Next Article in Journal
Integrated Comfort-Adaptive Cruise and Semi-Active Suspension Control for an Autonomous Vehicle: An LPV Approach
Previous Article in Journal
PD-Type Iterative Learning Control with Adaptive Learning Gains for High-Performance Load Torque Tracking of Electric Dynamic Load Simulator
 
 
Font Type:
Arial Georgia Verdana
Font Size:
Aa Aa Aa
Line Spacing:
Column Width:
Background:
Review

Modulation Methods for Direct and Indirect Matrix Converters: A Review

by
Diogo Varajão
1,* and
Rui Esteves Araújo
2
1
Infineon Technologies AG, Am Campeon 1-15, 85579 Neubiberg, Germany
2
INESC TEC, Faculty of Engineering, University of Porto, 4200-465 Porto, Portugal
*
Author to whom correspondence should be addressed.
Electronics 2021, 10(7), 812; https://doi.org/10.3390/electronics10070812
Submission received: 5 March 2021 / Revised: 21 March 2021 / Accepted: 25 March 2021 / Published: 30 March 2021
(This article belongs to the Section Power Electronics)

Abstract

Matrix converters (MCs) allow the implementation of single-stage AC/AC power conversion systems (PCS) with inherent bidirectional power flow capability. By avoiding the typical DC-link capacitor, MCs have the potential to achieve higher power density with a more reliable operation and less maintenance when compared with conventional two-stage AC/DC/AC PCS. For these reasons, matrix converters have been receiving significant attention from the academic sector but have not yet been implemented on a large industrial scale. This article reviews the Direct Matrix Converter (DMC) and the Indirect Matrix Converter (IMC) along with the respective actual and most important modulation methods. Simulation results are provided to validate the theoretical analysis and to get a deep insight about the implementation of space vector modulation (SVM) and respective switching pattern generator.

1. Introduction

Matrix converters (MCs) are one of the most attractive families of converters in the power electronics field [1]. The matrix converter is a set of controlled bidirectional power switches that connects a voltage source directly to a load without using any DC-link or other energy storage element [2], and therefore it is called the “all-silicon” solution. The development of this converter started in 1980 with the research of Venturini and Alesina [3,4]. They were the first to use the label “matrix converter” and introduced the circuit arrangement including a detailed mathematical model to describe the low-frequency operation of the converter [5]. An extensive review of the milestones in research on matrix converters is presented in [6]. This converter has some very attractive characteristics [5,7]:
  • high-power dense circuit,
  • frequency decoupling between AC input and output voltage,
  • input and output currents with sinusoidal waveform,
  • full regenerative operation, and
  • adjustable input power factor.
These characteristics are the reason for the present tremendous interest in matrix converters, as they allow obtaining a compact solution for a four-quadrant frequency converter [8,9,10]. As concluded in [11,12,13], the MC can achieve higher power densities when compared with equivalent two-stage power conversion solutions. Thus, it is expected that the application areas of the matrix converter are to be expanded, given its advantages of energy saving and size reduction [14]. Recently, several isolated AC-DC matrix converters [15] have been proposed for photovoltaic microinverters [16] and string inverters [17], battery energy storage systems (BESS) [10], on-board chargers (OBC) for electric vehicles (EVs) with vehicle-to-grid (V2G) functionality [18], power factor correction (PFC) rectifier for data centers and telecommunication equipment [19], and uninterruptible power supply (UPS) [20]. However, the focus of this article will be on the non-isolated AC-AC matrix converter topologies and respective modulations.
Since the 1980s, several modulation methods were developed to control the matrix converter, also known as the Direct Matrix Converter (DMC). Therefore, in this work the Matrix Converter and the Direct Matrix Converter designations will be used indistinctly. More recently, the Indirect Matrix Converter (IMC) has been gaining recognition since maintaining the same input–output performance of the conventional matrix converter but with a simpler topology [9]. Figure 1 shows the landscaping of the main force-commutated three-phase AC-AC converters [2], where the DMC and the IMC are obviously included.
The world’s first commercial matrix converter was introduced in 2005 by Yaskawa, the Japanese drive manufacturer, with the product label “Varispeed AC” [6]. The AC7 MC has two voltage classes ( 230 V and 480 V ) and was made available in power levels ranging from 9 to 114 k V A [21]. The DMC topology is realized with Fuji Electric’s 1200 V RB-IGBTs [6]. This industrial drive allows full regenerative operation and supports 150 % overload. The maximum total harmonic distortion of the input current is 7 % . Applications such as lifts, hoists, conveyors, and escalators can benefit from the inherent regeneration capability [22].
Later in 2006, Fuji Electric Systems introduced the FRENIC-Mx series of matrix converters ( 230 V and 480 V voltage classes) with power levels ranging from 15 to 45 k W [22]. Similar to Yaskawa, Fuji also employs the DMC topology for this series [6] that is promoted for application with significant energy saving potential associated with the full regeneration capability.
The FSDrive-MX1S medium-voltage MC was launched in 2007 by Yaskawa with input voltages of 3.3 k V and 6.6 k V , and power rating from 200 to 6000 k V A [21]. The same standard power cell based on DMC is used both for the 3.3 k V class by connecting three cells in series or the 6.6 k V class by connecting six cells in series [21]. The output line-to-line voltage waveform with three cells in series has 13 levels, which is very close to a sinusoidal wave and significantly reduces the need for filtering. The MC topology simplifies the system which reduces the wiring costs and only occupies one half of the footprint of that occupied by a conventional drive system [21]. The matrix converter efficiency is approximately 98 % and the power factor is around 0.95 regardless of operation speed [23].
In 2014, Yaskawa launched the U1000 Industrial Matrix Drive that is a new generation of compact and high efficient motor drive with full regeneration capability. The U1000 is based on the DMC topology and is available in two voltage classes ( 240 V and 480 V ) with power levels ranging from 3.7 to 372 k V A . A low harmonic content (3 to 5%) across a wide load and speed range, and a near unity power factor (above 0.98) at full load, ensure a clean power at the grid interface. Furthermore, a high reliability with a mean time between failures (MTBF) of 28 years is guaranteed [24].
One can think that the reliability of matrix converters is less than the more traditional industrial drive topologies (e.g., voltage source converter (VSC)) because of the increased number of semiconductors used [22]. Despite the fact that the failure rate for the MC increases due to the higher number of switches, the voltage stress at which the devices are operated is much lower than the VSC topologies [25].
Matrix converters have also been proposed to enhance power quality in the distribution system. The vector switching converter (VeSC) is a reduced version of the DMC topology that can be used in a dynamic voltage restorer (DVR) to compensate both balance and unbalanced sags when supplying sensitive loads [26,27].
Despite all the important benefits associated to the matrix converters and the extensive research over the last forty years, such topologies are still not widely used in the industry. Yaskawa Electric is the sole drive manufacturer with commercial products based on MCs. Thus, the MC is one of the most investigated but less industrial applied converter topologies [6]. The 86% maximum input-to-output voltage transfer ratio for sinusoidal modulation and the limited capability to compensate reactive power have been limiting the MC adoption to compete with the conventional solutions based on VSC [6]. Furthermore, the lack of monolithic bidirectional semiconductors in the market [28], associated with the need of complex strategies for the commutation of the bidirectional power switches, which normally requires a control system based on FPGA [29,30], are challenges that still need to be overcome in order to make the matrix converters a mainstream solution for the power electronics market.
In this article, the Direct Matrix Converter and the Indirect Matrix Converter will be presented along with a review of the respective actual and most important technical solutions. This work contributes to the field by providing a large overview of the modulation methods. To this end, a selection of published works related to matrix converters and modulation techniques is reviewed. Recommendations pertaining to the technological implementation are also highlighted in this article.

2. Direct Matrix Converter

The Direct Matrix Converter [31] is a single-stage topology composed by a set of m × n bidirectional power switches to connect a m-phase voltage source to a n-phase load [1]. The 3 Φ 3 Φ MC is the preeminent topology as it connects a three-phase voltage source (e.g., electric grid) with a three-phase load (e.g., motor) [32]. The power circuit is made of nine bidirectional switches distributed in three sets of three [33]. Each group can also be designated as a switching cell (SwC). Therefore, with this arrangement it is possible to connect any of the input phase a, b, or c to any of the output phase A, B, or C, as represented in Figure 2a. The schematic diagram is similar to a matrix, with the rows consisting of the three input phases (a, b, and c), the columns consisting of the three output phases (A, B, and C), and the bidirectional switches making the connection between the rows and columns, which are symbolized with circles in Figure 2b.
The matrix converter operation can be described by a mathematical equation using the concept of switching function [34]. The switching function, S j K , can be described as the modeling of the device connecting input phase j to output phase K. When the device is closed, the result of the switching function is 1, and when the device is open, the result of the switching function is 0. Therefore, the switching function of a single device is defined as [35]
S j K ( t ) = 1 , S j K closed 0 , S j K open j = { a , b , c } , K = { A , B , C }

2.1. Mathematical Model

In order to develop a modulation method for the MC, a mathematical model must be first derived.
The source and load voltages referenced to the input neutral, “n” in Figure 2a, can be formulated as the following vectors:
v i = v a v b v c , v o = v A v B v C .
Due to the lack of a DC-link capacitor, the matrix converter transfer power between source and load instantaneously. Therefore, it is possible to formulate a transfer function relating the electrical parameters on one side with the corresponding parameters on the other side [33]. Using this principle, the relationship between load and source voltages can be described as
v A v B v C = S a A S b A S c A S a B S b B S c B S a C S b C S c C v a v b v c v o = T S j K v i
where T S j K is the instantaneous transfer matrix that represents the state of the converter switches [1] and is defined as
T S j K = S a A S b A S c A S a B S b B S c B S a C S b C S c C ·
Each row of T S j K denotes the status of the devices linked on the same output phase, and each column denotes the status of the devices linked on the same input phase [33].
Using the same principle, the following relationship can also be used to relate the source and load currents:
i a i b i c = S a A S a B S a C S b A S b B S b C S c A S c B S c C i A i B i C i i = T S j K T i o
where T S j K T is the transpose matrix of T S j K .
By considering that the bidirectional power switches work with a switching frequency much higher than the frequencies of the input voltages and output currents, the high-frequency (HF) harmonics in (3) and (5) can be neglected [35]. Then, an output voltage of variable amplitude and low frequency (LF) can be produced by adjusting the duty cycle of the devices using their respective switching functions [1]. The local-averaged value of a switching function S j K corresponds to the duty cycle of the device, and it is defined as d j K :
0 d j K 1 , j = { a , b , c } , K = { A , B , C }
The low-frequency equivalents of (3) and (5) are
v ¯ o = T ¯ d j K v i
i ¯ i = T ¯ d j K T i o
respectively, where
T ¯ d j K = d a A d b A d c A d a B d b B d c B d a C d b C d c C
is the LF instantaneous transfer matrix that represents the duty cycle of the converter switches. The T ¯ d j K T is the transpose matrix of T ¯ d j K .
Equations (3) and (5) give the instantaneous relationships between input and output quantities and are the basis of all modulation methods [1,36]. The output voltages and the input currents can be derived based on the input voltages, load parameters, and the switching states defined by the modulation method. In the same way, Equations (7) and (8) can be used to compute the low-frequency components of input and output quantities and modeling the matrix converter operation.

