Abstract
Aging is a natural and progressive declining physiological process that is influenced by multifactorial aspects and affects individuals’ health in very different ways. The skin is one of the major organs in which aging is more evident, as it progressively loses some of its natural functions. With the new societal paradigms regarding youth and beauty have emerged new concerns about appearance, encouraging millions of consumers to use cosmetic/personal care products as part of their daily routine. Hence, cosmetics have become a global and highly competitive market in a constant state of evolution. This industry is highly committed to finding natural sources of functional/bioactive-rich compounds, preferably from sustainable and cheap raw materials, to deliver innovative products and solutions that meet consumers’ expectations. Macroalgae are an excellent example of a natural resource that can fit these requirements. The incorporation of macroalgae-derived ingredients in cosmetics has been growing, as more and more scientific evidence reports their skin health-promoting effects. This review provides an overview on the possible applications of macroalgae as active ingredients for the cosmetic field, highlighting the main compounds responsible for their bioactivity on skin.
1. Introduction
The world population continues to grow, although at a slower rate than in the recent past, and is expected to reach 9.7 billion by 2050. Globally, demographic projections indicate that life expectancy at birth is increasing [1], which means that populations are getting older [2]. This will certainly have wide-ranging repercussions on social, economic, and health systems.
Aging is a natural and progressive declining physiological process, influenced by multifactorial aspects, that affects individuals’ health in very different ways [3,4]. Oxidative stress has a substantial role in aging, and several studies have suggested different mechanisms by which free radicals can damage biological systems, leading to the development of chronic diseases: diabetes, cognitive decline and neurodegenerative diseases (e.g., Alzheimer’s and Parkinson’s), cardiovascular injuries, skin damage, and certain types of cancer, among many others [2,4,5,6,7,8,9].
1.1. Cosmetics Industry
The skin has historically been used for the topical delivery of compounds, being a dynamic, complex, integrated arrangement of cells, tissues, and matrix elements that regulates body heat and water loss, whilst preventing the invasion of toxic substances and microorganisms. Structurally, skin is composed of three major regions: epidermis, dermis, and hypodermis. According to Mathes et al. [10], the most superficial layer of the epidermis (stratum corneum) contains a cornified layer of protein-rich dead cells embedded in a lipid matrix which, in turn, manly comprises ceramides, cholesterol, and fatty acids (FA). Within the epidermis, melanocytes, Merkel cells, and Langerhans cells can also be found; these are responsible for melanin production, sensorial perception, and immunological defense, respectively [11]. The viable epidermis (50–100 μm) containing the basal membrane presents laminins (at least one type), type IV collagen, and nidogen, as well as the proteoglycan perlecan, while in the dermis (1–2 mm) it is possible to find sweat glands and hair follicles [12]. The dermis is pervaded by blood and lymph vessels. This skin layer matrix comprises not only arranged collagen fibers and a reticular layer with dense collagen fibers arranged in parallel to the skin surface, but also collagen and elastin, which provide the elastic properties of the skin [10]. Fibroblasts are the main cell type of the dermis. Beneath the dermis lies the hypodermis, where adipocytes are the most prominent cell type.
The efficacy of cosmetic active ingredients is related to their diffusion rate through the skin barrier to their specific targets [13]. However, small soluble molecules with simultaneous lipophilic and hydrophilic properties have a greater ability to cross the stratum corneum than do high-molecular-weight particles, polymers, or highly lipophilic substances [14]. Also, it should be highlighted that the skin surface has long been recognized to be acidic, with a pH of 4.2–5.6, being described as the acid mantle [15].
During aging, skin becomes thinner, fragile, and progressively loses its natural elasticity and ability to maintain hydration [16], and with the new society paradigms regarding youth and beauty have emerged new concerns about appearance. The use of cosmetic/personal care products (PCP) and their ingredients is part of the daily routine of millions of consumers. PCP can be locally applied on the skin, lips, eyes, oral cavity, or mucosa, but systemic exposure to the ingredients cannot be neglected and should be carefully considered. Besides this, there is the possibility of local adverse reactions, such as irritation, sensitization, or photoreactions. Given the massive use of these products, they must be diligently evaluated for safety prior to marketing [17].
According to Regulation European Commission (EC,) 1223/2009, a cosmetic product is defined as “any substance or mixture intended to be placed in contact with the external parts of the human body (epidermis, hair system, nails, lips and external genital organs) or with the teeth and the mucous membranes of the oral cavity with a view exclusively or mainly to cleaning them, perfuming them, changing their appearance, protecting them, keeping them in good condition or correcting body odours” [18].
However, there is another category—the “cosmeceuticals”—which is attracting the industry’s attention and is of interest to the most attentive consumers. The term has its origin about three decades ago [19], but to this day it has no legal meaning, namely, under the Federal Food, Drug, and Cosmetic Act [20]. Even so, the industry continues to use this designation, and cosmeceuticals’ development and marketing still lies between the individual benefits of cosmetics and pharmaceuticals [21]. Recently, Kim [22] stated that some cosmetic formulations, in fact, are intended to prevent disease or to affect human skin’s function or structure, and can be considered as drugs. These may include sunscreens or antidandruff shampoos, but also other cosmetics containing active ingredients that promote physiological changes in skin cells, making them appear healthier and younger [23].
Cosmetics are a global and highly competitive market worth more than €425 billion worldwide [24]. In 2016, the European cosmetics and personal care market was the largest in the world, valued at €77 billion in retail sales price, followed by the United States (€64 billion) and Brazil (€24 billion) [25].
In recent decades, consumers have been drawing more and more attention not only to lifestyle issues and their impact on health and well-being, but also to environment and sustainability matters, questioning the origin of products, manufacturing processes, and ecological implications, along with safety issues [23,26]. The search for natural products for a great diversity of purposes, including food, nutraceuticals, cosmetics, and personal hygiene products, among others, somehow reflects these concerns [27]. In part, this is due to the consumers’ perception about the safety of botanicals, which are derived from nature, making them desirable ingredients over synthetic ones for a diversity of formulations [16,28]. This is strong encouragement for industry-related research to find solutions and novel/alternative natural raw materials with additional properties that go further than their basic functions (e.g., nutrition) [28,29,30]. Nevertheless, it is of huge importance to guarantee that the selected raw materials are nontoxic and safe, and to also ensure accurate controls throughout all the production phases of industrial batches [16].
At the end, the main challenge of this whole process is to add value to products. This can be accomplished in several different ways, namely, by (i) finding natural raw materials that are simultaneously rich in functional and bioactive compounds; (ii) using these resources in a sustainable way; (iii) processing them through green processes and eco-friendly procedures, with low environmental impact; and/or (iv) delivering products and innovative solutions that meet consumers’ expectations.
The following sections will provide an overview about the possible application of macroalgae as active ingredients in the cosmetic field, highlighting the main compounds responsible for their bioactivity on skin.
1.2. Macroalgae in the World—Global Numbers
Macroalgae are an excellent example of a natural resource that can fit the above-mentioned principles. According to the latest available statistics from FAO (Food and Agriculture Organization), about 23.8 million tons of macroalgae ($6.4 billion) and other algae are harvested annually. The major producing countries are China (54%) and Indonesia (27%), followed by the Philippines (7.4%), Republic of Korea (4.3%), Japan (1.85%), and Malaysia (1.39%) [31]. In Asian countries, macroalgae are traditionally used as food, for medicinal purposes, or as fertilizers. Besides this, they are a valuable raw material used as an ingredient in animal feed [31,32,33,34]. However, some authors consider them to be still underexploited and to have not yet reached their full potential of application [35].
Overall, following global trends, there is a growing demand for edible algae and algae-based products [36]. With aquaculture, which is one of the fastest growing producing sectors, it is possible to considerably increase the availability of that biomass [30,31,37].
The marine environment is extremely demanding, competitive, and aggressive. Consequently, marine organisms, including macroalgae, are forced to develop an efficient metabolic response as a self-defense mechanism, for example, by producing secondary metabolites that allow them to preserve their survival and protect themselves against external threats [32]. Therefore, sea biodiversity presents the opportunity to explore these molecules and find novel and natural bioactive compounds.
