Dermal Absorption and Quantitative Analysis of Amaranth, a Cosmetic Colorant, in Rat Skin Using an In Vitro Franz Diffusion Model
Abstract
1. Introduction
| Item | Substance | Ref. |
|---|---|---|
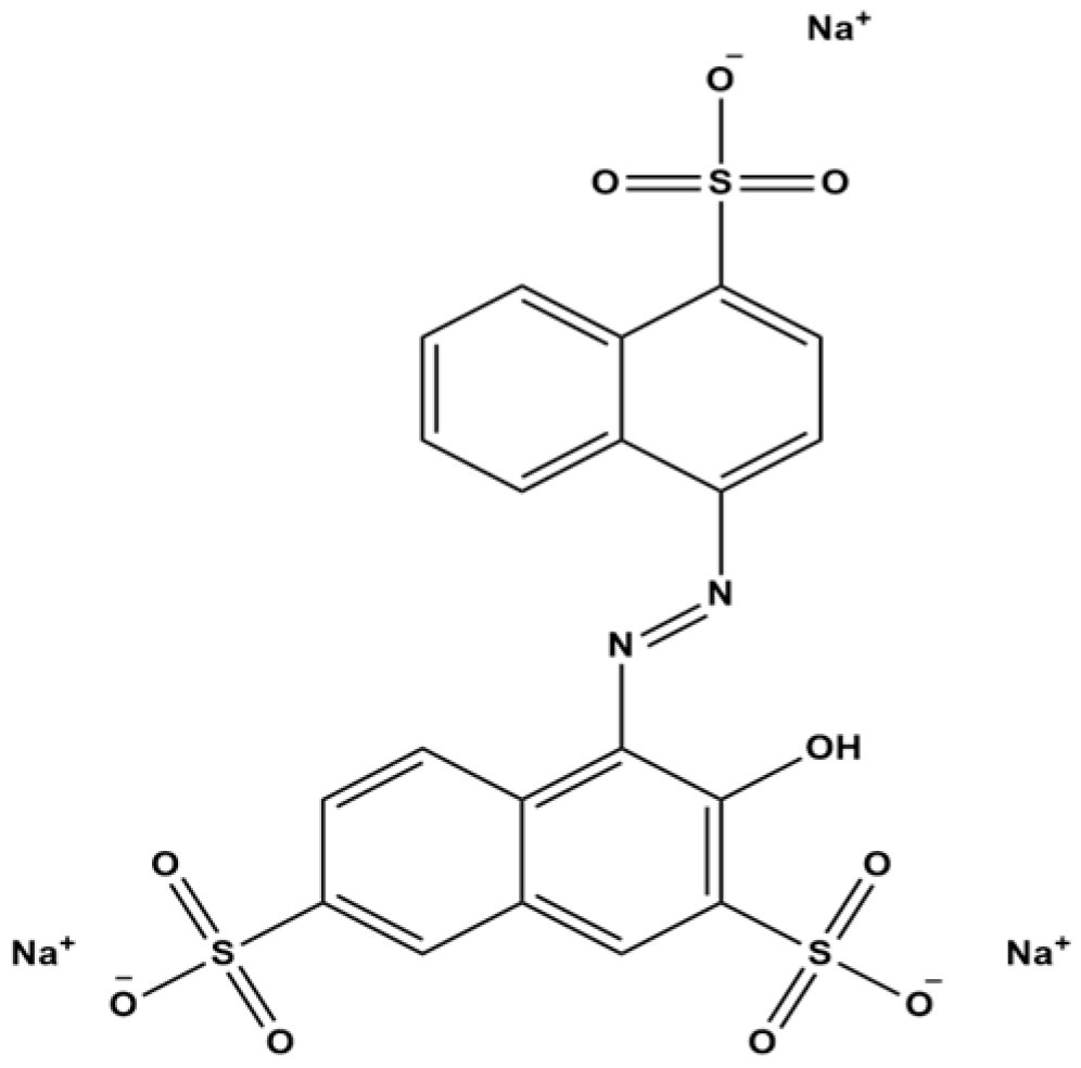
| INCI name | CI 16185 | [32] |
| IUPAC name | Trisodium 3-hydroxy-4-(4′-sulphonatonaphthylazo)naphthalene-2,7-disulphonate | [33] |
| CAS number | 915-67-3 | |
| Molecular formula | C20H11N2Na3O10S3 | |
| Molecular weight | 604.5 g/mol | |
| Color/form | Dark, reddish-brown powder | |
| Topological Polar Surface Area | 242 Å2 | |
| Melting point | greater than 300 °C | [34] |
| Density | 0.393 at 20 °C | |
| Water Solubility | 50,000 mg/L (20 °C) | |
| LogP (log Kow) | −5.13 |
2. Materials and Methods
2.1. Chemicals
2.2. Preparation of Test Formulations
2.3. HPLC Instruments and Conditions
2.4. Stability Test
2.5. Analytical Method Validation
Calibration Standards and Quality Control (QC) Samples: Accuracy and Precision
2.6. Preparation of Rat Skin
2.7. Franz Diffusion Cell and Sample Collection
2.8. Statistical Analysis
3. Results
3.1. Stability Test
3.2. Analytical Method Validation of R2
3.3. In Vitro Dermal Absorption of R2
4. Discussion
5. Conclusions
Author Contributions
Funding
Institutional Review Board Statement
Informed Consent Statement
Data Availability Statement
Acknowledgments
Conflicts of Interest
References
- Rovina, K.; Siddiquee, S.; Shaarani, S.M. Toxicology, extraction and analytical methods for determination of amaranth in food and beverage products. Trends Food Sci. Technol. 2017, 65, 68–79. [Google Scholar] [CrossRef]
- Scoles, G.E.; Pattacini, S.H.; Covas, G.F. Separation of the pigment of an amaranth. Molecules 2000, 5, 566–567. [Google Scholar] [CrossRef]
