Abstract
Consumer awareness about the damages that plastic packaging waste cause to the environment, coupled with bio-economy and circular economy policies, are pushing plastic packaging versus the use of bio-based and biodegradable materials. In this contest, even cosmetic packaging is looking for sustainable solutions, and research is focusing on modifying bio-based and biodegradable polymers to meet the challenging requirements for cosmetic preservation, while maintaining sustainability and biodegradability. Several bio-based and biodegradable polymers such as poly(lactic acid), polyhydroxyalkanoates, polysaccharides, etc., are available, and some first solutions for both rigid and flexible packaging are already present on the market, while many others are under study and optimization. A fruitful cooperation among researchers and industries will drive the cosmetic sector toward being more ecological and contributing to save our environment.
1. Introduction
The Bio and Circular Economy Approach in the Current Waste Management
The worldwide diffused concerns for climate change, land and ecosystem degradation, coupled with the growing world population, drive towards innovative and sustainable production pathways and conscious ways of consumption, which respect the ecological boundaries of our planet. Bio-economy approach merges these feelings and promotes innovation for industries towards sustainable production of eco-compatible products. At present, the European bio-economy sector is worth €2 trillion in annual turnover, and accounts for 22 million jobs in the EU, i.e., 9% of the EU’s workforce [1].
Over the past 50 years, the role and importance of plastics in our economy have consistently grown. According to International Union of Pure and Applied Chemistry (IUPAC) definition, a bio-based polymer or bioplastics is derived from biomass or produced from biomass derivatives. In Europe, the bioplastic market is expected to increase by over 30% in 2030. Global production of plastics has increased twentyfold since the 1960s, reaching 322 million tons in 2015. It is expected to double again over the next 20 years. In the EU, the plastics sector employs 1.5 million employees and generated a turnover of EUR 340 billion in 2015 [2].
In spite the large use of plastic items, the reuse and recycling of end-of-life plastics is very low, particularly compared to other materials such as paper, glass, or metals. Around 25.8 million tons of plastic waste is generated in Europe every year, as detailed in Table 1.
Table 1.
Plastic waste generation in Europe in 2015 [1].
Less than 30% of such waste is collected for recycling. Of this amount, a significant share leaves the EU to be treated in third countries, where different environmental standards may apply. At the same time, landfilling and incineration rates of plastic waste remain high, 31% and 39%, respectively, and, while landfill has decreased over the past decade, incineration has grown. According to estimates, 95% of the value of plastic packaging material, i.e., between EUR 70 and 105 billion annually, is lost to the economy after a very short first-use cycle.
According to the Ellen MacArthur Foundation circular economy is “restorative and regenerative by design, which aims to keep products, components and materials at their highest utility and value at all times, distinguishing between technical and biological cycles” [1].
Even the materials used for packaging should address the circular economy policy, and in particular bioplastic-based polymers that differ from the “make, use, dispose” approach in favor of a more circular model based on “reuse, recycle or biodegrade”.
In the specific case of cosmetic packaging, re-use is rarely applied, even chemical and mechanical recycling is not easily feasible due to difficulties in post use packaging collections, and due to packaging being often strongly contaminated by residues from the greasy and creamy cosmetic product, hard to remove by washing. In this contest, the use of compostable packaging would be very beneficial for the environment, allowing for the collection of the post use packaging in the green bins.
Regarding waste management, we can consider that currently packaging is made essentially with petrochemical plastics and can be distinguished in rigid packaging and flexible packaging.
The rigid packaging generally consists of bottles, or pots and caps. The most used polymers are High density poly(ethylene) (HDPE); poly(propylene) (PP), non-transparent packages; and poly(ethylene terephthalate) (PET), transparent packages. This rigid packaging fraction is generally recovered from waste and separated from other plastics. In several countries, the fractions consisting of HDPE and PP, and PET, are obtained. The packages are then transformed into scraps, washed, and then used to produce recycled products. The recycling can be defined a “downcycling”, as the material’s properties tend to decrease after each processing cycle [3]. Flexible packaging, currently made with Low Density Poly(ethylene), PP, and PET, can consist of a single material or of a multilayer system. Multilayer packages, used for their high barrier properties, consist often not only of plastic, but also of aluminum and paper. The packages belonging to this class are usually lighter than rigid packaging items, and the weight fraction of plastic is thus lower. The percentage of contaminants consisting of residual liquid or cream products affects the recovery of single materials. Hence, this fraction is usually managed by incineration. This life cycle is thus less sustainable than that of rigid packages, and more sustainable options should be considered. In the future, if bioplastics will be used in cosmetic packaging, the scenario could be different. In fact, rigid packaging will be recycled, but after some life cycles, the material can be composted. As composting is now assimilated to recycling [4], the perspectives will improve with respect to the current scenario (Figure 1). Flexible packaging can be composted as well. The possibility of composting cosmetic packages can be affected by the presence of residual products since the presence of detergents or preservatives can be detrimental for the compost bacteria and microorganism activity, which can be limited or disabled due to the presence of such substances [5,6]. Hence, cosmetic and detergent formulations should be based on biodegradable substances, with lower content of preservatives, or at least only those not detrimental for the successive composting should be used [7,8].
Figure 1.
General waste management of cosmetic packaging: current and bioplastics-based scenarios.
The increase in bio-based content and compostability in both cosmetics and their packaging, and the correct design for end of life approach of both, are fundamental goals that should be fulfilled for improving the full sustainability of the cosmetic sector.
2. Sustainable Cosmetic Market
The global cosmetics market, already $460 billion in 2014, is still growing, and is expected to reach $675 billion in 2020, thus showing a 6.4% growth rate per year [9].
There is an evident, strong trend towards the use of sustainably produced raw materials in the cosmetics field, mainly as active ingredients in formulations.
Sustainably produced raw materials are being introduced into the cosmetics field not only as ingredients for cosmetics but also as components of the packaging materials. Indeed, cosmetics marketing stresses that the use of green, possibly compostable or biodegradable packaging is an added value to the cosmetics product, since it witnesses customers’ and producers’ environmental attitude and care.
Accordingly, there are annual events such as the Sustainable Cosmetics Summit [10], which promote the use of sustainably produced raw materials in the cosmetics field. Even big companies are tracing and measuring the sustainability of the ingredients used in their cosmetics. In addition, many cosmetics companies are spreading marketing messages on the use of sustainable and responsible packaging for their products. However, biodegradable jars or bottles have not yet been clearly introduced into the market.
3. Plastic for Packaging of Cosmetics
Cosmetic products are highly valuable but easily perishable materials. It is therefore important to consider that preserving a packaged product depends on the characteristics of the packaging material and on the proper conditions of packaging, transport, storage, and distribution [11].
