A New DSGRU-Based Intrusion Detection Method for the Internet of Things
Abstract
:1. Introduction
1.1. Contributions
- •
- We improve the traditional GRU model and design a novel neural network algorithm, namely, DSGRU, which consists of OGRU, DGRU, and the Softmax activation function. Specifically, OGRU is utilized to characterize the learned network traffic data, while DGRU is utilized to decode and recover the features that have been characterized by OGRU. Meanwhile, DSGRU can better characterize the network traffic data and discover the intrinsic connections within the temporally correlated network traffic data. Moreover, DSGRU can greatly reduce feature loss during the nonlinear transformation process through loss compensation, thus effectively enhancing the robustness and generalization ability.
- •
- We adopt DSGRU to propose a novel intrusion detection scheme for the IoT environment, which is ideally suited for large-scale IoT network traffic data characterized by heterogeneous multiple sources, high dimensionality, and temporal correlation. By employing a loss compensation approach, our proposed scheme can reduce feature loss of IoT network traffic data during the model training process. Meanwhile, our scheme can effectively learn the temporal correlation between IoT network traffic data, thus improving intrusion detection accuracy. Moreover, our scheme enhances efficiency by reducing the operations involved in nonlinear transformations.
- •
- We provide the total computational time overhead and theoretical computational complexity analysis to demonstrate the efficiency of our proposed scheme. Meanwhile, we develop a prototype implementation and simulate our proposed scheme. Finally, we test our proposed scheme based on the UNSW-NB15 dataset and NSL-KDD dataset, and provide the overall performance evaluation. The experimental results not only demonstrate that our proposed scheme is suitable for the IoT environment but also demonstrate the practicability and universality of our proposed scheme.
1.2. Related Works
2. Preliminaries
3. Deep Supplement Gate Recurrent Unit
4. Our Proposed Scheme
4.1. System Framework
| Algorithm 1: DSGRU algorithm. |
![]() |
4.2. DSGRU-Based Intrusion Detection Scheme
| Algorithm 2: Intrusion detection algorithm. |
![]() |
5. Computational Complexity
6. Experiments
6.1. Implementation
6.2. Experimental Environment
6.3. Experimental Dataset
6.3.1. UNSW-NB15 Dataset
- Normal: The normal network traffic data.
- Fuzzers: Attacks that attempt to paralyze a system with randomly generated data from the web.
- Analysis: Web attacks through port scanning, spamming, and file exfiltration.
- Backdoors: Hacking attacks that access computer data by bypassing system security mechanisms.
- DoS: Uninterrupted malicious attacks on the host computer intended to render the computer out of service.
- Exploits: Malicious attacks through the operating system or software security vulnerabilities.
- Generic: Group password hacking attacks.
- Reconnaissance: Attackers gather information related to their target to carry out the attack.
- Shellcode: Attackers use shell commands to control the target host attack methods.
- Worms: An attack method in which an attacker spreads to other computers through self-replication, rendering other computers unable to function properly.
6.3.2. NSL-KDD Dataset
- Normal: Normal network data.
- DoS: Uninterrupted malicious attacks on the host computer to render the computer out of service.
- R2L: Hacker attacks that access computer data by bypassing security system mechanisms.
- U2R: Attacks that attempt to paralyze the system through randomly generated data over the network.
- Probe: Web attacks through port scanning, spamming, and file exfiltration.
