Tracking Bacterial Spoilage in Cosmetics by a New Bioanalytical Approach: API-SPME-GC-MS to Monitor MVOCs
Abstract
1. Introduction
2. Materials and Methods
2.1. Chemicals and Materials
2.2. Cosmetic Samples
2.3. Bacterial Cultures and Inoculation Procedure
2.4. Solid-Phase Microextraction Procedure
2.5. Gas Chromatography-Mass Spectrometry Analysis
3. Results and Discussion
3.1. Preliminary Experiments
3.1.1. SPME Optimization
3.1.2. Blanks and Bacterial Cultures Characterization
3.2. Formation of MVOCs from API® 10 S
3.3. Formation of MVOCs from Inoculated Cosmetic Samples
3.4. Formation of MVOCs from Inoculated Mixed Substrate
4. Conclusions and Future Trends
Author Contributions
Funding
Acknowledgments
Conflicts of Interest
References
- Good Manufacturing Practices (GMP). Guidelines on Good Manufacturing Practices; ISO: Geneva, Switzerland, 2007; p. 22716. [Google Scholar]
- UNION; PEAN. Regulation (EC) No 1223/2009 of the European Parliament and of the Council. Off. J. Eur. Union L 2009, 342, 59. [Google Scholar]
- Scientific Committee on Consumer Products (SCCP). The SCCP’s Notes of Guidance for the Testing of Cosmetic Ingredients and Their Safety Evaluation; SCCP: Brussels, Belgium, 2018. [Google Scholar]
- ISO. Cosmetics-Microbiology-Detection of Specified and Non-Specified Microorganisms; ISO: Geneva, Switzerland, 2017; p. 18415. [Google Scholar]
- Herrera, A.G. Microbiological analysis of cosmetics. In Public Health Microbiology; Springer: Berlin/Heidelberg, Germany, 2004; pp. 293–295. [Google Scholar]
- March, G.A.; Garcia-Loygorri, M.C.; Eiros, J.M.; Bratos, M.A.; Ortiz de Lejarazu, R.l.; Salvador, A.; Chisvert, A. Chapter 18—Microbiological Quality in Cosmetics. In Analysis of Cosmetic Products, 2nd ed.; Elsevier: Boston, MA, USA, 2018; pp. 585–597. [Google Scholar] [CrossRef]
- Commission, E. Safety Gate: The Rapid Alert System for Dangerous Non-Food Products. Available online: https://ec.europa.eu/consumers/consumers_safety/safety_products/rapex/alerts/repository/content/pages/rapex/index_en.htm (accessed on 15 April 2020).
- Neza, E.; Centini, M. Microbiologically contaminated and over-preserved cosmetic products according Rapex 2008–2014. Cosmetics 2016, 3, 3. [Google Scholar] [CrossRef]
- Bashir, A.; Lambert, P. Microbiological study of used cosmetic products: Highlighting possible impact on consumer health. J. Appl. Microbiol. 2020, 128, 598–605. [Google Scholar] [CrossRef] [PubMed]
- Dadashi, L.; Dehghanzadeh, R. Investigating incidence of bacterial and fungal contamination in shared cosmetic kits available in the women beauty salons. Health Promot. Perspect. 2016, 6, 159. [Google Scholar] [CrossRef] [PubMed]
- Lores, M.; Celeiro, M.; Rubio, L.; Llompart, M.; Garcia-Jares, C. Extreme cosmetics and borderline products: An analytical-based survey of European regulation compliance. Anal. Bioanal. Chem. 2018, 410, 7085–7102. [Google Scholar] [CrossRef] [PubMed]
- Jimenez, L. Molecular diagnosis of microbial contamination in cosmetic and pharmaceutical products: A review. J. Aoac Int. 2001, 84, 671–675. [Google Scholar] [CrossRef] [PubMed]
- Jimenez, L.; Ignar, R.; Smalls, S.; Grech, P.; Hamilton, J.; Bosko, Y.; English, D. Molecular detection of bacterial indicators in cosmetic/pharmaceuticals and raw materials. J. Ind. Microbiol. Biotechnol. 1999, 22, 93–95. [Google Scholar] [CrossRef]
- API. Be first to know. Available online: https://www.biomerieux-usa.com/clinical/api (accessed on 25 March 2020).