Macroalgae are one of the most ecologically and economically important living resources of the oceans, being generally classified into three groups according to their pigmentation: Phaeophyceae (brown), Rhodophyceae (red), and Chlorophyceae (green) [33,34]. Undeniably, they have huge potential as a natural source of important nutrients, namely, fiber (15–76% dry weight, dw), protein (1–50% dw), essential amino acids, essential minerals, and trace elements (ash: 11–55% dw) [24]. Despite having a low fat content (0.3–5% dw), they provide long-chain polyunsaturated fatty acids from the n-3 family (n-3 LC-PUFA), such as eicosapentaenoic acid (EPA, 20:5n-3), and liposoluble vitamins (e.g., β-carotene, vitamin E) [34,36,38,39,40]. However, it is important to highlight that macroalgae development and composition is affected by the species genetics and the surrounding growth conditions, namely, light, temperature, pH, salinity, and nutrient variations [35,38,41,42].
The production of macroalgae in aquaculture is not very complex and can be performed at a large scale. They can develop quickly and, by controlling their growth conditions, it is possible to manipulate their chemical composition, namely, protein, polyphenol, and pigment contents [16,41].
Regardless of their origin (either from wild harvest or from controlled production), the overall chemical composition of macroalgae makes them a very worthy bio-sustainable ingredient for a wide range of applications. This is of particular interest for the cosmetic industry, in which the ingredients used in the formulations—either active substances, excipients, or additives—are elements of added value and differentiation of a final product. The active ingredient is responsible for the cosmetic activity of interest (moisturizing, whitening, antiaging, etc.), while the excipient constitutes the vector for the active ingredient and, in turn, the additive is an ingredient intended to improve the product preservation or its organoleptic properties [24].
2. Macroalgae as a Source of Functional and Technological Ingredients
For years, due to their composition, some species of macroalgae have been traditionally used as a source of phycocolloids, namely, agar and carrageenan extracted from red algae such as Gracilaria, Chondrus, Gelidiella, among others, and alginate from brown algae like Ascophyllum, Laminaria, or Sargassum [30,33,43,44]. These phycocolloids are water-soluble polysaccharides, mainly used to thicken (increase the viscosity of) aqueous solutions, to make gels of variable degrees of firmness, to produce water-soluble films, and to stabilize some products [43]. Agar and carrageenan form thermally reversible gels, while alginate gels do not melt on heating. These compounds are industrially extracted and, due to their technological characteristics, further used as ingredients/additives in a wide variety of products in agro-food, pharmaceutic and cosmetic industries [30,31,33,43]. Table 1 describes some examples of industrial applications and technological functions of the above-mentioned phycocolloids extracted from macroalgae, specifically in the cosmetic industry [45,46,47].
Table 1.
Applications and technological functions of phycocolloids extracted from macroalgae in the cosmetics industry.
Natural plant extracts can be incorporated in a wide variety of cosmetic products, like creams and body lotions, soaps, shampoos, hair conditioners, toothpastes, deodorants, shaving creams, perfumes, and make-up, among others; this has been a very active area of research [28,48]. Regarding, specifically, the use of macroalgae, some species are suitable for dermocosmetic applications [49].
Within the additives class, preservatives are one of the most representative substances. For the industry, finding sources of natural additives as alternatives to current commercial synthetic ones is a matter of great interest [50]. Some of the more commonly used additives are BHT (butyl hydroxytoluene) and BHA (butyl hydroxyanisole), used as synthetic antioxidants to retard lipid oxidation [51]. However, BHT has been associated with cancer and respiratory and behavioral issues in children. An alternative is to use BHA instead, although, in high doses, it can also be carcinogenic [52]. Alternatively, natural antioxidants from plants and macroalgae have been demonstrating a solid substitution potential [35,53]. Their antioxidant-rich extracts actively protect formulations against oil oxidative processes, particularly those containing a higher amount of oily phase, while simultaneously presenting health-promoting effects [27].
Currently, the interest of the cosmetic industry in macroalgae goes further than just using it as a source of excipients and additives, as those previously mentioned in Table 1. Besides their functional and technological properties, macroalgae are a source of bioactive compounds of added value, which can also be a competitive advantage for this industry.
3. Macroalgae as a Source of Bioactive Skin Care Compounds
Over the years, many studies have been conducted about the nutritional composition, secondary metabolites and bioactivities—as well as the potential health-promoting effects—of macroalgae. To date, most of these marine-derived compounds were intended for food and pharmaceutical applications [38]. Also, several researchers have been exploring the effects of macroalgae on health, showing some progress and important positive outcomes in regards to some types of cancer; heart diseases; thyroid and immune functions; allergy; inflammation [54]; and antioxidant, antibacterial, and antiviral activity [55], among many others [42,56,57].
Aware of this, the cosmetic industry is interested in using macroalgae as a source of bio-sustainable ingredients since they are extremely rich in biologically active compounds (Table 2), some of which are already documented as functional active skin care agents [24,58]. As an additional advantage for this industry, these ingredients can be cheap, while matching consumers’ requests for “natural” and “healthier” products.
Table 2.
Health benefits associated with macroalgae-derived bioactive compounds.
Some of the bioactive compounds associated with skin care include polysaccharides, proteins, (especially peptides and amino acids), lipids (including PUFA, sterols, and squalene), minerals, and vitamins, but also the secondary metabolites such as phenolic compounds, terpenoids, and halogenated compounds, among others [22,24,32,42,65]. Depending on their physicochemical properties, molecular size, and solubility, bioactive compounds can be extracted, isolated, and purified by several different methods [65]. However, in order to be used as ingredients in cosmetics, solvents used in the whole process of extraction must be GRAS-grade (Generally Recognized As Safe), which excludes all of those listed as substances prohibited in cosmetic products, described in Annex II of Regulation (EC) No 1223/2009 of the European Parliament and of the Council of 18 December 2006, concerning cosmetic products [18]. Table 2 summarizes some health benefits associated with macroalgae-derived bioactive compounds.
3.1. Polysaccharides
The biological activity of several macroalgae-derived sulphated polysaccharides (SPs) has been often reported [65,66]. The chemical structure of these macromolecules varies according to the species: brown species present mainly laminarans (up to 32%–35% dw) and fucoidans; red algae are mainly rich in carrageenans and porphyrans; and green algae are typically rich in ulvans [50,55,67]. Anti-proliferative activity in cancer cell lines as well as inhibitory activity against tumors has been described for fucoidans [66]. The genus Porphyra contains mainly porphyrans, an agar-like sulphated galactan disaccharide, which accounts for up to 48% of thallus (dw) [35]. It has been reported that red macroalgae SPs, namely, xylomannan, galactans, and carrageenans, exhibit antiviral activity [59]. When accessing the antioxidant activity of different SPs—carrageenans (lambda, kappa, and iota), fucoidans, and fucans—de Souza and colleagues [60] found that fucoidan and lambda carrageenan exhibited the highest antioxidant activity and free radical scavenging activity against superoxide anions and hydroxyl radicals. Ulvans, in turn, designated a water-soluble group typically found in green macroalgae, which are mainly composed of glucuronic acid and iduronic acid units together with rhamnose and xylose sulphates [55]. It has been reported that these compounds present a high antioxidant capacity against some reactive oxygen species (ROS), namely, superoxide and hydroxyl radicals [62].
3.2. Proteins, Peptides, and Amino Acids
In macroalgae, proteins are a structural part of cell walls, enzymes, and bioactive molecules, such as glycoproteins and pigments [68].
3.2.1. Protein
Protein content is one important parameter when determining the value of biomass, and may be the starting point for selecting species that may be more profitable from which to obtain bioactive peptides and amino acids through selected enzymes. The interest in enzymes in the field of cosmetics has increased. Enzymes are highly specific and selective, easy to process, and can be applied in a wide range of substrates and organic transformations in diverse reaction media [69].
Besides presenting substantial amounts of protein (up to 47% dw), most species present a complete profile of essential amino acids [70]. Even so, protein content varies according to species, being generally higher in Rhodophyceae (8%–50% dw), compared with Chlorophyceae and Phaeophyceae (7%–32% and 6%–24% dw, respectively) [29]. Geographical origin and seasonality also affect their protein composition, especially because nitrogen availability may fluctuate due to water temperature and salinity variations, light irradiation, and wave force, thereby affecting their nutrient supply [29,71].
3.2.2. Peptides
Peptides are formed of short chains of 2 to 20 amino acids. Their biofunctional properties depend on their amino acid composition and sequence in the parent protein, which needs to undergo a hydrolysis, commonly with digestive enzymes, so that peptides can be released and become active [29]. The biofunctional and bioactive properties of peptides are based on their physiological behavior, which resembles hormones or druglike activities. Besides this, they have the capacity to modify physiological functions, even in the skin, due to their ability to interact with target cells, binding to specific cell receptors or inhibiting enzymatic reactions [72,73]. Marine peptides, including macroalgae-derived ones, have been considered safer than synthetic molecules due to their high bioactivity and biospecificity to targets, with rare adverse effects and reduced risk of unwanted side effects [74]. In fact, lately, peptides have been considered a captivating topic in the field of cosmetics and skin applications [75].
