Counteracting Selfish Nodes Using Reputation Based System in Mobile Ad Hoc Networks
Abstract
:1. Introduction
1.1. Motivation
- How to detect malicious nodes that evade the detection process? Nodes that do not participate in route discovery (i.e., dropping route request packets) cannot be included in the path construction process; therefore, they are not recorded in any routing path; as a result, they are not acting as forwarders or contributors, rather always acting as the traffic sources, i.e., the network service consumers. Reputation-based systems monitor the packet forwarding behavior only while these nodes maliciously excluded themselves from the routing paths; hence, they go undetected [14,20].
- How to prevent nodes from exploiting reputation thresholds? As soon as a node gains substantial reputation value, it starts dropping packets again for a specific time, i.e., nodes can contribute less and consume more without being detected. These sorts of attackers are partial droppers.
1.2. Contributions
- Novel Reputation-based Framework: a simple reputation-based framework is designed, which uses the C2C ratio of each node in the network for selfish node detection and cooperation enforcement. Nodes failing to cooperate are detached from the network to save resources of other nodes with a good reputation.
- Performance against Attacker Types: the proposed scheme is investigated against two types of attacks, namely, malicious attacks and partial droppers or selfish attacks.
- Performance Evaluation: it is demonstrated that the proposed scheme outperforms the benchmark scheme in terms of NRL (normalized routing load), PDF (packet delivery fraction), and packet drop in the presence of malicious and selfish attacks. Furthermore, the scheme identifies the selfish nodes quickly and accurately as compared to the benchmark scheme. Moreover, it is also shown that the proposed scheme is scalable to large scale networks.
1.3. Paper Organization
2. Background and Literature Review
2.1. Reputation-Based Schemes
- To provide evidence to distinguish between supportive and uncooperative events;
- To inspire the helpful performance of a node in a network;
- If a node is uncooperative, it must be stopped from consuming services of other nodes, or enforce it for assistance or cooperation.
- Reputation considered through direct observations;
- Reputation information is received from one node concerning others;
- Functional reputations related to a certain function and the weight of the function depends on the priority or status of the function.
- NeighborWatch: is used to observe neighboring nodes using the watchdog mechanism to determine whether or not a node forwards packets for others;
- RouteRanker: maintains a rating record of adjacent nodes. Initially, a neutral rating is assigned to all the nodes and then increases or decreases according to the receipt of positive or negative events, respectively, received from the NeighborWatch component;
- Rank-Based Routing: this component is responsible for selecting a path having no selfish nodes according to the information generated by the NeighborWatch component;
- Malicious Traffic Rejection: rejects all packets from selfish nodes to stop service provision to selfish nodes from other nodes;
- Second Chance Mechanism: this component periodically gives a second chance to nodes previously declared as selfish. The second chance mechanism is based on the assumption that the node forwards packets, but due to some technical problems or a bad environment the node was unable to maintain its reputation ratings, for example, accidental link errors.
2.2. Credit Based Schemes
- Increased Cost: to secure credit management, these schemes require tamper-proof hardware for every node in the network, which may increase cost;
- Lack of Fairness: there is an unequal chance available to nodes for earning credit. Nodes at the middle of the network have a high chance of earning credit while nodes located at the boundaries have less or no chance to obtain credit;
- High Overhead: payment give-and-take may increase overhead.