Plastics have become a main material for packaging since they exhibit many desirable properties such as transparency, softness, heat seal ability, and good strength-to-weight ratio. Thus, even for cosmetic products, plastics are widely used both as rigid or flexible packaging.
Petrochemical-based plastics, such as PET, poly(vinylchloride) (PVC), PE, PP, poly(styrene) (PS), and poly(amide) (PA) are extensively used in the packaging field, and are applied also for cosmetics packaging, because of their large availability, low cost, good mechanical performance, and heat saleability. In addition, these materials are good barriers to oxygen, carbon dioxide, anhydride, and aroma compounds.
Rigid bioplastics are currently available for packaging of creams, lipsticks, etc. Renewable materials such as Poly(lactic acid) (PLA), bio-PE, or bio-PET are mainly used. However, the market and the specific cosmetics field require not only bio-based and biodegradable or recyclable materials, but also bioplastics having improved functionalities targeted at the specific applications. Indeed, special requirements are necessary for cosmetics packaging, due to the intrinsic instability of cosmetic products that can be somewhat compared to food products [11]. Indeed, packaging must be able to preserve the properties of a cosmetic or personal care product, avoiding deterioration before the expiration date, and protecting products from microbial contamination.
Therefore, barriers to oxygen, water, ultra-violet (UV), and migration of substances from the packaging to the cosmetic (or from the cosmetic to the packaging), are very important parameters.
Additives that enhance UV light protection are specifically added in the case of transparent packaging, to avoid product alteration due to photoactivated processes. Other additives, such as dyes and pigments, can be added to improve the aesthetic properties of packaging. Moreover, additives that facilitate processing operations (processing aids), or anti-oxidants, are generally present in plastic materials.
Plasticizers are also added to plastic materials to make them more ductile. With respect to other additives, their content is higher (10–20% of material weight), and thus the possible release into the cosmetic product during product storage can be relevant. On the other hand, oxygen and water vapor from the environment can diffuse through the packaging. Packaging materials must be selected while considering their barrier to different classes of compounds that can migrate from the product to the packaging or from the packaging to the cosmetic product. Migrations from the container to the product can alter product formulation, eventually affecting its effectiveness. Migration from product to container can alter the container’s properties, affecting its resistance and durability. The study of materials’ release properties, adopting standardized tests is thus fundamental.
Recently in many research studies nano-particles have been added to plastic materials to increase their barrier properties. In particular, the dispersion of phyllosilicates into polymer or blends at a nanometer scale [12] improves gas barrier properties, mainly due to the strong effect of confinement resulting from the high surface/volume ratio (i.e., reducing chain mobility and permeability [13], as well as to the enhancement of the path’s tortuosity [14] required for small molecules to permeate through a polymer film due to the presence of silicate lamellae). These studies on nanocomposites having petrochemical polymers as matrices, are however still ongoing and were also recently translated to bioplastic nanocomposites. Moreover, the safety of nano-particles is still under debate and the subject of several European research projects [15,16,17].
4. Biodegradable Plastic for Cosmetic Packaging
Nowadays there is high and increasing demand for packaging made from bioplastics. Indeed, biodegradable and bio-based polymer matrices will be an added value versus the petrochemical-based polymers that are not bio-recyclable (compostable or biodegradable, following UNI EN ISO 13432) [18]. In this case, however, polymer crystallinity, structural conformation, and molecular weight must be strictly controlled in order to assess polymer degradability [19].
4.1. Poly(lactic Acid)
Poly(lactic acid) (PLA) is at present a largely used bio-based and compostable packing material due to its good processability and biocompatibility. PLA is mainly composed of lactic acid (2-hydroxy propionic acid) and contains a pendent methyl group on the alpha carbon atom, which gives rise to a specific structure [20]. Lactic acid is a three-carbon organic acid: one terminal carbon atom is part of an acid or carboxyl group; the other terminal carbon atom is part of a methyl or hydrocarbon group; and a central carbon atom having an alcohol carbon group attached. It exists in two optically active isomeric forms. One is known as L-lactic acid, and is the biologically important isomer, and the other, its mirror image, is D-lactic acid (Figure 2).
Figure 2.
Isomeric forms of lactic acid L and D.
PLA is a thermoplastic material that can be processed by injection molding, blow molding, thermoforming, and extrusion [21]. Semi-crystalline PLA is preferred over the amorphous polymer when higher mechanical properties are desired. Semi-crystalline PLA has an approximate tensile modulus of 3 GPa, tensile strength of 50–70 MPa, flexural modulus of 5 GPa, flexural strength of 100 MPa, and an elongation at break of about 4%. PLA is industrially compostable and its degradation is dependent on time, temperature, molecular weight, crystallinity, impurities, and catalyst concentration [22]. PLA films have better ultraviolet light barrier properties than low density poly(ethylene) (LDPE). Commercial PLA is a homopolymer of poly(L-lactic acid) (PLLA) or copolymer of poly(D,L-lactic acid) (PDLLA), produced from L-lactic acid and D,L-lactic acid. The L-isomer constitutes the main fraction of PLA derived from renewable sources since the majority of lactic acid from biological sources exists in this form.
PLA has four optical enantiomers: PLLA, PDLA, PDLLA (racemic), and meso-PLA. The semi-crystalline PLLA is the most widely used. The glass transition temperature of PLLA is 50–60 °C, the crystallization temperature is 90–140 °C, and the melting temperature is 150–180 °C. Compared with common thermoplastics, PLLA has better mechanic properties like tensile strength, but the crystallization rate is extremely slow which limits the application in high temperatures. One of the efficient methods to improve the crystallization behavior of PLLA is adding nucleating agents, which have several advantages: providing more nucleation sites, shortening the induction time for crystallization, and enhancing the tensile strength of polymer. Inorganic particles (like nano-CaCO3, nano-BaSO4 and nano-Ti02) are often used to improve the mechanical properties and lower the cost of polymer materials [23], but they can also be added in small amounts as nucleating agents to improve the crystallization behavior of polymers [24,25,26].
PLA has good potentialities for use in rigid packaging because of its good rigidity and mechanical resistance. However, the high brittleness can limit its use, hence several strategies have been used for improving PLA toughness, such as the blending with other polyesters, like poly(butylene adipate-co-terephthalate) (PBAT) [27,28,29], behaving like elastomers. In the industrial production of rigid containers usually PLA is processed in the melt and then rapidly cooled below its glass transition temperature. As the crystallization of PLA is slow, final products (such as injection molded or blow molded containers) are essentially amorphous. The increase of temperature above PLA glass transition during the further processing steps (e.g., in the packaging of hot products) or during the use of the material, can enable cold crystallization, resulting in dimension instability and deformation of the items. In addition, an increase in brittleness and change in optical properties can be observed as consequence of crystallinity increase. Thus, the use of proper nucleating agents, allowing increasing the crystallization rate of PLA during the rapid cooling is particularly interesting on a technological point of view. Nucleated PLA results stabilized and its optical and mechanical properties are not modified as a consequence of heating in the temperature range of its glass transition [24,25,26].