6.4. Evaluation Metrics
6.5. Experimental Results
6.5.1. Model Fit Analysis
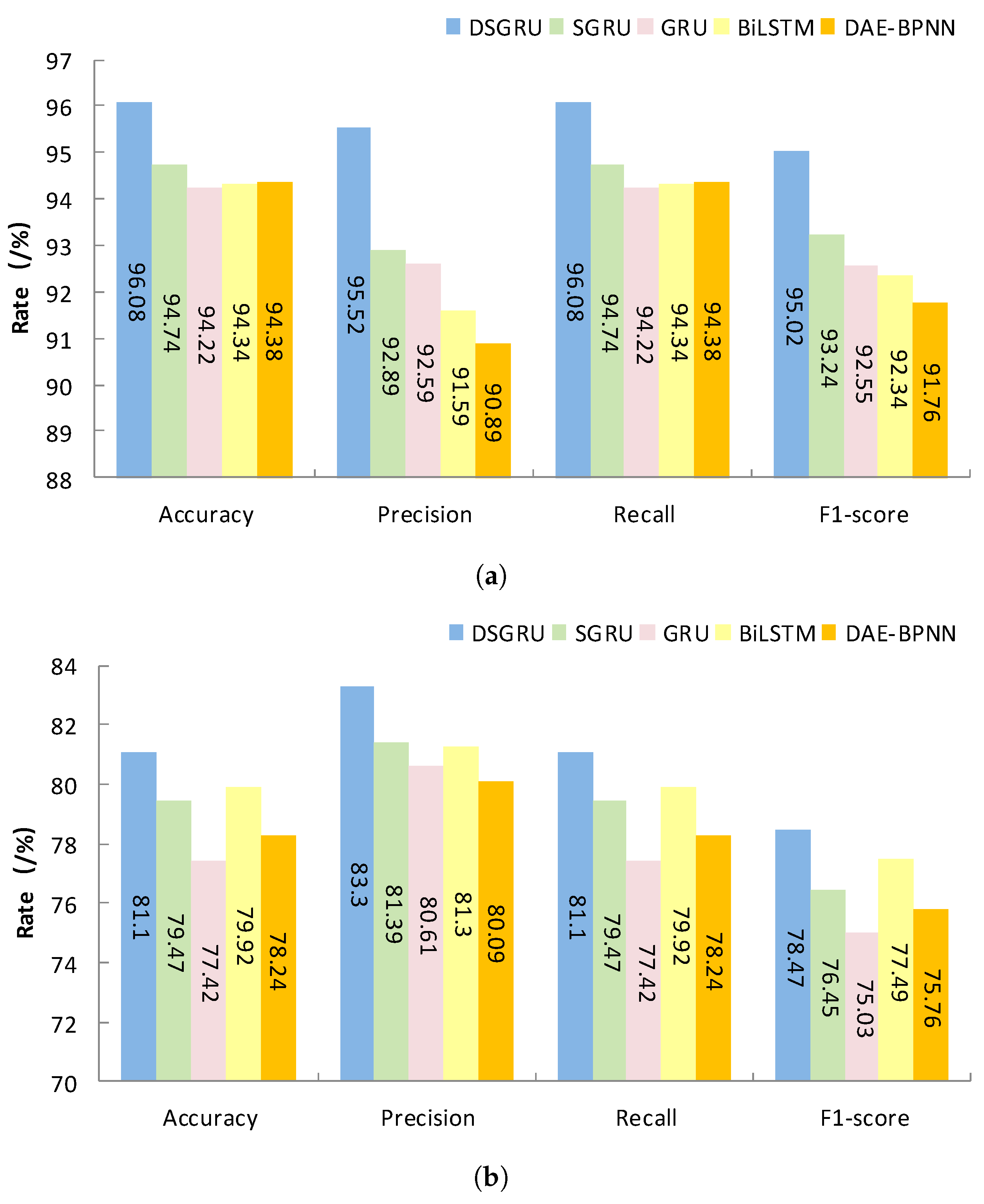
6.5.2. Effectiveness Evaluation
6.5.3. Efficiency Evaluation
7. Discussion
8. Conclusions and Future Work
8.1. Conclusions
8.2. Future Work
Author Contributions
Funding
Data Availability Statement
Conflicts of Interest
References
- Xiong, J.; Ma, R.; Chen, L.; Tian, Y.; Li, Q.; Liu, X.; Yao, Z. A personalized privacy protection framework for mobile crowdsensing in IIoT. IEEE Trans. Ind. Inform. 2019, 16, 4231–4241. [Google Scholar] [CrossRef]
- Bag, S.; Gupta, S.; Kumar, S. Industry 4.0 adoption and 10R advance manufacturing capabilities for sustainable development. Int. J. Prod. Econ. 2021, 231, 107844. [Google Scholar] [CrossRef]
- Kou, L.; Wu, J.; Zhang, F.; Ji, P.; Ke, W.; Wan, J.; Liu, H.; Li, Y.; Yuan, Q. Image encryption for Offshore wind power based on 2D-LCLM and Zhou Yi Eight Trigrams. Int. J. Bio-Inspired Comput. 2023, 22, 53–64. [Google Scholar] [CrossRef]
- Roman, R.; Zhou, J.; Lopez, J. On the features and challenges of security and privacy in distributed internet of things. Comput. Netw. 2013, 57, 2266–2279. [Google Scholar] [CrossRef]
- Togay, C.; Kasif, A.; Catal, C.; Tekinerdogan, B. A firewall policy anomaly detection framework for reliable network security. IEEE Trans. Reliab. 2022, 71, 339–347. [Google Scholar] [CrossRef]
- Ren, H.; Xu, G.; Qi, H.; Zhang, T. PriFR: Privacy-preserving Large-scale File Retrieval System via Blockchain for Encrypted Cloud Data. In Proceedings of the 2023 IEEE 9th Intl Conference on Big Data Security on Cloud (BigDataSecurity), IEEE Intl Conference on High Performance and Smart Computing,(HPSC) and IEEE Intl Conference on Intelligent Data and Security (IDS), New York, NY, USA, 6–8 May 2023; IEEE: Piscataway, NJ, USA, 2023. [Google Scholar]
- Ning, H.; Zhen, Z.; Shi, F.; Daneshm, M. A survey of identity modeling and identity addressing in Internet of Things. IEEE Internet Things J. 2020, 7, 4697–4710. [Google Scholar] [CrossRef]
- Taparia, A.; Banu, P.K.N. A survey of blockchain: Concepts, applications and challenges. Int. J. Comput. Sci. Math. 2023, 17, 152–165. [Google Scholar] [CrossRef]
- Muhammad, K.; Hamza, R.; Ahmad, J.; Lloret, J.; Wang, H.; Baik, S.W. Secure surveillance framework for IoT systems using probabilistic image encryption. IEEE Trans. Ind. Inform. 2018, 14, 3679–3689. [Google Scholar] [CrossRef]
- Meneghello, F.; Calore, M.; Zucchetto, D.; Polese, M.; Zanella, A. IoT: Internet of threats? A survey of practical security vulnerabilities in real IoT devices. IEEE Internet Things J. 2019, 6, 8182–8201. [Google Scholar] [CrossRef]
- Ren, H.; Li, H.; Liu, D.; Xu, G.; Cheng, N.; Shen, X. Privacy-preserving efficient verifiable deep packet inspection for cloud-assisted middlebox. IEEE Trans. Cloud Comput. 2020, 10, 1052–1064. [Google Scholar] [CrossRef]
- Verma, S.; Kawamoto, Y.; Kato, N. A network-aware Internet-wide scan for security maximization of IPV6-enabled WLAN IoT devices. IEEE Internet Things J. 2020, 8, 8411–8422. [Google Scholar] [CrossRef]
