Intelligent Contact Force Regulation of Pantograph–Catenary Based on Novel Type-Reduction Technology
Abstract
:1. Introduction
2. A Brief Description of the PCS Mathematical Model and Problem Formulation
3. Intelligent Controller Design
3.1. Training Algorithm for IT2AFNNI
3.2. Training Algorithm for IT2AFLC
3.3. Main Results
4. Simulation Results
- (1)
- Set average by
- (2)
- Determine weights and then match firing strengths of rules
- (3)
- Compute all possible combinations
- (4)
- Compute
- (5)
- Compute crisp output, uplift force
5. Conclusions
Author Contributions
Funding
Data Availability Statement
Conflicts of Interest
References
- Song, Y.; Liu, Z.; Rønnquist, A.; Nåvik, P.; Liu, Z. Contact Wire Irregularity Stochastics and Effect on High-Speed Railway Pantograph–Catenary Interactions. IEEE Trans. Instrum. Meas. 2020, 69, 8196–8206. [Google Scholar] [CrossRef]
- Song, Y.; Wang, Z.; Liu, Z.; Wang, R. A spatial coupling model to study dynamic performance of pantograph-catenary with vehicle-track excitation. Mech. Syst. Signal Process. 2021, 151, 107336. [Google Scholar] [CrossRef]
- Zhang, W.; Zou, D.; Tan, M.; Zhou, N.; Li, R.; Mei, G. Review of pantograph and catenary interaction. Front. Mech. Eng. 2018, 13, 311–322. [Google Scholar] [CrossRef]
- Bruni, S.; Ambrosio, J.; Carnicero, A.; Cho, Y.H.; Finner, L.; Ikeda, M.; Kwon, S.Y.; Massat, J.-P.; Stichel, S.; Tur, M.; et al. The results of the pantograph–catenary interaction benchmark. Veh. Syst. Dyn. 2015, 53, 412–435. [Google Scholar] [CrossRef]
- Bruni, S.; Bucca, G.; Carnevale, M.; Collina, A.; Facchinetti, A. Pantograph–catenary interaction: Recent achievements and future research challenges. Int. J. Rail Transp. 2018, 6, 57–82. [Google Scholar] [CrossRef]
- Zhai, W.M.; Cai, C.B. Effect of Locomotive Vibrations on Pantograph-Catenary System Dynamics. Veh. Syst. Dyn. 1998, 29, 47–58. [Google Scholar] [CrossRef]
- Xin, T.; Roberts, C.; Weston, P.; Stewart, E. Condition monitoring of railway pantographs to achieve fault detection and fault diagnosis. Proc. Inst. Mech. Eng. Part F J. Rail Rapid Transit 2020, 234, 289–300. [Google Scholar] [CrossRef]
- Wang, J.; Mei, G. Effect of Pantograph’s Main Structure on the Contact Quality in High-Speed Railway. Shock. Vib. 2021, 2021, 4037999. [Google Scholar] [CrossRef]
- Wu, G.; Wu, J.; Wei, W.; Zhou, Y.; Yang, Z.; Gao, G. Characteristics of the Sliding Electric Contact of Pantograph/Contact Wire Systems in Electric Railways. Energies 2018, 11, 17. [Google Scholar] [CrossRef] [Green Version]