2.2. Possible Switching States

Contrary to the conventional VSCs, matrix converters do not have intrinsic freewheeling paths. For this reason, a safe transition between the allowed states of a switching cell is more complex to achieve. Ideally, the commutation between the bidirectional switches should occur instantaneously and simultaneously in order to satisfy the restriction in (10). However, in practice, this is not possible due to propagation delays in the command circuits and finite switching times of the power semiconductors. For a more clear explanation, the basic commutation circuit of a switching cell is illustrated in Figure 3. Three bidirectional switches connect ideal voltage sources to the output phase K that feeds an RL load.
There are two basic rules for the safe commutation between the switches in the switching cell:
  • the simultaneous connection of two devices to the same output line must be averted to prevent short circuit of the input voltage sources, and
  • one device must always be conducting to establish a path for the inductive load current in order to prevent overvoltages.
If these rules are not followed, line-to-line short circuits or overvoltages can destroy the converter. These constraints can be expressed by
S a K + S b K + S c K = 1 , K = { A , B , C } .
With these constraints, the 2 9 different switch combinations that the 3 Φ 3 Φ matrix converter appears to have are reduced to only 27 allowed switching states [35]. Figure 4 summarizes the allowed switch states that are subdivided into three groups [37]. Each of these switch combinations is characterized by a three-letter code that denotes to which input line the respective output phase is connected (see Figure 2b). For example, “abb” denotes that the output phases A, B, and C are, respectively, connected to input lines a, b, and b.
Each switching state of the matrix converter specifies one output voltage and one input current space vector. These vectors can be called voltage (current) Switching Space Vectors (SSV) [38]. Therefore, the MCs synthesize the output voltage (input current) vector from the input voltages (output currents). According to the characteristics of the SSVs associated with each switching state, the 27 allowed switching states are clustered into three groups as shown in Figure 4:
  • Group I: six switching states establish a path between each output phase and a different input phase. These SSVs have constant amplitudes. Voltage SSVs rotate at the input frequency ω i , and current SSVs rotate at the output frequency ω o [39];
  • Group II: eighteen switching states where two output phases are connected to one input phase, and the third output phase is connected to one of the other input phases. These voltage (current) SSVs have fixed directions, regularly spaced 60 apart in the α β frame [1]. For this reason, these SSVs are called “stationary vectors”. The magnitude of these voltage (current) SSVs varies with the input voltage phase angle and the output current phase angle, respectively [40]. The magnitude of output voltage vectors can go up to 2 / 3 · V e n v where V e n v is the instantaneous value of the rectified input voltage envelope [1];
  • Group III: three combinations where all three output phases are connected to the same input phase. These SSVs produce null output voltage and input current vectors (i.e., located at the origin of the α β frame) and for this reason they will be named “zero vectors”.

2.3. Review of Modulation Techniques for DMC

The modulation technique used to control the bidirectional switches has a direct impact on the performance and efficiency of the matrix converter [41]. Several modulation techniques were proposed for the MC since the original control theory proposed by Gyugyi and Pelly in 1976 [42]. The modulation of the matrix converter has evolved from complicated modulation expressions based on transfer function approaches to modern space vector modulation [43]. Figure 5 shows a summary of modulation techniques for MCs.
The Venturini modulation, also known as the AV Method or the direct transfer function approach, was the first important technique to be proposed for the DMC. It was a result of the Alesina and Venturini works published in 1980 [3,4]. Although this technique was more effective than traditional control methods, the maximum voltage transfer ratio was limited to q = 0.5 . By the end of the 1980s, these two researchers proposed in [44,45] an improved control algorithm by adding a harmonic component to the output reference voltage. This optimum AV modulation, also known as the OAV Method, improved the maximum voltage transfer ratio to 0.866 (or 3 / 2 ). As demonstrated in [46], this is the theoretical limit to achieve sinusoidal input and output current with complete input power factor control.
The “fictitious DC-link” was proposed by Rodriguez in 1983 as a new concept to modulate the DMC [47]. With this indirect method, the matrix converter is divided in a rectifier stage and an inversion stage, allowing increasing the maximum voltage transfer ratio above the 0.866 limit of other methods [1]. The research works [48,49] of Ziogas et al. published in 1985–1986 allow increasing the maximum voltage transfer ratio to 1.053 with the trade-off of low-frequency current harmonic distortion [1]. The experimental validation of the indirect modulation principle can be found in [50].
In 1989, Roy developed the scalar modulation algorithm [51], which uses the instantaneous voltage ratio of specific input phase voltages to generate the switch command signals. The main disadvantage of this algorithm is that it needs an accurate measuring of the instantaneous input voltages to do a comparison between their relative magnitudes [1].
Apart from the scalar techniques presented above, the PWM techniques are a very important solution for the control of the MCs. The carrier-based modulation is the simplest approach of this category and came from the modulation of conventional converts [36]. Some works with this modulation technique are reported, for example, in [52,53].
The application of space vector modulation (SVM) to a matrix converter is conceptually the same as the well-known SVM for voltage source inverters (VSI). However, it is more complicated as SVM has to be applied simultaneously to modulate both the output voltage and the input current. In 1989, as a result of investigations done by Huber and Borojevic [54], the first space vector modulation method was proposed for the matrix converters. This was accomplished by combining the principles of indirect transfer function approach with the basis of SVM, resulting in the Indirect Space Vector Modulation (ISVM). The matrix converter is considered as an imaginary two-stage converter: a rectification stage that establishes a fictitious DC-link and an inverter stage that generates the reference output voltages. Each of these stages is controlled using the space vector modulation procedures. The final modulation can then be obtained by merging the two independent space vector modulations. The ISVM was further investigated and is among others treated in [35,55].
In 1993, Casadei et al. proposed in [56] a different approach to SVM for MCs. Instead of looking to the matrix converter as a two-stage converter with fictitious DC-link, the authors represent all the switch combinations in the stationary α β frame and then apply the known space vector approach to modulate simultaneously the output voltage and input current. Therefore, it is commonly known as Direct Space Vector Modulation (DSVM) and has a more explicit relation with the direct power conversion process [46]. The DSVM was further investigated and is among others treated in [57,58].
Other modulation techniques, such as model predictive control [59,60,61], sliding mode vector control [62], direct torque control [63], direct voltage control [64], analytic signal combined with smooth interpolation [65], and Petri Net [66] were proposed for the control of MCs.
Nowadays, the SVM approach is perhaps the most used and investigated modulation strategy for the MCs [41]. Although the direct and indirect SVM approaches are apparently different, it has been proved in [67] that both can be regarded as one unified SVM method. Therefore, in this work will be explored the DSVM and it will be simply named by SVM as it is the conventional space vector modulation approach.

2.4. Space Vector Modulation for DMC

The SVM has advantages with respect to other strategies [56,67]:
  • prompt perception of the necessary commutation process;
  • reach the maximum voltage transfer ratio without 3rd harmonic component injection;
  • independent control of the input and output power factor;
  • minimize the effective switching frequency in each cycle, which reduces the switching losses
  • minimize harmonic content; and
  • straightforward digital implementation.

2.4.1. Switching Space Vectors

The foundation of space vector modulation lies on the instantaneous space vector depiction of input and output voltages and currents on the α β reference frame [58]. The instantaneous output voltage space vector is
v ¯ o = 2 3 v A B + a ̲ v B C + a ̲ 2 v C A = v o e j α o
where a ̲ e j 2 π 3 , v o , and α o are the amplitude and angle of v ¯ o . The instantaneous input current space vector is
i ¯ i = 2 3 i a + a ̲ i b + a ̲ 2 i c = i i e j β i
where i i and β i are the amplitude and angle of i ¯ i , respectively. Using the same transformation, the voltage space vector of the input is
v ¯ i = 2 3 v a + a ̲ v b + a ̲ 2 v c = v i e j α i
where v i and α i are the amplitude and angle of v ¯ i .
As the output voltage and input current SSVs of Group I are rotating in the α β frame, they cannot be effectively used to reconstruct the reference vectors [58]. For this reason, in a SVM strategy, only the stationary and zero vectors are used. Table 1 summarizes the switching arrangements of 3 Φ 3 Φ matrix converter used in direct SVM.
Output voltage and input current SSVs are represented in the α β frame, as shown in Figure 6a,b. Each sector is numbered from 1 to 6 and represents the space between the two adjacent SSVs.