- Arisdakessian, S.; Wahab, O.A.; Mourad, A.; Otrok, H.; Guizani, M. A survey on IoT intru-sion detection: Federated learning, game theory, social psychology, and explainable AI as future directions. IEEE Internet Things J. 2022, 10, 4059–4092. [Google Scholar] [CrossRef]
- Zhang, J.; Wang, Y.; Li, S.; Shi, S. An architecture for IoT-enabled smart transportation security system: A geospatial approach. IEEE Internet Things J. 2020, 8, 6205–6213. [Google Scholar] [CrossRef]
- Zhang, J.; Wang, Y.; Li, S.; Shi, S. POTA: Privacy-Preserving Online Multi-Task Assignment with Path Planning. IEEE Trans. Mob. Comput. 2023, 1–13. [Google Scholar] [CrossRef]
- Hu, C.; Zhang, C.; Lei, D.; Wu, T.; Liu, X.; Zhu, L. Achieving Privacy-Preserving and Verifiable Support Vector Machine Training in the Cloud. IEEE Trans. Inf. Forensics Secur. 2023, 18, 3476–3491. [Google Scholar] [CrossRef]
- Zhang, C.; Hu, C.; Wu, T.; Zhu, L.; Liu, X. Achieving efficient and privacy-preserving neural network training and prediction in cloud environments. IEEE Trans. Dependable Secur. Comput. 2022, 20, 4245–4257. [Google Scholar] [CrossRef]
- Liao, H.J.; Lin, C.H.R.; Lin, Y.C.; Tung, K.Y. Intrusion detection system: A comprehensive review. J. Netw. Comput. Appl. 2013, 36, 16–24. [Google Scholar] [CrossRef]
- Kuang, F.; Xu, W.; Zhang, S. A novel hybrid KPCA and SVM with GA model for intrusion detection. Appl. Soft Comput. 2014, 18, 178–184. [Google Scholar] [CrossRef]
- Mohammadi, M.; Rashid, T.A.; Karim, S.H.T.; Aldalwie, A.H.M.; Tho, Q.T.; Bidaki, M.; Rahmani, A.M.; Hosseinzadeh, M. A comprehensive survey and taxonomy of the SVM-based intrusion detection systems. J. Netw. Comput. Appl. 2021, 178, 102983. [Google Scholar] [CrossRef]
- Kuang, F.; Zhang, S.; Jin, Z.; Xu, W. A novel SVM by combining kernel principal component analysis and improved chaotic particle swarm optimization for intrusion detection. Soft Comput. 2015, 19, 1187–1199. [Google Scholar] [CrossRef]
- Gu, J.; Lu, S. An effective intrusion detection approach using SVM with naïve Bayes feature embedding. Comput. Secur. 2021, 103, 102158. [Google Scholar] [CrossRef]
- Hussain, J.; Lalmuanawma, S.; Chhakchhuak, L. A two-stagehybrid classification technique for network intrusion detection system. Int. J. Comput. Intell. Syst. 2016, 9, 863–875. [Google Scholar] [CrossRef]
- Lv, L.; Wang, W.; Zhang, Z.; Liu, X. A novel intrusion detection system based on an optimal hybrid kernel extreme learning machine. Knowl.-Based Syst. 2020, 195, 105648. [Google Scholar] [CrossRef]
- Saleh, A.I.; Talaat, F.M.; Labib, L.M. A hybrid intrusion detection system (HIDS) based on prioritized k-nearest neighbors and optimized SVM classifiers. Artif. Intell. Rev. 2019, 51, 403–443. [Google Scholar] [CrossRef]
- Zhang, C.; Costa-Pérez, X.P.; Patras, P. Adversarial attacks against deep learning-based network intrusion detection systems and defense mechanisms. IEEE/ACM Trans. Netw. 2022, 30, 1294–1311. [Google Scholar] [CrossRef]