- Wang, M.; Sun, Y.; Yang, X.; Zhao, J. Sensitive determination of amaranth in drinks by highly dispersed CNT in graphene oxide “water” with the aid of small amounts of ionic liquid. Food Chem. 2015, 179, 318–324. [Google Scholar] [CrossRef]
- Fajardo, A.S.; Martins, R.C.; Martinez-Huitle, C.A.; Quinta-Ferreira, R.M. Treatment of amaranth dye in aqueous solution using one cell or two cells in series with active and non-active anodes. Electrochim. Acta 2016, 210, 96–104. [Google Scholar] [CrossRef]
- Brown, M.A.; De Vito, S.C. Predicting azo dye toxicity. Crit. Rev. Environ. Sci. Technol. 1993, 23, 249–324. [Google Scholar] [CrossRef]
- Chung, K.-T.; Cerniglia, C.E. Mutagenicity of azo dyes: Structure–activity relationships. Mutat. Res. Rev. Genet. Toxicol. 1992, 277, 201–220. [Google Scholar] [CrossRef]
- Lopez-de-Alba, P.; Lopez-Martínez, L.; Cerdà, V.; De Leon, L. Simultaneous determination of tartrazine, sunset yellow and allura red in commercial soft drinks by multivariate spectral analysis. Quim. Anal. 2001, 20, 63–72. [Google Scholar]
- Ghanbari, K.; Roushani, M.; Farzadfar, F.; Goicoechea, H.C.; Jalalvand, A.R. Developing a four-dimensional voltammetry as a powerful electroanalytical methodology for simultaneous determination of three colorants in the presence of an uncalibrated interference. Chemom. Intell. Lab. Syst. 2019, 189, 27–38. [Google Scholar] [CrossRef]
- Jian, J.; Li-Ping, G. Sensitive voltammetric sensor for amaranth based on ordered mesoporous carbon. Chin. J. Anal. Chem. 2013, 41, 681–686. [Google Scholar] [PubMed]
- MFDS (Ministry of Food and Drug Safety). Regulation on the Review of Functional Cosmetics. Notice No. 2023-61. 2025. Available online: https://www.mfds.go.kr/brd/m_211/view.do?seq=14791 (accessed on 9 February 2026).