3.2.3. Amino Acids
Macroalgae are an excellent source of amino acids and amino acid derivatives, which constitute the natural moisturizing factor (NMF) in the stratum corneum and promote collagen production in the skin [65]. Some species of red macroalgae like Palmaria and Porphyra have been reported to present high amounts of arginine in their composition. Arginine is a precursor of urea, which is a component of NMF, used in cosmetic formulations [65].
Mycosporine-like amino acids are a family of secondary water-soluble metabolites with low molecular weight [29]. They are characterized by a cyclohexenone or cyclohexenimine chromophore conjugated with a nitrogen substituent of an amino acid, amino alcohol, or amino group, with maximum absorption wavelengths ranging from 310 to 360 nm [76]. Mycosporine-like amino acids protect macroalgae from UV radiation, and have been described as important antioxidant compounds in red algae with reports that they are very efficient photoprotector agents [29,65,77]. Hence, these metabolites have great potential to be used as natural skin protection ingredients in photo-protective formulations.
3.3. Lipids
Macroalgae are known as a low-energy food, and, although their total lipid contribution is generally very low (<4.5% dw), their PUFA contents are comparable to or even higher than those found in terrestrial plants [38,78]. Still, the main classes of lipids are present in their composition and include essential FA, triglycerides, phospholipids, glycolipids, sterols, liposoluble vitamins (A, D, E, and K), and carotenoids [65].
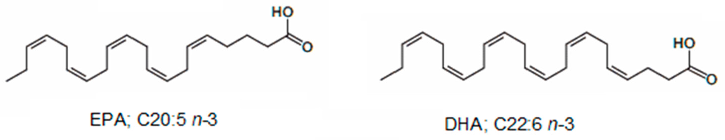
Long-chain PUFAs (LC-PUFAs) have 20 or more carbons with two or more double bonds from the methyl (omega) terminus. Marine lipids contain substantial amounts of LC-PUFAs, among which eicosapentaenoic acid (EPA; 20:5n-3) and docosahexaenoic acid (DHA; 22:6n-3) are the most important (Figure 1), along with the precursors α-linolenic acid (ALA; 18:3n-3) and docosapentaenoic acid (22:5n-3) [38]. Beneficial clinical and nutraceutical applications have been described for these compounds [78].
Figure 1.
Chemical structure of eicosapentaenoic acid (EPA; C20:5n-3) and docosahexaenoic acid (DHA; C22:6n-3).
LC-PUFAs are essential components of all cell membranes and eicosanoid precursors, and are critical bioregulators of many cellular processes [79]. As mediators of many different biochemical pathways, they play an important role in health [80]. In several macroalgae species, EPA (C20:5n-3) is frequently the most representative PUFA—in some cases, reaching 50% of the total FA content [78].
A study performed by Kumari and colleagues [78] reported interesting features when comparing several macroalgae species: Chlorophyta species presented higher C18-PUFAs amounts than did C20-PUFAs, while the analyzed Rhodophyta species showed the opposite trend. In turn, Phaeophyta samples exhibited a C18-PUFAs profile comparable to that of Chlorophyta and a C20-PUFAs profile similar to that of Rhodophyta. Both brown and red species were richer in arachidonic acid and EPA, while the green ones contained higher amounts of DHA.
As stated by several authors, variations in the lipid content and FA composition are often found, and it is generally accepted that such disparities, besides the already mentioned environmental conditions, could be due to different sample treatments and extraction methods [81,82].
3.4. Vitamins and Minerals
Macroalgae are a good source of both fat-soluble vitamins (e.g., vitamin E) and water-soluble vitamins, namely, B1 (thiamine), B2 (riboflavin), B3 (niacin), B5 (pantothenic acid), B6 (pyridoxine), B12 (cobalamin), B8 (biotin), B9 (folic acid), and C (ascorbic acid) [40]. Interestingly, macroalgae are also one of the few vegetable sources of vitamin B12—Its presence is likely due to the bacteria living on their surface or in the proximate waters [35].
Besides this, macroalgae are important sources of minerals and trace elements, namely, calcium, sodium, potassium, magnesium, iron, copper, iodine, and zinc [40].
3.5. Pigments and Phenolic Compounds
Macroalgae contain a wide variety of pigments that absorb light for photosynthesis, many of which are not found in terrestrial plants. Species are characterized by specific sets of pigments. Three major classes of photosynthetic pigments are found in algae: chlorophylls, carotenoids (carotenes and xanthophylls), and phycobiliproteins [68]. These compounds are responsible for macroalgae color variations during their growth and reproduction cycles, which depend on the amounts of pigments present (chlorophylls, carotenoids, and their breakdown metabolites) [83].
Chlorophylls and carotenoids are liposoluble molecules. Chlorophylls, the greenish pigments, are a group of cyclic tetrapyrrolic pigments, with a porphyrin ring with a central magnesium ion and usually a long hydrophobic chain. Generally, chlorophyll a is the most abundant photosynthetic pigment, while others are considered accessory pigments [68].
In turn, carotenoids are polyene hydrocarbons biosynthesized from eight isoprene units (tetraterpenes) [84], usually presenting red, orange, or yellow colorations and remarkable antioxidant properties [68]. Within the carotenes group, β-carotene is the most representative one and is present in all classes of macroalgae [68].
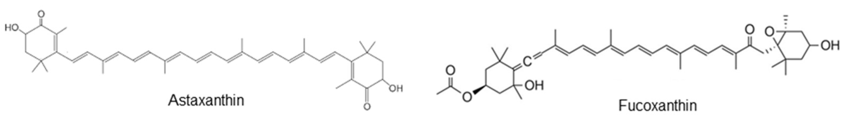
Xanthophylls contain oxygen in the form of hydroxy, epoxy, or oxo groups [84]. The foremost representative marine xanthophylls include astaxanthin and fucoxanthin (Figure 2), which have also been recognized to have excellent antioxidant potential [50].
Figure 2.
Chemical structure of the most representative marine xanthophylls—astaxanthin and fucoxanthin.
Astaxanthin is a lipophilic carotenoid, structurally similar to β-carotene but with an additional hydroxyl and ketone group on each ionone ring [50]. Some studies have reported that astaxanthin can be more effective than β-carotene in preventing lipid peroxidation in solution and various biomembrane systems [85]. In turn, fucoxanthin is one of the major xanthophyll pigments in brown algae and is found in edible brown algae, such as Undaria sp., Sargassum sp., Laminaria sp., and Hizikia sp. [35]. This molecule presents a unique structure including allenic, conjugated carbonyl, epoxide, and acetyl groups, and was recently identified as the major bioactive antioxidant carotenoid in 30 Hawaiian macroalgae species [86].
Phycobiliproteins (PBP) are a water-soluble group of photosynthetic pigments comprising different compounds, like phycoerythrins with a red pigment linked to the protein molecule, or phycocianins with a blue pigment instead. These different molecules absorb at different wavelengths of the spectrum, which makes them very colorful and highly fluorescent in vivo and in vitro. This is of special interest for biotechnological applications, where they are useful in diverse biomedical diagnostic systems (e.g., immunochemical methods) [87]. Some have been used as natural food colorants, as well as pink and purple dyes in lipsticks, eyeliner, and other cosmetic formulations [65,88,89]. Being water-soluble molecules, it is possible to extract PBP from algal tissues using green extraction solvents, like water or buffers [68].
In macroalgae, phenolic compounds are secondary metabolites, which means that they do not directly intervene in primary metabolic processes such as photosynthesis, cell division, or reproduction [65]. Instead, it is believed that this class of compounds is mainly responsible for protection mechanisms, namely, against oxidative stress or UV cytotoxic effects [35,65,68].
Phlorotannins, a subgroup of tannins mainly found in brown macroalgae and, to a lesser extent, in red species, are derived from phloroglucinol units (1,3,5-trihydroxybenzene), whereas in plants polyphenols are derived from gallic and ellagic acids [22,35]. Phlorotannins are highly hydrophilic compounds with a wide range of molecular sizes (from 126 Da to 650 kDa), and are of interest for different applications (e.g., nutritional supplements, cosmetic and cosmeceutical products) [22].
4. Skin Benefits
Many external factors, including UV radiation, climate conditions, and air/environmental pollutants (e.g., tobacco smoke) can affect the protective ability of skin and promote its premature aging [90]. Commonly, this continuous exposure leads to oxidative stress caused by the imbalance between oxidants and antioxidants, which affects skin health [90]. Skin aging produces several changes: it becomes thinner, more fragile, and progressively loses its natural elasticity and ability to maintain hydration [16].