In the case of filling PLA bottles with a hot liquid, the use of a material having an improved mechanical resistance above the PLA glass transition can be considered. This is the case of PLA blends with polycarbonate (PC), that can also be obtained by peculiar reactive processing techniques, as explained by Phuong et al. [30,31] and Gigante et al. [32] added cellulosic fibers to PLA/PC blends to further improve their elastic modulus and investigated models to express mechanical properties as a function of composites composition, keeping also into account the peculiar waviness of cellulosic fibers [32]. The disadvantage of PLA/PC blends is the not complete biodegradability, as PC is not biodegradable. PLA blends containing cellulose acetate are even very promising for rigid packaging and fully biodegradable depending on the cellulose acetate acetylation degree and of its content in the blend [33]. Recently, composites consisting of PLA reinforced with plasticized cellulose acetate were obtained by extrusion reporting an improvement of toughness with respect to raw PLA, while maintaining a high value of Young’s Modulus [34].
Use of plasticizers is also a good strategy to improve PLA ductility and toughness, and it is fundamental in flexible packaging formulations (Table 2). Plasticizers will decrease PLA glass-transition temperature (Tg) resulting in a lower stress at yield and higher elongation at break at room temperature. These conditions are required for improving flexibility of films and sheets. Acetyl Tributyl Citrate [35], triacetine [36] and oligoethers [26], oligo lactic esters [24], and oligo adipic esters [36] resulted in efficient plasticizers for PLA and its blends. Interestingly, if the plasticization was carried out in the presence of poly(Butylene adipate-co-terephthalate) (PBAT) as polymeric additive, a preferential migration of the acetyl tributyl citrate in the PBAT phase was observed [36] suggesting the necessity of selecting a plasticizer on the basis of its preferential affinity with the PLA matrix.
Table 2.
Different additives for poly(lactic acid) (PLA) materials suitable in rigid and flexible packaging.
As both rigid and flexible packaging is generally used for liquid or pasty cosmetic, the barrier properties of PLA-based formulations must be particularly high. Usually barrier properties can be improved thanks to the use of inorganic additives. Among the inorganic additives, layered silicates, such as montmorillonite (MMT), appear to be effective fillers to improve the overall performances of PLA system even at low concentration (1–5 wt %) [37]. However, to reach this improvement, a high degree of clay dispersion that highly depends on the adopted preparation method, and on the compatibility between the polymer matrix and the clay is needed [38,39]. Jorda-Beneyto et al. [40,41] used two organo-modified clays for food contact applications to produce hydrophobically-modified montmorillonite, to obtain better compatibility between the biopolymer and the filler (nanoclay). The fillers were used to reinforce PLA bottles, and the results were compared with conventional PLA bottles. The use of modified clay in PLA bottles was found to lead to an improvement in mechanical and barrier properties. Finally, cytotoxicity tests were conducted with organo-modified clays using two different cell lines but both clays showed different cytotoxicity profiles. Further studies showed different degrees of cytotoxicity or mutagenicity as a function of clay type. Non-organophilic clay (sodium clay) did not show any cytotoxicity or mutagenicity [41].
These studies showed that nanoclays cannot be used currently in food packaging, but these nanocomposites were investigated for being used in the cosmetic field through the European FP7 BioBeauty project. In this project both tube and pot for cosmetics were prepared by extrusion and injection molding, respectively, using nanocomposites based on PLA and nanoclay. The potential hazards that may arise from the use of these PLA-based nanocomposites for cosmetic packaging applications were assessed by the study addressing the dermal toxicity of components that may migrate from PLA nanocomposites into cosmetic formulations.
An experimental approach was designed to test the biocompatibility of nanocomposites and their potential to release migration extracts that could be cytotoxic or phototoxic towards human HaCaT keratinocyte skin cells or cause skin irritation in the EpiDermTM human skin model, according to OECD TG 439. Overall findings from these studies provided valuable information showing that PLA nanocomposites developed within the BioBeauty project [42] can be used safely in the cosmetic packaging industry and meet regulatory requirements. The shelf life of cosmetic products filled in these packages have been evaluated though lipid oxidation according to the Thiobarbituric acid reactive substances (TBARS) method during the accelerated oxidation experiment and it could be observed that cosmetics remained quite stable in terms of oxidation up to day 20. From that time, the cosmetics packed in the different packaging systems underwent different degrees of oxidation over time. It seems that the short shelf life resulted in the main limit for these packagings, especially for tubes, having a minor thickness.
The durability of PLA-based packaging in the presence of a cosmetic based on water and oil can be much affected by its tendency to hydrolyze. The kinetic of hydrolysis can much influence the shelf life of packed products.
Andrzejewska et al. [43] demonstrated that water, also containing salts to mimate biological fluids, determined an increase in the mass of PLA of about 1 week because of water absorption on time lower than 1%. The properties were not much affected by the presence of water-based fluids. It was found that the material does not undergo rapid degradation in the environment corresponding to the “in vivo” conditions.
The situation seemed different in the case of water/ethanol solutions [44]. Hydrolytic degradation of poly(lactic acid) (PLA-C) and PLA-nanocomposite produced with organo-modified montmorillonite at 5 wt% (PLA-OMMT) were investigated in pure water, 50% and 95% ethanol solutions at 40 °C. The nanoclay did not affect the hydrolytic degradation but it doubled the sorption of ethanol into the film because of its access into nanoclay galleries. Hydrolysis of PLA-C and PLA-OMMT was related to the release of LA during exposure. The clay released from PLA-OMMT films during hydrolysis in 50% ethanol was 0.58% wt. at 90 days of the initial amount of nanoclay in the PLA film.
Changes in PLA-based material composition can affect the degradation behavior of PLA. Zhang et al. [45] investigated the effect of nanocrystalline cellulose (NCC) and poly(ethylene glycol) (PEG), both very hydrophilic, on the hydrolytic degradation behavior of poly(lactic acid) (PLA) bio-nanocomposites compared with that of neat PLA, under specific environmental condition, namely at 37 °C in a pH 7.4 phosphate buffer medium for a time period up to 60 days. The results showed that the presence of hydrophilic NCC and PEG significantly accelerated the hydrolytic degradation of PLA, which was related to the rapid dissolution of PEG causing easy access of water molecules to the composites and initiating fast hydrolytic chain scission of PLA. The thermal degradation temperatures of the nanocomposites slightly decreased due to the poor thermal stability of NCC in comparison with that of the neat PLA. After degradation, the thermal stability of the separated PLA from nanocomposites significantly decreased.