- EC (European Commission). Regulation (EC) No 1223/2009 on Cosmetic Products. 2009. Available online: https://eur-lex.europa.eu/legal-content/EN/TXT/PDF/?uri=CELEX:32009R1223 (accessed on 9 February 2026).
- EC (European Commission). CosIng: Annex II—List of Substances Prohibited in Cosmetic Products. 2025. Available online: https://ec.europa.eu/growth/tools-databases/cosing/reference/annexes/list/II (accessed on 9 February 2026).
- EC (European Commission). CosIng: Annex IV—List of Colorants Permitted in Cosmetic Products. 2025. Available online: https://ec.europa.eu/growth/tools-databases/cosing/reference/annexes/list/IV (accessed on 9 February 2026).
- Alizadeh, M.; Demir, E.; Aydogdu, N.; Zare, N.; Karimi, F.; Kandomal, S.M.; Rokni, H.; Ghasemi, Y. Recent advances in electrochemical monitoring for the analysis of amaranth and carminic acid as food color. Food Chem. Toxicol. 2022, 163, 112929. [Google Scholar] [CrossRef] [PubMed]
- EFSA (European Food Safety Authority). Reconsideration of the temporary ADI and refined exposure assessment for Sunset Yellow FCF (E 110). EFSA J. 2014, 12, 3765. [Google Scholar] [CrossRef]
- Amchova, P.; Siska, F.; Ruda-Kucerova, J. Food safety and health concerns of synthetic food colors: An update. Toxics 2024, 12, 466. [Google Scholar] [CrossRef]
- ECHA (European Chemicals Agency). Registration Dossier: Trisodium 3-hydroxy-4-(4′-sulphonatonaphthylazo)naphthalene-2,7-disulphonate. 2025. Available online: https://chem.echa.europa.eu/100.011.839/dossier-view/b1e9d654-b544-4f9d-bf9c-902140ebff9f/92f273e9-cdf7-427b-bd70-248e64acfcc4_92f273e9-cdf7-427b-bd70-248e64acfcc4?searchText=915-67-3 (accessed on 9 February 2026).
- Kim, M.K.; Kim, K.B.; Lee, J.Y.; Kwack, S.J.; Kwon, Y.C.; Kang, J.S.; Kim, H.S.; Lee, B.-M. Risk assessment of 5-chloro-2-methylisothiazol-3(2H)-one/2-methylisothiazol-3(2H)-one (CMIT/MIT) used as a preservative in cosmetics. Toxicol. Res. 2019, 35, 103–117. [Google Scholar] [CrossRef] [PubMed]
- Lee, J.D.; Lee, J.Y.; Kwack, S.J.; Shin, C.Y.; Jang, H.J.; Kim, H.Y.; Kim, M.K.; Seo, D.-W.; Lee, B.-M.; Kim, K.-B. Risk assessment of triclosan, a cosmetic preservative. Toxicol. Res. 2019, 35, 137–154. [Google Scholar] [CrossRef] [PubMed]
- Ko, Y.; Lim, D.; Choi, H.; Choi, S.; Choi, S.; Hong, J.; Yoon, Y.A.; Chung, H.; Lim, K.-M.; Kim, K.-B. Risk assessment of cyclohexasiloxane D6 in cosmetic products. Toxicol. Res. 2024, 40, 421–429. [Google Scholar] [CrossRef]
- Sung, C.R.; Kim, K.B.; Lee, J.Y.; Lee, B.M.; Kwack, S.J. Risk assessment of ethylhexyl dimethyl PABA in cosmetics. Toxicol. Res. 2019, 35, 131–136. [Google Scholar] [CrossRef]
- Kim, D.; Seok, J.K.; Kim, M.; Choi, S.; Hong, J.; Yoon, Y.A.; Chung, H.; Bae, O.-N.; Kwack, S.J.; Kim, K.-B. Safety assessment of cocamidopropyl betaine, a cosmetic ingredient. Toxicol. Res. 2024, 40, 361–375. [Google Scholar] [CrossRef]
- MFDS (Ministry of Food and Drug Safety). Cosmetics Risk Assessment Guidelines. 2023. Available online: https://www.mfds.go.kr/brd/m_1060/view.do?seq=15405 (accessed on 9 February 2026).