In cosmetic formulations, the primary functions of natural ingredients may be antioxidant, collagen boosting, or even anti-inflammatory [91]. The incorporation of macroalgae-derived bioactive compounds in cosmetics has been growing as more and more scientific evidence is documented in regards to their health-promoting and anti-pollution effects [55,62,82]. The foremost interesting classes of bioactive compounds include those intended for antiaging care, including protection against free radicals, prevention of skin flaccidity and wrinkles, anti-photoaging, photoprotection against UV radiation, moisturizing, and skin whitening [16,27,65].
4.1. Antiaging and Antioxidant Effects
In biological systems, oxygen is the most common generator of free radicals—highly reactive molecules with harmful potential. ROS and reactive nitrogen species (RNS, such as nitric oxide, NO•) are products of normal cellular metabolism. They act as secondary messengers by regulating several normal physiological functions. However, they can play a dual role, as they can act as both damaging and beneficial species. Oxidative stress, caused by an overproduction of ROS, can induce serious damages in several cell structures (lipids and membranes, proteins, and DNA). At the same time, ROS and RNS also participate in several redox regulatory mechanisms of cells in order to protect them against oxidative stress and maintain their “redox homeostasis” [9].
A great diversity of bioactive compounds, namely vitamin E, vitamin C, superoxide dismutase, coenzyme Q10, zinc sulphate, ferulic acid, polyphenols, and carotenoids, among others, have been successfully used, for a long time, in cosmetic products as free-radical-scavenging molecules [23].
An in vitro study showed that an algal extract containing astaxanthin presented a protective effect in the reduction of DNA damage and maintenance of cellular antioxidant status in lines of human skin fibroblasts (1BR-3), human melanocytes (HEMAc), and human intestinal Caco-2 cells, irradiated with UVA [85].
In the last few years, other classes of macroalgae compounds have been showing potential as bioactive ingredients for cosmetics. In a study performed with Ecklonia cava, crude polysaccharide and polyphenolic fractions obtained by a former enzymatic hydrolysis were evaluated, showing a suppressive effect on tumor cell growth, and antioxidant and radical scavenging activities in different cell lines, with low toxicity [51]. In another study, Zhang and colleagues [62] evaluated the antioxidant activity of SPs extracted from five macroalgae—one brown (Laminaria japonica), one red (Porphyra haitanensis), and three green species (Ulva pertusa, Enteromorpha linza and Bryopsis plumose)—reporting that their antioxidant behavior depended on the type of polysaccharides of each extract, which was shown to be different among the species [62].
Likewise, protein hydrolysates, peptides, or amino acids from macroalgae can play a substantial antioxidant role in a diverse range of oxidative processes [72].
4.2. Moisturizing/Hydration Action
Moisturizing and hydration are crucial for skin care and are essential to maintaining its healthy appearance and elasticity, while also strengthening its role as a barrier to harmful environmental factors [65]. Approximately 60% of the epidermis is water which is fixed by hygroscopic substances known by the generic name of NMF (natural moisturizing factor). NMF constitution includes amino acids (40%), including serine (20–30%), lactic acid (12%), pyrrolidone carboxylic acid (12%), urea (8%), sugars, minerals, and a fraction that still remains undetermined [24]. Topical application of the above-mentioned components, which can act as humectants, can improve the skin moisturizing ability and relieve a dry skin condition [92].
Polysaccharides play a very important role in cosmetic formulations as humectants and moisturizers. These macromolecules have a high capacity for water storage and can be linked to keratin through hydrogen bonds, thus improving skin moisturization [63,65]. According to Wang and colleagues [93], polysaccharides extracted from Saccharina japonica revealed better moisturizing properties than hyaluronic acid, suggesting that these polysaccharides could be an interesting ingredient for cosmetics. The authors also found that the sulphated group was a main active site for moisture absorption and moisture retention ability, and that the lower-molecular-weight polysaccharides presented the highest moisture absorption and moisture retention abilities [93]. A cosmetic formulation containing 5–10% extract of Laminaria japonica improved skin moisture in a group of volunteers. Authors suggest that two mechanisms might be responsible for these promising results: on the one hand, the hydroscopic substances of the extract (e.g., free amino acids, sugars, and minerals) may contribute to reinforcing the NMF in skin, helping to retain appropriate moisture levels in the epidermis; on the other hand, phycocolloids, like alginate, and protein in extracts attach to skin proteins to form a protective barrier for moisture loss regulation [64].
4.3. Collagen-Boosting Effects
With aging, the extracellular tissue matrix (ETM) components—collagen, hyaluronic acid, and elastin, among others—decrease, leading to thinner skin with a weakened structure [94]. However, some active ingredients have been showing promising results in reverting these signs. For instance, some peptides have been used as cosmeceutical ingredients showing interesting antiaging effects, namely in wrinkle and fine line reduction, and in skin firming and skin whitening [73]. Different types of peptides and mechanisms of action are responsible for those effects. Signal peptides, for instance, stimulate ETM production by specifically increasing neocollagenesis [73]. Besides this, they can also promote fibronectin and elastin synthesis, as well as cell–cell cohesion, with results in skin firming and wrinkle and fine line reduction [73]. Therefore, the use of formulations containing these compounds can promote the replacement of the lost extracellular tissue matrix, reducing, then, the appearance of wrinkles [23].
Marine-derived phlorotannins, extracted from Eisenia bicyclis and Ecklonia kurome, presented a strong hyaluronidase inhibitory effect in in vitro assays [95], showing potential as a bioactive ingredient to recover ETM functions.
4.4. Photo-Protective Action
Sunlight UV radiation is still the most powerful environmental risk factor in skin cancer pathogenesis [85]. The use of photoprotective products with UV filters is extensively recommended to prevent (and protect the skin from) several types of damage, like sunburn, photo-aging, photodermatoses, or even skin cancer [27]. Within this type of product, formulations containing sun-screening agents combined with antioxidants are considered to be safer and more effective [23].
Bioactive compounds able to absorb UV radiation can protect human fibroblast cells from UV-induced cell death and suppress UV-induced aging in human skin [65].
As previously mentioned, macroalgae have developed mechanisms to prevent damage from UVB and UVA radiations, either by producing screen pigments, like carotenoids, or by phenolics.
4.5. UV-Absorbing Compounds
Heo and Jeon [96] reported that fucoxantin from Sargassum siliquastrum presented a great in vitro ability to protect human fibroblasts against oxidative stress induced by UVB radiation. Another study with Halidrys siliquosa (Phaeophyta) showed that the tested extracts presented strong antioxidant activity and a good sunscreen potential, associated with the presence of phlorotannins like diphlorethols, triphlorethols, trifuhalols, and tetrafuhalols [57].
4.6. Whitening/Melanin-Inhibiting Effects
Melanin, which is the main determinant of skin color, absorbs UV radiation and prevents free radical generation, protecting skin from sun damage and aging [97]. However, the abnormal production of melanin can be a dermatological condition and a serious cosmetic issue.
Tyrosinase catalyzes melanin synthesis in two different pathways: the hydroxylation of L-tyrosine to 3,4-dihydroxy-l-phenylalanine (L-dopa) and the oxidation of L-dopa to dopaquinone, followed by further conversion to melanin [24]. It is possible to regulate melanin biosynthesis, for instance, by protecting skin and avoiding UV exposure, or by inhibiting tyrosinase action or melanocyte metabolism and proliferation [22].
The demand for natural products that inhibit/control or prevent melanogenesis and, consequently, skin pigmentation, is growing all over the world [98], especially for melanin hyperpigmentation dermatological diseases, as well as for cosmetic formulations for depigmentation [22]. Recently, macroalgae extracts showed profound inhibitory effects against tyrosinase and melanin synthesis in both in vitro cell experiments [98,99] and an in vivo zebrafish animal model [99].
4.7. Anti-Inflammatory Effect
An inflammatory process causes oxidative stress and reduces cellular antioxidant capacity. The large amount of produced free radicals react with FA and proteins of cell membranes, permanently damaging their normal functions [4].
Senevirathne and colleagues [100] evaluated antioxidant and anticholinesterase (AChE) activities, as well as the protective effects of enzymatic extracts from Porphyra tenera against lipopolysaccharides (LPS)-induced nitrite production in RAW264.7 macrophage cells. The authors concluded that all enzymatic extracts showed no cell cytotoxicity (cell viabilities greater than 90% in all cases), and all enzymatic extracts effectively inhibited LPS-induced nitric oxide production in RAW264.7 macrophages [100]. These results indicate that Porphyra tenera could be a valuable source of natural antioxidants and anti-inflammatory ingredients for cosmetic purposes.
