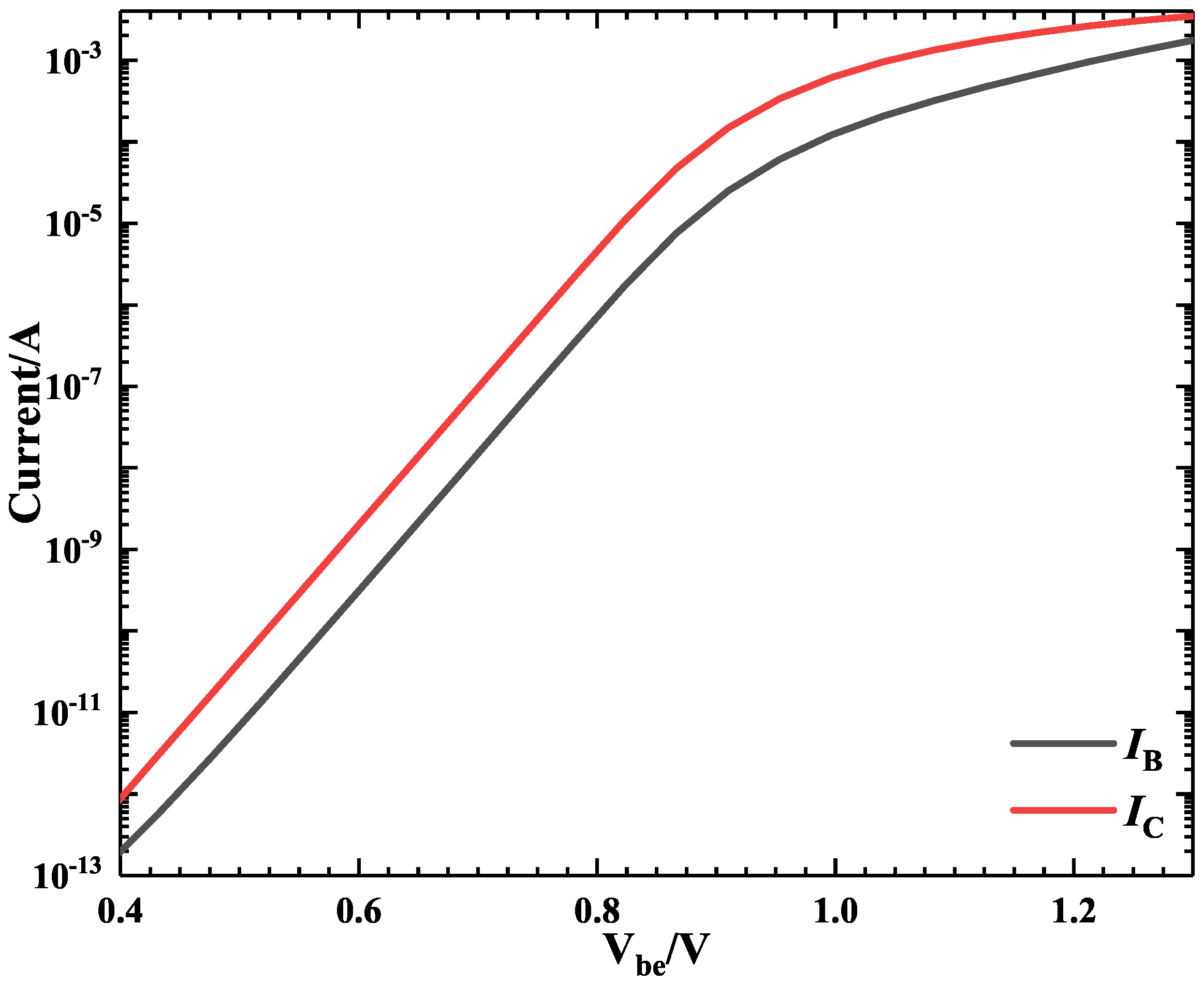
2. Materials and Methods
3. Results and Discussion
3.1. Striking Location
3.2. Incident Angle
3.3. LET Values
3.4. Projected Range
3.5. Ambient Temperature
3.6. Bias State
4. Conclusions
Author Contributions
Funding
Data Availability Statement
Conflicts of Interest
Abbreviations
| TCAD | Technology Computer-Aided Design |
| HBT | Heterojunction Bipolar Transistor |
| LET | Linear Energy Transfer |
Appendix A






References
- Li, X.; Yang, J.; Fleetwood, D.M.; Liu, C.; Wei, Y.; Barnaby, H.; Galloway, K. Hydrogen soaking, displacement damage effects, and charge yield in gated lateral bipolar junction transistors. IEEE Trans. Nucl. Sci. 2018, 65, 1271–1276. [Google Scholar] [CrossRef]
- Witulski, A.F.; Ball, D.R.; Galloway, K.F.; Javanainen, A.; Lauenstein, J.M.; Sternberg, A.L.; Schrimpf, R.D. Single-event burnout mechanisms in SiC power MOSFETs. IEEE Trans. Nucl. Sci. 2018, 65, 1951–1955. [Google Scholar] [CrossRef]
- Petrosyants, K.O.; Kozhukhov, M.V. Physical TCAD model for proton radiation effects in SiGe HBTs. IEEE Trans. Nucl. Sci. 2016, 63, 2016–2021. [Google Scholar] [CrossRef]
- Dodd, P.E. Physics-based simulation of single-event effects. IEEE Trans. Device Mater. Reliab. 2005, 5, 343–357. [Google Scholar] [CrossRef]
- Pickel, J.C. Single-event effects rate prediction. IEEE Trans. Nucl. Sci. 1996, 43, 483–495. [Google Scholar] [CrossRef]
- Sun, H.; Guo, G.; Sun, R.; Zhao, W.; Zhang, F.; Liu, J.; Zhang, Z.; Chen, Y.; Zhao, Y. Study on Single Event Upsets in a 28 nm Technology Static Random Access Memory Device Based on Micro-Beam Irradiation. Electronics 2022, 11, 3413. [Google Scholar] [CrossRef]
- Pease, R.L. Total ionizing dose effects in bipolar devices and circuits. IEEE Trans. Nucl. Sci. 2003, 50, 539–551. [Google Scholar] [CrossRef]
- Fleetwood, D.M. Total ionizing dose effects in MOS and low-dose-rate-sensitive linear-bipolar devices. IEEE Trans. Nucl. Sci. 2013, 60, 1706–1730. [Google Scholar] [CrossRef]
- Bernard, M.; Dusseau, L.; Buchner, S.; McMorrow, D.; Ecoffet, R.; Boch, J.; Vaillé, J.R.; Schrimpf, R.; LaBel, K. Impact of total ionizing dose on the analog single event transient sensitivity of a linear bipolar integrated circuit. IEEE Trans. Nucl. Sci. 2007, 54, 2534–2540. [Google Scholar] [CrossRef]
- Srour, J.; Marshall, C.J.; Marshall, P.W. Review of displacement damage effects in silicon devices. IEEE Trans. Nucl. Sci. 2003, 50, 653–670. [Google Scholar] [CrossRef]