- Shen, Y.; Pan, X.; Chang, L. Online Intelligent Perception of Pantograph and Catenary System Status Based on Parameter Adaptation. Appl. Sci. 2021, 11, 1948. [Google Scholar] [CrossRef]
- Zhang, D.; Gao, S.; Yu, L.; Kang, G.; Zhan, D.; Wei, X. A Robust Pantograph–Catenary Interaction Condition Monitoring Method Based on Deep Convolutional Network. IEEE Trans. Instrum. Meas. 2020, 69, 1920–1929. [Google Scholar] [CrossRef]
- Wu, T.X.; Brennan, M.J. Active vibration control of a railway pantograph. Proc. Inst. Mech. Eng. Part F J. Rail Rapid Transit 1997, 211, 117–130. [Google Scholar] [CrossRef] [Green Version]
- Liu, Z.; Liu, Y.; Zhou, N.; Zou, D.; Tu, H. Backstepping Controller Design for Pantograph-Catenary System. IOP Conf. Ser. Mater. Sci. Eng. 2018, 428, 012045. [Google Scholar] [CrossRef] [Green Version]
- Ioan Chiriac, A.; Constantin Olteanu, S.; Popescu, D. Model Predictive Control Approach for a Pantograph-Catenary System (PAC) Described by a Transfer Function Model. In Proceedings of the 2020 24th International Conference on System Theory, Control and Computing (ICSTCC), Sinaia, Romania, 8–10 October 2020; pp. 733–738. [Google Scholar]
- Shudong, W.; Jingbo, G.; Guosheng, G. Research of the active control for high-speed train pantograph. In Proceedings of the 2008 IEEE Conference on Cybernetics and Intelligent Systems, Chengdu, China, 21–24 September 2008; pp. 749–753. [Google Scholar]
- Lin, T.-C.; Li, C.-Y.; Chen, P.-F.; Chen, W.-K.; Dey, R.; Balas, M.M.; Olariu, T.; Wong, W.-S. Identifier based intelligent blood glucose concentration regulation for type 1 diabetic patients: An adaptive fuzzy approach. J. Intell. Fuzzy Syst. 2020, 38, 6175–6184. [Google Scholar] [CrossRef]
- Farhan, M.F.; Shukor, N.S.A.; Ahmad, M.A.; Suid, M.H.; Ghazali, M.R.; Jusof, M.F.M. A simplify fuzzy logic controller design based safe experimentation dynamics for pantograph-catenary system. Indones. J. Electr. Eng. Comput. Sci. 2019, 14, 903–911. [Google Scholar] [CrossRef]
- Lin, T.-C.; Yeh, J.-L.; Kuo, C.-H.; Lin, Y.-C.; Balas, V.E. Adaptive fuzzy sliding mode active vibration control for rail vehicle pantograph. In Proceedings of the 2016 IEEE International Conference on Fuzzy Systems (FUZZ-IEEE), Vancouver, BC, Canada, 24–29 July 2016; pp. 373–379. [Google Scholar]
- Karaköse, E.; Gençoğlu, M.T. Adaptive fuzzy control approach for dynamic pantograph-catenary interaction. In Proceedings of the 15th International Conference MECHATRONIKA, Prague, Czech Republic, 5–7 December 2012; pp. 1–5. [Google Scholar]
- Lin, T.-C.; Chen, C.-L. Uncertain nonlinear time delay systems fast and large disturbance rejection based on adaptive interval type-2 fuzzy PI control. In Proceedings of the 2014 IEEE International Conference on Fuzzy Systems (FUZZ-IEEE), Beijing, China, 6–11 July 2014; pp. 647–653. [Google Scholar]