3. Proposed Reputation-Based Scheme
3.1. Schemes Description
3.2. Design and Modules
3.2.1. DSR Agent (Route Discovery)
3.2.2. The Monitor (C2C Based Detection Mechanism)
- Monitoring by the Data Source:
| Algorithm 1. Reputation calculation for intermediate node (F) by source node (S) |
| 1. Initiate route discovery process |
| 2. Create the RREQ packet |
| 3. Broadcast the RREQ |
| 4. If receive the RREP from the neighbors then |
| 5. Send packet to the next hope, start the timer, and listen to it |
| 6. If overhear the same copy from the next hope then |
| 7. Update the contribution in the C2C table |
| 8. Else |
| 9. Update drop packets |
| 10. End if |
| 11. Else |
| 12. Go to step 2 |
| 13. End if |
| 14. Calculate reputation-based on C2C |
| 15. If reputation < threshold then |
| 16. Add next hope to selfish list and go to step 1 |
| 17. End if |
- Monitoring by Forwarders:
| Algorithm 2. Reputation calculation for sender node (S) by intermediate node (F) |
| 1. Receive packet |
| 2. If packet type == RREQ then |
| 3. If current node == destination then |
| 4. Send RREP |
| 5. else |
| 6. Add itself in the path and broadcast the packet |
| 7. End if |
| 8. Else packet type == data |
| 9. If source == new node then |
| 10. add its details to the C2C table |
| 11. Else check it in the selfish nodes list |
| 12. If available in the selfish list then |
| 13. Discard the packet |
| 14. Else update the consumption |
| 15. End if |
| 16. End if |
| 17. End if |
| 18. Calculate reputation-based on C2C |
| 19. If reputation < threshold then |
| 20. Add sender to the selfish list and discard the packet |
| 21. End if |
- Monitoring by Neighbors:
| Algorithm 3. Reputation calculation for sender node (S) and intermediate node (F) by neighbor node (M) |
| 1. If Overhear a packet from the sender then |
| 2. Cache a copy of this packet and listen to the forwarder |
| 3. If overhear a packet from the forwarder then |
| 4. compare this packet with the cached one |
| 5. If both are the same then |
| 6. Update consumption of the sender |
| 7. Contribution of the forwarder |
| 8. End if |
| 9. Else |
| 10. Update the dropped record of the forwarder |
| 11. End if |
| 12. End if |
| 13. Calculate reputation-based on C2C for both sender and forwarder |
3.2.3. The Reputation Module
3.2.4. The Path Manager
3.2.5. Selfish Node Isolation Unit
3.3. Computational Complexity of the Proposed Scheme
4. Results and Discussion
4.1. Simulation Setup
4.2. Performance Metrics
- Good throughput—indicates the throughput available to good or regular nodes. It determines the ratio between the numbers of the packets received at the destination to the number of packets sent by the sender node, as denoted in Equation (4):
- Evil throughput—determines the throughput offered to misbehaving nodes:
- Packet delivery fraction—the percentage between the number of packets originated by CBR sources and the number of packets received by CBR sinks at the destination;
- NRL—normalized routing load (NRL) is the fraction of packets communicated at the network layer to the CBR packets at the application layer by the receiver node;
- End-to-end delay—represents retransmission delay, queuing delay, buffering during route discovery, and propagation delay.
4.3. Attacker Types
4.4. Simulation Results
4.4.1. Effect of Area
- Performance in the presence of type-I attackers: The performance in terms of packet drops is given in Figure 2a. It can be seen that OCEAN reported small packet drops against small areas, however, as the area increases our scheme outperforms OCEAN because the benchmark scheme provides a second chance to selfish nodes to join the network. The end-to-end delay of both schemes is shown in Figure 2b. OCEAN reported less delay as compared to our scheme for all terrain sizes because OCEAN uses a rank-based routing mechanism. Figure 2c shows the evil throughput, in which our scheme outperforms the benchmark scheme and recoded low evil throughput. Figure 2d represents good throughput, almost a similar performance can be seen in terms of good throughput. NRL is depicted in Figure 2e; NRL of our scheme is less as compared to OCEAN. Figure 2f represents packet delivery fraction; our scheme produces a higher PDF than OCEAN.Figure 2. Performance of the proposed scheme with respect to different sizes of the area against type-I attackers: (a) drop packets vs. area, (b) delay vs. area, (c) evil throughput vs. area, (d) good throughput vs. area, (e) NRL vs. area, (f) PDF vs. area.Figure 2. Performance of the proposed scheme with respect to different sizes of the area against type-I attackers: (a) drop packets vs. area, (b) delay vs. area, (c) evil throughput vs. area, (d) good throughput vs. area, (e) NRL vs. area, (f) PDF vs. area.