Despite the act that PLA-based composites can be suitable for packaging cosmetics, it is necessary to make specific tests considering the specific cosmetic composition, the required shelf life and final goals the cosmetic aims to achieve. Migration of substances from the container to the cosmetic, can in fact slightly alter its content.
4.2. Polyhydroxyalkanoates
Polyhydroxyalkanoates (PHAs) are gaining attention among biodegradable polymers due to their promising properties such as high biodegradability in different environments, not just in composting plants, and versatility. Indeed, PHAs can be formulated and processed for use in many applications, including packaging, molded goods, paper coatings, nonwoven fabrics, adhesives, films, and performance additives [46].
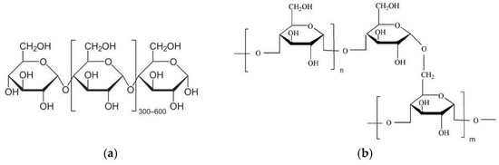
PHAs polymers are naturally produced by bacteria in general cultivated biomass. They can be processed to make a variety of useful products, where their biodegradability and naturalness are quite beneficial in particular for application in single-use packaging and. Poly(3-hydroxybutyrate) (PHB) is a homopolymer of 3-hydroxybutyrate and is the most widespread and best characterized member of the PHAs family (Figure 3) [47].
Figure 3.
Polyhydroxyalkanoate monomeric unit.
This family of polymers presents interesting properties for packaging such as a low water vapor permeability comparable to Low Density Poly(ethylene) (LDPE) [48,49]. PHB is used in bulk shrink packaging and flexible intermediate bulk containers for food packaging [50,51]
Copolymers of hydroxybutyrate and hydroxyvalerate, including poly(β-hydroxybutyrate-co-β-hydroxyvalerate) (PHBV), have thermoplastic properties similar to polypropylene (PP), good mechanical properties and are commercially marketed [50,51]. Thus, the presence in the chains of 3HV or 4HB co-monomers results in considerable changes in mechanical properties. The ratio of co-monomer addition is directly proportional to the toughness and inversely proportional to the stiffness and tensile strength. PHAs can be used as alternatives for several traditional polymers, since they exhibit similar chemical and physical characteristics [52].
Although PLA is produced on a higher scale and is currently less expensive than PHAs, some characteristics make PHAs more advantageous for application in contact with skin such as the lower greenhouse gas emissions [53], the very high biocompatibility [54].
PHAs have also an excellent biodegradability, many aerobic and anaerobic microorganisms (bacteria, cyanobacteria, and fungi) may degrade PHAs in several environments: in soil, in industrial/domestic compost, in fresh water, and in various marine ecosystems both as raw material [55,56] than as polymeric matrix in bio-composites [57].
These properties make the PHA-based materials very promising for being used in applications where environmental concern and biocompatibility are fundamental. However, there is not much work in literature about their durability and possible shelf life when used as packaging [58], thus research on these materials is still ongoing, and the positive perspective predicts their future application as packaging even for cosmetic products.
4.3. Polysaccharides
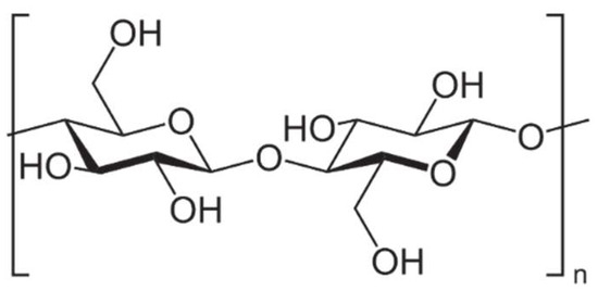
Cellulose and starch derivatives are the most utilized polysaccharides for packaging production, and more recently even chitosan and chitin have been proposed in particular for the production of active packaging due to their anti-microbial activity. Cellulose is the most abundantly occurring natural polymer on earth. It consists of glucose monomer units that are joined together via β-1, 4 glycosidic linkages, which enable cellulose chains to form strong inter-chain hydrogen bonds (Figure 4).
Figure 4.
Structure of cellulose.
Raw cellulose is highly hydrophilic and consequently is not suitable for packaging of easily perishable goods, since it presents poor barrier to moisture, moreover the crystalline structure and relatively low thermal degradability makes cellulose a brittle material [59]. The most used cellulose derivatives are polysaccharides composed of linear chains of β (1–4) glycosidic units with methyl, hydroxypropyl or carboxyl substituents such as hydroxypropyl cellulose, hydroxypropyl methylcellulose, carboxymethylcellulose, or methyl cellulose. Even these materials have a low barrier to moisture [60], and can be used for packaging just in multi layers materials or in composite materials [61].
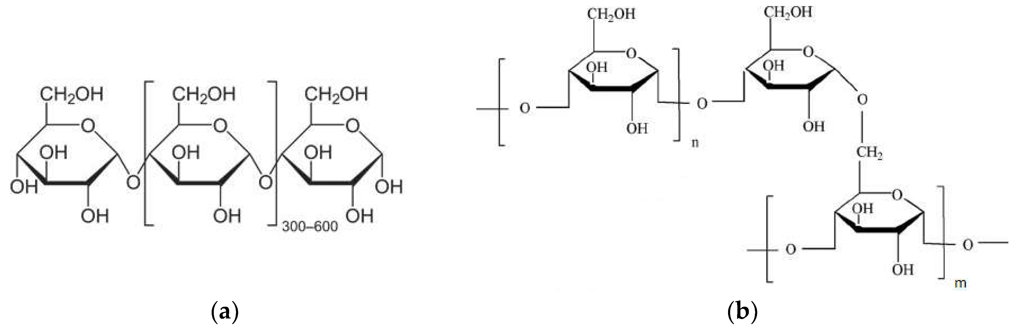
Starch, is a polysaccharide composed of amylose (20–30%) and amylopectin (70–80%) (Figure 5), and is primarily derived from cereal grains such corn (maize) or wheat.
Figure 5.
Structure of (a) amylose and (b) amylopectin.
Other commonly used sources are tapioca, potato, and rice. To be processable, starch must be modified by either plasticization, blending with other materials, genetic or chemical modification, or combining different approaches [62]. Starch-based materials available on the market consist of blends of starch and other polymers, such as poly(ethylene-co-vinyl alcohol), poly(vinyl alcohol), or polycaprolactone. These starch-based thermoplastic materials have found wider industrial applications ranging from extrusion applications, injection molding, blow molding, film blowing, and foaming [63,64]. The resistance to water or water vapor is, however, very limited because water swells the starch fraction of the blends, as observed for films prepared using wheat starch [65]. Hence the starch is partially released. Starch based packaging containers or films are thus suitable only for not hygroscopic dry products.