- Srour, J.; Palko, J. Displacement damage effects in irradiated semiconductor devices. IEEE Trans. Nucl. Sci. 2013, 60, 1740–1766. [Google Scholar] [CrossRef]
- Zhang, J.; Guo, H.; Pan, X.; Guo, Q.; Zhang, F.; Feng, J.; Wang, X.; Wei, Y.; Wu, X. Synergistic effect of total ionizing dose on single event effect induced by pulsed laser microbeam on SiGe heterojunction bipolar transistor. Chin. Phys. B 2018, 27, 108501. [Google Scholar] [CrossRef]
- Ya’Acob, N.; Zainudin, A.; Magdugal, R.; Naim, N.F. Mitigation of space radiation effects on satellites at Low Earth Orbit (LEO). In Proceedings of the IEEE International Conference on Control System, Computing and Engineering (ICCSCE), Penang, Malaysia, 25–27 November 2017. [Google Scholar]
- Zhang, J.X.; Guo, H.X.; Guo, Q.; Wen, L.; Cui, J.W.; Xi, S.B.; Wang, X.; Deng, W. 3D simulation of heavy ion induced charge collection of single event effects in SiGe heterojunction bipolar transistor. Acta Phys. Sin. 2013, 62, 221–229. [Google Scholar]
- Zhang, J.X.; He, C.H.; Guo, H.X.; Du, T.; Xin, W. Three-dimensional simulation study of bias effect on single event effects of SiGe heterojunction bipolar transistor. Acta Phys. Sin. 2014, 63, 1071–1074. [Google Scholar]
- Pruvost, S.; Delcourt, S.; Telliez, I.; Laurens, M.; Bourzgui, N.E.; Danneville, F.; Monroy, A.; Dambrine, G. Microwave and noise performance of SiGe BiCMOS HBT under cryogenic temperatures. IEEE Electron Device Lett. 2005, 26, 105–108. [Google Scholar] [CrossRef]
- Cressler, J.D. SiGe BiCMOS Technology: An IC Design Platform for Extreme Environment Electronics Applications. In Proceedings of the IEEE International Reliability Physics Symposium, Phoenix, AZ, USA, 15–19 April 2007. [Google Scholar]
- Inanlou, F.; Lourenco, N.E.; Fleetwood, Z.E.; Song, I.; Cressler, J.D. Impact of Total Ionizing Dose on a 4th Generation, 90 nm SiGe HBT Gaussian Pulse Generator. IEEE Trans. Nucl. Sci. 2014, 61, 3050–3054. [Google Scholar] [CrossRef]
- Hegde, V.N.; Pradeep, T.M.; Pushpa, N.; Praveen, K.C.; Bhushan, K.G.; Cressler, J.D.; Prakash, A. A Comparison of Electron, Proton and Gamma Irradiation Effects on the I-V Characteristics of 200 GHz SiGe HBTs. IEEE Trans. Device Mater. Reliab. 2018, 18, 592–598. [Google Scholar] [CrossRef]