2.4.2. Vector Synthesis

The SVM modulation can inherently reach complete control of both v ¯ i and φ i [35,55,56] that are reference quantities. Let us take Figure 7a,b to explain the modulation principle. v ¯ i is set by the input voltage source and its angle α i can be determined via measurement. Then, the phase angle β i of i ¯ i can be defined as
β i = α i φ i .
Obviously, unitary input power factor can be obtained by aligning vector i ¯ i with v ¯ i .
The SVM modulation is realized by picking four stationary vectors that are applied during adequate time intervals inside the period T s .
It will be assumed that both v ¯ o and i ¯ i are lying in sector 1 without loss of generality. In Figure 7a, v ¯ o 1 and v ¯ o 2 represent the components of v ¯ o alongside the two SSVs. In Figure 7b, i ¯ i is also decomposed into i ¯ i 1 and i ¯ i 2 alongside the current SSVs. The switching arrangements able to synthesize the components of v ¯ o and i ¯ i are
v ¯ o 1 : ± 7 , ± 8 , ± 9 ; v ¯ o 2 : ± 1 , ± 2 , ± 3 ;
i ¯ i 1 : ± 3 , ± 6 , ± 9 ; i ¯ i 2 : ± 1 , ± 4 , ± 7 .
To generate v ¯ o and i ¯ i at the same time, the common switching states ± 7 , ± 9 , ± 1 , and ± 3 are employed. Only one of the switching arrangements with same number and opposite signs is applied [38]. The ones with higher voltage values are selected [56]. Based on these rules, the four switching arrangements for each combination of output voltage sector ( K V ) and input current sector ( K I ) can be determined as shown in Figure 8 [68].
v ¯ o and i ¯ i are then synthesized by time averaging of each of the four stationary vectors during the switching sequence. As mentioned above, both v ¯ o and i ¯ i are generated by applying the stationary vectors according to proper duty cycles. They are determined using the phase of output voltage vector reference ( α ˜ o ) and the phase of input current vector reference ( β ˜ i ) as follows [57]:
δ I = 2 3 q c o s ( α ˜ o π / 3 ) c o s ( β ˜ i π / 3 ) c o s φ i
δ I I = 2 3 q c o s ( α ˜ o π / 3 ) c o s ( β ˜ i + π / 3 ) c o s φ i
δ I I I = 2 3 q c o s ( α ˜ o + π / 3 ) c o s ( β ˜ i π / 3 ) c o s φ i
δ I V = 2 3 q c o s ( α ˜ o + π / 3 ) c o s ( β ˜ i + π / 3 ) c o s φ i
where q = | v ¯ o | / ( 3 | v ¯ i | ) is the voltage transfer ratio. As shown in Figure 6, α ˜ o and β ˜ i used in (17)–(20) are angles determined respecting to the bisecting line of the corresponding sector. They differ from α o and β i according to the output voltage and input current sectors [57]. α ˜ o and β ˜ i have the following limits:
π 6 < α ˜ o < + π 6 , π 6 < β ˜ i < + π 6 .
The duty cycle of the zero vectors— δ 0 a , δ 0 b , and δ 0 c —is calculated in order to complete the switching period, i.e., at a fixed sampling:
δ 0 a + δ 0 b + δ 0 c = 1 ( δ I + δ I I + δ I I I + δ I V ) .
Consequently, the duty cycles for the switching arrangements are restricted by the subsequent constraints:
δ 0 a , δ 0 b , δ 0 c 0 δ I , δ I I , δ I I I , δ I V 0 .
Considering (17)–(23), and assuming balanced supply voltages and output voltages, the maximum voltage transfer ratio is given by [58]
q < = 3 2 | c o s φ i | .

2.4.3. Switching Pattern

The four general switching arrangements along with the zero vectors can be organized within the switching period T s . This switching configuration sequence that defines the turn-on and turn-off sequence of the switches is commonly named switching pattern [58]. Different switching patterns have different impact on the efficiency and conducted emissions of the MC. This way, the arrangement of the three zero voltage vectors introduces a degree of freedom that can be used to enhance the modulation [41,67].
In the first works regarding SVM, only one zero vector placed at the end of the switching period was used [56]. For this reason, this switching pattern is considered a single-sided modulation. At the cost of only a slight increment in the number of Branch-Switch-Over (BSO) per switching period, double-sided modulation has become the prevalent strategy, as it allows a better harmonic performance at both input and output side of MC [37]. From the use of three zero vectors in each cycle period arises a switching pattern with 12 BSOs [58]. It can be verified that among all possible switching sequences there is only one pattern where only one switching commutation for each change of the output voltage occurs. Table 2 shows the switching sequence for the first half of the period T s as a function of the sum of K V and K I . In the other half of the period, the sequence order is reversed. δ 01 , δ 02 , and δ 03 are the duty cycles of the three zero states that are used in the switching pattern.
These zero states correspond to different zero vectors that should be selected according to the input current sector as represented in Table 3.
The resultant switching sequence of output voltages in the time domain is shown in Table 4.
Assuming that both the v ¯ o and i ¯ i are in sector 1, the corresponding general double-sided switching pattern is as shown in Figure 9.
The input current ripple depends on the switching frequency seen from the input and on the values of the input filter parts [69]. For a given input filter, the only way to reduce the input current ripple is to increase the switching frequency. The input switching frequency can be determined by the number of breaks in the MC input current which corresponds to a zero-vector [69]. There are two degrees of freedom when constructing the switching pattern due to the three zero switching states. These two degrees of freedom can be used to suppress one or two zero states, which affects the number of BSO in a period T s , leading to a two-zero or one-zero switching pattern. The different switching patterns were assessed in [41] in order to investigate their effect in the power losses and in the harmonics of input and output current. Table 5 shows the different switching strategies and their switching frequencies according to the zero states represented in Figure 9.
Strategies 1–3 are defined by a single zero state for the period T s / 2 and thus have eight BSOs [70]. Strategy 1 was proposed in [71] and is commonly known as Low-Distortion modulation method. This strategy employs only the zero configuration in the middle of half period ( δ 02 in Figure 9), and therefore the switches of one branch do not alter their states (in this case, the first branch of Figure 2a).
Strategies 4–6 employ two zero states for each half of the switching pattern and have 10 BSOs. Strategy 4 was proposed in [69] and raises the switching frequency on the input side to 60% compared to strategies 2 and 3. Among all different strategies, the lower harmonic content on the input current is reached with Strategy 4.
Strategy 7 applies all the three-zero states in each switching pattern, with the same duty cycles, and thus has 12 BSOs. In the same way, a three-zero switching pattern can raise the switching frequency on the input voltage source in 25 % compared to a two-zero switching pattern. Among these seven strategies, the lower harmonic content on the output current is reached with Strategy 7.
An optimal modulation strategy regarding output current ripple was proposed in [41]. This strategy is based on the calculation of the optimal duty cycles of the zeros states to achieve the minimum rms value of the output current ripple in each switching period. As the efficiency is also better than the Strategy 7, the optimal modulation must be chosen when the output current quality is a necessity.
In sum, Strategy 4 should be chosen if the input current quality or efficiency are the most important requirements. Conversely, if the output current quality is a priority then optimal modulation should be preferred [41].

3. Indirect Matrix Converter

The “fictitious DC-link” was proposed in 1983 by Rodriguez for the control of Direct Matrix Converter [47]. Considering this approach, Holtz and Boelkens [72] proposed in 1989 a new topology that physically implements the direct MC with indirect modulation to explore the “fictitious DC-link” idea through the reorganization of the DMC switches [73,74]. For this reason, it is called Indirect Matrix Converter and is an alternative to the DMC, as it provides the same advantages and drawbacks [9]. Figure 10 shows the schematic of the IMC topology.
The IMC is composed by two stages: the source and the load side converter [75]. The source converter is a three-phase to single-phase ( 3 Φ 1 Φ ) MC composed of six bidirectional switches. This converter operates as a Current Source Rectifier (CSR) to synthesize sinusoidal input currents and keeps a constant average voltage at the DC bus. The load side converter is a conventional three-phase VSI composed of six unidirectional switches that generate the output voltages. The dual bridges together employ 18 power switches and 18 diodes like in the direct matrix converter. Nevertheless, this topology is easier to realize as a standard six-pack power module for the inverter stage can be employed versus the exclusive use of bidirectional switches in the direct MC. The IMC also turns possible a reduction in the amount of active switches on the source side converter to only three if no bidirectional power flow is required [76].

3.1. Review of Modulation Techniques for IMC

The existence of two stages in the IMC allows the employment of conceptually different control techniques that take advantage of the decoupling present in the conversion process. The synchronization of the CSR and VSI modulations is required to ensure power balance and sinusoidal input currents, as there are not any energy storage element between the dual bridges [77].
Several modulation techniques were proposed for the indirect MC, but most research on IMC has been done using pulse width modulation [78], space vector modulation [79], or predictive control [80].
In 1995, Huber et al. [35] formulated the ISVM for the DMC. Then, Jussila in [81] extensively investigated and applied the ISVM to the IMC.
Due to the current interest and high performance of this modulation, the main aspects of the ISVM for controlling the indirect MC will be presented in the next section.

3.2. Space Vector Modulation for IMC

The indirect SVM for the IMC also makes use of the instantaneous space vector approach to represent the input and output voltages and currents. As the IMC is a two-stage topology, the modulation for the source and load bridges can be done separately. Then, the duty cycles that result from this analysis can be combined to complete the modulation. In the following, a sufficiently high switching frequency is assumed so that the input current and output voltage reference vectors are kept fixed over the switching period.

3.2.1. Space Vector Modulation of Source Bridge

The switching configurations of the input phases a, b, and c of the source bridge can be described by switching functions s w a , s w b , and s w c , respectively. As described by the restriction in (10), the input phases cannot be short-circuited. In this way, these switching functions can assume only three values:
  • 1: connection of the input phase to the DC-bus bar p through the on-state of the upper switch;
  • 0: unconnected state when both switches are off; and
  • −1: connection of the input phase to the DC-bus bar n through the on-state of the lower switch.
As only one input phase can be connected to each bar at a time, the input switching functions should satisfy
s w a + s w b + s w c = 0 .
The input currents can be expressed through the switching functions: i a = s w a i d c , i b = s w b i d c , and i c = s w c i d c . Considering this result, (12) can be rewritten to express the instantaneous input current space vector as follows:
i ¯ i = 2 3 i a + a ̲ i b + a ̲ 2 i c = 2 3 s w a + a ̲ s w b + a ̲ 2 s w c i d c = s w ¯ i i d c
where i d c is the DC-link current and s w ¯ i is the space vector of the source bridge switching functions:
s w ¯ i = 2 3 s w a + a ̲ s w b + a ̲ 2 s w c .
If the different associations of s w a , s w b , and s w c are substituted inside (27), one can draw the input current vectors represented in Figure 11a when i d c > 0 and in Figure 11b when i d c < 0 . Each current vector in Figure 11 is denoted by i x s w a , s w b , s w c .
As depicted in Figure 11c, i i , r e f can be synthesized in one switching period by means of the two adjacent current vectors:
i ¯ i , r e f = d γ i ¯ γ + d δ i ¯ δ
where the duty cycles of i ¯ γ and i ¯ δ are d γ and d δ , respectively. θ i is the angle of i i , r e f within the actual sector. As proved in [81], the duty cycles d γ and d δ are
d γ = | i ¯ i , r e f | | i d c | sin π 3 θ i = sin π 3 θ i
d δ = | i ¯ i , r e f | | i d c | sin θ i = sin θ i
as the current ratio | i ¯ i , r e f | / | i d c | is set at unity to not limit the link current i d c that is dependent of the load.