Chitosan is a cationic polysaccharide derived from the deacetylation of chitin and it is of animal (crustacean shells) or vegetal origin (fungal mycelium) (Figure 6).
Figure 6.
Structure of chitin and chitosan.
In general, chitosan is characterized by a lack of toxicity, biodegradability, film-forming capacity, anti-fungal and antioxidant properties, and good barrier properties of chitosan films to oxygen [66]. For these reasons, chitosan is largely used in many applications such as coatings to fruit and vegetables [67], meat [68], cheese [69], and sea-food [70]. Chitosan anti-fungal properties were largely investigated alone and in combination with other antioxidants and anti-fungal substances, such as essential oils [71]. Considering these active properties, chitosan can be applied as a coating on a PLA film in order to produce flexible packaging with biodegradability and antioxidant functionalities to protect perishable products [72]. The presence of anti-microbial coatings based on natural biopolymers that can also improve cells vitality and their regeneration [73], can suggest the possibility of transforming some general hygienic products in more sophisticated products promoting health and beauty of skin. Chitin and chitosan can be considered an optimum basis for this product, because of their anti-microbial and skin regenerative properties [74]. Moreover, an added value for the cosmetic packaging would be the capability of increasing the products’ shelf-life. Even chitin nanofibrils and their derivatives, also in the presence of active molecules, were kept into account for preparing bioplastic active materials and surfaces [75,76,77,78] that can have potential application in the cosmetic field [79].
5. Conclusions
Cosmetic packaging is hardly collected and recycled, thus the use of sustainable compostable or environmentally biodegradable materials for cosmetic packaging is an important challenge and an opportunity for sustainability. Innovative bio-based and compostable materials are already developed and suitable for production of cosmetic packaging while others are under development with very promising properties and perspective. Consumer and policy awareness is important to support the development of sustainable cosmetic packaging, which represent an important step versus the saving of our environment.
Author Contributions
All the authors contributed to the review, in particular P.C. and M.B.C. analyzed the literature, collected information, and wrote the paper; F.S. collected literature information; P.M. reviewed the paper; A.L. coordinated the paper discussion and focus.
Funding
This research has received funding from the Bio Based Industries Joint Undertaking under the European Union’s Horizon 2020 research and innovation programme in the framework of POLYBIOSKIN project (High performance functional bio-based polymers for skin-contact products in biomedical, cosmetic and sanitary industry, G.A. no. 745839).
Conflicts of Interest
The authors declare no conflict of interest.
References
- Communication from the Commission to the European Parliament, the Council, the European Economic and Social Committee and the Committee of the Regions. A European Strategy for Plastics in a Circular Economy. Available online: http://ec.europa.eu/environment/circular-economy/pdf/plastics-strategy.pdf (accessed on 12 April 2019).
- A Sustainable Bioeconomy for Europe: Strengthening the Connection between Economy, Society and the Environment. Available online: https://ec.europa.eu/research/bioeconomy/pdf/ec_bioeconomy_strategy_2018.pdf (accessed on 2 February 2019).
- Coltelli, M.B.; Aglietto, M. Riutilizzo dei Materiali Polimerici; Edizioni Nuova Cultura: Rome, Italy, 2011. [Google Scholar]
- Landfill of Waste. Amendments Adopted by the European Parliament on 14 March 2017 on the Proposal for a Directive of the European Parliament and of the Council Amending Directive 1999/31/EC on the Landfill of Waste. Available online: https://eur-lex.europa.eu/legal-content/EN/TXT/PDF/?uri=CELEX:52017AP0071&rid=9 (accessed on 12 April 2019).
- Ehilen, O.; Obadoni, B.; Imade, F.; Eseigbe, D.; Mensah, J.K. The Effect of Detergents on the Germination and Growth of Amaranthus hybridus L. and Solanum lycopersicon L. Niger. Ann. Natural Sci. 2017, 16, 100–108. [Google Scholar]
- Fatoba, P.O.; Olorunmaiye, K.S.; Adepoju, A.O. Effects of soaps and detergents wastes on seed germination, flowering and fruiting of tomato (Lycopersico nesculentum) and Okra (Abelmoschus esculentus) plants. Ecol. Environ. Conserv. 2011, 17, 7–11. [Google Scholar]
- Alvarenga, P.; Palma, P.; Goncalves, A.P.; Fernandes, R.M.; Cunha-Queda, A.C.; Duarte, E.; Vallini, G. Evaluation of chemical and ecotoxicological characteristics of biodegradable organic residues for application to agricultural land. Environ. Int. 2007, 33, 505–513. [Google Scholar] [CrossRef]
- Position of European Bioplastics concerning Bioplastics and the Circular Economy. Available online: https://www.pac.gr/bcm/uploads/bioplastics-and-the-circular-economy.pdf (accessed on 6 January 2019).
- The Global Cosmetic Products Market by Product Type. Available online: https://www.researchandmarkets.com/reports/3329348/global-cosmetics-market-by-product-type (accessed on 8 January 2019).
- Sustainable Cosmetic Summit. Available online: http://www.sustainablecosmeticssummit.com/aboutthesummit.htm (accessed on 6 January 2019).
- Said, P.; Pradhan, R.; Sharma, N.; Naik, B. Protective Coatings for Shelf Life Extension of Fruits and Vegetables. J. Bioresour. Eng. Technol. 2014, 1, 1–6. [Google Scholar]
- Coltelli, M.B.; Coiai, S.; Bronco, S.; Passaglia, E. Nanocomposites Based on Phyllosilicates: From Petrochemicals to Renewable Thermoplastic Matrices. In Advanced Nanomaterials; Geckeler, K.E., Nishide, H., Eds.; WILEY-VCH Verlag GmbH & Co. KGaA: Weinheim, Germany, 2010; pp. 403–458. [Google Scholar]
- Rittigstein, P.; Priestley, R.D.; Broadbelt, L.J.; Torkelson, J.M. Model polymer nanocomposites provide an understanding of confinement effects in real nanocomposites. Nat. Mater. 2007, 6, 257–258. [Google Scholar] [CrossRef] [PubMed]
- Neilson, L.E. Models for the Permeability of Filled Polymer Systems. J. Macromol. Sci. Chem. 1967, 1, 929–942. [Google Scholar]
- Pandora Project, Probing Safety of Nano-Objects by Defining Immune Responses of Environmental Organisms. Available online: www.pandora-h2020.eu (accessed on 6 April 2019).