- Lemfack, M.C.; Gohlke, B.-O.; Toguem, S.M.T.; Preissner, S.; Piechulla, B.; Preissner, R. mVOC 2.0: A database of microbial volatiles. Nucleic Acids Res. 2018, 46, D1261–D1265. [Google Scholar] [CrossRef]
- Saptalena, L.G.; Kerpen, K.; Kuklya, A.; Telgheder, U. Rapid detection of synthetic biomarkers of Escherichia coli in water using microAnalyzer: A field dependence study. Int. J. Ion Mobil. Spectrom. 2012, 15, 47–53. [Google Scholar] [CrossRef]
- Wang, Y.; Liu, S.; Pu, Q.; Li, Y.; Wang, X.; Jiang, Y.; Yang, D.; Yang, Y.; Yang, J.; Sun, C. Rapid identification of Staphylococcus aureus, Vibrio parahaemolyticus and Shigella sonnei in foods by solid phase microextraction coupled with gas chromatography–mass spectrometry. Food Chem. 2018, 262, 7–13. [Google Scholar] [CrossRef]
- Elmassry, M.M.; Piechulla, B. Volatilomes of Bacterial Infections in Humans. Front. Neurosci. 2020, 14, 257. [Google Scholar] [CrossRef] [PubMed]
- Wang, Y.; Li, Y.; Yang, J.; Ruan, J.; Sun, C. Microbial volatile organic compounds and their application in microorganism identification in foodstuff. Trac Trends Anal. Chem. 2016, 78, 1–16. [Google Scholar] [CrossRef]
- Alvarez-Rivera, G.; De Miguel, T.; Llompart, M.; Garcia-Jares, C.; Villa, T.G.; Lores, M. A novel outlook on detecting microbial contamination in cosmetic products: Analysis of biomarker volatile compounds by solid-phase microextraction gas chromatography-mass spectrometry. Anal. Methods 2013, 5, 384–393. [Google Scholar] [CrossRef]
- Brannan, D.K. Biology of microbes. In Cosmetics Microbiology. A Practical Approach; Geis, P.A., Ed.; Taylor & Francis: Oxfordshire, UK, 2006; p. 50. [Google Scholar]
- Martà nez-Avila, O.; Sánchez, A.; Font, X.; Barrena, R. Bioprocesses for 2-phenylethanol and 2-phenylethyl acetate production: Current state and perspectives. Appl. Microbiol. Biotechnol. 2018, 102, 9991–10004. [Google Scholar] [CrossRef] [PubMed]
- Liu, J.; Jiang, J.; Bai, Y.; Fan, T.-P.; Zhao, Y.; Zheng, X.; Cai, Y. Mimicking a new 2-phenylethanol production pathway from Proteus mirabilis JN458 in Escherichia coli. J. Agric. Food Chem. 2018, 66, 3498–3504. [Google Scholar] [CrossRef] [PubMed]
- Kapsetaki, S.-E.; Tzelepis, I.; Avgousti, K.; Livadaras, I.; Garantonakis, N.; Varikou, K.; Apidianakis, Y. The bacterial metabolite 2-aminoacetophenone promotes association of pathogenic bacteria with flies. Nat. Commun. 2014, 5, 1–7. [Google Scholar] [CrossRef] [PubMed]
- Hilton, M.D.; Cain, W.J. Bioconversion of cinnamic acid to acetophenone by a pseudomonad: Microbial production of a natural flavor compound. Appl. Env. Microbiol. 1990, 56, 623–627. [Google Scholar] [CrossRef]
- Effmert, U.; Kalderás, J.; Warnke, R.; Piechulla, B. Volatile mediated interactions between bacteria and fungi in the soil. J. Chem. Ecol. 2012, 38, 665–703. [Google Scholar] [CrossRef] [PubMed]
- Lee, D.-H.; Palsson, B.Ã. Adaptive evolution of Escherichia coli K-12 MG1655 during growth on a Nonnative carbon source, L-1, 2-propanediol. Appl. Env. Microbiol. 2010, 76, 4158–4168. [Google Scholar] [CrossRef] [PubMed]
- KEGG: Kyoto Encyclopedia of Genes and Genomes. Available online: https://www.genome.jp/kegg/ (accessed on 28 April 2020).