- Torshizi, A.D.; Zarandi, M.H.F.; Zakeri, H. On type-reduction of type-2 fuzzy sets: A review. Appl. Soft Comput. 2015, 27, 614–627. [Google Scholar] [CrossRef]
- Wu, D. Two Differences between Interval Type-2 and Type-1 Fuzzy Logic Controllers: Adaptiveness and Novelty. In Advances in Type-2 Fuzzy Sets and Systems: Theory and Applications; Sadeghian, A., Mendel, J.M., Tahayori, H., Eds.; Studies in Fuzziness and Soft Computing; Springer: New York, NY, USA, 2013; pp. 33–48. ISBN 978-1-4614-6666-6. [Google Scholar]
- Wu, H.; Mendel, J.M. Uncertainty bounds and their use in the design of interval type-2 fuzzy logic systems. IEEE Trans. Fuzzy Syst. 2002, 10, 622–639. [Google Scholar] [CrossRef] [Green Version]
- Mendel, J.M.; Liu, X. Simplified Interval Type-2 Fuzzy Logic Systems. IEEE Trans. Fuzzy Syst. 2013, 21, 1056–1069. [Google Scholar] [CrossRef]
- Begian, M.B.; Melek, W.W.; Mendel, J.M. Stability analysis of type-2 fuzzy systems. In Proceedings of the 2008 IEEE International Conference on Fuzzy Systems (IEEE World Congress on Computational Intelligence), Hong Kong, China, 1–6 June 2008; pp. 947–953. [Google Scholar]
- Moradi Zirkohi, M.; Lin, T.-C. An efficient non-iterative method for computing the centroid of an interval type-2 fuzzy set. J. Intell. Fuzzy Syst. 2021, 41, 2879–2889. [Google Scholar] [CrossRef]
- Rachid, A. Pantograph catenary control and observation using the LMI approach. In Proceedings of the 2011 50th IEEE Conference on Decision and Control and European Control Conference, Orlando, FL, USA, 12–15 December 2011; pp. 2287–2292. [Google Scholar]
- Lin, Y.-C.; Shieh, N.-C.; Liu, V.-T. Optimal control for rail vehicle pantograph systems with actuator delays. IET Control Theory Appl. 2015, 9, 1917–1926. [Google Scholar] [CrossRef]
- Kuo, C.-H. Fuzzy Sliding Mode Active Vibration Control for Tram-Train Pantograph. Master’s Thesis, Feng Chia University, Taiwan, China, 2016. [Google Scholar]
- Lin, T.-C.; Lin, Y.-C.; Du, Z.; Chen, C.-L. Adaptive Interval Type-2 Fuzzy PI Control for Uncertain Nonlinear Time Delay Systems Fast and Large Disturbance Rejection. Int. J. Comput. Intell. Control 2021, 13, 24. [Google Scholar]
- Lin, T.-C.; Kuo, C.-H.; Balas, V.E. Real-time recurrent interval type-2 fuzzy-neural system identification using uncertainty bounds. In Proceedings of the 2012 IEEE International Conference on Fuzzy Systems, Brisbane, Australia, 10–15 June 2012; pp. 1–8. [Google Scholar]