- Xie, G.; Yang, L.T.; Yang, Y.; Luo, H.; Li, R.; Alazab, M. Threat analysis for automotive CAN networks: A GAN model-based intrusion detection technique. IEEE Trans. Intell. Transp. Syst. 2021, 22, 4467–4477. [Google Scholar] [CrossRef]
- Shone, N.; Ngoc, T.N.; Phai, V.D.; Shi, Q. A deep learning approach to network Intrusion detection. IEEE Trans. Emerg. Top. Comput. Intell. 2018, 2, 41–50. [Google Scholar] [CrossRef]
- Otoum, S.; Kantarci, B.; Mouftah, H.T. On the feasibility of deep learning in sensor network intrusion detection. IEEE Netw. Lett. 2019, 1, 68–71. [Google Scholar] [CrossRef]
- Kasongo, S.M.; Sun, Y. A deep learning method with wrapper based feature extraction for wireless intrusion detection system. Comput. Secur. 2020, 92, 101752. [Google Scholar] [CrossRef]
- Li, B.; Wu, Y.; Song, J.; Lu, R.; Li, T.; Zhao, L. DeepFed: Federated deep learning for intrusion detection in industrial cyber–physical systems. IEEE Trans. Ind. Inform. 2021, 17, 5615–5624. [Google Scholar] [CrossRef]
- Almutlaq, S.; Derhab, A.; Hassan, M.M.; Kaur, K. Two-stage intrusion detection system in intelligent transportation systems using rule extraction methods from deep neural networks. IEEE Trans. Intell. Transp. Syst. 2022, 1–15. [Google Scholar] [CrossRef]
- Keshk, M.; Koroniotis, N.; Pham, N.; Moustafa, N.; Turnbull, B.; Zomaya, A.Y. An explainable deep learning-enabled intrusion detection framework in IoT networks. Inf. Sci. 2023, 639, 119000. [Google Scholar] [CrossRef]
- Wu, Y.; Lee, W.W.; Gong, X.; Wang, H. A hybrid intrusion detection model combining SAE with kernel approximation in Internet of Things. Sensors 2020, 20, 5710. [Google Scholar] [CrossRef] [PubMed]
- Lee, J.H.; Park, K.H. AE-CGAN model based high performance network intrusion detection system. Appl. Sci. 2019, 9, 4221. [Google Scholar] [CrossRef]
- Lo, W.; Alqahtani, H.; Thakur, K.; Almadhor, A.; Chander, S.; Kumar, G. A hybrid deep learning based intrusion detection system using spatial-temporal representation of in-vehicle network traffic. Veh. Commun. 2022, 35, 100471. [Google Scholar]
- Imrana, Y.; Xiang, Y.; Ali, L.; Abdul-Rauf, Z. A bidirectional LSTM deep learning approach for intrusion detection. Expert Syst. Appl. 2021, 185, 115524. [Google Scholar] [CrossRef]
- Aljrees, T.; Kumar, A.; Singh, K.U.; Singh, T. Enhancing IoT Security through a Green and Sustainable Federated Learning Platform: Leveraging Efficient Encryption and the Quondam Signature Algorithm. Sensors 2023, 23, 8090. [Google Scholar] [CrossRef]
- Sood, K.; Nosouhi, M.R.; Nguyen, D.D.N.; Jiang, F.; Chowdhury, M.; Doss, R. Intrusion detection scheme with dimensionality reduction in next generation networks. IEEE Trans. Inf. Forensics Secur. 2023, 18, 965–979. [Google Scholar] [CrossRef]
- Liu, Z.Y.; Yang, C.S.; Xiao, J.; Song, B.W.; Shi, K.X. A Novel Intrusion Detection Method Based on Supplement Gate Recurrent Unit for IoT. Wirel. Communi-Cations Mob. Comput. 2022, 2022, 3678493. [Google Scholar] [CrossRef]
- Ansari, M.S.; Bartoš, V.; Lee, B. GRU-based deep learning approach for network intrusion alert prediction. Future Gener. Comput. Syst. 2022, 128, 235–247. [Google Scholar] [CrossRef]