| Code 1 | Compound | Ret. Time (min) | CAS | API® 10 S | Cosmetic | Escherichia coli | Proteus mirabilis | Pseudomonas aeruginosa |
|---|---|---|---|---|---|---|---|---|
| 1 | p-xylene | 4.8 | 106-42-3 | X | X | X | X | |
| 2 | Methoxy-phenyl-oxime | 5.8 | 222866 3 | X | X | X | ||
| 3 | N,N-dipropyl-1-propanamine 2 | 6.7 | 102-69-2 | X | X | X | X | X |
| 4 | 1,2-hexanediol 2 | 10.9 | 6920-22-5 | X | ||||
| 5 | 1-octanol 2 | 12.1 | 111-87-5 | X | ||||
| 6 | Nonanal | 16.2 | 124-19-6 | X | ||||
| 7 | 2-Nitrophenyl-β-d-galactopyranoside | 16.5 | 369-07-3 | X | ||||
| 8 | Dodecane | 17.7 | 112-40-3 | X | ||||
| 9 | 1,2-octanediol 2 | 18.3 | 1117-86-8 | X | ||||
| 10 | 1-decanol | 19.2 | 112-30-1 | X | ||||
| 11 | Tributylphosphate | 24.5 | 126-73-8 | X | X | |||
| 12 | 1-dodecanol | 25.8 | 112-53-8 | X | ||||
| 13 | Sebacic acid, but-2-enyl isohexyl ester | 25.1 | 356113 3 | X | ||||
| 14 | 1-hexadecanol | 26.7 | 36653-83-4 | X | ||||
| 15 | N-hexadecanoic acid | 37.2 | 57-10-3 | X |
| Code 1 | MVOC | Ret. Time (min) | CAS | API® 10 S | Cosmetic | API® 10 S + Cosmetic | ||||||||
|---|---|---|---|---|---|---|---|---|---|---|---|---|---|---|
| E. coli | P. mirabilis | P. aeruginosa | E. coli | P. mirabilis | P. aeruginosa | Mixture of the 3 Species | E. coli | P. mirabilis | P. aeruginosa | Mixture of the 3 Species | ||||
| 1 | Phenol | 8.6 | 108-95-2 | X | X | |||||||||
| 2 | Ethylhexanol 2 | 9.3 | 104-76-7 | X | X | X | ||||||||
| 3 | 1-undecene | 9.8 | 821-95-4 | X | X | X | ||||||||
| 4 | Phenylethyl alcohol 2 | 13.6 | 60-12-8 | X | X | X | X | X | ||||||
| 5 | 2-nitrophenol 2 | 14.2 | 88-75-5 | X | X | X | ||||||||
| 6 | 2′-aminoacetophenone | 15.2 | 551-93-9 | X | X | X | ||||||||
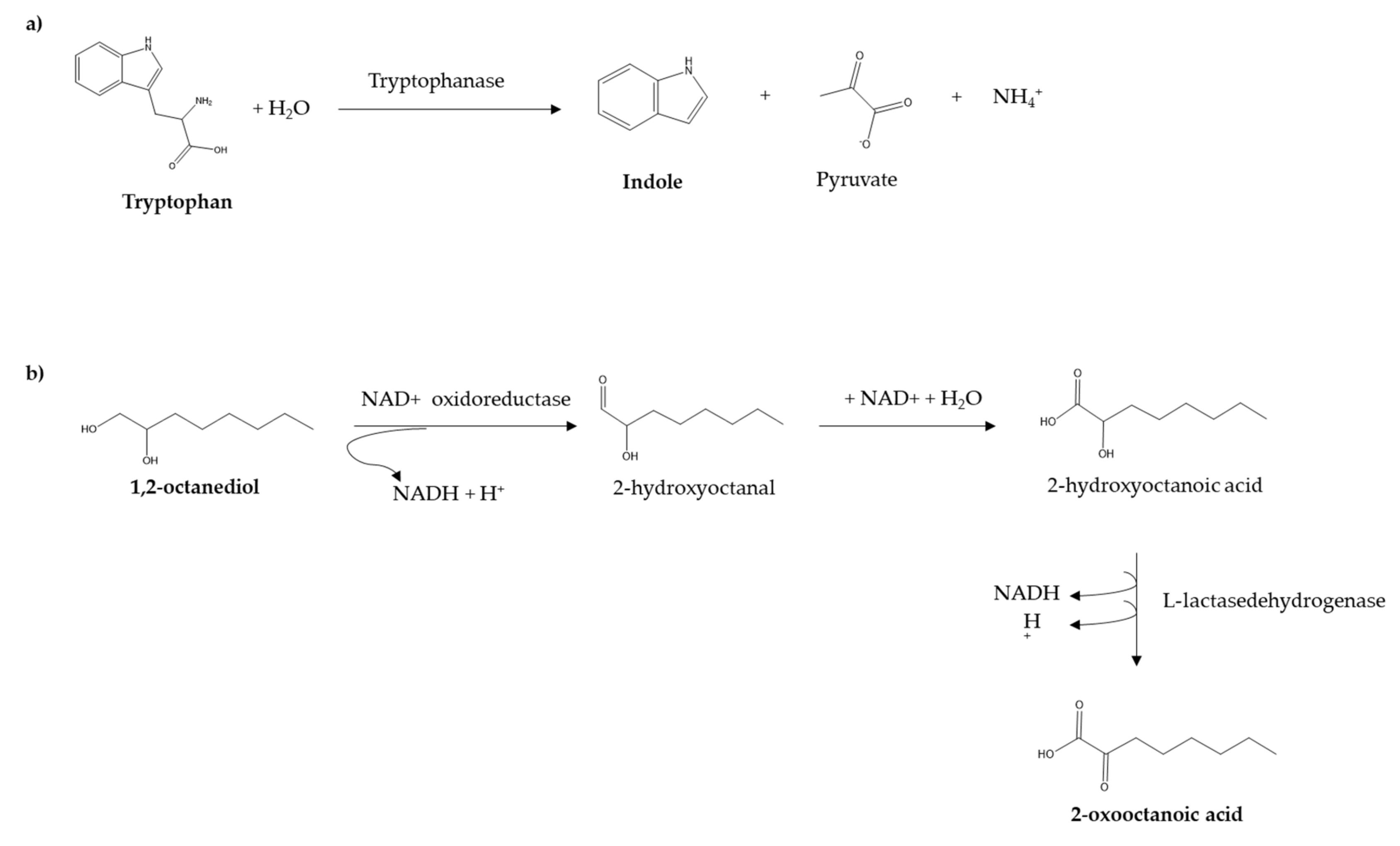
| 7 | Indole 2 | 20.0 | 120-72-9 | X | X | X | X | X | ||||||
| 8 | 2-Undecanone 2 | 20.1 | 112-12-9 | X | X | X | X | |||||||
| 9 | 1-undecanol | 22.8 | 112-42-5 | X | X | X | X | X | ||||||
| 10 | 2-tridecanone 2 | 26.6 | 593-08-8 | X | X | X | X | |||||||
