An Efficient Clustering Protocol for Cognitive Radio Sensor Networks
Abstract
1. Introduction
- We point out critical flaws in the existing network stability-aware clustering technique. We point out that the previously used channel availability metrics are generally untenable. We develop the appropriate formalism to prove this;
- We argue that the clustering procedure has to be revised;
- We discuss how to fix the identified flaws. We offer alternative indicators for the selection of the cluster head. It is also suggested to limit the cluster size to a predetermined number. We present an analytical framework to calculate this number and examine the performance of our proposals. The performance analysis results are provided as well.
2. Preliminaries
2.1. Related Works
2.2. Network Stability-Aware Clustering Protocol
- ;
- If is preferable, then select a big ;
- If is preferable, then select a small .
3. Critical Analysis of NSAC
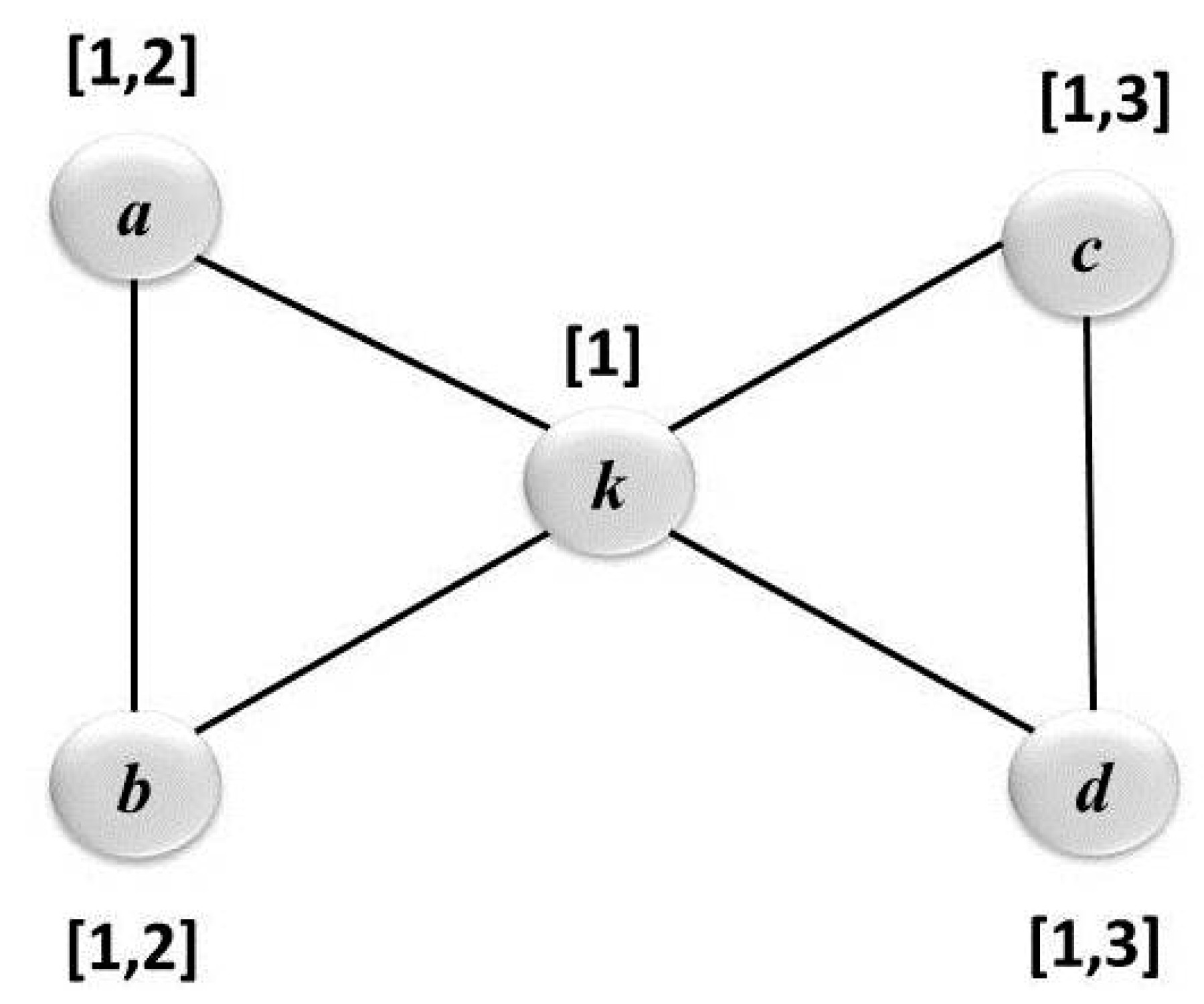
3.1. Channel Quality Metric
- NSAC does not provide the proper choice of parameter for the channel quality metric (1);
- To use metric (1), NSAC needs to abandon some of the available licensed channels or implement a global mechanism for the dissemination of channel status information;
- In general, metric (1) does not automatically provide a tradeoff between the probability of channel availability and the average idle duration in the sense defined above.