3.2.2. Space Vector Modulation of Load Bridge

The switching states of the output phases A, B, and C of the load bridge can be described by switching functions s w A , s w B , and s w C , respectively. As described by the restriction in (10), the open circuit of the load is not allowed. In this way, these switching functions can assume only two values:
  • 1: output phase connected to the DC-bus bar p through the on-state of the upper switch and
  • −1: output phase connected to the DC-bus bar n through the on-state of the lower switch.
As at least one output phase must be connected to each bar at a time, the output switching functions should satisfy
s w A + s w B + s w C 0 .
The output phase voltages referenced to the DC-bus’s virtual midpoint can be expressed through the switching functions: v A = s w A V d c / 2 , v B = s w B V d c / 2 , and v C = s w C V d c / 2 . Considering this result, the instantaneous output voltage space vector is
v ¯ o = 2 3 v A + a ̲ v B + a ̲ 2 v C = 2 3 s w A + a ̲ s w B + a ̲ 2 s w C V d c 2 = s w ¯ o V d c 2
where V d c is the DC-bus voltage and s w ¯ o is the space vector of the load bridge switching functions:
s w ¯ o = 2 3 s w A + a ̲ s w B + a ̲ 2 s w C .
If the different associations of s w A , s w B , and s w C are substituted inside (33), one can draw the output voltage vectors represented in Figure 12a. The zero vectors v ¯ 0 + and v ¯ 0 are generated by connecting all output phases to the bar p or to the bar n, respectively. Each voltage vector in Figure 12 is denoted by v x s w A , s w B , s w C .
As depicted in Figure 12b, v o , r e f can be synthesized in one switching period by means of the two adjacent voltage vectors:
v ¯ o , r e f = d κ v ¯ κ + d λ v ¯ λ
where the duty cycles of v ¯ κ and v ¯ λ are d κ and d λ , respectively. θ o is the angle of the reference voltage vector within the actual sector. As proved in [81], the duty cycles d κ and d λ are
d κ = | v ¯ o , r e f | 3 V d c sin π 3 θ o = m sin π 3 θ o
d λ = | v ¯ o , r e f | 3 V d c sin θ o = m sin θ o
where m denotes the modulation index that ranges from zero to unity.

3.2.3. Combination of Source and Load Bridges

As shown in Figure 10, the source and load bridges are coupled to each other through the fictitious DC-link. As proved in [81], the output voltage is synthesized by applying the load bridge states during source bridge states. In this way, the resulting four active voltage vectors— v ¯ γ κ , v ¯ δ κ , v ¯ γ λ , and v ¯ δ λ —are used to synthesize the output voltage in the modulation period T s . The duty cycles of the active voltage vectors are
d γ κ = d κ d γ = m sin π 3 θ o sin π 3 θ i ,
d δ κ = d κ d δ = m sin π 3 θ o sin θ i ,
d γ λ = d λ d γ = m sin θ o sin π 3 θ i ,
d δ λ = d λ d δ = m sin θ o sin θ i .
The duty cycle of the zero vectors v ¯ 0 ( + , ) is calculated in order to complete the switching period, i.e., at a fixed sampling
d 0 = 1 ( d γ κ + d δ κ + d γ λ + d δ λ ) .
The modulation index m establishes a straight relation amid the output and input voltages of the IMC. Thus, it is necessary to express the average DC-bus voltage V d c by the input quantities as follows:
V d c = 3 2 | v ¯ i , 1 | c o s φ i , 1
which can be substituted into (35) and (36) to obtain
m = 2 3 | v ¯ o , r e f | | v ¯ i , 1 | c o s φ i , 1 = 2 3 q r e f c o s φ i , 1
where q r e f is the reference of the input-to-output voltage transfer ratio, φ i , 1 is the fundamental displacement angle between the input current and phase voltage, and it is assumed that v ¯ o , r e f and v ¯ i , 1 contain only the fundamental component. In the linear modulation range, m = 0 , 1 , and thus q r e f is 3 / 2 = 0.866 , which is attained when c o s φ i , 1 is unity. This result is coherent with the previously obtained in (24) for the DMC controlled by direct SVM.
With the present modulation, the DC-link voltage v d c produced by the source bridge is always positive. In this way, the diodes of the load bridge are continuously reverse-biased so that the DC-bus is short-circuited. Furthermore, considering that the same performance of the DMC is achieved, it is clear the advantages of the IMC controlled by the indirect SVM.

3.2.4. Switching Pattern

The duty cycles presented in (37)–(41) can be organized in several ways to form the switching pattern. The works in [2,35,70,82,83] present alternatives and comparison of modulation methods that intend to minimize the common-mode voltage, the number of commutations, or the output voltage distortion. The different switching patterns have distinct impact on the harmonics and efficiency of the IMC.
Two alternatives for the switching pattern are presented in [2]. The first strategy allows a zero current switching (ZCS) of the input bridge, and the second strategy allows a zero voltage switching (ZVS) of the output bridge. Considering the higher number of switches in the input bridge and the higher complexity involved in the second strategy, the first strategy is preferable for practical purposes.
In [82], a Conventional SVM (CSVM) is proposed that is very similar to the first strategy presented in [2]. In the CSVM, the duty cycles are organized in order to minimize the number of commutations. Accordingly, only one commutation for each duty cycle transition occurs within this switching pattern. Thus, whereas the ZCS result in eight BSOs, the CSVM produces only six BSOs. Considering the high number of switches of the IMC, this is an important approach to decrease the switching losses and increase the overall conversion efficiency. Moreover, the CSVM has the advantage that can be implemented with simpler logic. For this reason, the CSVM was chosen for this work and will be presented as follows.
The following rules define how the CSVM switching pattern is implemented for the 36 combinations of input and output sectors:
  • the source bridge pattern is γ δ γ ;
  • the load bridge pattern is κ λ 0 λ κ if the sum of K V and K I is even;
  • the load bridge pattern is λ κ 0 κ λ if the sum of K V and K I is odd;
  • if K I is even the output zero vector must be v ¯ 0 + (1,1,1) as shown in Figure 12;
  • if K I is odd the output zero vector must be v ¯ 0 (−1,−1,−1) as shown in Figure 12.
Similarly to the switching pattern for the DSVM (see Section 2.4.3), a double-sided symmetric pattern with v ¯ 0 in the center of the modulation period T s is employed. The resulting duty cycle patterns of the CSVM for the first half of T s are shown in Table 6. To achieve a symmetric switching pattern, the active vectors order is reversed in the other half of the period.
The number of zero states during a modulation period could be expanded by splitting d 0 into several parts. This strategy can improve the output voltage distortion mainly at low modulation indexes at the cost of higher switching losses, which is an important drawback [81]. A common solution involves the change of the modulation method according to the current operation requirements, as investigated, for example, in [69].
Table 7 shows the switching pattern of the CSVM during T s . The zero output voltage state is generated by employing the zero vector v ¯ 0 in the load bridge, producing a null DC-link current and v A B = v B C = v C A = 0 . This output voltage is independent of the DC-bus voltage so the state s w δ is taken for the source bridge during the zero output voltage state. The sequence for the output bridge varies in function of the input and output sector numbers.

4. Simulation

In order to validate the theoretical analysis and to get a deep insight about the SVM implementation, a simulation workbench was developed. The space vector modulation with the respective switching pattern generator was implemented in MATLAB/Simulink (MLS) [84]. The power circuit was modeled using the circuit simulator GeckoCIRCUITS [85]. Using the available interface between these two simulators, it was possible to perform a complete simulation in both the control/modulation and circuit domains using the parameters listed in Table 8.
The reference output frequency was kept constant at 100   H z and the modulation index was changed according to the curve presented in Figure 13b. The maximum voltage transfer ratio q r e f involved in this test is 0.75 which is bellow the limit stated in (24). As a result, the maximum modulation index m used in this simulation is 0.866.

4.1. Simulation of the SVM for DMC

The power circuit of the DMC modeled for simulation including an RL load is represented in Figure 14. As is commonly known, the matrix converter acts as a voltage source at its output and as a current source at its input. For this reason, and due to the high harmonic content of their input current, an input filter is required to interface with the grid and fulfill the standards of electromagnetic compatibility and harmonics. Although, for this first validation we decided to use the same conditions of the theoretical analysis presented above. Thus, an ideal voltage source was directly connected to the DMC input with waveform as depicted Figure 13a.
Figure 15 shows the input currents of the DMC that are supplied by the ideal input voltage source. The magnitude of these currents evolve as a function of the variation in the modulation index. If an appropriately dimensioned low-pass filter is connected between the input voltage source and the DMC, these currents would be nearly sinusoidal.
The line and phase voltages at the DMC output are presented in Figure 16 and Figure 17, respectively.
Figure 18 shows the output currents of the matrix converter that circulate in the load. The magnitude of these currents evolves accordingly to the modulation index variation presented in Figure 13b. This load acts as a low-frequency filter and, as a result, the high-frequency components of the output voltages are not present in the output currents. The magnitude of these currents is a function of the load impedance ( 2 π f o L + R ), the input voltage, and the voltage transfer ratio.
The implementation of the SVM in the developed workbench was very useful to validate the theoretical analysis and to observe the operation of the direct matrix converter.

