Small-Signal Analysis of All-Si Microring Resonator Photodiode
Abstract
:1. Introduction
2. Analytic Model
3. Experimental Verification
3.1. DC Response
3.2. Thermal-Induced Nonlinearity
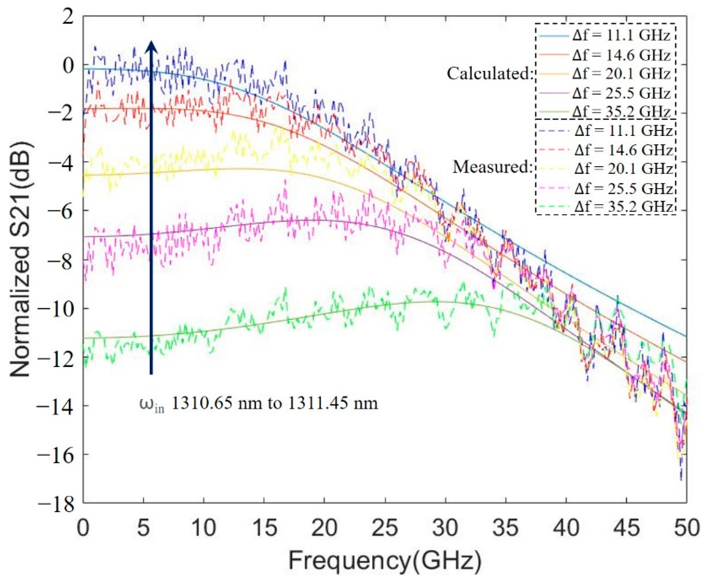
3.3. Frequency Response
4. Discussion and Conclusions
Author Contributions
Funding
Data Availability Statement
Conflicts of Interest
Appendix A

Appendix B
| Device | Size | Responsivity | Bandwidth | Bit Rate | 
|---|---|---|---|---|
| This work | 12 μm radius ring | 0.1 A/W at −6 V (0.4 A/W at −6.4 V) | 25 GHz | 80 Gb/s (NRZ) 100 Gb/s (PAM4) | 
| Mehta et al. [37] | 5 μm radius ring | 0.52 A/W | 5 GHz | 12 Gb/s | 
| Sakib et al. [12] | 10 μm radius ring | 0.7 A/W | 10 GHz | 56 Gb/s (NRZ) 112 Gb/s (PAM4) | 
| Li et al. [11] | 12 μm radius racetrack | 0.048 A/W | 20 GHz | 40 Gb/s (NRZ) | 
| You et al. [10] | 600 μm long waveguide | 10 A/W | 10 GHz | / | 
| Zhu et al. [38] | 3 mm long waveguide | 0.54 A/W | 26 GHz | 28 Gb/s (NRZ) | 
References
- Soref, R. The past, present, and future of silicon photonics. IEEE J. Sel. Top. Quantum Electron. 2006, 12, 1678–1687. [Google Scholar] [CrossRef]
- Vivien, L.; Pavesi, L. (Eds.) Handbook of Silicon Photonics; Taylor & Francis: Abingdon, UK, 2016. [Google Scholar]
- Huang, Z.; Li, C.; Liang, D.; Yu, K.; Santori, C.; Fiorentino, M.; Sorin, W.; Palermo, S.; Beausoleil, R.G. 25 Gbps low-voltage waveguide Si–Ge avalanche photodiode. Optica 2016, 3, 793–798. [Google Scholar] [CrossRef]
- Beling, A.; Cross, A.S.; Piels, M.; Peters, J.; Zhou, Q.; Bowers, J.E.; Campbell, J.C. InP-based waveguide photodiodes heterogeneously integrated on silicon-on-insulator for photonic microwave generation. Opt. Express 2013, 21, 25901–25906. [Google Scholar] [CrossRef]
- Tossoun, B.; Kurczveil, G.; Zhang, C.; Descos, A.; Huang, Z.; Beling, A.; Campbell, J.C.; Liang, D.; Beausoleil, R.G. Indium arsenide quantum dot waveguide photodiodes heterogeneously integrated on silicon. Optica 2019, 6, 1277–1281. [Google Scholar] [CrossRef]
- Yuan, Y.; Jung, D.; Sun, K.; Zheng, J.; Jones, A.H.; Bowers, J.E.; Campbell, J.C. III-V on silicon avalanche photodiodes by heteroepitaxy. Opt. Lett. 2019, 44, 3538–3541. [Google Scholar] [CrossRef]
- Ackert, J.J.; Karar, A.S.; Paez, D.J.; Jessop, P.E.; Cartledge, J.C.; Knights, A.P. 10 Gbps silicon waveguide-integrated infrared avalanche photodiode. Opt. Express 2013, 21, 19530–19537. [Google Scholar] [CrossRef]
- Mailoa, J.P.; Akey, A.J.; Simmons, C.B.; Hutchinson, D.; Mathews, J.; Sullivan, J.T.; Recht, D.; Winkler, M.T.; Williams, J.S.; Warrender, J.M.; et al. Room-temperature sub-band gap optoelectronic response of hyperdoped silicon. Nat. Commun. 2014, 5, 3011. [Google Scholar] [CrossRef] [Green Version]