- Metcalfe, J.; Dorfan, D.E.; Grillo, A.A.; Jones, A.; Lucia, D.; Martinez-McKinney, F.; Mendoza, M.; Rogers, M.; Sadrozinski, H.F.W.; Seiden, A.; et al. Evaluation of the Radiation Tolerance of SiGe Heterojunction Bipolar Transistors Under 24-GeV Proton Exposure. IEEE Trans. Nucl. Sci. 2006, 53, 3889–3893. [Google Scholar] [CrossRef]
- Reed, R.A.; Marshall, P.W.; Pickel, J.C.; Carts, M.A.; Fodness, B.; Niu, G.; Fritz, K.; Vizkelethy, G.; Dodd, P.E.; Irwin, T.; et al. Heavy-ion broad-beam and microprobe studies of single-event upsets in 0.20-/spl mu/m SiGe heterojunction bipolar transistors and circuits. IEEE Trans. Nucl. Sci. 2003, 50, 2184–2190. [Google Scholar] [CrossRef]
- Pellish, J.A.; Reed, R.A.; Schrimpf, R.D.; Alles, M.L.; Varadharajaperumal, M.; Niu, G.; Sutton, A.K.; Diestelhorst, R.M.; Espinel, G.; Krithivasan, R.; et al. Substrate engineering concepts to mitigate charge collection in deep trench isolation technologies. IEEE Trans. Nucl. Sci. 2006, 53, 3298–3305. [Google Scholar] [CrossRef]
- Jiang, N.; Ma, Z.; Ma, P.; Racanelli, M. Impact of proton radiation on the large-signal power performance of SiGe power HBTs. IEEE Trans. Nucl. Sci. 2006, 53, 2361–2366. [Google Scholar] [CrossRef]
- Lourenco, N.E.; Fleetwood, Z.E.; Ildefonso, A.; Wachter, M.T.; Roche, N.J.H.; Khachatrian, A.; McMorrow, D.; Buchner, S.P.; Warner, J.H.; Itsuji, H.; et al. The impact of technology scaling on the single-event transient response of SiGe HBTs. IEEE Trans. Nucl. Sci. 2016, 64, 406–414. [Google Scholar] [CrossRef]
- Cressler, J.D. Radiation effects in SiGe technology. IEEE Trans. Nucl. Sci. 2013, 60, 1992–2014. [Google Scholar] [CrossRef]
- Li, P.; Guo, H.X.; Guo, Q.; Zhang, J.X.; Wei, Y. Laser-induced single event transients in local oxidation of silicon and deep trench isolation silicon-germanium heterojunction bipolar transistors. Chin. Phys. Lett. 2015, 32, 088505. [Google Scholar] [CrossRef]
- Li, P.; Guo, H.X.; Guo, Q.; Zhang, J.X.; Xiao, Y.; Wei, Y.; Cui, J.W.; Wen, L.; Liu, M.H.; Wang, X. Single-event response of the SiGe HBT in TCAD simulations and laser microbeam experiment. Chin. Phys. B 2015, 24, 088502. [Google Scholar] [CrossRef]
- Zhang, J.; Guo, H.; Zhang, F.; He, C.; Li, P.; Yan, Y.; Wang, H.; Zhang, L. Heavy ion micro-beam study of single-event transient (SET) in SiGe heterjunction bipolar transistor. Sci. China Inf. Sci. 2017, 60, 1–3. [Google Scholar] [CrossRef]