4.8. Anti-Cellulite and Slimming Effects
Although cellulite is not a pathological condition, it remains a matter of cosmetic concern, especially for postadolescent women [101]. Many efforts have been made to find treatments that improve symptoms and signs of cellulite, as well as the visual appearance of skin.
Some species of macroalgae (e.g., Fucus vesiculosus L., Laminaria digitata (Huds.) Lamouroux, among others) are used in cosmetic formulations for cellulite reduction [65].
Al-Bader and colleagues [102] tested a formulation containing aqueous extracts of Furcellaria lumbricalis and Fucus vesiculosus to assess in vitro lipolysis in mature adipocytes and measured pro-collagen I in human primary fibroblasts, finding that there was an improvement of lipolysis-related mechanisms and pro-collagen I production. Subsequently, they evaluated cellulite by dermatological grading and ultrasound measurements and could observe a clinical improvement in the cellulite.
Macroalgae extracts may also be of interest for slimming purposes, as evidence demonstrates that they significantly decrease the body weight gain, fat-pad weight, and serum and hepatic lipid levels in high-fat-diet-induced Sprague Dawley male obese rats, and showed a protective effect against these factors through the regulation of gene and protein expression involved in lipolysis and lipogenesis [103].
Iodine is essential for thyroid metabolism. Thyroid hormones are involved in mechanisms that increase the synthesis of carnitine palmitoyl transferase which, in turn, promote lipolysis by increasing the penetration of fatty acids in the mitochondria [24]. Diet is the major contributor of iodine, but breathing gaseous iodine in the air and placing it on the skin are other possible paths [104]. Fucus serratus L. is a rich source of iodine. A recent in vivo study reported that bath thalassotherapy with this macroalgae had the potential to increase the urinary iodide concentration of the bather, indicating inhalation of volatile iodine as the predominant route of uptake [104]. Another in vivo study also showed the effectiveness of a cosmetic product containing extracts of Gelidium cartilagineum, Pelvetia canaliculata, and Laminaria digitata, as well as other active ingredients, in exerting a slimming effect, compared with a placebo [105].
4.9. Antiviral and Antibacterial Effects
An enzyme-assisted extraction enabled a more effective obtention of proteins, neutral sugars, uronic acids, and sulphate groups in three species of macroalgae: the red Solieria chordalis, the green Ulva sp., and the brown Sargassum muticum. In this study, although no cytotoxicity was observed for all extracts, only S. chordalis presented good antiherpetic activities, mainly attributed to its richness in sulphate groups [59].
An O/W (oil in water) emulsion prepared with a phlorotannin-enriched fraction obtained from the brown macroalgae Halidrys siliquosa presented antibacterial capacity against Pseudomonas aeruginosa, Staphylococcus aureus, and Escherichia coli [57]. Another study with a red macroalgae (Pterocladia capillacea) revealed that using carbohydrate degrading enzymes prior to in vitro assays produced extracts with higher antioxidant capacity and stronger antibacterial effect against Escherichia coli and Staphylococcus aureus [61]. This could be of particular interest for the development of natural preservatives to be used in cosmetic formulations.
5. Final Remarks
Macroalgae-derived ingredients have been used in cosmetic formulations due to their technological properties. However, it is well established that the interest of the cosmetic industry in macroalgae goes further than just using it as a source of excipients and technological additives. Macroalgae are a source of added-value compounds, with scientific evidence showing their benefits for human health and wellbeing. This can be a competitive advantage for this industry, namely in terms of finding and using novel molecules and agents that apparently have biological effects on skin, such as antiaging, antioxidant, moisturizing, collagen-boosting, photo-protective, whitening and melanin-inhibiting, anti-inflammatory, anti-cellulite and slimming, and antiviral and antibacterial activities. This review has summarized some of the possible applications of macroalgae as active ingredients in the cosmetic field, highlighting the main compounds responsible for their bioactivity on skin.
Acknowledgments
The authors thank the financial support to the project Operação NORTE-01-0145-FEDER-000011—denominada Qualidade e Segurança Alimentar- uma abordagem (nano)tecnológica. This work was also supported by the project UID/QUI/50006/2013—POCI/01/0145/FEDER/007265 with financial support from FCT/MEC through national funds and co-financed by FEDER.
F. B. Pimentel is grateful to FCT for the PhD research grant (SFRH/BD/109042/2015). Francisca Rodrigues is thankful for her post-doc research grant from the project Operação NORTE-01-0145-FEDER-000011.
Author Contributions
Filipa B. Pimentel carried out the literature research and wrote the first draft of the manuscript under the supervision of Rita C. Alves and M. Beatriz P. P. Oliveira. Francisca Rodrigues collaborated in writing a part of the manuscript. Rita C. Alves and M. Beatriz P. P. Oliveira performed the final revision of the manuscript.
Conflicts of Interest
The authors declare no conflict of interest.
References
- Department of Economic and Social Affairs of the United Nations. Population Division World Population Prospects: The 2015 Revision, Key Findings and Advance Tables; Working Paper No. ESA/P/WP.241; Department of Economic and Social Affairs of the United Nations: New York, NY, USA, 2015.
- Sieck, G.C. Physiology in perspective: Aging and underlying pathophysiology. Physiology 2017, 32, 7–8. [Google Scholar] [CrossRef] [PubMed]
- Chatterji, S.; Byles, J.; Cutler, D.; Seeman, T.; Verdes, E. Health, functioning, and disability in older adults—Present status and future implications. Lancet 2015, 385, 563–575. [Google Scholar] [CrossRef]
- Khansari, N.; Shakiba, Y.; Mahmoudi, M. Chronic inflammation and oxidative stress as a major cause of age-related diseases and cancer. Recent Pat. Inflamm. Allergy Drug Discov. 2009, 3, 73–80. [Google Scholar] [CrossRef] [PubMed]
- Baierle, M.; Nascimento, S.N.; Moro, A.M.; Brucker, N.; Freitas, F.; Gauer, B.; Durgante, J.; Bordignon, S.; Zibetti, M.; Trentini, C.M.; et al. Relationship between inflammation and oxidative stress and cognitive decline in the institutionalized elderly. Oxidative Med. Cell. Longev. 2015, 2015, 804198. [Google Scholar] [CrossRef] [PubMed]
- Brand, R.M.; Epperly, M.W.; Stottlemyer, J.M.; Skoda, E.M.; Gao, X.; Li, S.; Huq, S.; Wipf, P.; Kagan, V.E.; Greenberger, J.S. A topical mitochondria-targeted redox-cycling nitroxide mitigates oxidative stress-induced skin damage. J. Investig. Dermatol. 2017, 137, 576–586. [Google Scholar] [CrossRef] [PubMed]
- Lin, M.T.; Beal, M.F. Mitochondrial dysfunction and oxidative stress in neurodegenerative diseases. Nature 2006, 443, 787–795. [Google Scholar] [CrossRef] [PubMed]
- Förstermann, U.; Xia, N.; Li, H. Roles of vascular oxidative stress and nitric oxide in the pathogenesis of atherosclerosis. Circ. Res. 2017, 120, 713–735. [Google Scholar] [CrossRef] [PubMed]
- Valko, M.; Leibfritz, D.; Moncol, J.; Cronin, M.T.D.; Mazur, M.; Telser, J. Free radicals and antioxidants in normal physiological functions and human disease. Int. J. Biochem. Cell Biol. 2007, 39, 44–84. [Google Scholar] [CrossRef] [PubMed]
- Mathes, S.H.; Ruffner, H.; Graf-Hausner, U. The use of skin models in drug development. Adv. Drug Deliv. Rev. 2014, 69, 81–102. [Google Scholar] [CrossRef] [PubMed]
- Prow, T.W.; Grice, J.E.; Lin, L.L.; Faye, R.; Butler, M.; Becker, W.; Wurm, E.M.; Yoong, C.; Robertson, T.A.; Soyer, H.P. Nanoparticles and microparticles for skin drug delivery. Adv. Drug Deliv. Rev. 2011, 63, 470–491. [Google Scholar] [CrossRef] [PubMed]
- Franzen, L.; Windbergs, M. Applications of Raman spectroscopy in skin research—From skin physiology and diagnosis up to risk assessment and dermal drug delivery. Adv. Drug Deliv. Rev. 2015, 89, 91–104. [Google Scholar] [CrossRef] [PubMed]
- Rawlings, A.; Matts, P.; Anderson, C.; Roberts, M. Skin biology, xerosis, barrier repair and measurement. Drug Discov. Today Dis. Mech. 2008, 5, e127–e136. [Google Scholar] [CrossRef]
- Rawlings, A.V.; Matts, P.J. Stratum corneum moisturization at the molecular level: An update in relation to the dry skin cycle. J. Investig. Dermatol. 2005, 124, 1099–1110. [Google Scholar] [CrossRef] [PubMed]
- Schmid-Wendtner, M.-H.; Korting, H.C. The pH of the skin surface and its impact on the barrier function. Skin Pharmacol. Physiol. 2006, 19, 296–302. [Google Scholar] [CrossRef] [PubMed]
- Wang, H.-M.D.; Chen, C.-C.; Huynh, P.; Chang, J.-S. Exploring the potential of using algae in cosmetics. Bioresour. Technol. 2015, 184, 355–362. [Google Scholar] [CrossRef] [PubMed]
- Nohynek, G.J.; Antignac, E.; Re, T.; Toutain, H. Safety assessment of personal care products/cosmetics and their ingredients. Toxicol. Appl. Pharmacol. 2010, 243, 239–259. [Google Scholar] [CrossRef] [PubMed]
- Official Journal of the European Union. European Parliament, Regulation (EC) No 1223/2009 of the European Parliement and of the Council of 30 November 2009 on Cosmetic Products; European Union: Brussels, Belgium, 2009; pp. L-342/59–L-342/209. [Google Scholar]
- Vermeer, B.J.; Gilchrest, B.A.; Friedel, S.L. Cosmeceuticals: A proposal for rational definition, evaluation, and regulation. Arch. Dermatol. 1996, 132, 337–340. [Google Scholar] [CrossRef] [PubMed]
- FDA. Cosmeceutical. Available online: https://www.fda.gov/Cosmetics/Labeling/Claims/ucm127064.htm (accessed on 31 August 2017).