3.2. CS Weight
3.3. Clustering Procedure
4. Proposition
4.1. Metrics
4.2. Limited Cluster Size
5. Conclusions
Author Contributions
Funding
Data Availability Statement
Conflicts of Interest
References
- Boubiche, D.; Pathan, A.; Lloret, J.; Zhou, H.; Hong, S.; Amin, S.; Feki, M. Advanced Industrial Wireless Sensor Networks and Intelligent IoT. IEEE Commun. Mag. 2018, 56, 14–15. [Google Scholar] [CrossRef]
- Chen, P.Y.; Cheng, S.M.; Hsu, H.Y. Analysis of information delivery dynamics in cognitive sensor networks using epidemic models. IEEE Internet Things J. 2018, 5, 2333–2342. [Google Scholar] [CrossRef]
- Liu, M.; Liu, L.; Song, H.; Hu, Y.; Yi, Y.; Gong, F. Signal Estimation in Underlay Cognitive Networks for Industrial Internet of Things. IEEE Trans. Industr. Inform. 2020, 16, 5478–5488. [Google Scholar] [CrossRef]
- Aslam, S.; Ansar-ul-Haq; Jang, J.W.; Lee, K.-G. Unified Channel Management for Cognitive Radio Sensor Networks Aided Internet of Things. Sensors 2018, 18, 2665. [Google Scholar] [CrossRef] [PubMed]
- Özger, M.; Alagoz, F.; Akan, O.B. Clustering in Multi-Channel Cognitive Radio Ad Hoc and Sensor Networks. IEEE Commun. Mag. 2018, 56, 156–162. [Google Scholar] [CrossRef]
- Ali, A.; Yaqoob, I.; Ahmed, E.; Imran, M.; Kwak, K.S.; Ahmad, A.; Hussain, S.A.; Ali, Z. Channel Clustering and QoS Level Identification Scheme for Multi-Channel Cognitive Radio Networks. IEEE Commun. Mag. 2018, 56, 164–171. [Google Scholar] [CrossRef]
- Eletreby, R.M.; Elsayed, H.M.; Khairy, M.M. CogLEACH: A spectrum aware clustering protocol for cognitive radio sensor networks. In Proceedings of the IEEE 9th International Conference on Cognitive Radio Oriented Wireless Networks and Communications, Oulu, Finland, 2–4 June 2014; pp. 179–184. [Google Scholar]
- Heinzelman, W.; Chandrakasan, A.; Balakrishnan, H. An application-specific protocol architecture for wireless microsensor networks. IEEE Trans. Wirel. Commun. 2002, 1, 660–670. [Google Scholar] [CrossRef]
- Bradonjic, M.; Lazos, L. Graph-based criteria for spectrum-aware clustering in cognitive radio networks. Ad Hoc Netw. 2012, 10, 75–94. [Google Scholar] [CrossRef]
- Wang, T.; Guan, X.; Wan, X.; Shen, H.; Zhu, X. A Spectrum-Aware Clustering Algorithm Based on Weighted Clustering Metric in Cognitive Radio Sensor Networks. IEEE Access 2019, 7, 109555–109565. [Google Scholar] [CrossRef]
- Zheng, M.; Chen, S.; Liang, W.; Song, M. NSAC: A Novel Clustering Protocol in Cognitive Radio Sensor Networks for Internet of Things. IEEE Internet Things J. 2019, 6, 5864–5865. [Google Scholar] [CrossRef]
- Liu, S.; Lazos, L.; Krunz, M. Cluster-Based Control Channel Allocation in Opportunistic Cognitive Radio Networks. IEEE Trans. Mob. Comput. 2012, 11, 1436–1449. [Google Scholar] [CrossRef]
- Djahel, S.; Nait-abdesselam, F.; Zhang, Z. Mitigating Packet Dropping Problem in Mobile Ad Hoc Networks: Proposals and Challenges. IEEE Commun. Surv. Tutor. 2011, 13, 658–672. [Google Scholar] [CrossRef]