- EC4SafeNano, European Center for Risk Management and Safe Innovation in Nanomaterials and Nanotechnologies. Available online: http://ec4safenano.eu/ (accessed on 6 April 2019).
- Optinanopro, Processing and Control of Novel Nanomaterials in Packaging, Automotive and Solar Panel Processing Lines. Available online: http://optinanopro.eu/ (accessed on 6 April 2019).
- Requirements for Packaging Recoverable through Composting and Biodegradation—Test Scheme and Evaluation Criteria for the Final Acceptance of Packaging, EN 13432, 2002. Available online: https://www.en-standard.eu/din-en-13432-requirements-for-packaging-recoverable-through-composting-and-biodegradation-test-scheme-and-evaluation-criteria-for-the-final-acceptance-of-packaging-english-version-of-din-en-13432/?gclid=Cj0KCQjw7sDlBRC9ARIsAD-pDFpKF9YMYpOOIiqnfagcQWk8JaDMHbcPENZanf5vWH_0hDPCw7rpwdEaAnIdEALw_wcB (accessed on 12 April 2019).
- Pantani, R.; Sorrentino, A. Influence of crystallinity on the biodegradation rate of injection-moulded poly(lactic acid) samples in controlled composting conditions. Polym. Degrad. Stab. 2013, 98, 1089–1096. [Google Scholar] [CrossRef]
- Fortunati, E.; Armentano, I.; Iannoni, A.; Barbale, M.; Zaccheo, S.; Scavone, M.; Visai, L.; Kenny, J.M. New multifunctional poly(lactide acid) composites: Mechanical, antibacterial, and degradation properties. J. Appl. Polym. Sci. 2012, 124, 87–98. [Google Scholar] [CrossRef]
- Castro-Aguirre, E.; Iniguez-Franco, F.; Samsudin, H.; Fang, X.; Auras, R. Poly(lactic acid)-Mass production, processing, industrial applications, and end of life. Adv. Drug Deliv. Rev. 2016, 107, 333–366. [Google Scholar] [CrossRef]
- Signori, F.; Coltelli, M.B.; Bronco, S. Thermal degradation of poly(lactic acid) (PLA) and poly(butylene adipate-co-terephthalate) (PBAT) and their blends upon melt processing. Polym. Degrad. Stab. 2009, 94, 74–82. [Google Scholar] [CrossRef]
- Aliotta, L.; Cinelli, P.; Coltelli, M.B.; Lazzeri, A. Rigid filler toughening in PLA-Calcium Carbonate composites: Effect of particle surface treatment and matrix plasticization. Eur. Polym. J. 2019, 113, 78–88. [Google Scholar] [CrossRef]
- Fehri, M.K.; Mugoni, C.; Cinelli, P.; Anguillesi, I.; Coltelli, M.B.; Fiori, S.; Montorsi, M.; Lazzeri, A. Composition dependence of the synergistic effect of nucleating agent and plasticizer in poly(lactic acid): A Mixture Design study. Express Polym. Lett. 2016, 10, 274–288. [Google Scholar] [CrossRef]
- Aliotta, L.; Cinelli, P.; Coltelli, M.B.; Righetti, M.C.; Gazzano, M.; Lazzeri, A. Effect of nucleating agents on crystallinity and properties of poly (lactic acid) (PLA). Eur. Polym. J. 2017, 93, 822–832. [Google Scholar] [CrossRef]
- Mallegni, N.; Phuong, V.T.; Coltelli, M.-B.; Cinelli, P.; Lazzeri, A. Poly(lactic acid) (PLA) Based Tear Resistant and Biodegradable Flexible Films by Blown Film Extrusion. Materials 2018, 11. [Google Scholar] [CrossRef]
- Coltelli, M.-B.; Bronco, S.; Chinea, C. The effect of free radical reactions on structure and properties of poly(lactic acid) (PLA) based blends. Polym. Degrad. Stab. 2010, 95, 332–341. [Google Scholar] [CrossRef]
- Farsetti, S.; Cioni, B.; Lazzeri, A. Physico-Mechanical Properties of Biodegradable Rubber Toughened Polymers. Macromol. Symp. 2011, 301, 82–89. [Google Scholar] [CrossRef]
- Coltelli, M.-B.; Toncelli, C.; Ciardelli, F.; Bronco, S. Compatible blends of biorelated polyesters through catalytic transesterification in the melt. Polym. Degrad. Stab. 2011, 96, 982–990. [Google Scholar] [CrossRef]
- Phuong, V.T.; Coltelli, M.-B.; Cinelli, P.; Cifelli, M.; Verstichel, S.; Lazzeri, A. Compatibilization and property enhancement of poly(lactic acid)/polycarbonate blends through triacetin-mediated interchange reactions in the melt. Polymer 2014, 55, 4498–4513. [Google Scholar] [CrossRef]
- Phuong, V.T.; Gigante, V.; Aliotta, L.; Coltelli, M.-B.; Cinelli, P.; Lazzeri, A. Reactively extruded ecocomposites based on poly(lactic acid)/bisphenol A polycarbonate blends reinforced with regenerated cellulose microfibers. Compos. Sci. Technol. 2017, 139, 127–137. [Google Scholar] [CrossRef]
- Gigante, V.; Aliotta, L.; Phuong, V.T.; Coltelli, M.B.; Cinelli, P.; Lazzeri, A. Effects of waviness on fiber-length distribution and interfacial shear strength of natural fibers reinforced composites. Compos. Sci. Technol. 2017, 152, 129–138. [Google Scholar] [CrossRef]
- Phuong, V.; Verstichel, S.; Cinelli, P.; Anguillesi, I.; Coltelli, M.; Lazzeri, A. Cellulose Acetate Blends—Effect of Plasticizers on Properties and Biodegradability; Ingenta: London, UK, 2014; Volume 2. [Google Scholar]
- Coltelli, M.-B.; Mallegni, N.; Rizzo, S.; Cinelli, P.; Lazzeri, A. Improved Impact Properties in Poly(lactic acid) (PLA) Blends Containing Cellulose Acetate (CA) Prepared by Reactive Extrusion. Materials 2019, 12. [Google Scholar] [CrossRef] [PubMed]
- Coltelli, M.-B.; Maggiore, I.D.; Bertoldo, M.; Signori, F.; Bronco, S.; Ciardelli, F. Poly(lactic acid) properties as a consequence of poly(butylene adipate-co-terephthalate) blending and acetyl tributyl citrate plasticization. J. Appl. Polym. Sci. 2008, 110, 1250–1262. [Google Scholar] [CrossRef]