- Brandt, F.S.; Cazzaniga, A.; Hann, M. Cosmeceuticals: Current Trends and Market Analysis, Seminars in Cutaneous Medicine and Surgery, 2011; Frontline Medical Communications: Parsippany, NJ, USA; pp. 141–143.
- Kim, S.K. Marine cosmeceuticals. J. Cosmet. Dermatol. 2014, 13, 56–67. [Google Scholar] [CrossRef] [PubMed]
- Zappelli, C.; Barbulova, A.; Apone, F.; Colucci, G. Effective active ingredients obtained through Biotechnology. Cosmetics 2016, 3, 39. [Google Scholar] [CrossRef]
- Couteau, C.; Coiffard, L. Seaweed Application in Cosmetics. In Seaweed in Health and Disease Prevention; Fleurence, J., Levine, I., Eds.; Elsevier Inc.: Amsterdam, The Netherlands, 2016; pp. 423–441. [Google Scholar]
- Europe Cosmetics. Cosmetics and Personal Care Industry Overview. Available online: https://www.cosmeticseurope.eu/cosmetics-industry/ (accessed on 28 August 2017).
- Nunes, M.A.; Rodrigues, F.; Oliveira, M.B.P.P. Grape processing by-products as active ingredients for cosmetic proposes. In Handbook of Grape Processing By-Products; Galanakis, C.M., Ed.; Elsevier Inc.: Amsterdam, The Netherlands, 2017; pp. 267–292. [Google Scholar]
- Ariede, M.B.; Candido, T.M.; Jacome, A.L.M.; Velasco, M.V.R.; de Carvalho, J.C.M.; Baby, A.R. Cosmetic attributes of algae—A review. Algal Res. 2017, 25, 483–487. [Google Scholar] [CrossRef]
- Thornfeldt, C. Botanicals. Cosmetic Dermatology; Wiley-Blackwell: Hoboken, NJ, USA, 2010; pp. 267–280. Available online: https://www.wiley.com/en-us/Cosmetic+Dermatology%3A+Products+and+Procedures-p-9781444359510 (accessed on 25 December 2017).
- Harnedy, P.A.; FitzGerald, R.J. Bioactive proteins, peptides, and amino acids from macroalgae. J. Phycol. 2011, 47, 218–232. [Google Scholar] [CrossRef] [PubMed]
- Bixler, H.J.; Porse, H. A decade of change in the seaweed hydrocolloids industry. J. Appl. Phycol. 2011, 23, 321–335. [Google Scholar] [CrossRef]
- Food and Agriculture Organization. The State of World Fisheries and Aquaculture 2014; Fisheries and Aquaculture Department of the Food and Agricultural Organization of the United Nations: Rome, Italy, 2014.
- Kolanjinathan, K.; Ganesh, P.; Saranraj, P. Pharmacological importance of seaweeds: A review. World J. Fish Mar. Sci. 2014, 6, 1–15. [Google Scholar]
- Dhargalkar, V.; Pereira, N. Seaweed: Promising plant of the millennium. Sci. Cult. 2005, 71, 60–66. [Google Scholar]
- Pereira, L. A review of the nutrient composition of selected edible seaweeds. In Seaweed: Ecology, Nutrient Composition and Medicinal Uses; Pomin, V.H., Ed.; Nova Science Publishers, Inc.: Hauppauge, NY, USA, 2011; pp. 15–47. [Google Scholar]
- Baweja, P.; Kumar, S.; Sahoo, D.; Levine, I. Biology of Seaweeds. In Seaweed in Health and Disease Prevention; Fleurence, J., Levine, I., Eds.; Elsevier Inc.: Amsterdam, The Netherlands, 2016; pp. 41–106. [Google Scholar]
- Wells, M.L.; Potin, P.; Craigie, J.S.; Raven, J.A.; Merchant, S.S.; Helliwell, K.E.; Smith, A.G.; Camire, M.E.; Brawley, S.H. Algae as nutritional and functional food sources: Revisiting our understanding. J. Appl. Phycol. 2017, 29, 949–982. [Google Scholar] [CrossRef] [PubMed]
- Abreu, M.H.; Pereira, R.; Yarish, C.; Buschmann, A.H.; Sousa-Pinto, I. IMTA with Gracilaria vermiculophylla: Productivity and nutrient removal performance of the seaweed in a land-based pilot scale system. Aquaculture 2011, 312, 77–87. [Google Scholar] [CrossRef]
- Holdt, S.L.; Kraan, S. Bioactive compounds in seaweed: Functional food applications and legislation. J. Appl. Phycol. 2011, 23, 543–597. [Google Scholar] [CrossRef]
- Ortiz, J.; Uquiche, E.; Robert, P.; Romero, N.; Quitral, V.; Llantén, C. Functional and nutritional value of the Chilean seaweeds Codium fragile, Gracilaria chilensis and Macrocystis pyrifera. Eur. J. Lipid Sci. Technol. 2009, 111, 320–327. [Google Scholar] [CrossRef]
- MacArtain, P.; Gill, C.I.; Brooks, M.; Campbell, R.; Rowland, I.R. Nutritional value of edible seaweeds. Nutr. Rev. 2007, 65, 535–543. [Google Scholar] [CrossRef] [PubMed]
- Pereira, R.; Yarish, C.; Sousa-Pinto, I. The influence of stocking density, light and temperature on the growth, production and nutrient removal capacity of Porphyra dioica (Bangiales, Rhodophyta). Aquaculture 2006, 252, 66–78. [Google Scholar] [CrossRef]
- Lee, J.-C.; Hou, M.-F.; Huang, H.-W.; Chang, F.-R.; Yeh, C.-C.; Tang, J.-Y.; Chang, H.-W. Marine algal natural products with anti-oxidative, anti-inflammatory, and anti-cancer properties. Cancer Cell Int. 2013, 13. [Google Scholar] [CrossRef] [PubMed]
- Kılınç, B.; Cirik, S.; Turan, G.; Tekogul, H.; Koru, E. Seaweeds for food and industrial applications. In Food Industry; Muzzalupo, I., Ed.; InTech: Rijeka, Croatia, 2013; pp. 735–748. [Google Scholar]
- Glicksman, M. Utilization of seaweed hydrocolloids in the food industry. Hydrobiologia 1987, 151, 31–47. [Google Scholar] [CrossRef]
- Personal Care—Global Portfolio. Available online: https://www.cargill.com/doc/1432075967907/personale-care-product-portfolio.pdf (accessed on 24 December 2017).
- SpecialChem—The Universal Selection Source: Cosmetics Ingredients. Available online: https://cosmetics.specialchem.com/ (accessed on 30 November 2017).