- Wu, D.; Nie, M. Comparison and practical implementation of type-reduction algorithms for type-2 fuzzy sets and systems. In Proceedings of the 2011 IEEE International Conference on Fuzzy Systems (FUZZ-IEEE 2011), Taiwan, China, 27–30 June 2011; pp. 2131–2138. [Google Scholar]
- Phan, D.; Bab-Hadiashar, A.; Fayyazi, M.; Hoseinnezhad, R.; Jazar, R.N.; Khayyam, H. Interval Type 2 Fuzzy Logic Control for Energy Management of Hybrid Electric Autonomous Vehicles. IEEE Trans. Intell. Veh. 2021, 6, 210–220. [Google Scholar] [CrossRef]
- Hassanzadeh, H.R.; Akbarzadeh-T, M.-R.; Akbarzadeh, A.; Rezaei, A. An interval-valued fuzzy controller for complex dynamical systems with application to a 3-PSP parallel robot. Fuzzy Sets Syst. 2014, 235, 83–100. [Google Scholar] [CrossRef]
- Gordan, H.; Zare, A.; Balochian, S. A Simplified Architecture of Type-2 TSK Fuzzy Logic Controller for Fuzzy Model of Double Inverted Pendulums. Theory Appl. Math. Comput. Sci. 2012, 2, 20–30. [Google Scholar]
- Lin, T.-C.; Balas, V.E.; Lee, T.-Y. Synchronization of uncertain fractional order chaotic systems via adaptive interval type-2 fuzzy sliding mode control. In Proceedings of the 2011 IEEE International Conference on Fuzzy Systems (FUZZ-IEEE 2011), Taiwan, China, 27–30 June 2011; pp. 2882–2889. [Google Scholar]













| Parameters | Displacement | Speed | Mass | Viscous Damping Coefficient | Stiffness of Suspension |
|---|---|---|---|---|---|
| Pantograph head | |||||
| Pantograph frame | ![]() | ||||
| Pantograph shoe | ![]() | ||||
| Catenary | ![]() | ||||
| , | , |
| Match the firing strength with their respective weights | Match the firing strength with their respective weights |
| , , | , , |
| , | , |
| Output | |
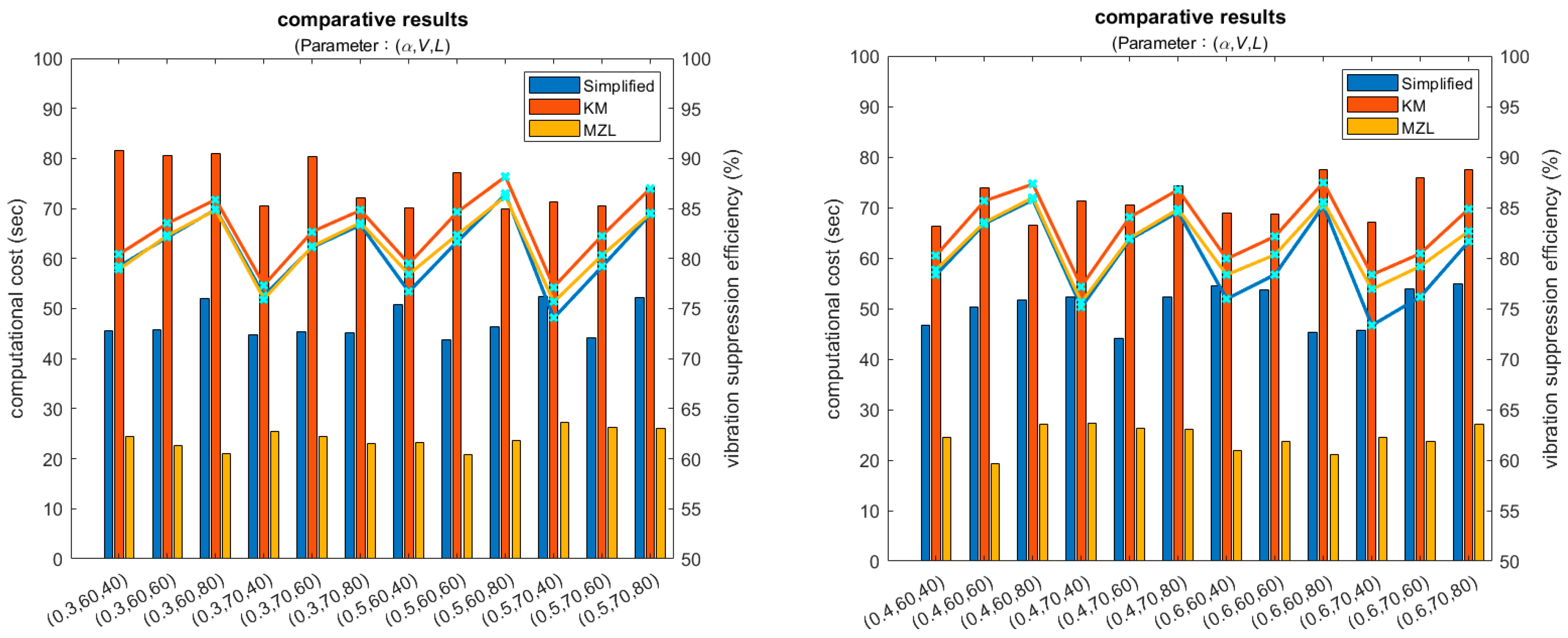
| Time- Varying Stiffness | 0.3 | 0.5 | |||||||||||
|---|---|---|---|---|---|---|---|---|---|---|---|---|---|
| 60 | 70 | 60 | 70 | ||||||||||
| 40 | 60 | 80 | 40 | 60 | 80 | 40 | 60 | 80 | 40 | 60 | 80 | ||
| Simplified | CC (sec) | 45.58 | 45.81 | 52.01 | 44.86 | 45.38 | 45.25 | 50.74 | 43.68 | 46.43 | 52.36 | 44.11 | 52.29 |
| VSE (%) | 79.22 | 82.13 | 84.92 | 76.30 | 81.14 | 83.35 | 76.68 | 81.69 | 86.42 | 74.06 | 79.19 | 84.43 | |
| KM | CC (sec) | 81.60 | 80.59 | 81.05 | 70.58 | 80.42 | 72.11 | 70.05 | 77.22 | 69.91 | 71.38 | 70.48 | 74.40 |
| VSE (%) | 80.44 | 83.51 | 85.90 | 77.36 | 82.69 | 84.82 | 79.48 | 84.63 | 88.19 | 77.16 | 82.29 | 87.00 | |
| MZL | CC (sec) | 24.35 | 22.54 | 21.06 | 25.52 | 24.43 | 22.96 | 23.34 | 20.84 | 23.55 | 27.28 | 26.31 | 26.08 |
| VSE (%) | 78.93 | 82.31 | 84.85 | 75.95 | 81.22 | 83.59 | 78.43 | 82.38 | 86.21 | 75.66 | 80.33 | 84.51 | |