- Li, Y.; Feng, S.; Zhang, Y.; Poon, A.W. Sub-bandgap linear-absorption-based photodetectors in avalanche mode in PN-diode-integrated silicon microring resonators. Opt. Lett. 2013, 38, 5200–5203. [Google Scholar] [CrossRef]
- You, J.B.; Kwon, H.; Kim, J.; Park, H.H.; Yu, K. Photon-assisted tunneling for sub-bandgap light detection in silicon PN-doped waveguides. Opt. Express 2017, 25, 4284–4297. [Google Scholar] [CrossRef]
- Li, X.; Li, Z.; Xiao, X.; Xu, H.; Yu, J.; Yu, Y. 40 Gb/s all-silicon photodetector based on microring resonators. IEEE Photonics Technol. Lett. 2015, 27, 729–732. [Google Scholar] [CrossRef]
- Sakib, M.; Liao, P.; Kumar, R.; Huang, D.; Su, G.L.; Ma, C.; Rong, H. A 112 Gb/s all-silicon micro-ring photodetector for datacom applications. In Optical Fiber Communication Conference; Optical Society of America: California, CA, USA, 8 March 2020; p. Th4A-2. [Google Scholar]
- Karimelahi, S.; Sheikholeslami, A. Ring modulator small-signal response analysis based on pole-zero representation. Opt. Express 2016, 24, 7585–7599. [Google Scholar] [CrossRef]
- Müller, J.; Merget, F.; Azadeh, S.S.; Hauck, J.; García, S.R.; Shen, B.; Witzens, J. Optical peaking enhancement in high-speed ring modulators. Sci. Rep. 2014, 4, 6310. [Google Scholar] [CrossRef] [Green Version]
- Pile, B.; Taylor, G. Small-signal analysis of microring resonator modulators. Opt. Express 2014, 22, 14913–14928. [Google Scholar] [CrossRef]
- Yuan, Y.; Sorin, W.V.; Huang, Z.; Liang, D.; Fiorentino, M.; Beausoleil, R.G. A 100 Gb/s PAM4 Two-Segment Silicon Microring Resonator Modulator. In Proceedings of the 2021 IEEE Photonics Conference (IPC), Vancouver, BC, Canada, 18–21 October 2021; pp. 1–2. [Google Scholar]
- Song, J.; Eu-Jin, A.L.; Luo, X.; Huang, Y.; Tu, X.; Jia, L.; Fang, Q.; Liow, T.Y.; Yu, M.; Lo, G.Q. A microring resonator photodetector for enhancement in L-band performance. Opt. Express 2014, 22, 26976–26984. [Google Scholar] [CrossRef] [PubMed]
- Hosseinifar, M.; Ahmadi, V.; Abaeiani, G. Design and optimization of high-performance microring-based uni-traveling carrier photodiode for WDM optical systems. Opt. Commun. 2012, 285, 2081–2084. [Google Scholar] [CrossRef]
- Schuler, S.; Muench, J.E.; Ruocco, A.; Balci, O.; van Thourhout, D.; Sorianello, V.; Romagnoli, M.; Watanabe, K.; Taniguchi, T.; Goykhman, I.; et al. High-responsivity graphene photodetectors integrated on silicon microring resonators. Nat. Commun. 2021, 12, 3733. [Google Scholar] [CrossRef]
- Ren, Y.; Van, V. Ultrawide-band silicon microring avalanche photodiode with linear photocurrent-wavelength response. Photonics Res. 2021, 9, 2303–2308. [Google Scholar] [CrossRef]