- Performance in the presence of type-II attackers: Figure 3a shows the end-to-end delay, in the small area both schemes produce the same delay, but with an increase in area. OCEAN’s delay is going to decrease, because of previously stored routing information. Packet drop is shown in Figure 3b; it can be witnessed that OCEAN has a small packet drop because our scheme suffers from a hard/bad location problem, i.e., our scheme uses consumption to contribution ratio for reputation calculation, thus if a node is located at the boundary, then every time that node will appear as a source node and consequently that node consumption will be increasing, which will decrease a node’s reputation. Figure 3c represents evil throughput. With all area sizes, evil throughput is zero for both schemes because, during the route establishment phase, type-II attackers do not participate in RREQ. Good throughput is shown in Figure 3d; according to the results with large terrain size our scheme performs well in terms of good throughput as compared to OCEAN. Normalized routing load is presented in Figure 3e; it can be seen that up to 1000 m2 areas produce the same results; however, with large size area, OCEAN offered high NRL. PDF is depicted in Figure 3f; our scheme delivered more packets as compared to OCEAN.Figure 3. Performance of proposed scheme with respect to different sizes of the area against type-II attackers: (a) delay vs. area, (b) drop packets vs. area, (c) evil throughput vs. area, (d) good throughput vs. area, (e) NRL vs. area, (f) PDF vs. area.Figure 3. Performance of proposed scheme with respect to different sizes of the area against type-II attackers: (a) delay vs. area, (b) drop packets vs. area, (c) evil throughput vs. area, (d) good throughput vs. area, (e) NRL vs. area, (f) PDF vs. area.
4.4.2. Effect of Mobility
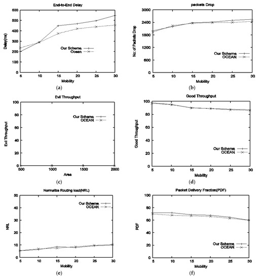
- Performance in the presence of type-I attackers: Figure 4a represents end-to-end delay; it can be seen that our scheme produces greater delay than OCEAN because OCEAN uses former information for route selection, i.e., OCEAN avoids paths through misbehavior nodes; however, our scheme assesses new neighbors from the start. This problem will be further investigated in our future work. The packet drop of both schemes is shown in Figure 4b; it can be observed that OCEAN drops fewer packets with low speed, but as mobility increases, OCEAN drops more packets as compared to our scheme. The reason behind the scene is the second-chance mechanism of OCEAN, as a malicious node joins the network, it again initiates packet dropping attack. Evil throughput is presented in Figure 4c; it can be seen that with low mobility, evil throughput of OCEAN is small, but with medium speed, both schemes are the same; however, with high-speed, evil throughput of our scheme decreases. Good throughput is shown in Figure 4d, which shows that our scheme provides high throughput to good nodes. Normalized routing load is shown in Figure 4e; it can be concluded that NRL of our scheme is less than OCEAN from low to high mobility. PDF is shown in Figure 4f; our scheme delivered more packets than OCEAN.Figure 4. Performance comparison in the presence of type-1 attackers with respect to different speeds of the nodes: (a) delay vs. mobility, (b) average drop packets vs. mobility, (c) evil throughput vs. mobility, (d) good throughput vs. mobility, (e) NRL vs. mobility, (f) PDF vs. mobility.Figure 4. Performance comparison in the presence of type-1 attackers with respect to different speeds of the nodes: (a) delay vs. mobility, (b) average drop packets vs. mobility, (c) evil throughput vs. mobility, (d) good throughput vs. mobility, (e) NRL vs. mobility, (f) PDF vs. mobility.
- Performance in the presence of type-II attackers: Effect of mobility in the presence of type-II attackers against different mobility on the performance of both schemes in terms of delay, packet drop, evil throughput, good throughput, normalized routing load and packet delivery fraction is presented in Figure 5a–f. Delay is given in Figure 5a; our scheme results in higher delay as compared to OCEAN. Figure 5b represents drop packets; it can be found that our scheme leads to a slightly greater packet drop because of a bad/hard location problem. The throughput available to evil nodes is presented in Figure 5c; a zero evil throughput of both schemes can be observed, because selfish attackers discard RREQ packets. Good throughput is shown in Figure 5d; our scheme provides more throughput to good nodes as compared to OCEAN. Figure 5e represents NRL; it can be observed that our scheme’s NRL is small compared to OCEAN. PDF is depicted in Figure 5f; our scheme performs well compared to OCEAN.