4.2. Simulation of the SVM for IMC

The power circuit of the IMC modeled for simulation including an RL load is represented in Figure 19. The same ideal voltage source was directly connected to the IMC input (see Figure 13a).
Figure 20 shows the IMC input currents that are supplied by the ideal input voltage source. The magnitude of these currents evolve according to the modulation index variation. As it is possible to see, a high harmonic content is present in the input current, so an input filter is required to interface with the grid and fulfill the standards of electromagnetic compatibility and harmonics. If an appropriately dimensioned low-pass filter is connected between the input voltage source and the IMC, these currents would be nearly sinusoidal.
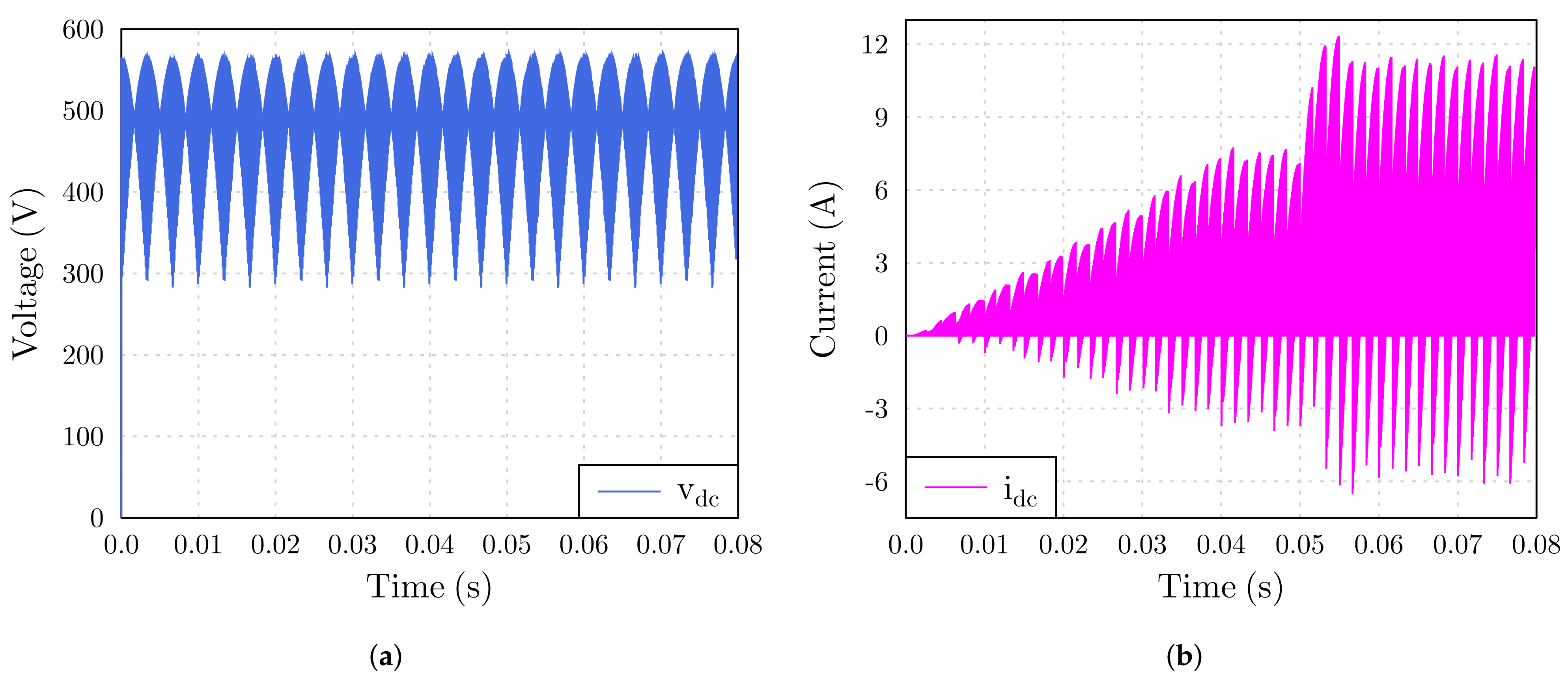
The DC-bus voltage and current are shown in Figure 21. As there is not a capacitor in the DC-link, a fictitious voltage is generated from the IMC input voltage rectification. The average value of this voltage is around 500 V, that is, very near the value that results from (42).
The output line and phase voltages at the IMC output are presented in Figure 22 and Figure 23, respectively. For this simulation, the same RL load used previously in Section 4.1 was connected in the IMC output.
Figure 24 shows the output currents of the MC that circulate in the load. The magnitude of these currents change accordingly to the modulation index variation presented in Figure 13b. The output current is very similar to the previously obtained in Figure 18.
The implementation of the SVM in the developed workbench was very useful to validate the theoretical analysis and to get deep knowledge about the operation of the indirect matrix converter.

5. Conclusions

Matrix converters allow the implementation of single-stage power conversion systems with inherent bidirectional power flow capability. By employing bidirectional switches, MCs can achieve higher power densities when compared with equivalent two-stage power conversion solutions. For that reason, this family of power converters has been receiving significant attention from the academic sector with thousands of research works published over the past forty years. However, just a few commercial products based on MCs are available in the market; Yaskawa Electric is clearly the industrial player with long experience using this technology in motor drive applications.
A detailed review of the Direct Matrix Converter and Indirect Matrix Converter along with the different modulation methods was presented. The Space Vector Modulation is probably the most used modulation strategy for the DMC and IMC due to its low computation requirements and high flexibility. Both topologies are well suited for motor drive applications as demonstrated via simulation results. Besides the capability to synthesize sinusoidal input and output currents with different frequencies, the input power factor can also be adjustable. Furthermore, the inherent full regenerative operation is one of the key characteristics that make the DMC and IMC very attractive to implement a four-quadrant frequency converter with a higher power density when compared with equivalent two-stage power conversion solutions. Thus, it is expected that the application areas of the matrix converter to be expanded, given its advantages of energy saving and size reduction.

Funding

This work was supported in part by the European Regional Development Fund through the Operational Programme for Competitiveness and Internationalisation (COMPETE 2020 Programme), in part by the European Union’s Horizon 2020 (EU Framework Programme for Research and Innovation 2014–2020) under Grant Agreement 645963, and in part by the Fundação para a Ciência e a Tecnologia under Scholarship SFRH/BD/89327/2012.

Conflicts of Interest

The authors declare no conflict of interest.

Abbreviations

The following abbreviations are used in this manuscript:
BSOBranch-Switch-Over
CBCCurrent-based Commutation
CSRCurrent Source Rectifier
CSVMConventional Space Vector Modulation
DMCDirect Matrix Converter
DSVMDirect Space Vector Modulation
IMCIndirect Matrix Converter
ISVMIndirect Space Vector Modulation
MCMatrix Converter
MTBFMean Time Between Failures
PFCPower factor correction
SSVSwitching Space Vectors
V2GVehicle-to-grid
VSCVoltage Source Converter
VSIVoltage Source Inverter
ZCSZero Current Switching
ZVSZero Voltage Switching