- SEPPIC. SEPPIC Launches XLYLISHINE™ the New Hair Repairing and Moisturizing Active Ingredient. 2017. Available online: https://worldnews.today/news/25/453/seppic-launches-a-new-hair-repairing-and-moisturizing-active-ingredient.html (accessed on 22 December 2017).
- Bowe, W.P.; Pugliese, S. Cosmetic benefits of natural ingredients. J. Drugs Dermatol. 2014, 13, 1021–1025. [Google Scholar] [PubMed]
- Agatonovic-Kustrin, S.; Morton, D. Cosmeceuticals derived from bioactive substances found in marine algae. Oceanography 2013, 1, 1–11. [Google Scholar] [CrossRef]
- Ngo, D.-H.; Wijesekara, I.; Vo, T.-S.; Van Ta, Q.; Kim, S.-K. Marine food-derived functional ingredients as potential antioxidants in the food industry: An overview. Food Res. Int. 2011, 44, 523–529. [Google Scholar] [CrossRef]
- Athukorala, Y.; Kim, K.-N.; Jeon, Y.-J. Antiproliferative and antioxidant properties of an enzymatic hydrolysate from brown alga, Ecklonia cava. Food Chem. Toxicol. 2006, 44, 1065–1074. [Google Scholar] [CrossRef] [PubMed]
- Nepalia, A.; Singh, A.; Mathur, N.; Pareek, S. An overview of the harmful additives and contaminants possibly present in baby cosmetic products. Int. J. Chem. Sci. 2017, 15, 127. [Google Scholar]
- Jo, J.-H.; Kim, D.; Lee, S.; Lee, T.K. Total phenolic contents and biological activities of Korean seaweed extracts. Food Sci. Biotechnol. 2005, 14, 798–802. [Google Scholar]
- Da Costa, E.; Melo, T.; Moreira, A.; Bernardo, C.; Helguero, L.; Ferreira, I.; Cruz, M.; Rego, A.; Domingues, P.; Calado, R.; et al. Valorization of lipids from Gracilaria sp. through lipidomics and decoding of antiproliferative and anti-inflammatory activity. Mar. Drugs 2017, 15. [Google Scholar] [CrossRef] [PubMed]
- Pérez, M.J.; Falqué, E.; Domínguez, H. Antimicrobial action of compounds from marine seaweed. Mar. Drugs 2016, 14, 52. [Google Scholar] [CrossRef] [PubMed]
- De Almeida, C.L.F.; Falcão, D.S.; Lima, D.M.; Gedson, R.; Montenegro, D.A.; Lira, N.S.; De Athayde-Filho, P.F.; Rodrigues, L.C.; de Souza, M.D.V.; Barbosa-Filho, J.M.; et al. Bioactivities from marine algae of the genus Gracilaria. Int. J. Mol. Sci. 2011, 12, 4550–4573. [Google Scholar] [CrossRef] [PubMed]
- Le Lann, K.; Surget, G.; Couteau, C.; Coiffard, L.; Cérantola, S.; Gaillard, F.; Larnicol, M.; Zubia, M.; Guérard, F.; Poupart, N.; et al. Sunscreen, antioxidant, and bactericide capacities of phlorotannins from the brown macroalga Halidrys siliquosa. J. Appl. Phycol. 2016, 28, 3547–3559. [Google Scholar] [CrossRef]
- Siahaan, E.A.; Pangestuti, R.; Munandar, H.; Kim, S.-K. Cosmeceuticals properties of Sea Cucumbers: Prospects and trends. Cosmetics 2017, 4, 26. [Google Scholar] [CrossRef]
- Hardouin, K.; Burlot, A.-S.; Umami, A.; Tanniou, A.; Stiger-Pouvreau, V.; Widowati, I.; Bedoux, G.; Bourgougnon, N. Biochemical and antiviral activities of enzymatic hydrolysates from different invasive French seaweeds. J. Appl. Phycol. 2014, 26, 1029–1042. [Google Scholar] [CrossRef]
- De Souza, M.C.R.; Marques, C.T.; Dore, C.M.G.; da Silva, F.R.F.; Rocha, H.A.O.; Leite, E.L. Antioxidant activities of sulfated polysaccharides from brown and red seaweeds. J. Appl. Phycol. 2007, 19, 153–160. [Google Scholar] [CrossRef] [PubMed]
- Fleita, D.; El-Sayed, M.; Rifaat, D. Evaluation of the antioxidant activity of enzymatically-hydrolyzed sulfated polysaccharides extracted from red algae Pterocladia capillacea. Food Sci. Technol. 2015, 63, 1236–1244. [Google Scholar] [CrossRef]
- Zhang, Z.; Wang, F.; Wang, X.; Liu, X.; Hou, Y.; Zhang, Q. Extraction of the polysaccharides from five algae and their potential antioxidant activity in vitro. Carbohydr. Polym. 2010, 82, 118–121. [Google Scholar] [CrossRef]
- Leelapornpisid, P.; Mungmai, L.; Sirithunyalug, B.; Jiranusornkul, S.; Peerapornpisal, Y. A novel moisturizer extracted from freshwater macroalga [Rhizoclonium hieroglyphicum (C.Agardh) Kützing] for skin care cosmetic. Chiang Mai J. Sci. 2014, 41, 1195–1207. [Google Scholar]
- Choi, J.-S.; Moon, W.S.; Choi, J.N.; Do, K.H.; Moon, S.H.; Cho, K.K.; Han, C.-J.; Choi, I.S. Effects of seaweed Laminaria japonica extracts on skin moisturizing activity in vivo. J. Cosmet. Sci. 2013, 64, 193–209. [Google Scholar] [PubMed]
- Bedoux, G.; Hardouin, K.; Burlot, A.S.; Bourgougnon, N. Bioactive components from seaweeds: Cosmetic applications and future development. Adv. Bot. Res. 2014, 71, 345–378. [Google Scholar]
- Chojnacka, K.; Saeid, A.; Witkowska, Z.; Tuhy, L. Biologically active compounds in seaweed extracts—The prospects for the application. Open Conf. Proc. J. 2012, 3, 20–28. [Google Scholar] [CrossRef]
- Fleurence, J.; Ar Gall, E. Antiallergic Properties. In Seaweed in Health and Disease Prevention; Elsevier Inc.: Amsterdam, The Netherlands, 2016; pp. 389–406. [Google Scholar]
- Dumay, J.; Morançais, M. Proteins and Pigments. In Seaweed in Health and Disease Prevention; Fleurence, J., Levine, I., Eds.; Elsevier Inc.: Amsterdam, The Netherlands, 2016; pp. 275–318. [Google Scholar]
- Sá, A.G.A.; Meneses, A.C.; Araújo, P.H.H.; Oliveira, D. A review on enzymatic synthesis of aromatic esters used as flavor ingredients for food, cosmetics and pharmaceuticals industries. Trends Food. Sci. Technol. 2017, 69, 95–105. [Google Scholar] [CrossRef]
- Fleurence, J. Seaweed proteins. Trends Food Sci. Technol. 1999, 10, 25–28. [Google Scholar] [CrossRef]
- Marinho-Soriano, E.; Fonseca, P.; Carneiro, M.; Moreira, W. Seasonal variation in the chemical composition of two tropical seaweeds. Bioresour. Technol. 2006, 97, 2402–2406. [Google Scholar] [CrossRef] [PubMed]
- Samarakoon, K.; Jeon, Y.-J. Bio-functionalities of proteins derived from marine algae—A review. Food Res. Int. 2012, 48, 948–960. [Google Scholar] [CrossRef]
- Malerich, S.; Berson, D. Next generation Cosmeceuticals. Dermatol. Clin. 2014, 32, 13–21. [Google Scholar] [CrossRef] [PubMed]
- Kang, H.K.; Seo, C.H.; Park, Y. Marine peptides and their anti-infective activities. Mar. Drugs 2015, 13, 618–654. [Google Scholar] [CrossRef] [PubMed]
- Schagen, S.K. Topical peptide treatments with effective anti-aging results. Cosmetics 2017, 4, 16. [Google Scholar] [CrossRef]
- Cardozo, K.H.; Marques, L.G.; Carvalho, V.M.; Carignan, M.O.; Pinto, E.; Marinho-Soriano, E.; Colepicolo, P. Analyses of photoprotective compounds in red algae from the Brazilian coast. Braz. J. Pharmacogn. 2011, 21, 202–208. [Google Scholar] [CrossRef]