4.4.3. Effect of Malicious Attack
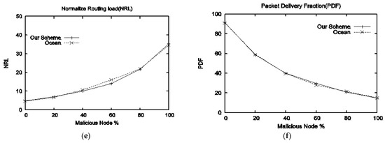
4.4.4. Effect of Selfish Attack
4.4.5. Detection Accuracy (Type-I Attack)
4.4.6. Detection Accuracy (Type-II Attack)
4.4.7. Scalability of the Proposed Scheme (Type-II Attack)
5. Conclusions and Future Work
Author Contributions
Funding
Conflicts of Interest
References
- Fu, X.; Fortino, G.; Pace, P.; Aloi, G.; Li, W. Environment-fusion multipath routing protocol for wireless sensor networks. Inf. Fusion 2020, 53, 4–19. [Google Scholar] [CrossRef]
- Fu, X.; Yang, Y. Modeling and analyzing cascading failures for Internet of Things. Inf. Sci. 2021, 545, 753–770. [Google Scholar] [CrossRef]
- Fayaz, M.; Rahman, Z.U.; Rahman, M.U.; Abbas, S. Effect Of Terrain Size And Pause Time On The Performance Of Reactive Routing Protocols. J. Teknol. 2016, 78. [Google Scholar] [CrossRef] [Green Version]
- Kaur, G.; Thakur, P. Routing Protocols in MANET: An Overview. In Proceedings of the 2019 2nd International Conference on Intelligent Computing, Instrumentation and Control Technologies (ICICICT), Kannur, India, 5–6 July 2019; Volume 1, pp. 935–941. [Google Scholar]
- Sakiz, F.; Sen, S. A survey of attacks and detection mechanisms on intelligent transportation systems: VANETs and IoV. Ad Hoc Netw. 2017, 61, 33–50. [Google Scholar] [CrossRef]
- Conti, M.; Giordano, S. Mobile ad hoc networking: Milestones, challenges, and new research directions. IEEE Commun. Mag. 2014, 52, 85–96. [Google Scholar] [CrossRef]
- Mehmood, G.; Khan, M.Z.; Abbas, S.; Faisal, M.; Rahman, H.U. An Energy-Efficient and Cooperative Fault- Tolerant Communication Approach for Wireless Body Area Network. IEEE Access 2020, 8, 69134–69147. [Google Scholar] [CrossRef]
- Wang, Y.; Fu, X.; Yang, Y.; Postolache, O. Analysis on Cascading Robustness of Energy-balanced Scale-free Wireless Sensor Networks. AEU-Int. J. Electron. Commun. 2021, 140, 153933. [Google Scholar] [CrossRef]
- Sangoleye, F.; Irtija, N.; Tsiropoulou, E.E. Data Acquisition in Social Internet of Things based on Contract Theory. In Proceedings of the ICC 2021-IEEE International Conference on Communications, Montreal, QC, Canada, 14–23 June 2021; pp. 1–6. [Google Scholar]
- Jim, L.E.; Islam, N.; Gregory, M.A. Enhanced MANET security using artificial immune system based danger theory to detect selfish nodes. Comput. Secur. 2021, 113, 102538. [Google Scholar] [CrossRef]
- Tripathy, B.K.; Jena, S.K.; Reddy, V.; Das, S.; Panda, S.K. A novel communication framework between MANET and WSN in IoT based smart environment. Int. J. Inf. Technol. 2021, 13, 921–931. [Google Scholar] [CrossRef]
- Bounouni, M.; Bouallouche-Medjkoune, L. Acknowledgment-based punishment and stimulation scheme for mobile ad hoc network. J. Supercomput. 2018, 74, 5373–5398. [Google Scholar] [CrossRef]
- Zhang, W.; Zhu, S.; Tang, J.; Xiong, N. A novel trust management scheme based on Dempster–Shafer evidence theory for malicious nodes detection in wireless sensor networks. J. Supercomput. 2017, 74, 1779–1801. [Google Scholar] [CrossRef]