References

  1. Wheeler, P.W.; Rodriguez, J.; Clare, J.C.; Empringham, L.; Weinstein, A. Matrix converters: A technology review. IEEE Trans. Ind. Electron. 2002, 49, 276–288. [Google Scholar] [CrossRef]
  2. Kolar, J.W.; Friedli, T.; Rodriguez, J.; Wheeler, P.W. Review of Three-Phase PWM AC-AC Converter Topologies. IEEE Trans. Ind. Electron. 2011, 58, 4988–5006. [Google Scholar] [CrossRef]
  3. Venturini, M. A New Sine Wave in Sine Wave Out, Conversion Technique Which Eliminates Reactive Elements; IEEE PES: San Diego, CA, USA, 1980; pp. E3/1–E3/15. [Google Scholar]
  4. Venturini, M.; Alesina, A. The generalised transformer—A new bidirectional sinusoidal waveform frequency converter with continuously adjustable input power factor. In Proceedings of the 1980 IEEE Power Electronics Specialists Conference, Atlanta, GA, USA, 16–20 June 1980; pp. 242–252. [Google Scholar]
  5. Rodriguez, J. Guest editorial. IEEE Trans. Ind. Electron. 2002, 49, 274–275. [Google Scholar] [CrossRef]
  6. Friedli, T.; Kolar, J.W. Milestones in Matrix Converter Research. IEEE J. Ind. Devices Appl. 2012, 1, 2–14. [Google Scholar] [CrossRef]
  7. Rodriguez, J.; Silva, E.; Blaabjerg, F.; Wheeler, P.; Clare, J.; Pontt, J. Matrix converter controlled with the direct transfer function approach: Analysis, modelling and simulation. Int. J. Electron. 2005, 92, 63–85. [Google Scholar] [CrossRef]
  8. Simon, O.; Mahlein, J.; Muenzer, M.N.; Bruckmarm, M. Modern solutions for industrial matrix-converter applications. IEEE Trans. Ind. Electron. 2002, 49, 401–406. [Google Scholar] [CrossRef]
  9. Jussila, M.; Tuusa, H. Comparison of Simple Control Strategies of Space-Vector Modulated Indirect Matrix Converter Under Distorted Supply Voltage. IEEE Trans. Power Electron. 2007, 22, 139–148. [Google Scholar] [CrossRef]
  10. Varajao, D.; Araujo, R.E.; Miranda, L.M.; Lopes, J.A.P. Modulation Strategy for a Single-stage Bidirectional and Isolated AC-DC Matrix Converter for Energy Storage Systems. IEEE Trans. Ind. Electron. 2018, 65, 3458–3468. [Google Scholar] [CrossRef]
  11. Friedli, T.; Kolar, J.W.; Rodriguez, J.; Wheeler, P.W. Comparative Evaluation of Three-Phase AC-AC Matrix Converter and Voltage DC-Link Back-to-Back Converter Systems. IEEE Trans. Ind. Electron. 2012, 59, 4487–4510. [Google Scholar] [CrossRef]
  12. Rizzoli, G.; Zarri, L.; Mengoni, M.; Tani, A.; Attilio, L.; Serra, G.; Casadei, D. Comparison between an AC-DC matrix converter and an interleaved DC-DC converter with power factor corrector for plug-in electric vehicles. In Proceedings of the 2014 IEEE International Electric Vehicle Conference (IEVC), Florence, Italy, 17–19 December 2014; pp. 1–6. [Google Scholar]
  13. Varajao, D.; Miranda, L.M.; Araujo, R.E. Towards a new technological solution for Community Energy Storage. In Proceedings of the 2014 16th European Conference on Power Electronics and Applications, Lappeenranta, Finland, 26–28 August 2014; pp. 1–10. [Google Scholar]
  14. Koiwa, K.; Itoh, J. A Maximum Power Density Design Method for Nine Switches Matrix Converter Using SiC-MOSFET. IEEE Trans. Power Electron. 2016, 31, 1189–1202. [Google Scholar] [CrossRef]
  15. Korkh, O.; Blinov, A.; Vinnikov, D.; Chub, A. Review of Isolated Matrix Inverters: Topologies, Modulation Methods and Applications. Energies 2020, 13, 2394. [Google Scholar] [CrossRef]
  16. Bhattacharjee, A.K.; Batarseh, I. Sinusoidally Modulated AC-Link Microinverter Based on Dual-Active-Bridge Topology. IEEE Trans. Ind. Appl. 2020, 56, 422–435. [Google Scholar] [CrossRef]
  17. Sayed, M.A.; Suzuki, K.; Takeshita, T.; Kitagawa, W. PWM Switching Technique for Three-Phase Bidirectional Grid-Tie DC-AC-AC Converter With High-Frequency Isolation. IEEE Trans. Power Electron. 2018, 33, 845–858. [Google Scholar] [CrossRef]
  18. Das, D.; Weise, N.; Basu, K.; Baranwal, R.; Mohan, N. A Bidirectional Soft-Switched DAB-Based Single-Stage Three-Phase AC-DC Converter for V2G Application. IEEE Trans. Transp. Electrific. 2019, 5, 186–199. [Google Scholar] [CrossRef]
  19. Schrittwieser, L.; Leibl, M.; Kolar, J.W. 99% Efficient Isolated Three-Phase Matrix-Type DAB Buck-Boost PFC Rectifier. IEEE Trans. Power Electron. 2020, 35, 138–157. [Google Scholar] [CrossRef]
  20. Chiang, T.; Sugiyama, G. Methods of Modulation for Current-Source Single-Phase Isolated Matrix Converter in a Grid-Connected Battery Application. Energies 2020, 13, 3845. [Google Scholar] [CrossRef]
  21. Yamamoto, E.; Hara, H.; Uchino, T.; Kawaji, M.; Kume, T.J.; Kang, J.K.; Krug, H. Development of MCs and its Applications in Industry [Industry Forum]. IEEE Ind. Electron. Mag. 2011, 5, 4–12. [Google Scholar] [CrossRef]
  22. Empringham, L.; Kolar, J.W.; Rodriguez, J.; Wheeler, P.W.; Clare, J.C. Technological Issues and Industrial Application of Matrix Converters: A Review. IEEE Trans. Ind. Electron. 2013, 60, 4260–4271. [Google Scholar] [CrossRef]
  23. Yaskawa Electric Singapore PTE LTD. FSDrive-MX1S—Super Energy Saving Medium Voltage Matrix Converter with Power Regeneration. 2007. Available online: https://www.yaskawa.com.sg/product/converter-2/fsdrive-mx1s—super-energy-saving-medium-voltage-matrix-converter-with-power-regeneration (accessed on 28 March 2021).
  24. Yaskawa America, Inc. U1000 Industrial MATRIX Drive. 2014. Available online: https://www.yaskawa.com/products/drives/industrial-ac-drives/general-purpose-drives/u1000-industrial-matrix-drive (accessed on 28 March 2021).
  25. Nagai, S.; Yamada, Y.; Negoro, N.; Handa, H.; Hiraiwa, M.; Otsuka, N.; Ueda, D. A 3-Phase AC-AC Matrix Converter GaN Chipset With Drive-by-Microwave Technology. IEEE J. Electron Devices Soc. 2015, 3, 7–14. [Google Scholar] [CrossRef]
  26. Rosas-Caro, J.; Mancilla-David, F.; Ramirez-Arredondo, J.; Bakir, A. Two-switch three-phase ac-link dynamic voltage restorer. IET Power Electron. 2012, 5, 1754–1763. [Google Scholar] [CrossRef]
  27. Garcia-Vite, P.M.; Mancilla-David, F.; Ramirez, J.M. Per-Sequence Vector-Switching Matrix Converter Modules for Voltage Regulation. IEEE Trans. Ind. Electron. 2013, 60, 5411–5421. [Google Scholar] [CrossRef]
  28. Szczesniak, P. Challenges and Design Requirements for Industrial Applications of AC/AC Power Converters without DC-Link. Energies 2019, 12, 1581. [Google Scholar] [CrossRef]
  29. Ormaetxea, E.; Andreu, J.; Kortabarria, I.; Bidarte, U.; de Alegria, I.M.; Ibarra, E.; Olaguenaga, E. Matrix Converter Protection and Computational Capabilities Based on a System on Chip Design With an FPGA. IEEE Trans. Power Electron. 2011, 26, 272–287. [Google Scholar] [CrossRef]
  30. Ibarra, E.; Kortabarria, I.; Andreu, J.; de Alegria, I.M.; Martin, J.L.; Ibañez, P. Improvement of the Design Process of Matrix Converter Platforms Using the Switching State Matrix Averaging Simulation Method. IEEE Trans. Ind. Electron. 2012, 59, 220–234. [Google Scholar] [CrossRef]
  31. Lopes, J.A.P.; Soares, F.J.; Almeida, P.M.R. Integration of Electric Vehicles in the Electric Power System. Proc. IEEE 2011, 99, 168–183. [Google Scholar] [CrossRef]
  32. Zhang, J.; Li, L.; Dorrell, D.G. Control and applications of direct matrix converters: A review. Chin. J. Electr. Eng. 2018, 4, 18–27. [Google Scholar]
  33. Klumpner, C.; Nielsen, P.; Boldea, I.; Blaabjerg, F. A new matrix converter motor (MCM) for industry applications. IEEE Trans. Ind. Electron. 2002, 49, 325–335. [Google Scholar] [CrossRef]
  34. Wood, P. Switching Power Converters; Van Nostrand Reinhold Company: New York, NY, USA, 1981; p. 446. [Google Scholar]
  35. Huber, L.; Borojevic, D. Space vector modulated three-phase to three-phase matrix converter with input power factor correction. IEEE Trans. Ind. Appl. 1995, 31, 1234–1246. [Google Scholar] [CrossRef]
  36. Rodriguez, J.; Rivera, M.; Kolar, J.W.; Wheeler, P.W. A Review of Control and Modulation Methods for Matrix Converters. IEEE Trans. Ind. Electron. 2012, 59, 58–70. [Google Scholar] [CrossRef]
  37. Helle, L.; Larsen, K.B.; Jorgensen, A.H.; Munk-Nielsen, S.; Blaabjerg, F. Evaluation of modulation schemes for three-phase to three-phase matrix converters. IEEE Trans. Ind. Electron. 2004, 51, 158–171. [Google Scholar] [CrossRef]
  38. Fang, G.; Iravani, M.R. Dynamic Model of a Space Vector Modulated Matrix Converter. IEEE Trans. Power Deliv. 2007, 22, 1696–1705. [Google Scholar]
  39. Gao, F. Voltage Control of a Matrix Converter as the Interface Medium for a Distributed Generation Unit. Ph.D. Thesis, University of Toronto, Toronto, ON, Canada, 2008. [Google Scholar]
  40. Wheeler, P.W.; Clare, J.C.; Apap, M.; Bradley, K.J. Harmonic Loss Due to Operation of Induction Machines From Matrix Converters. IEEE Trans. Ind. Electron. 2008, 55, 809–816. [Google Scholar] [CrossRef]
  41. Casadei, D.; Serra, G.; Tani, A.; Zarri, L. Optimal Use of Zero Vectors for Minimizing the Output Current Distortion in Matrix Converters. IEEE Trans. Ind. Electron. 2009, 56, 326–336. [Google Scholar] [CrossRef]
  42. Gyugyi, L.; Pelly, B. Static Power Frequency Changers: Theory, Performance, and Application; Wiley: Hoboken, NJ, USA, 1976. [Google Scholar]
  43. Helle, L. Modeling and Comparison of Power Converters for Doubly Fed Induction Generators in Wind Turbines. Ph.D. Thesis, Aalborg Universite, Aalborg, Denmark, 2007. [Google Scholar]