- Tsiota, A.; Xenakis, D.; Passas, N.; Merakos, L. On Jamming and Black Hole Attacks in Heterogeneous Wireless Networks. IEEE Trans. Veh. Technol. 2019, 68, 10761–10774. [Google Scholar] [CrossRef]
- Jan, S.; Ahmed, S.; Shakhov, V.; Koo, I. Toward a Lightweight Intrusion Detection System for the Internet of Things. IEEE Access 2019, 7, 42450–42471. [Google Scholar] [CrossRef]
- Gurung, S.; Chauhan, S. Performance analysis of black-hole attack mitigation protocols under gray-hole attacks in MANET. Wirel. Netw. 2017, 25, 975–988. [Google Scholar] [CrossRef]
- Rathee, G.; Ahmad, F.; Kerrache, C.A.; Azad, M.A. A Trust Framework to Detect Malicious Nodes in Cognitive Radio Networks. Electronics 2019, 8, 1299. [Google Scholar] [CrossRef]
- Hossain, M.; Xie, J. Third Eye: Context-Aware Detection for Hidden Terminal Emulation Attacks in Cognitive Radio-Enabled IoT Networks. IEEE Trans. Cogn. Commun. Netw. 2020, 6, 214–228. [Google Scholar] [CrossRef]
- Ibe, O. Markov Processes for Stochastic Modeling, 2nd ed.; Elsevier: Oxford, UK, 2013; p. 90. [Google Scholar]
- Zou, J.; Huang, L.; Gao, X.; Xiong, H. Joint Pricing and Decision-Making for Heterogeneous User Demand in Cognitive Radio Networks. IEEE Trans. Cybern. 2019, 49, 3873–3886. [Google Scholar] [CrossRef] [PubMed]
- Gross, D.; Shortle, J.; Thompson, J.; Harris, C. Fundamentals of Queueing Theory, 4th ed.; Wiley: Hoboken, NJ, USA, 2008; p. 62. [Google Scholar]
- Xie, N.; Ou-Yang, L.; Liu, A. Spectrum Sharing in mmWave Cellular Networks Using Clustering Algorithms. IEEE/ACM Trans. Netw. 2020, 28, 1378–1390. [Google Scholar] [CrossRef]
- Shakhov, V.; Koo, I. Depletion-of-Battery Attack: Specificity, Modelling and Analysis. Sensors 2018, 18, 1849. [Google Scholar] [CrossRef] [PubMed]








Publisher’s Note: MDPI stays neutral with regard to jurisdictional claims in published maps and institutional affiliations. |
© 2021 by the authors. Licensee MDPI, Basel, Switzerland. This article is an open access article distributed under the terms and conditions of the Creative Commons Attribution (CC BY) license (http://creativecommons.org/licenses/by/4.0/).
Share and Cite
Shakhov, V.; Koo, I. An Efficient Clustering Protocol for Cognitive Radio Sensor Networks. Electronics 2021, 10, 84. https://doi.org/10.3390/electronics10010084
Shakhov V, Koo I. An Efficient Clustering Protocol for Cognitive Radio Sensor Networks. Electronics. 2021; 10(1):84. https://doi.org/10.3390/electronics10010084
Chicago/Turabian StyleShakhov, Vladimir, and Insoo Koo. 2021. "An Efficient Clustering Protocol for Cognitive Radio Sensor Networks" Electronics 10, no. 1: 84. https://doi.org/10.3390/electronics10010084
APA StyleShakhov, V., & Koo, I. (2021). An Efficient Clustering Protocol for Cognitive Radio Sensor Networks. Electronics, 10(1), 84. https://doi.org/10.3390/electronics10010084