- Sangi, A.R.; Liu, J.; Alkatheiri, M.S.; Anamalamudi, S. Secure opinion sharing for reputation-based systems in mobile ad hoc networks. Meas. Control 2020, 53, 748–756. [Google Scholar] [CrossRef]
- Nobahary, S.; Garakani, H.G.; Khademzadeh, A.; Rahmani, A.M. Selfish node detection based on hierarchical game theory in IoT. EURASIP J. Wirel. Commun. Netw. 2019, 2019, 255. [Google Scholar] [CrossRef]
- Osseiran, O.E.A.; Song, J.; Monserrat, J.F. Internet of Things. IEEE Commun. Stand. Mag. 2017, 1, 84. [Google Scholar] [CrossRef]
- Abawajy, J.H.; Hassan, M.M. Federated Internet of Things and Cloud Computing Pervasive Patient Health Monitoring System. IEEE Commun. Mag. 2017, 55, 48–53. [Google Scholar] [CrossRef]
- Abbas, S. A Layered Security Approach for Cooperation Enforcement in MANETs; Liverpool John Moores University: Liverpool, UK, 2011. [Google Scholar]
- Buttyán, L.; Hubaux, J.-P. Stimulating Cooperation in Self-Organizing Mobile Ad Hoc Networks. Mob. Netw. Appl. 2003, 8, 579–592. [Google Scholar] [CrossRef]
- Abbas, S.; Merabti, M.; Llewellyn-Jones, D. On the evaluation of reputation and trust-based schemes in mobile ad hoc networks. Secur. Commun. Netw. 2015, 8, 4041–4052. [Google Scholar] [CrossRef] [Green Version]
- Thorat, S.A.; Kulkarni, P.J. Opportunistic Routing in Presence of Selfish Nodes for MANET. Wirel. Pers. Commun. 2015, 82, 689–708. [Google Scholar] [CrossRef]
- Figueiredo, D.R.; Garetto, M.; Towsley, D. Exploiting mobility in ad-hoc wireless networks with incentives. Relatório Técnico 2004, 4–66. Available online: https://web.cs.umass.edu/publication/docs/2004/UM-CS-2004-066.pdf (accessed on 29 October 2021).
- Marti, S.; Giuli, T.J.; Lai, K.; Baker, M. Mitigating routing misbehavior in mobile ad hoc networks. In Proceedings of the 6th Annual International Conference on Mobile Computing and Networking-MobiCom ‘00, ACM, Boston, MA, USA, 6–11 August 2000; pp. 255–265. [Google Scholar]
- Buchegger, S.; le Boudec, J.-Y. Performance analysis of the CONFIDANT protocol. In Proceedings of the 3rd ACM Interna-tional Symposium on Mobile Ad Hoc Networking & Computing, Lausanne, Switzerland, 9–11 June 2002; pp. 226–236. [Google Scholar]
- Michiardi, P.; Molva, R. Core: A Collaborative Reputation Mechanism to Enforce Node Cooperation in Mobile Ad Hoc Networks. In Advanced Communications and Multimedia Security; Springer: Berlin/Heidelberg, Germany, 2002; pp. 107–121. [Google Scholar]
- Hu, J.; Burmester, M. LARS: A locally aware reputation system for mobile ad hoc networks. In Proceedings of the 44th Annual Southeast Regional Conference, Melbourne, FL, USA, 10–12 March 2006; pp. 119–123. [Google Scholar]
- Bansal, S.; Baker, M. Observation-based cooperation enforcement in ad hoc networks. arXiv 2003, arXiv:cs/0307012. [Google Scholar]
- Buttyan, L.; Hubaux, J.-P. Nuglets: A Virtual Currency to Stimulate Cooperation in Self-Organized Mobile Ad Hoc Networks; Swiss Federal Institute of Technology: Lausanne, Switzerland, 2001. [Google Scholar]