  44. Alesina, A.; Venturini, M. Intrinsic amplitude limits and optimum design of 9-switches direct PWM AC-AC converters. In Proceedings of the PESC ’88 Record, 19th Annual IEEE Power Electronics Specialists Conference, Kyoto, Japan, 11–14 April 1988; Volume 2, pp. 1284–1291. [Google Scholar]
  45. Alesina, A.; Venturini, M. Analysis and design of optimum-amplitude nine-switch direct AC-AC converters. IEEE Trans. Power Electron. 1989, 4, 101–112. [Google Scholar] [CrossRef]
  46. Matteini, M. Control Techniques for Matrix Converter Adjustable Speed Drives. Ph.D. Thesis, University of Bologna, Bologna, Italy, 2001. [Google Scholar]
  47. Rodriguez, J. A new control technique for AC-AC converters. In Proceedings of the IFAC Control in Power Electronics and Electrical Drives Conference, Lausanne, Switzerland, 12–14 September 1983; pp. 203–208. [Google Scholar]
  48. Ziogas, P.D.; Khan, S.I.; Rashid, M.H. Some Improved Forced Commutated Cycloconverter Structures. IEEE Trans. Ind. Appl. 1985, IA-21, 1242–1253. [Google Scholar] [CrossRef]
  49. Ziogas, P.D.; Khan, S.I.; Rashid, M.H. Analysis and Design of Forced Commutated Cycloconverter Structures with Improved Transfer Characteristics. IEEE Trans. Ind. Electron. 1986, IE-33, 271–280. [Google Scholar] [CrossRef]
  50. Neft, C.L.; Schauder, C.D. Theory and design of a 30-hp matrix converter. IEEE Trans. Ind. Appl. 1992, 28, 546–551. [Google Scholar] [CrossRef]
  51. Roy, G.; April, G.E. Cycloconverter operation under a new scalar control algorithm. In Proceedings of the 20th Annual IEEE Power Electronics Specialists Conference, Milwaukee, WI, USA, 26–29 June 1989; Volume 1, pp. 368–375. [Google Scholar]
  52. Young-Doo, Y.; Seung-Ki, S. Carrier-Based Modulation Technique for Matrix Converter. IEEE Trans. Power Electron. 2006, 21, 1691–1703. [Google Scholar]
  53. Poh Chiang, L.; Runjie, R.; Blaabjerg, F.; Peng, W. Digital Carrier Modulation and Sampling Issues of Matrix Converters. IEEE Trans. Power Electron. 2009, 24, 1690–1700. [Google Scholar]
  54. Huber, L.; Borojevic, D. Space vector modulator for forced commutated cycloconverters. In Proceedings of the IEEE Industry Applications Society Annual Meeting, San Diego, CA, USA, 1–5 October 1989; Volume 1, pp. 871–876. [Google Scholar]
  55. Huber, L.; Borojevic, D. Space vector modulation with unity input power factor for forced commutated cycloconverters. In Proceedings of the 1991 IEEE Industry Applications Society Annual Meeting, Dearborn, MI, USA, 28 September–4 October 1991; Volume 1, pp. 1032–1041. [Google Scholar]
  56. Casadei, D.; Grandi, G.; Serra, G.; Tani, A. Space vector control of matrix converters with unity input power factor and sinusoidal input/output waveforms. In Proceedings of the 1993 Fifth European Conference on Power Electronics and Applications, Brighton, UK, 13–16 September 1993; Volume 7, pp. 170–175. [Google Scholar]
  57. Casadei, D.; Serra, G.; Tani, A. Reduction of the input current harmonic content in matrix converters under input/output unbalance. IEEE Trans. Ind. Electron. 1998, 45, 401–411. [Google Scholar] [CrossRef]
  58. Casadei, D.; Serra, G.; Tani, A.; Zarri, L. Matrix converter modulation strategies: A new general approach based on space-vector representation of the switch state. IEEE Trans. Ind. Electron. 2002, 49, 370–381. [Google Scholar] [CrossRef]
  59. Rivera, M.; Rojas, C.; Rodriguez, J.; Wheeler, P.; Wu, B.; Espinoza, J. Predictive Current Control With Input Filter Resonance Mitigation for a Direct Matrix Converter. IEEE Trans. Power Electron. 2011, 26, 2794–2803. [Google Scholar] [CrossRef]
  60. Rivera, M.; Wilson, A.; Rojas, C.A.; Rodriguez, J.; Espinoza, J.R.; Wheeler, P.W.; Empringham, L. A Comparative Assessment of Model Predictive Current Control and Space Vector Modulation in a Direct Matrix Converter. IEEE Trans. Ind. Electron. 2013, 60, 578–588. [Google Scholar] [CrossRef]
  61. Zhang, J.; Norambuena, M.; Li, L.; Dorrell, D.; Rodriguez, J. Sequential Model Predictive Control of Three-Phase Direct Matrix Converter. Energies 2019, 12, 214. [Google Scholar] [CrossRef]
  62. Pinto, S.; Silva, J. Sliding mode direct control of matrix converters. IET Electr. Power Appl. 2007, 1, 439–448. [Google Scholar] [CrossRef]
  63. Casadei, D.; Serra, G.; Tani, A. The use of matrix converters in direct torque control of induction machines. IEEE Trans. Ind. Electron. 2001, 48, 1057–1064. [Google Scholar] [CrossRef]
  64. Zarri, L.; Mengoni, M.; Tani, A.; Ojo, J.O. Range of the Linear Modulation in Matrix Converters. IEEE Trans. Power Electron. 2014, 29, 3166–3178. [Google Scholar] [CrossRef]
  65. Szczepankowski, P.; Wheeler, P.; Bajdecki, T. Application of Analytic Signal and Smooth Interpolation in Pulsewidth Modulation for Conventional Matrix Converters. IEEE Trans. Ind. Electron. 2020, 67, 10011–10023. [Google Scholar] [CrossRef]
  66. Wisniewski, R.; Bazydlo, G.; Szczesniak, P.; Wojnakowski, M. Petri Net-Based Specification of Cyber-Physical Systems Oriented to Control Direct Matrix Converters With Space Vector Modulation. IEEE Access 2019, 7, 23407–23420. [Google Scholar] [CrossRef]
  67. Yue, F.; Wheeler, P.W.; Clare, J.C. Relationship of Modulation Schemes for Matrix Converters. In Proceedings of the 3rd IET International Conference on Power Electronics, Machines and Drives, Dublin, Ireland, 4–6 April 2006; pp. 266–270. [Google Scholar]
  68. Xiao, D. Improvements in Sensorless Direct Torque Control for Matrix Converter Driven Interior Permanent Magnet Synchronous Machine. Ph.D. Thesis, University of New South Wales, Sydney, Australia, 2010. [Google Scholar]
  69. Klumpner, C.; Boldea, I.; Blaabjerg, F.; Nielsen, P. A New Modulator for Matrix Converters with Input Current Ripple Reduction. J. Electr. Eng. 2001, 1, 38–43. [Google Scholar]
  70. Nielsen, P.; Blaabjerg, F.; Pedersen, J.K. Space vector modulated matrix converter with minimized number of switchings and a feedforward compensation of input voltage unbalance. In Proceedings of the 1996 International Conference on Power Electronics, Drives and Energy Systems for Industrial Growth, New Delhi, India, 8–11 January 1996; Volume 2, pp. 833–839. [Google Scholar]
  71. Larsen, K.B.; Jorgensen, A.H.; Helle, L.; Blaabjerg, F. Analysis of symmetrical pulse width modulation strategies for matrix converters. In Proceedings of the 33rd Annual IEEE Power Electronics Specialists Conference (PESC ’02), Cairns, QLD, Australia, 23–27 June 2002; Volume 2, pp. 899–904. [Google Scholar]
  72. Holtz, J.; Boelkens, U. Direct frequency convertor with sinusoidal line currents for speed-variable AC motors. IEEE Trans. Ind. Electron. 1989, 36, 475–479. [Google Scholar] [CrossRef]
  73. Iimori, K.; Shinohara, K.; Tarumi, O.; Zixum, F.; Muroya, M. New current-controlled PWM rectifier-voltage source inverter without DC link components. In Proceedings of the Power Conversion Conference—Nagaoka 1997, Nagaoka, Japan, 6 August 1997; Volume 2, pp. 783–786. [Google Scholar]
  74. Jussila, M.; Salo, M.; Tuusa, H. Realization of a three-phase indirect matrix converter with an indirect vector modulation method. In Proceedings of the IEEE 34th Annual Conference on Power Electronics Specialist, Acapulco, Mexico, 15–19 June 2003; Volume 2, pp. 689–694. [Google Scholar]
  75. Lixiang, W.; Lipo, T.A. A novel matrix converter topology with simple commutation. In Proceedings of the 2001 IEEE Industry Applications Conference, 36th IAS Annual Meeting (Cat. No.01CH37248), Chicago, IL, USA, 30 September–4 October 2001; Volume 3, pp. 1749–1754. [Google Scholar]
  76. Kolar, J.W.; Baumann, M.; Schafmeister, F.; Ertl, H. Novel three-phase AC-DC-AC sparse matrix converter. In Proceedings of the 17th Annual IEEE Applied Power Electronics Conference and Exposition (APEC ’02), Dallas, TX, USA, 10–14 March 2002; Volume 2, pp. 777–791. [Google Scholar]
  77. Klumpner, C.; Blaabjerg, F. Modulation method for a multiple drive system based on a two-stage direct power conversion topology with reduced input current ripple. IEEE Trans. Power Electron. 2005, 20, 922–929. [Google Scholar] [CrossRef]
  78. Iimori, K.; Shinohara, K.; Yamamoto, K. Study of dead time of PWM rectifier of Voltage-source inverter without DC-link components and its operating characteristics of induction motor. IEEE Trans. Ind. Appl. 2006, 42, 518–525. [Google Scholar] [CrossRef]
  79. Jussila, M.; Salo, M.; Tuusa, H. Induction motor drive fed by a vector modulated indirect matrix converter. In Proceedings of the 35th Annual IEEE Power Electronics Specialists Conference (PESC ’04), Aachen, Germany, 20–25 June 2004; Volume 4, pp. 2862–2868. [Google Scholar]
  80. Correa, P.; Rodriguez, J.; Rivera, M.; Espinoza, J.R.; Kolar, J.W. Predictive Control of an Indirect Matrix Converter. IEEE Trans. Ind. Electron. 2009, 56, 1847–1853. [Google Scholar] [CrossRef]
  81. Jussila, M. Comparison of Space-Vector-Modulated Direct and Indirect Matrix Converters in Low-Power Applications. Ph.D. Thesis, Tampere University of Technology, Tampere, Finland, 2007. [Google Scholar]
  82. Jussila, M.; Alahuhtala, J.; Tuusa, H. Common-mode voltages of space-vector modulated matrix converters compared to three-level voltage source inverter. In Proceedings of the 37th Ann. IEEE Power Electron. Spec. Conf. (PESC ’06), Jeju, Korea, 18–22 June 2006; pp. 1–7. [Google Scholar]