- Kim, Y.J.; Kim, H.Y.; Lee, J.D.; Kim, H.Y.; Im, J.E.; Kim, K.B. Analytical method development and dermal absorption of pyrogallol, a hair dye ingredient. Toxics 2022, 10, 570. [Google Scholar] [CrossRef]
- Kim, Y.J.; Kim, H.Y.; Lee, J.D.; Kim, H.Y.; Im, J.E.; Kim, K.B. Analytical method development and dermal absorption of gallic acid, a hair dye ingredient. Toxicol. Res. 2024, 40, 449–456. [Google Scholar] [CrossRef]
- Im, J.E.; Kim, H.Y.; Lee, J.D.; Park, J.J.; Kang, K.S.; Kim, K.B. Effect of application amounts on in vitro dermal absorption test using caffeine and testosterone. Pharmaceutics 2021, 13, 641. [Google Scholar] [CrossRef]
- Kumar, M.; Sharma, A.; Mahmood, S.; Thakur, A.; Mirza, M.A.; Bhatia, A. Franz diffusion cell and its implication in skin permeation studies. J. Dispers. Sci. Technol. 2024, 45, 943–956. [Google Scholar] [CrossRef]
- Lee, J.D.; Kim, J.Y.; Jang, H.J.; Lee, B.M.; Kim, K.B. Percutaneous permeability of 1-phenoxy-2-propanol, a preservative in cosmetics. Regul. Toxicol. Pharmacol. 2019, 103, 56–62. [Google Scholar] [CrossRef] [PubMed]
- Kim, Y.J.; Kim, H.Y.; Lee, J.D.; Kim, H.Y.; Im, J.E.; Kim, K.B. Analytical method development and dermal absorption of 2-amino-5-nitrophenol (2A5NP), a hair dye ingredient under oxidative condition. Toxicol. Res. 2022, 39, 231–238. [Google Scholar] [CrossRef]
- Kim, H.Y.; Kim, Y.J.; Lee, J.D.; Kim, H.R.; Seo, D.W. Analytical method development and dermal absorption of 4-amino-3-nitrophenol (4A3NP), a hair dye ingredient under oxidative or non-oxidative conditions. Toxics 2024, 12, 340. [Google Scholar] [CrossRef]
- Sebe, I.; Zsidai, L.; Zelkó, R. Novel modified vertical diffusion cell for testing of in vitro drug release (IVRT) of topical patches. HardwareX 2022, 11, e00293. [Google Scholar] [CrossRef] [PubMed]
- SCCS (Scientific Committee on Consumer Safety). SCCS Notes of Guidance for the Testing of Cosmetic Ingredients and Their Safety Evaluation, 12th Revision, SCCS/1647/22. 2023. Available online: https://health.ec.europa.eu/publications/sccs-notes-guidance-testing-cosmetic-ingredients-and-their-safety-evaluation-12th-revision_en (accessed on 9 February 2026).
- EC (European Commission). CosIng: Cosmetic Ingredient Database—Amaranth (CI 16185). 2025. Available online: https://ec.europa.eu/growth/tools-databases/cosing/details/32726 (accessed on 9 February 2026).
- NIH (National Institutes of Health). PubChem Compound Summary for Amaranth (CID 13506): Computed Properties. 2025. Available online: https://pubchem.ncbi.nlm.nih.gov/compound/13506 (accessed on 9 February 2026).
- MFDS (Ministry of Food and Drug Safety). Guideline on Bioanalytical Method Validation. 2013. Available online: http://www.mfds.go.kr/index.do?mid=1162&seq=7560 (accessed on 9 February 2026).
- MFDS (Ministry of Food and Drug Safety). Guideline for In Vitro Skin Absorption Method. 2009. Available online: http://www.mfds.go.kr/index.do?mid=1161&seq=4788 (accessed on 22 August 2025).