- Fehri, S.; Cinelli, P.; Coltelli, M.B.; Anguillesi, I.; Lazzeri, A. Thermal Properties of Plasticized Poly (Lactic Acid) (PLA) Containing Nucleating Agent. Int. J. Chem. Eng. Appl. 2016, 7, 85–88. [Google Scholar] [CrossRef]
- Sinha Ray, S.; Bousmina, M. Biodegradable polymers and their layered silicate nanocomposites: In greening the 21st century materials world. Prog. Mater. Sci. 2005, 50, 962–1079. [Google Scholar] [CrossRef]
- Castiello, S.; Coltelli, M.-B.; Conzatti, L.; Bronco, S. Comparative study about preparation of poly(lactide)/Organophilic montmorillonites nanocomposites through melt blending or ring opening polymerization methods. J. Appl. Polym. Sci. 2012, 125, E413–E428. [Google Scholar] [CrossRef]
- Scatto, M.; Salmini, E.; Castiello, S.; Coltelli, M.-B.; Conzatti, L.; Stagnaro, P.; Andreotti, L.; Bronco, S. Plasticized and nanofilled poly(lactic acid)-based cast films: Effect of plasticizer and organoclay on processability and final properties. J. Appl. Polym. Sci. 2013, 127, 4947–4956. [Google Scholar] [CrossRef]
- Jorda-Beneyto, M.; Ortuño, N.; Devis, A.; Aucejo, S.; Puerto, M.; Gutiérrez-Praena, D.; Houtman, J.; Pichardo, S.; Maisanaba, S.; Jos, A. Use of nanoclay platelets in food packaging materials: Technical and cytotoxicity approach. Food Addit. Contam. Part A 2014, 31, 354–363. [Google Scholar] [CrossRef] [PubMed]
- Maisanaba, S.; Prieto, A.I.; Pichardo, S.; Jordá-Beneyto, M.; Aucejo, S.; Jos, Á. Cytotoxicity and mutagenicity assessment of organomodified clays potentially used in food packaging. Toxicol. In Vitro 2015, 29, 1222–1230. [Google Scholar] [CrossRef]
- Development of a Bioplastic Package for Organic Cosmetic Creams-BIOBEAUTY-. Available online: https://cordis.europa.eu/project/rcn/188537/reporting/en (accessed on 2 February 2019).
- Andrzejewska, A.; Mazurkiewicz, A.; Ligaj, B. Investigation of mechanical properties the polylactide in function its degradation rate. IOP Conf. Ser. Mater. Sci. Eng. 2018, 393, 012033. [Google Scholar] [CrossRef]
- Iñiguez-Franco, F.; Auras, R.; Rubino, M.; Dolan, K.; Soto-Valdez, H.; Selke, S. Effect of nanoparticles on the hydrolytic degradation of PLA-nanocomposites by water-ethanol solutions. Polym. Degrad. Stab. 2017, 146, 287–297. [Google Scholar] [CrossRef]
- Zhang, P.; He, Y.-Y.; Gao, D.; Cai, Y.; Liu, B. Hydrolytic and thermal degradation of polyethylene glycol compatibilized poly(lactic acid)-nanocrystalline cellulose bionanocomposites. J. Appl. Polym. Sci. 2019, 136, 46933. [Google Scholar] [CrossRef]
- Bugnicourt, E.; Cinelli, P.; Lazzeri, A.; Alvarez, V. Polyhydroxyalkanoate (PHA): Review of synthesis, characteristics, processing and potential applications in packaging. Express Polym. Lett. 2014, 8, 791–808. [Google Scholar] [CrossRef]
- Sudesh, K.; Abe, H.; Doi, Y. Synthesis, structure and properties of polyhydroxyalkanoates: Biological polyesters. Prog. Polym. Sci. 2000, 25, 1503–1555. [Google Scholar] [CrossRef]
- Yoon, J.-S.; Lee, W.-S.; Jin, H.-J.; Chin, I.-J.; Kim, M.-N.; Go, J.-H. Toughening of poly(3-hydroxybutyrate) with poly(cis-1,4-isoprene). Eur. Polym. J. 1999, 35, 781–788. [Google Scholar] [CrossRef]
- Jabeen, N.; Majid, I.; Nayik, G.A. Bioplastics and food packaging: A review. Cogent Food Agric. 2015, 1, 1117749. [Google Scholar] [CrossRef]
- Haugaard, V.K.; Danielsen, B.; Bertelsen, G. Impact of polylactate and poly(hydroxybutyrate) on food quality. Eur. Food Res. Technol. 2003, 216, 233–240. [Google Scholar] [CrossRef]
- Koller, I.; Owen, A.J. Starch-Filled PHB and PHB/HV copolymer. Polym. Int. 1996, 39, 175–181. [Google Scholar] [CrossRef]
- Singh, R. Facts, Growth, and Opportunities in Industrial Biotechnology. Org. Process Res. Dev. 2011, 15, 175–179. [Google Scholar] [CrossRef]
- Yu, J.; Chen, L.X.L. The Greenhouse Gas Emissions and Fossil Energy Requirement of Bioplastics from Cradle to Gate of a Biomass Refinery. Environ. Sci. Technol. 2008, 42, 6961–6966. [Google Scholar] [CrossRef]
- Chen, Y.; Tsai, Y.-H.; Chou, I.N.; Tseng, S.-H.; Wu, H.-S. Application of Biodegradable Polyhydroxyalkanoates as Surgical Films for Ventral Hernia Repair in Mice. Int. J. Polym. Sci. 2014, 2014. [Google Scholar] [CrossRef]
- Deroiné, M.; Le Duigou, A.; Corre, Y.-M.; Le Gac, P.-Y.; Davies, P.; César, G.; Bruzaud, S. Seawater accelerated ageing of poly(3-hydroxybutyrate-co-3-hydroxyvalerate). Polym. Degrad. Stab. 2014, 105, 237–247. [Google Scholar] [CrossRef]
- Volova, T.G.; Boyandin, A.N.; Vasiliev, A.D.; Karpov, V.A.; Prudnikova, S.V.; Mishukova, O.V.; Boyarskikh, U.A.; Filipenko, M.L.; Rudnev, V.P.; Bá Xuân, B.; et al. Biodegradation of polyhydroxyalkanoates (PHAs) in tropical coastal waters and identification of PHA-degrading bacteria. Polym. Degrad. Stab. 2010, 95, 2350–2359. [Google Scholar] [CrossRef]
- Seggiani, M.; Cinelli, P.; Balestri, E.; Mallegni, N.; Stefanelli, E.; Rossi, A.; Lardicci, C.; Lazzeri, A. Novel Sustainable Composites Based on Poly(hydroxybutyrate-co-hydroxyvalerate) and Seagrass Beach-CAST Fibers: Performance and Degradability in Marine Environments. Materials 2018, 11. [Google Scholar] [CrossRef]