- Zhang, J.; Guo, H.; Wen, L.; Guo, Q.; Cui, J.; Wang, X.; Deng, W.; Zhen, Q.; Fan, X.; Xiao, Y. 3-D simulation of angled strike heavy-ion induced charge collection in silicon–germanium heterojunction bipolar transistors. J. Semicond. 2014, 35, 044003. [Google Scholar] [CrossRef]
- Wei, J.; Li, Y.; Yang, W.; He, C.; Li, Y.; Zang, H.; Li, P.; Zhang, J.; Guo, G. Proton-induced current transient in SiGe HBT and charge collection model based on Monte Carlo simulation. Sci. China Technol. Sci. 2020, 63, 851–858. [Google Scholar] [CrossRef]















Disclaimer/Publisher’s Note: The statements, opinions and data contained in all publications are solely those of the individual author(s) and contributor(s) and not of MDPI and/or the editor(s). MDPI and/or the editor(s) disclaim responsibility for any injury to people or property resulting from any ideas, methods, instructions or products referred to in the content. |
© 2023 by the authors. Licensee MDPI, Basel, Switzerland. This article is an open access article distributed under the terms and conditions of the Creative Commons Attribution (CC BY) license (https://creativecommons.org/licenses/by/4.0/).
Share and Cite
Zhang, Z.; Guo, G.; Li, F.; Sun, H.; Chen, Q.; Zhao, S.; Liu, J.; Ouyang, X. Effects of Different Factors on Single Event Effects Introduced by Heavy Ions in SiGe Heterojunction Bipolar Transistor: A TCAD Simulation. Electronics 2023, 12, 1008. https://doi.org/10.3390/electronics12041008
Zhang Z, Guo G, Li F, Sun H, Chen Q, Zhao S, Liu J, Ouyang X. Effects of Different Factors on Single Event Effects Introduced by Heavy Ions in SiGe Heterojunction Bipolar Transistor: A TCAD Simulation. Electronics. 2023; 12(4):1008. https://doi.org/10.3390/electronics12041008
Chicago/Turabian StyleZhang, Zheng, Gang Guo, Futang Li, Haohan Sun, Qiming Chen, Shuyong Zhao, Jiancheng Liu, and Xiaoping Ouyang. 2023. "Effects of Different Factors on Single Event Effects Introduced by Heavy Ions in SiGe Heterojunction Bipolar Transistor: A TCAD Simulation" Electronics 12, no. 4: 1008. https://doi.org/10.3390/electronics12041008
APA StyleZhang, Z., Guo, G., Li, F., Sun, H., Chen, Q., Zhao, S., Liu, J., & Ouyang, X. (2023). Effects of Different Factors on Single Event Effects Introduced by Heavy Ions in SiGe Heterojunction Bipolar Transistor: A TCAD Simulation. Electronics, 12(4), 1008. https://doi.org/10.3390/electronics12041008