- Padmaraju, K.; Bergman, K. Resolving the thermal challenges for silicon microring resonator devices. Nanophotonics 2014, 3, 269–281. [Google Scholar] [CrossRef]
- Huang, C.; Fan, J.; Zhu, L. Dynamic nonlinear thermal optical effects in coupled ring resonators. AIP Adv. 2012, 2, 032131. [Google Scholar] [CrossRef] [Green Version]
- Xu, Q.; Lipson, M. Carrier-induced optical bistability in silicon ring resonators. Opt. Lett. 2006, 31, 341–343. [Google Scholar] [CrossRef] [Green Version]
- Wu, S.L.; Wun, J.M.; Chao, R.L.; Huang, J.J.; Wang, N.W.; Jan, Y.H.; Chen, H.S.; Ni, C.J.; Chang, H.S.; Chou, E.; et al. High-speed In 0.52 Al 0.48 As based avalanche photodiode with top-illuminated design for 100 Gb/s ER-4 system. J. Lightwave Technol. 2018, 36, 5505–5510. [Google Scholar] [CrossRef]
- Peng, Y.; Sun, K.; Shen, Y.; Beling, A.; Campbell, J.C. High-Power and High-Linearity Photodiodes at 1064 nm. J. Lightwave Technol. 2020, 38, 4850–4856. [Google Scholar] [CrossRef]
- Little, B.E.; Chu, S.T.; Haus, H.A.; Foresi, J.A.; Laine, J.P. Microring resonator channel dropping filters. J. Lightwave Technol. 1997, 15, 998–1005. [Google Scholar] [CrossRef]
- Zhang, L.; Li, Y.; Yang, J.Y.; Song, M.; Beausoleil, R.G.; Willner, A.E. Silicon-based microring resonator modulators for intensity modulation. IEEE J. Sel. Top. Quantum Electron. 2009, 16, 149–158. [Google Scholar] [CrossRef]
- Van, V. Optical Microring Resonators: Theory, Techniques, and Applications; CRC Press: Boca Raton, FL, USA, 2016. [Google Scholar]
- Barclay, P.E.; Srinivasan, K.; Painter, O. Nonlinear response of silicon photonic crystal microresonators excited via an integrated waveguide and fiber taper. Opt. Express 2005, 13, 801–820. [Google Scholar] [CrossRef] [Green Version]
- Isenberg, J.; Warta, W. Free carrier absorption in heavily doped silicon layers. Appl. Phys. Lett. 2004, 84, 2265–2267. [Google Scholar] [CrossRef]
- Suzuki, N. FDTD analysis of two-photon absorption and free-carrier absorption in Si high-index-contrast waveguides. J. Lightwave Technol. 2007, 25, 2495–2501. [Google Scholar] [CrossRef]
- Shen, Y.; Gaskins, J.; Xie, X.; Foley, B.M.; Cheaito, R.; Hopkins, P.E.; Campbell, J.C. Thermal analysis of high-power flip-chip-bonded photodiodes. J. Lightwave Technol. 2017, 35, 4242–4246. [Google Scholar] [CrossRef]
- Carmon, T.; Yang, L.; Vahala, K.J. Dynamical thermal behavior and thermal self-stability of microcavities. Opt. Express 2004, 12, 4742–4750. [Google Scholar] [CrossRef] [Green Version]
- Xu, D.X.; Delâge, A.; Verly, P.; Janz, S.; Wang, S.; Vachon, M.; Ma, P.; Lapointe, J.; Melati, D.; Cheben, P.; et al. Empirical model for the temperature dependence of silicon refractive index from O to C band based on waveguide measurements. Opt. Express 2019, 27, 27229–27241. [Google Scholar] [CrossRef]