- OECD (Organisation for Economic Co-operation and Development). Guideline for the Testing of Chemicals: Skin Absorption—In Vitro Method (Test No. 428). 2004. Available online: https://ntp.niehs.nih.gov/iccvam/suppdocs/feddocs/oecd/oecdtg428-508.pdf (accessed on 9 February 2026).
- Jung, E.C.; Maibach, H.I. Animal models for percutaneous absorption. J. Appl. Toxicol. 2015, 35, 1–10. [Google Scholar] [CrossRef]
- Abd, E.; Yousef, S.A.; Pastore, M.N.; Telaprolu, K.; Mohammed, Y.H.; Namjoshi, S.; Grice, J.; Roberts, M.S. Skin models for the testing of transdermal drugs. Clin. Pharmacol. 2016, 8, 163–176. [Google Scholar] [CrossRef]
- Kocsis, D.; Klang, V.; Schweiger, E.M.; Varga-Medveczky, Z.; Mihály, A.; Pongor, C.; Révész, Z.; Somogyi, Z.; Erdő, F. Characterization and ex vivo evaluation of excised skin samples as substitutes for human dermal barrier in pharmaceutical and dermatological studies. Ski. Res. Technol. 2022, 28, 664–676. [Google Scholar] [CrossRef] [PubMed]
- Marquet, F.; Grandclaude, M.C.; Ferrari, E.; Champmartin, C. Capacity of an in vitro rat skin model to predict human dermal absorption: Influences of aging and anatomical site. Toxicol. Vitr. 2019, 61, 104623. [Google Scholar] [CrossRef]
- FDA (U.S. Food and Drug Administration). Food and Drug Administration’s Regulation of Food Additives. 1977. Available online: https://www.gao.gov/products/100521 (accessed on 9 February 2026).
- CIR (Cosmetic Ingredient Review). Final Safety Assessment of Coal Tar as Used in Cosmetics. 2008. Available online: https://cir-reports.cir-safety.org/cir-ingredient-status-report (accessed on 9 February 2026).
- Silvander, M.; Ringstad, L.; Ghadially, R.; Sköld, T. A new water-based topical carrier with polar skin-lipids. Lipids Health Dis. 2006, 5, 12. [Google Scholar] [CrossRef][Green Version]
- Alhasso, B.; Ghori, M.U.; Conway, B.R. Systematic Review on the Effectiveness of Essential and Carrier Oils as Skin Penetration Enhancers in Pharmaceutical Formulations. Sci. Pharm. 2022, 90, 14. [Google Scholar] [CrossRef]




| Ingredients (% w/w) * | Formulation | |
|---|---|---|
| Skin Lotion | Cream | |
| Distilled water | 82.41 | 49 |
| Glycerin | 11.06 | - |
| Ethanol 95% | 5.53 | - |
| Lanette wax | - | 15 |
| Liquid paraffin | - | 12.50 |
| Petrolateum | - | 22.50 |
| Amaranth (R2) | 1 | 1 |
| Total | 100 | 100 |
| Sample a | Concentration (μg/mL) | Intra-Day | Inter-Day | ||||
|---|---|---|---|---|---|---|---|
| Mean ± S.D. | Accuracy (%) | Precision (%) | Mean ± S.D. | Accuracy (%) | Precision (%) | ||
| SKIN (n = 3) | 0.2 | 0.21 ± 0.01 | 104.4 | 3.9 | 0.20 ± 0.01 | 102.2 | 1.9 |
| 0.6 | 0.61 ± 0.01 | 102.3 | 0.9 | 0.61 ± 0.01 | 101.4 | 0.9 | |
| 4.0 | 4.04 ± 0.08 | 100.9 | 2.0 | 4.02 ± 0.06 | 100.5 | 0.9 | |