- Pandey, A.; Pandey, S.; Pathak, J.; Ahmed, H.; Singh, V.; Singh, S.P.; Sinha, R.P. Mycosporine-Like Amino Acids (MAAs) Profile of Two Marine Red Macroalgae, Gelidium sp. and Ceramium Sp. Int. J. Appl. Biotechnol. Biochem. 2017, 5, 12–21. [Google Scholar] [CrossRef]
- Kumari, P.; Kumar, M.; Gupta, V.; Reddy, C.; Jha, B. Tropical marine macroalgae as potential sources of nutritionally important PUFAs. Food Chem. 2010, 120, 749–757. [Google Scholar] [CrossRef]
- Misurcova, L.; Ambrozova, J.; Samek, D. Seaweed lipids as nutraceuticals. Adv. Food Nutr. Res. 2011, 64, 339–355. [Google Scholar] [PubMed]
- Tapiero, H.; Nguyen Ba, G.; Couvreur, P.; Tew, K.D. Polyunsaturated fatty acids (PUFA) and eicosanoids in human health and pathologies. Biomed. Pharmacother. 2002, 56, 215–222. [Google Scholar] [CrossRef]
- Osman, N.A.R.; Abdo, B.; Mohamed, S.E.-T. Assessment of the nutritional value and native agar content of the red alga Gracilaria foliifera (Forsskal) Borgesen from the Red Sea coast of Sudan. J. Algal Biomass Utln. 2017, 8, 48–63. [Google Scholar]
- Kendel, M.; Wielgosz-Collin, G.; Bertrand, S.; Roussakis, C.; Bourgougnon, N.; Bedoux, G. Lipid composition, fatty acids and sterols in the seaweeds Ulva armoricana, and Solieria chordalis from Brittany (France): An analysis from nutritional, chemotaxonomic, and antiproliferative activity perspectives. Mar. Drugs 2015, 13, 5606–5628. [Google Scholar] [CrossRef] [PubMed]
- Hegazi, M.M. Separation, identification and quantification of photosynthetic pigments from three red sea seaweeds using reversed-phase high-performance liquid chromatography. Egypt. J. Biol. 2002, 4, 1–6. [Google Scholar]
- Belitz, H.-D.; Grosch, W.; Schieberle, P. Lipids. Food Chemistry; Springer: Berlin, Germany, 2009; pp. 158–247. [Google Scholar]
- Lyons, N.M.; O’Brien, N.M. Modulatory effects of an algal extract containing astaxanthin on UVA-irradiated cells in culture. J. Dermatol. Sci. 2002, 30, 73–84. [Google Scholar] [CrossRef]
- Kelman, D.; Posner, E.K.; McDermid, K.J.; Tabandera, N.K.; Wright, P.R.; Wright, A.D. Antioxidant activity of Hawaiian marine algae. Mar. Drugs 2012, 10, 403–416. [Google Scholar] [CrossRef] [PubMed]
- Aneiros, A.; Garateix, A. Bioactive peptides from marine sources: Pharmacological properties and isolation procedures. J. Chromatogr. B 2004, 803, 41–53. [Google Scholar] [CrossRef] [PubMed]
- Sonani, R.R.; Singh, N.K.; Kumar, J.; Thakar, D.; Madamwar, D. Concurrent purification and antioxidant activity of phycobiliproteins from Lyngbya sp. A09DM: An antioxidant and anti-aging potential of phycoerythrin in Caenorhabditis elegans. Process Biochem. 2014, 49, 1757–1766. [Google Scholar] [CrossRef]
- Guillerme, J.-B.; Couteau, C.; Coiffard, L. Applications for marine resources in cosmetics. Cosmetics 2017, 4, 35. [Google Scholar] [CrossRef]
- Lecas, S.; Boursier, E.; Fitoussi, R.; Vié, K.; Momas, I.; Seta, N.; Achard, S. In vitro model adapted to the study of skin ageing induced by air pollution. Toxicol. Lett. 2016, 259, 60–68. [Google Scholar] [CrossRef] [PubMed]
- Farris, P.K. Natural ingredients and their applications in dermatology. In Practical Dermatology; Rick Ehrlich: New York, NY, USA, 2010; pp. 51–54. [Google Scholar]
- Pillai, S.; Cornell, M.; Oresajo, C. Part 1: Skin Physiology Pertinent to Cosmetic Dermatology. Epidermal barrier. In Cosmetic Dermatology—Products and Procedures; Draelos, Z.D., Ed.; Blackwell Publishing: Hoboken, NJ, USA, 2010; pp. 3–12. [Google Scholar]
- Wang, J.; Jin, W.; Hou, Y.; Niu, X.; Zhang, H.; Zhang, Q. Chemical composition and moisture-absorption/retention ability of polysaccharides extracted from five algae. Int. J. Biol. Macromol. 2013, 57, 26–29. [Google Scholar] [CrossRef] [PubMed]
- Robert, L.; Labat-Robert, J.; Robert, A.-M. Physiology of skin aging. Pathol. Biol. 2009, 57, 336–341. [Google Scholar] [CrossRef] [PubMed]
- Shibata, T.; Fujimoto, K.; Nagayama, K.; Yamaguchi, K.; Nakamura, T. Inhibitory activity of brown algal phlorotannins against hyaluronidase. Int. J. Food Sci. Technol. 2002, 37, 703–709. [Google Scholar] [CrossRef]
- Heo, S.-J.; Jeon, Y.-J. Protective effect of fucoxanthin isolated from Sargassum siliquastrum on UV-B induced cell damage. J. Photochem. Photobiol. B 2009, 95, 101–107. [Google Scholar] [CrossRef] [PubMed]
- Kindred, C.; Halder, R.M. Pigmentation and skin of color. In Cosmetic Dermatology; Wiley-Blackwell: Hoboken, NJ, USA, 2010; pp. 27–37. [Google Scholar]
- Cha, S.H.; Ko, S.C.; Kim, D.; Jeon, Y.J. Screening of marine algae for potential tyrosinase inhibitor: Those inhibitors reduced tyrosinase activity and melanin synthesis in zebrafish. J. Dermatol. 2011, 38, 354–363. [Google Scholar] [CrossRef] [PubMed]
- Heo, S.-J.; Ko, S.-C.; Kang, S.-M.; Cha, S.-H.; Lee, S.-H.; Kang, D.-H.; Jung, W.-K.; Affan, A.; Oh, C.; Jeon, Y.-J. Inhibitory effect of diphlorethohydroxycarmalol on melanogenesis and its protective effect against UV-B radiation-induced cell damage. Food Chem. Toxicol. 2010, 48, 1355–1361. [Google Scholar] [CrossRef] [PubMed]
- Senevirathne, M.; Ahn, C.-B.; Je, J.-Y. Enzymatic extracts from edible red algae, Porphyra tenera, and their antioxidant, anti-acetylcholinesterase, and anti-inflammatory activities. Food Sci. Biotechnol. 2010, 19, 1551–1557. [Google Scholar] [CrossRef]
- Rahimpour, Y.; Hamishehkar, H. Liposomes in cosmeceutics. Expert Opin. Drug Deliv. 2012, 9, 443–455. [Google Scholar] [CrossRef] [PubMed]
- Al-Bader, T.; Byrne, A.; Gillbro, J.; Mitarotonda, A.; Metois, A.; Vial, F.; Rawlings, A.V.; Laloeuf, A. Effect of cosmetic ingredients as anticellulite agents: Synergistic action of actives with in vitro and in vivo efficacy. J. Cosmet. Dermatol. 2012, 11, 17–26. [Google Scholar] [CrossRef] [PubMed]
- Jang, W.S.; Choung, S.Y. Antiobesity effects of the ethanol extract of Laminaria japonica Areshoung in high-fat-diet-induced obese rat. J. Evid. Based Complement. Altern. Med. 2013, 2013, 492807. [Google Scholar]
- Westby, T.; Cadogan, A.; Duignan, G. In vivo uptake of iodine from a Fucus serratus Linnaeus seaweed bath: Does volatile iodine contribute? Environ. Geochem. Health 2017, 1–9. [Google Scholar] [CrossRef] [PubMed]
- Berardesca, E.; Abril, E.; Rona, C.; Vesnaver, R.; Cenni, A.; Oliva, M. An effective night slimming topical treatment. Int. J. Cosmet. Sci. 2012, 34, 263–272. [Google Scholar] [CrossRef] [PubMed]
© 2017 by the authors. Licensee MDPI, Basel, Switzerland. This article is an open access article distributed under the terms and conditions of the Creative Commons Attribution (CC BY) license (http://creativecommons.org/licenses/by/4.0/).