- Yuan, Y.; Sorin, W.V.; Cheung, S.; Peng, Y.; Huang, Z.; Fiorentino, M.; Beausoleil, R.G. A 4 × 100 Gb/s DWDM Optical Link with all-Silicon Microring Transmitters and Receivers. In Proceedings of the Asia Communications and Photonics Conference, Shanghai, China, 24–27 October 2021. [Google Scholar]
- Dinu, M.; Quochi, F.; Garcia, H. Third-order nonlinearities in silicon at telecom wavelengths. Appl. Phys. Lett. 2003, 82, 2954–2956. [Google Scholar] [CrossRef]
- Mehta, N.; Sun, C.; Wade, M.; Stojanović, V. A differential optical receiver with monolithic split-microring photodetector. IEEE J. Solid-State Circuits 2019, 54, 2230–2242. [Google Scholar] [CrossRef]
- Zhu, H.; Goi, K.; Ogawa, K. All-Silicon waveguide photodetection for low-bias power monitoring and 20-km 28-Gb/s NRZ-OOK signal transmission. IEEE J. Sel. Top. Quantum Electron. 2017, 24, 1–7. [Google Scholar] [CrossRef]








| 1311.45 | 1311.25 | 1311.05 | 1310.85 | 1310.65 | |
|---|---|---|---|---|---|
| Ohmic heating (mW) | 1.85 | 1.54 | 1.12 | 0.84 | 0.52 | 
| Optical loss (mW) | 1.65 | 1.37 | 1 | 0.75 | 0.46 | 
| Simulated (K) | 12.1 | 9.8 | 7.1 | 5.2 | 3.1 | 
| Simulated (nm) | 0.78 | 0.63 | 0.46 | 0.33 | 0.2 | 
| Calculated (nm) | 0.8 | 0.64 | 0.47 | 0.33 | 0.19 | 
| Detuning (GHz) | 11.1 | 14.6 | 20.1 | 25.5 | 35.2 | 
| Publisher’s Note: MDPI stays neutral with regard to jurisdictional claims in published maps and institutional affiliations. | 
© 2022 by the authors. Licensee MDPI, Basel, Switzerland. This article is an open access article distributed under the terms and conditions of the Creative Commons Attribution (CC BY) license (https://creativecommons.org/licenses/by/4.0/).
Share and Cite
Peng, Y.; Sorin, W.V.; Cheung, S.; Yuan, Y.; Huang, Z.; Fiorentino, M.; Beausoleil, R.G. Small-Signal Analysis of All-Si Microring Resonator Photodiode. Electronics 2022, 11, 183. https://doi.org/10.3390/electronics11020183
Peng Y, Sorin WV, Cheung S, Yuan Y, Huang Z, Fiorentino M, Beausoleil RG. Small-Signal Analysis of All-Si Microring Resonator Photodiode. Electronics. 2022; 11(2):183. https://doi.org/10.3390/electronics11020183
Chicago/Turabian StylePeng, Yiwei, Wayne V. Sorin, Stanley Cheung, Yuan Yuan, Zhihong Huang, Marco Fiorentino, and Raymond G. Beausoleil. 2022. "Small-Signal Analysis of All-Si Microring Resonator Photodiode" Electronics 11, no. 2: 183. https://doi.org/10.3390/electronics11020183
APA StylePeng, Y., Sorin, W. V., Cheung, S., Yuan, Y., Huang, Z., Fiorentino, M., & Beausoleil, R. G. (2022). Small-Signal Analysis of All-Si Microring Resonator Photodiode. Electronics, 11(2), 183. https://doi.org/10.3390/electronics11020183
 
         
                                                




 
       