| 11 | 3,3-dimethyl-2-oxobutanal | 7.9 | 77572-68-0 | X | X | |||||||||
| 12 | 2,2-Dimethylpropanoic anhydride | 8.0 | 1538-75-6 | X | X | |||||||||
| 13 | 2-Methyl-1-undecanol | 12.8 | 10522-26-6 | X | X | |||||||||
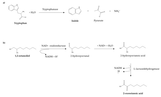
| 14 | 2-oxooctanoic acid | 15.5 | 328-51-8 | X | X | X | X | X | X | X | X | |||
| 15 | n-decanoic acid | 22.7 | 334-48-5 | X | X | X | X | X | X | X | ||||
| 16 | Pentadecane | 26.7 | 629-62-9 | X | X | X | X | X | X | |||||
| 17 | 1-Octadecanol | 42.2 | 112-92-5 | X | X | X | X | X | ||||||
| Ethyl octanoate | 20.50 | 106-32-1 | X | X | ||||||||||
| Ethyl decanoate | 23.53 | 110-38-3 | X | X | ||||||||||
| 2-nonanone | 32.35 | 821-55-6 | X | X | X | |||||||||
© 2020 by the authors. Licensee MDPI, Basel, Switzerland. This article is an open access article distributed under the terms and conditions of the Creative Commons Attribution (CC BY) license (http://creativecommons.org/licenses/by/4.0/).
Share and Cite
Celeiro, M.; Varela, E.; Rodriguez, R.; Penedo, M.; Lores, M. Tracking Bacterial Spoilage in Cosmetics by a New Bioanalytical Approach: API-SPME-GC-MS to Monitor MVOCs. Cosmetics 2020, 7, 38. https://doi.org/10.3390/cosmetics7020038
Celeiro M, Varela E, Rodriguez R, Penedo M, Lores M. Tracking Bacterial Spoilage in Cosmetics by a New Bioanalytical Approach: API-SPME-GC-MS to Monitor MVOCs. Cosmetics. 2020; 7(2):38. https://doi.org/10.3390/cosmetics7020038
Chicago/Turabian StyleCeleiro, Maria, Esther Varela, Rocio Rodriguez, Manuel Penedo, and Marta Lores. 2020. "Tracking Bacterial Spoilage in Cosmetics by a New Bioanalytical Approach: API-SPME-GC-MS to Monitor MVOCs" Cosmetics 7, no. 2: 38. https://doi.org/10.3390/cosmetics7020038
APA StyleCeleiro, M., Varela, E., Rodriguez, R., Penedo, M., & Lores, M. (2020). Tracking Bacterial Spoilage in Cosmetics by a New Bioanalytical Approach: API-SPME-GC-MS to Monitor MVOCs. Cosmetics, 7(2), 38. https://doi.org/10.3390/cosmetics7020038