  83. Ammar, A.; Kanaan, H.Y.; Moubayed, N.; Hamouda, M.; Al-Haddad, K. Original Approach Toward Three-Phase Indirect Matrix Converters Through Hybrid PWM Modulation and DSP Implementation. IEEE Access 2020, 8, 45837–45852. [Google Scholar] [CrossRef]
  84. MathWorks. MATLAB/Simulink. 2016. Available online: https://www.mathworks.com/products/simulink.html (accessed on 28 March 2021).
  85. Gecko-Simulations AG. GeckoCIRCUITS. 2016. Available online: http://gecko-simulations.com/ (accessed on 28 March 2021).
Figure 1. Landscape of three-phase AC-AC converters.
Figure 1. Landscape of three-phase AC-AC converters.
Electronics 10 00812 g001
Figure 2. Direct Matrix Converter topology. (a) Schematic diagram. (b) Symbol.
Figure 2. Direct Matrix Converter topology. (a) Schematic diagram. (b) Symbol.
Electronics 10 00812 g002
Figure 3. Basic commutation circuit of a switching cell with an RL load.
Figure 3. Basic commutation circuit of a switching cell with an RL load.
Electronics 10 00812 g003
Figure 4. The 27 allowed switch states in a matrix converter.
Figure 4. The 27 allowed switch states in a matrix converter.
Electronics 10 00812 g004
Figure 5. Classification of matrix converter (MC) modulation techniques.
Figure 5. Classification of matrix converter (MC) modulation techniques.
Electronics 10 00812 g005
Figure 6. Stationary vectors representation in α β frame. (a) Output voltage SSVs. (b) Input current SSVs.
Figure 6. Stationary vectors representation in α β frame. (a) Output voltage SSVs. (b) Input current SSVs.
Electronics 10 00812 g006
Figure 7. Modulation principle of (a) v ¯ o and (b) i ¯ i .
Figure 7. Modulation principle of (a) v ¯ o and (b) i ¯ i .
Electronics 10 00812 g007
Figure 8. Selection of switching arrangements for each set of K V and K I .
Figure 8. Selection of switching arrangements for each set of K V and K I .
Electronics 10 00812 g008
Figure 9. General double-sided switching pattern in a switching period T s with K V = K I = 1 .
Figure 9. General double-sided switching pattern in a switching period T s with K V = K I = 1 .
Electronics 10 00812 g009
Figure 10. Indirect matrix converter topology.
Figure 10. Indirect matrix converter topology.
Electronics 10 00812 g010
Figure 11. Input current SSVs in α β frame when (a) i d c > 0 and (b) i d c < 0. (c) Generation of input current reference vector i i , r e f .
Figure 11. Input current SSVs in α β frame when (a) i d c > 0 and (b) i d c < 0. (c) Generation of input current reference vector i i , r e f .
Electronics 10 00812 g011
Figure 12. (a) Output phase voltage SSVs in α β frame. (b) Generation of the output voltage reference vector v o , r e f .
Figure 12. (a) Output phase voltage SSVs in α β frame. (b) Generation of the output voltage reference vector v o , r e f .
Electronics 10 00812 g012
Figure 13. (a) Input voltages of the DMC controlled by SVM. (b) Modulation index.
Figure 13. (a) Input voltages of the DMC controlled by SVM. (b) Modulation index.
Electronics 10 00812 g013
Figure 14. Power circuit of the DMC modeled for simulation.
Figure 14. Power circuit of the DMC modeled for simulation.
Electronics 10 00812 g014
Figure 15. Input currents of the DMC controlled by SVM.
Figure 15. Input currents of the DMC controlled by SVM.
Electronics 10 00812 g015
Figure 16. Output line voltages of the DMC controlled by SVM.
Figure 16. Output line voltages of the DMC controlled by SVM.
Electronics 10 00812 g016
Figure 17. Output phase voltages of the DMC controlled by SVM.
Figure 17. Output phase voltages of the DMC controlled by SVM.
Electronics 10 00812 g017
Figure 18. Output currents of the DMC controlled by SVM.
Figure 18. Output currents of the DMC controlled by SVM.
Electronics 10 00812 g018
Figure 19. Power circuit of the IMC modeled for simulation.
Figure 19. Power circuit of the IMC modeled for simulation.
Electronics 10 00812 g019
Figure 20. Input currents of the IMC controlled by SVM.
Figure 20. Input currents of the IMC controlled by SVM.
Electronics 10 00812 g020
Figure 21. DC-link (a) voltage and (b) current.
Figure 21. DC-link (a) voltage and (b) current.
Electronics 10 00812 g021
Figure 22. Output line voltages of the IMC controlled by SVM.
Figure 22. Output line voltages of the IMC controlled by SVM.
Electronics 10 00812 g022
Figure 23. Output phase voltages of the IMC controlled by SVM.
Figure 23. Output phase voltages of the IMC controlled by SVM.
Electronics 10 00812 g023
Figure 24. Output currents of the IMC controlled by SVM.
Figure 24. Output currents of the IMC controlled by SVM.
Electronics 10 00812 g024
Table 1. Switching arrangements of 3 Φ 3 Φ MC employed in direct space vector modulation (SVM).
Table 1. Switching arrangements of 3 Φ 3 Φ MC employed in direct space vector modulation (SVM).
Switch Config.ABC v AB v BC v CA i a i b i c v o α o i i β i
+ 1 abb v a b 0 v a b i A i A 0 2 / 3 · v a b 0 2 / 3 · i A π / 6
1 baa v a b 0 v a b i A i A 0 2 / 3 · v a b 0 2 / 3 · i A π / 6
+ 2 bcc v b c 0 v b c 0 i A i A 2 / 3 · v b c 0 2 / 3 · i A π / 2
2 cbb v b c 0 v b c 0 i A i A 2 / 3 · v b c 0 2 / 3 · i A π / 2
+ 3 caa v c a 0 v c a i A 0 i A 2 / 3 · v c a 0 2 / 3 · i A 7 π / 6
3 acc v c a 0 v c a i A 0 i A 2 / 3 · v c a 0 2 / 3 · i A 7 π / 6
+ 4 bab v a b v a b 0 i B i B 0 2 / 3 · v a b 2 π / 3 2 / 3 · i B π / 6
4 aba v a b v a b 0 i B i B 0 2 / 3 · v a b 2 π / 3 2 / 3 · i B π / 6
+ 5 cbc v b c v b c 00 i B i B 2 / 3 · v b c 2 π / 3 2 / 3 · i B π / 2
5 bcb v b c v b c 00 i B i B 2 / 3 · v b c 2 π / 3 2 / 3 · i B π / 2
+ 6 aca v c a v c a 0 i B 0 i B 2 / 3 · v c a 2 π / 3 2 / 3 · i B 7 π / 6
6 cac v c a v c a 0 i B 0 i B 2 / 3 · v c a 2 π / 3 2 / 3 · i B 7 π / 6
+ 7 bba0 v a b v a b i C i C 0 2 / 3 · v a b 4 π / 3 2 / 3 · i C π / 6
7 aab0 v a b v a b i C i C 0 2 / 3 · v a b 4 π / 3 2 / 3 · i C π / 6
+ 8 ccb0 v b c v b c 0 i C i C 2 / 3 · v b c 4 π / 3 2 / 3 · i C π / 2
8 bbc0 v b c v b c 0 i C i C 2 / 3 · v b c 4 π / 3 2 / 3 · i C π / 2
+ 9 aac0 v c a v c a i C 0 i C 2 / 3 · v c a 4 π / 3 2 / 3 · i C 7 π / 6
9 cca0 v c a v c a i C 0 i C 2 / 3 · v c a 4 π / 3 2 / 3 · i C 7 π / 6
0 a aaa00000000
0 b bbb00000000
0 c ccc00000000
Table 2. Switching sequence for the first half of T s .
Table 2. Switching sequence for the first half of T s .
K V + K I Switching Sequence
Even δ 01 δ I I I δ I δ 02 δ I I δ I V δ 03
Odd δ 01 δ I δ I I I δ 02 δ I V δ I I δ 03
Table 3. Zero states to select according the input current sector.
Table 3. Zero states to select according the input current sector.
K I δ 01 δ 02 δ 03
1, 4 δ 0 c δ 0 a δ 0 b
2, 5 δ 0 b δ 0 c δ 0 a
3, 6 δ 0 a δ 0 b δ 0 c
Table 4. Switching sequence of output voltages according to the input current sector.
Table 4. Switching sequence of output voltages according to the input current sector.
K I Output Voltages
1, 4c a b b a c
2, 5b c a a c b
3, 6a b c c b a
Table 5. Strategies for zero switching states and respective switching frequencies.
Table 5. Strategies for zero switching states and respective switching frequencies.
Strategy NumberDefining EquationSwitching Frequency
1 δ 01 = δ 03 = 0 f s = 8 / T s
2 δ 01 = δ 02 = 0 f s = 8 / T s
3 δ 02 = δ 03 = 0 f s = 8 / T s
4 δ 01 = δ 03 , δ 02 = 0 f s = 10 / T s
5 δ 01 = δ 02 , δ 03 = 0 f s = 10 / T s
6 δ 02 = δ 03 , δ 01 = 0 f s = 10 / T s
7 δ 01 = δ 02 = δ 03 f s = 12 / T s
Table 6. Duty cycle patterns of the conventional SVM (CSVM) for the first half of T s .
Table 6. Duty cycle patterns of the conventional SVM (CSVM) for the first half of T s .
K V + K I Duty Cycle Sequence
Even d γ κ / 2 d γ λ / 2 d δ λ / 2 d δ κ / 2 d 0 / 2
Odd d γ λ / 2 d γ κ / 2 d δ κ / 2 d δ λ / 2 d 0 / 2
Table 7. Switching pattern of the CSVM for the switching period T s .
Table 7. Switching pattern of the CSVM for the switching period T s .
Switching State
123456789
Input state s w γ s w δ s w γ
OutputEven ( K V + K I ) s w κ s w λ s w κ s w 0 s w κ s w λ s w κ
stateOdd ( K V + K I ) s w λ s w κ s w λ s w 0 s w λ s w κ s w λ
Table 8. Parameters used in the simulation.
Table 8. Parameters used in the simulation.
Parameter    Value    Parameter    Value    
V i 325 VR10 Ω
f i 50 Hz f o 100 Hz
f s 10 kHzL30 mH
Publisher’s Note: MDPI stays neutral with regard to jurisdictional claims in published maps and institutional affiliations.

Share and Cite

MDPI and ACS Style

Varajão, D.; Araújo, R.E. Modulation Methods for Direct and Indirect Matrix Converters: A Review. Electronics 2021, 10, 812. https://doi.org/10.3390/electronics10070812

AMA Style

Varajão D, Araújo RE. Modulation Methods for Direct and Indirect Matrix Converters: A Review. Electronics. 2021; 10(7):812. https://doi.org/10.3390/electronics10070812

Chicago/Turabian Style

Varajão, Diogo, and Rui Esteves Araújo. 2021. "Modulation Methods for Direct and Indirect Matrix Converters: A Review" Electronics 10, no. 7: 812. https://doi.org/10.3390/electronics10070812

APA Style

Varajão, D., & Araújo, R. E. (2021). Modulation Methods for Direct and Indirect Matrix Converters: A Review. Electronics, 10(7), 812. https://doi.org/10.3390/electronics10070812

Note that from the first issue of 2016, this journal uses article numbers instead of page numbers. See further details here.

Article Metrics

Back to TopTop