- Zavrak, S.; İskefiyeli, M. Anomaly-based intrusion detection from network flow features using variational autoencoder. IEEE Access 2020, 8, 108346–108358. [Google Scholar] [CrossRef]
- Moustafa, N.; Slay, J. UNSW-NB15: A comprehensive data set for network intrusion detection systems (UNSW-NB15 network data set). In Proceedings of the 2015 Military Communications and Information Systems Conference, Cracow, Poland, 18–19 May 2015. [Google Scholar]
- Tavallaee, M.; Bagheri, E.; Lu, W.; Ghorbani, A.A. A detailed analysis of the KDD CUP 99 data set. In Proceedings of the 2009 IEEE Symposium on Computational Intelligence for Security and Defense Applications, Ottawa, ON, Canada, 8–10 July 2009; IEEE: Piscataway, NJ, USA, 2009. [Google Scholar]
- Lee, W.; Stolfo, S.J. A framework for constructing features and models for intrusion detection systems. ACM Trans. Inf. Syst. Secur. (TiSSEC) 2000, 3, 227–261. [Google Scholar] [CrossRef]
- Peres, R.S.; Barata, J.; Leitao, P.; Garcia, G. Multistage quality control using machine learning in the automotive industry. IEEE Access 2019, 7, 79908–79916. [Google Scholar] [CrossRef]
- Chicco, D.; Jurman, G. The advantages of the Matthews correlation coefficient (MCC) over F1 score and accuracy in binary classification evaluation. BMC Genom. 2020, 21, 6. [Google Scholar] [CrossRef] [PubMed]











| Methodology | Total Times of Calculations | Computational Complexity |
|---|---|---|
| DSGRU | ||
| SGRU [40] | ||
| GRU [41] | ||
| BiLSTM [37] | ||
| DAE-BPNN [39] |
| Dataset | DSGRU | SGRU | GRU | BiLSTM | DAE-BPNN | |
|---|---|---|---|---|---|---|
| UNSW-NB15 | Loss value | |||||
| NSL-KDD |
Disclaimer/Publisher’s Note: The statements, opinions and data contained in all publications are solely those of the individual author(s) and contributor(s) and not of MDPI and/or the editor(s). MDPI and/or the editor(s) disclaim responsibility for any injury to people or property resulting from any ideas, methods, instructions or products referred to in the content. |
© 2023 by the authors. Licensee MDPI, Basel, Switzerland. This article is an open access article distributed under the terms and conditions of the Creative Commons Attribution (CC BY) license (https://creativecommons.org/licenses/by/4.0/).
Share and Cite
Liu, Y.; Lan, Y.; Yang, C.; Ding, Y.; Li, C. A New DSGRU-Based Intrusion Detection Method for the Internet of Things. Electronics 2023, 12, 4745. https://doi.org/10.3390/electronics12234745
Liu Y, Lan Y, Yang C, Ding Y, Li C. A New DSGRU-Based Intrusion Detection Method for the Internet of Things. Electronics. 2023; 12(23):4745. https://doi.org/10.3390/electronics12234745
Chicago/Turabian StyleLiu, Yueling, Yingcong Lan, Changsong Yang, Yong Ding, and Chunhai Li. 2023. "A New DSGRU-Based Intrusion Detection Method for the Internet of Things" Electronics 12, no. 23: 4745. https://doi.org/10.3390/electronics12234745
APA StyleLiu, Y., Lan, Y., Yang, C., Ding, Y., & Li, C. (2023). A New DSGRU-Based Intrusion Detection Method for the Internet of Things. Electronics, 12(23), 4745. https://doi.org/10.3390/electronics12234745