- Zhong, S.; Chen, J.; Yang, Y. Sprite: A simple, cheat-proof, credit-based system for mobile ad-hoc networks. In Proceedings of the IEEE INFOCOM Twenty-Second Annual Joint Conference of the IEEE Computer and Communications Societies (IEEE Cat. No.03CH37428), San Francisco, CA, USA, 30 March–3 April 2003; pp. 1987–1997. [Google Scholar] [CrossRef] [Green Version]
- Djahel, S.; Nait-Abdesselam, F.; Zhang, Z. Mitigating Packet Dropping Problem in Mobile Ad Hoc Networks: Proposals and Challenges. IEEE Commun. Surv. Tutor. 2010, 13, 658–672. [Google Scholar] [CrossRef]
- Abbas, S.; Merabti, M.; Llewellyn-Jones, D. The effect of direct interactions on reputation based schemes in mobile ad hoc networks. In Proceedings of the 2011 IEEE Consumer Communications and Networking Conference (CCNC), Las Vegas, NV, USA, 9–12 January 2011; pp. 297–302. [Google Scholar]
- Buchegger, S.; le Boudec, J. The effect of rumor spreading in reputation systems for mobile ad-hoc networks. In Proceedings of the WiOpt’03: Modeling and Optimization in Mobile, Ad Hoc and Wireless Networks, Sophia-Antipolis, France, 3–5 March 2003. [Google Scholar]
- Jesudoss, A.; Raja, S.K.; Sulaiman, A. Stimulating truth-telling and cooperation among nodes in VANETs through payment and punishment scheme. Ad Hoc Netw. 2015, 24, 250–263. [Google Scholar] [CrossRef]
- Mani, P.; Kamalakkannan, P. Mitigating selfish behavior in mobile ad hoc networks: A survey. Int. J. Comput. Appl. 2013, 73, 1–7. [Google Scholar]
- Jakobsson, M.; Hubaux, J.-P.; Buttyán, L. A Micro-Payment Scheme Encouraging Collaboration in Multi-hop Cellular Networks. In Lecture Notes in Computer Science; Springer: Berlin/Heidelberg, Germany, 2003; pp. 15–33. [Google Scholar]
- Ben Salem, N.; Buttyan, L.; Hubaux, J.-P.; Jakobsson, M. Node cooperation in hybrid ad hoc networks. IEEE Trans. Mob. Comput. 2006, 5, 365–376. [Google Scholar] [CrossRef] [Green Version]
- Mahmoud, M.E.; Shen, X. An Integrated Stimulation and Punishment Mechanism for Thwarting Packet Dropping Attack in Multihop Wireless Networks. IEEE Trans. Veh. Technol. 2011, 60, 3947–3962. [Google Scholar] [CrossRef] [Green Version]
- Mahmoud, M.M.E.A.; Shen, X. FESCIM: Fair, Efficient, and Secure Cooperation Incentive Mechanism for Multihop Cellular Networks. IEEE Trans. Mob. Comput. 2011, 11, 753–766. [Google Scholar] [CrossRef] [Green Version]
- Samian, N.; Zukarnain, Z.A.; Seah, W.K.; Abdullah, A.; Hanapi, Z.M. Cooperation stimulation mechanisms for wireless multihop networks: A survey. J. Netw. Comput. Appl. 2015, 54, 88–106. [Google Scholar] [CrossRef]
- Abdel-Fattah, F.; Farhan, K.A.; Al-Tarawneh, F.H.; AlTamimi, F. Security Challenges and Attacks in Dynamic Mobile Ad Hoc Networks MANETs. In Proceedings of the 2019 IEEE Jordan International Joint Conference on Electrical Engineering and Information Technology (JEEIT), Amman, Jordan, 9–11 April 2019; pp. 28–33. [Google Scholar]
- Abbas, S.; Merabti, M.; Llewellyn-Jones, D. Deterring whitewashing attacks in reputation based schemes for mobile ad hoc networks. In Proceedings of the 2010 IFIP Wireless Days, Venice, Italy, 20–22 October 2010; pp. 1–6. [Google Scholar]