- Mlalila, N.; Hilonga, A.; Swai, H.; Devlieghere, F.; Ragaert, P. Antimicrobial packaging based on starch, poly(3-hydroxybutyrate) and poly(lactic-co-glycolide) materials and application challenges. Trends Food Sci. Technol. 2018, 74, 1–11. [Google Scholar] [CrossRef]
- Avérous, L.; Fringant, C.; Moro, L. Plasticized starch–cellulose interactions in polysaccharide composites. Polymer 2001, 42, 6565–6572. [Google Scholar] [CrossRef]
- Gennadios, A.; Hanna, M.A.; Kurth, L.B. Application of Edible Coatings on Meats, Poultry and Seafoods: A Review. LWT—Food Sci. Technol. 1997, 30, 337–350. [Google Scholar] [CrossRef]
- Cyras, V.P.; Commisso, M.S.; Mauri, A.N.; Vázquez, A. Biodegradable double-layer films based on biological resources: Polyhydroxybutyrate and cellulose. J. Appl. Polym. Sci. 2007, 106, 749–756. [Google Scholar] [CrossRef]
- Demirgöz, D.; Elvira, C.; Mano, J.F.; Cunha, A.M.; Piskin, E.; Reis, R.L. Chemical modification of starch based biodegradable polymeric blends: Effects on water uptake, degradation behaviour and mechanical properties. Polym. Degrad. Stab. 2000, 70, 161–170. [Google Scholar] [CrossRef]
- Mensitieri, G.; Di Maio, E.; Buonocore, G.G.; Nedi, I.; Oliviero, M.; Sansone, L.; Iannace, S. Processing and shelf life issues of selected food packaging materials and structures from renewable resources. Trends Food Sci. Technol. 2011, 22, 72–80. [Google Scholar] [CrossRef]
- Chiellini, E.; Cinelli, P.; Ilieva, V.I.; Imam, S.H.; Lawton, J.W. Environmentally Compatible Foamed Articles Based on Potato Starch, Corn Fiber, and Poly(Vinyl Alcohol). J. Cell. Plast. 2009, 45, 17–32. [Google Scholar] [CrossRef]
- Coltelli, M.B.; Danti, S.; Trombi, L.; Morganti, P.; Donnarumma, G.; Baroni, A.; Fusco, A.; Lazzeri, A. Preparation of Innovative Skin Compatible Films to Release Polysaccharides for Biobased Beauty Masks. Cosmetics 2018, 5, 70. [Google Scholar] [CrossRef]
- Verlee, A.; Mincke, S.; Stevens, C.V. Recent developments in antibacterial and antifungal chitosan and its derivatives. Carbohydr. Polym. 2017, 164, 268–283. [Google Scholar] [CrossRef]
- Devlieghere, F.; Vermeulen, A.; Debevere, J. Chitosan: Antimicrobial activity, interactions with food components and applicability as a coating on fruit and vegetables. Food Microbiol. 2004, 21, 703–714. [Google Scholar] [CrossRef]
- Higueras Contreras, L.; López-Carballo, G.; Hernández-Muñoz, P.; Catala, R.; Gavara, R. Antimicrobial packaging of chicken fillets based on the release of carvacrol from chitosan/cyclodextrin films. Int. J. Food Microbiol. 2014, 188C, 53–59. [Google Scholar] [CrossRef]
- Zhonga, Y.; Cavenderb, G.; Zhao, Y. Investigation of different coating application methods on the performance of edible coatings on Mozzarella cheese. LWT—Food Sci. Tecnnol. 2014, 56, 1–8. [Google Scholar] [CrossRef]
- Arancibia, M.Y.; Lòpez-Caballero, M.E.; Gòmez-Guillen, M.C.; Montero, P. Chitosan coatings enriched with active shrimp waste for shrimp preservation. Food Control 2015, 54, 259–266. [Google Scholar] [CrossRef]
- Valenzuela, C.; Tapia, C.; López, L.; Bunger, A.; Escalona, V.; Abugoch, L. Effect of edible quinoa protein-chitosan based films on refrigerated strawberry (Fragaria × ananassa) quality. Electron. J. Biotechnol. 2015, 18, 406–411. [Google Scholar] [CrossRef]
- Cinelli, P.; Coltelli, M.; Mallegni, N.; Morganti, P.; Lazzeri, A. Degradability and Sustainability of Nanocomposites Based on Polylactic Acid and Chitin Nano Fibrils. Chem. Eng. 2017, 60. [Google Scholar]
- Zheng, L.-Y.; Zhu, J.-F. Study on antimicrobial activity of chitosan with different molecular weights. Carbohydr. Polym. 2003, 54, 527–530. [Google Scholar] [CrossRef]
- Morganti, P.; Fusco, A.; Paoletti, I.; Perfetto, B.; Del Ciotto, P.; Palombo, M.; Chianese, A.; Baroni, A.; Donnarumma, G. Anti-Inflammatory, Immunomodulatory, and Tissue Repair Activity on Human Keratinocytes by Green Innovative Nanocomposites. Materials 2017, 10, 843. [Google Scholar] [CrossRef]
- Coltelli, M.-B.; Gigante, V.; Panariello, L.; Aliotta, L.; Morganti, P.; Danti, S.; Cinelli, P.; Lazzeri, A. Chitin nanofibrils in renewable materials for packaging and personal care applications. Adv. Mater. Lett. 2019. [Google Scholar] [CrossRef]
- Coltelli, M.-B.; Cinelli, P.; Gigante, V.; Aliotta, L.; Morganti, P.; Panariello, L.; Lazzeri, A. Chitin Nanofibrils in Poly(Lactic Acid) (PLA) Nanocomposites: Dispersion and Thermo-Mechanical Properties. Int. J. Mol. Sci. 2019, 20, 504. [Google Scholar] [CrossRef]
- Panariello, L.; Coltelli, M.-B.; Buchignani, M.; Lazzeri, A. Chitosan and nano-structured chitin for biobased anti-microbial treatments onto cellulose based materials. Eur. Polym. J. 2019, 113, 328–339. [Google Scholar] [CrossRef]
- Morganti, P.; Danti, S.; Coltelli, M.B. Chitin and lignin to produce biocompatible tissues. Res. Clin. Dermatol. 2018, 1, 5–11. [Google Scholar]
- Morganti, P.; Coltelli, M.B. A New Carrier for Advanced Cosmeceuticals. Cosmetics 2019, 6, 10. [Google Scholar] [CrossRef]
© 2019 by the authors. Licensee MDPI, Basel, Switzerland. This article is an open access article distributed under the terms and conditions of the Creative Commons Attribution (CC BY) license (http://creativecommons.org/licenses/by/4.0/).