| Time- Varying Stiffness | 0.4 | 0.6 | |||||||||||
|---|---|---|---|---|---|---|---|---|---|---|---|---|---|
| 60 | 70 | 60 | 70 | ||||||||||
| 40 | 60 | 80 | 40 | 60 | 80 | 40 | 60 | 80 | 40 | 60 | 80 | ||
| Simplified | CC (sec) | 46.72 | 50.39 | 51.71 | 52.36 | 44.11 | 52.29 | 54.49 | 53.71 | 45.24 | 45.67 | 53.94 | 54.99 |
| VSE (%) | 78.34 | 83.40 | 85.77 | 75.13 | 81.84 | 84.56 | 75.95 | 78.36 | 85.18 | 73.33 | 76.16 | 81.62 | |
| KM | CC (sec) | 66.30 | 73.87 | 66.45 | 71.38 | 70.48 | 74.40 | 68.82 | 68.64 | 77.52 | 67.03 | 75.86 | 77.45 |
| VSE (%) | 80.26 | 85.65 | 87.32 | 77.19 | 84.04 | 86.76 | 79.92 | 82.14 | 87.48 | 78.34 | 80.44 | 84.86 | |
| MZL | CC (sec) | 24.50 | 19.21 | 27.16 | 27.28 | 26.31 | 26.08 | 21.81 | 23.67 | 21.20 | 24.50 | 23.67 | 27.16 |
| VSE (%) | 78.84 | 83.53 | 85.98 | 75.62 | 81.99 | 84.84 | 78.34 | 80.33 | 85.56 | 76.91 | 79.18 | 82.65 | |
| Item | Contact Force | Variance (%) | Variance (%) | ||
|---|---|---|---|---|---|
| Nominal | 99.9120 | 0 | 76.9096 | 0 | |
| Viscous damping coefficient | +20% | 99.9202 | 0.0082 | 76.6405 | 0.3499 |
| −20% | 99.9106 | 0.0014 | 76.9648 | 0.0718 | |
| Stiffness of suspension | +20% | 99.9105 | 0.0015 | 76.0437 | 1.1259 |
| −20% | 99.9155 | 0.0035 | 76.7688 | 0.1831 | |
Publisher’s Note: MDPI stays neutral with regard to jurisdictional claims in published maps and institutional affiliations. |
© 2022 by the authors. Licensee MDPI, Basel, Switzerland. This article is an open access article distributed under the terms and conditions of the Creative Commons Attribution (CC BY) license (https://creativecommons.org/licenses/by/4.0/).
Share and Cite
Lin, T.-C.; Sun, C.-W.; Lin, Y.-C.; Zirkohi, M.M. Intelligent Contact Force Regulation of Pantograph–Catenary Based on Novel Type-Reduction Technology. Electronics 2022, 11, 132. https://doi.org/10.3390/electronics11010132
Lin T-C, Sun C-W, Lin Y-C, Zirkohi MM. Intelligent Contact Force Regulation of Pantograph–Catenary Based on Novel Type-Reduction Technology. Electronics. 2022; 11(1):132. https://doi.org/10.3390/electronics11010132
Chicago/Turabian StyleLin, Tsung-Chih, Chien-Wen Sun, Yu-Chen Lin, and Majid Moradi Zirkohi. 2022. "Intelligent Contact Force Regulation of Pantograph–Catenary Based on Novel Type-Reduction Technology" Electronics 11, no. 1: 132. https://doi.org/10.3390/electronics11010132
APA StyleLin, T.-C., Sun, C.-W., Lin, Y.-C., & Zirkohi, M. M. (2022). Intelligent Contact Force Regulation of Pantograph–Catenary Based on Novel Type-Reduction Technology. Electronics, 11(1), 132. https://doi.org/10.3390/electronics11010132