- Ourouss, K.; Naja, N.; Jamali, A. Defending Against Smart Grayhole Attack Within MANETs: A Reputation-Based Ant Colony Optimization Approach for Secure Route Discovery in DSR Protocol. Wirel. Pers. Commun. 2021, 116, 207–226. [Google Scholar] [CrossRef]
- M. Ponnusamy, Detection of Selfish Nodes Through Reputation Model In Mobile Adhoc Network-MANET. Turk. J. Comput. Math. Educ. 2021, 12, 2404–2410. [Google Scholar]
- Mehmood, G.; Khan, M.S.; Waheed, A.; Zareei, M.; Fayaz, M.; Sadad, T.; Kama, N.; Azmi, A. An Efficient and Secure Session Key Management Scheme in Wireless Sensor Network. Complex 2021, 2021, 6577492. [Google Scholar] [CrossRef]









| Scheme | Reputation Based | Credit Based | Features | Limitations |
|---|---|---|---|---|
| Marti et al. [23] | √ | Encourage good nodes | No punishing mechanism for selfish nodes | |
| Buchegger et al. [24] | √ | Punish selfish nodes | False alarm messages | |
| Michiardi et al. [25] | √ | Punish selfish nodes | Second chance mechanism | |
| Jiangyi Hu et al. [26] | √ | Local reputation information | False accusation problem | |
| Bansal et al. [27] | √ | Direct reputation mechanism | Second chance mechanism | |
| Buttyan et al. [28] | √ | Trading among nodes | Wastage of nuglets | |
| Zhong et al. [29] | √ | Centralized credit management | Temper proof hardware, fairness problems |
| Parameter | Value |
|---|---|
| Area | 500, 1000, 1500, 2000 m2 |
| Pause Time | 10, 20, 30, 40, 50, 60 s |
| Maximum Speed | 5, 10, 15, 20, 25, 30 m/s |
| Number of Nodes | 50 |
| Number of Connections | 30 |
| Application | CBR |
| Packet Size | 64 B |
| Simulation Time | 100, 200, 300, 400, 500, 600 s |
| Mobility Model | Random Waypoint Model |
| Selfish Population | 0% to 100% |
Publisher’s Note: MDPI stays neutral with regard to jurisdictional claims in published maps and institutional affiliations. |
© 2022 by the authors. Licensee MDPI, Basel, Switzerland. This article is an open access article distributed under the terms and conditions of the Creative Commons Attribution (CC BY) license (https://creativecommons.org/licenses/by/4.0/).
Share and Cite
Fayaz, M.; Mehmood, G.; Khan, A.; Abbas, S.; Fayaz, M.; Gwak, J. Counteracting Selfish Nodes Using Reputation Based System in Mobile Ad Hoc Networks. Electronics 2022, 11, 185. https://doi.org/10.3390/electronics11020185
Fayaz M, Mehmood G, Khan A, Abbas S, Fayaz M, Gwak J. Counteracting Selfish Nodes Using Reputation Based System in Mobile Ad Hoc Networks. Electronics. 2022; 11(2):185. https://doi.org/10.3390/electronics11020185
Chicago/Turabian StyleFayaz, Muhammad, Gulzar Mehmood, Ajab Khan, Sohail Abbas, Muhammad Fayaz, and Jeonghwan Gwak. 2022. "Counteracting Selfish Nodes Using Reputation Based System in Mobile Ad Hoc Networks" Electronics 11, no. 2: 185. https://doi.org/10.3390/electronics11020185
APA StyleFayaz, M., Mehmood, G., Khan, A., Abbas, S., Fayaz, M., & Gwak, J. (2022). Counteracting Selfish Nodes Using Reputation Based System in Mobile Ad Hoc Networks. Electronics, 11(2), 185. https://doi.org/10.3390/electronics11020185