| 8.0 | 8.05 ± 0.11 | 100.6 | 1.4 | 8.04 ± 0.14 | 100.5 | 0.5 | |
| WASH (n = 3) | 0.1 | 0.10 ± 0.01 | 95.9 | 5.5 | 0.10 ± 0.01 | 98.7 | 3.2 |
| 0.3 | 0.29 ± 0.01 | 95.5 | 2.9 | 0.29 ± 0.01 | 97.4 | 2.1 | |
| 4.0 | 3.93 ± 0.10 | 98.1 | 2.7 | 3.97 ± 0.07 | 99.3 | 1.2 | |
| 8.0 | 7.98 ± 0.14 | 99.8 | 1.8 | 7.97 ± 0.09 | 99.6 | 0.6 | |
| SC (n = 3) | 0.1 | 0.11 ±0.002 | 106.9 | 1.8 | 0.10 ± 0.01 | 98.0 | 5.8 |
| 0.3 | 0.31 ± 0.003 | 103.3 | 1.1 | 0.29 ± 0.01 | 99.5 | 3.1 | |
| 4.0 | 4.00 ± 0.08 | 100.1 | 2.2 | 3.97 ± 0.05 | 100.5 | 0.4 | |
| 8.0 | 8.01 ± 0.05 | 100.1 | 0.6 | 7.97 ± 0.05 | 99.0 | 0.7 | |
| RF (n = 3) | 0.1 | 0.10 ± 0.003 | 99.6 | 2.9 | 0.10 ± 0.004 | 102.9 | 5.8 |
| 0.3 | 0.30 ± 0.01 | 100.5 | 2.8 | 0.31 ± 0.003 | 102.1 | 2.5 | |
| 4.0 | 4.03 ± 0.10 | 100.8 | 2.5 | 4.04 ± 0.06 | 101.1 | 1.9 | |
| 8.0 | 7.95 ± 0.02 | 99.4 | 0.3 | 8.00 ± 0.08 | 100.0 | 1.0 | |
| Skin Lotion (%) (Mean ± Standard Deviation) | Cream (%) (Mean ± Standard Deviation) | |
|---|---|---|
| Wash (24 h) | 76.1 ± 5.9 | 91.0 ± 19.6 |
| 1 S.C | 0.8 ± 0.3 | 0.3 ± 0.2 |
| 2 Skin | 3.4 ± 2.7 | 0 |
| 3 RF | 0 | 0 |
| 4 Total dermal absorption | 3.4 ± 2.7 | 0 |
| Total recovery | 80.3 ± 8.2 | 91.4 ± 19.4 |
Disclaimer/Publisher’s Note: The statements, opinions and data contained in all publications are solely those of the individual author(s) and contributor(s) and not of MDPI and/or the editor(s). MDPI and/or the editor(s) disclaim responsibility for any injury to people or property resulting from any ideas, methods, instructions or products referred to in the content. |
© 2026 by the authors. Licensee MDPI, Basel, Switzerland. This article is an open access article distributed under the terms and conditions of the Creative Commons Attribution (CC BY) license.
Share and Cite
Lee, J.D.; Kim, H.Y.; Hwang, G.-W.; Kim, K.-B. Dermal Absorption and Quantitative Analysis of Amaranth, a Cosmetic Colorant, in Rat Skin Using an In Vitro Franz Diffusion Model. Cosmetics 2026, 13, 50. https://doi.org/10.3390/cosmetics13020050
Lee JD, Kim HY, Hwang G-W, Kim K-B. Dermal Absorption and Quantitative Analysis of Amaranth, a Cosmetic Colorant, in Rat Skin Using an In Vitro Franz Diffusion Model. Cosmetics. 2026; 13(2):50. https://doi.org/10.3390/cosmetics13020050
Chicago/Turabian StyleLee, Jung Dae, Hyang Yeon Kim, Gi-Wook Hwang, and Kyu-Bong Kim. 2026. "Dermal Absorption and Quantitative Analysis of Amaranth, a Cosmetic Colorant, in Rat Skin Using an In Vitro Franz Diffusion Model" Cosmetics 13, no. 2: 50. https://doi.org/10.3390/cosmetics13020050
APA StyleLee, J. D., Kim, H. Y., Hwang, G.-W., & Kim, K.-B. (2026). Dermal Absorption and Quantitative Analysis of Amaranth, a Cosmetic Colorant, in Rat Skin Using an In Vitro Franz Diffusion Model. Cosmetics, 13(2), 50. https://doi.org/10.3390/cosmetics13020050

