Extending the Physical Functionality of Bioactive Blends of Astrocaryum Pulp and Kernel Oils from Guyana
Abstract
1. Introduction
2. Materials and Methods
2.1. Materials
2.1.1. Sample Collection, Processing and Handling
2.1.2. Preparation of the Blends
2.2. Methods
2.2.1. Electrospray Ionization–Mass Spectrometry (ESI-MS)
2.2.2. Total Phenolic Content (UV-Vis Spectrophotometry)
2.2.3. Estimation of Total Carotenoid Content (UV-Vis Spectrophotometry)
2.2.4. Differential Scanning Calorimetry (DSC)
2.2.5. Solid Fat Content (SFC)
2.2.6. Texture Analysis
2.2.7. Polarized Light Microscopy (PLM)
2.3. Statistical Analysis
3. Results and Discussion
3.1. Non-Lipid Bioactive Composition
3.1.1. Carotenoids
3.1.2. Polyphenols
3.1.3. Phytosterols
3.2. Thermal Transition Behavior and Phase Diagram
3.3. Thermodynamic Analysis of the Liquidus Line
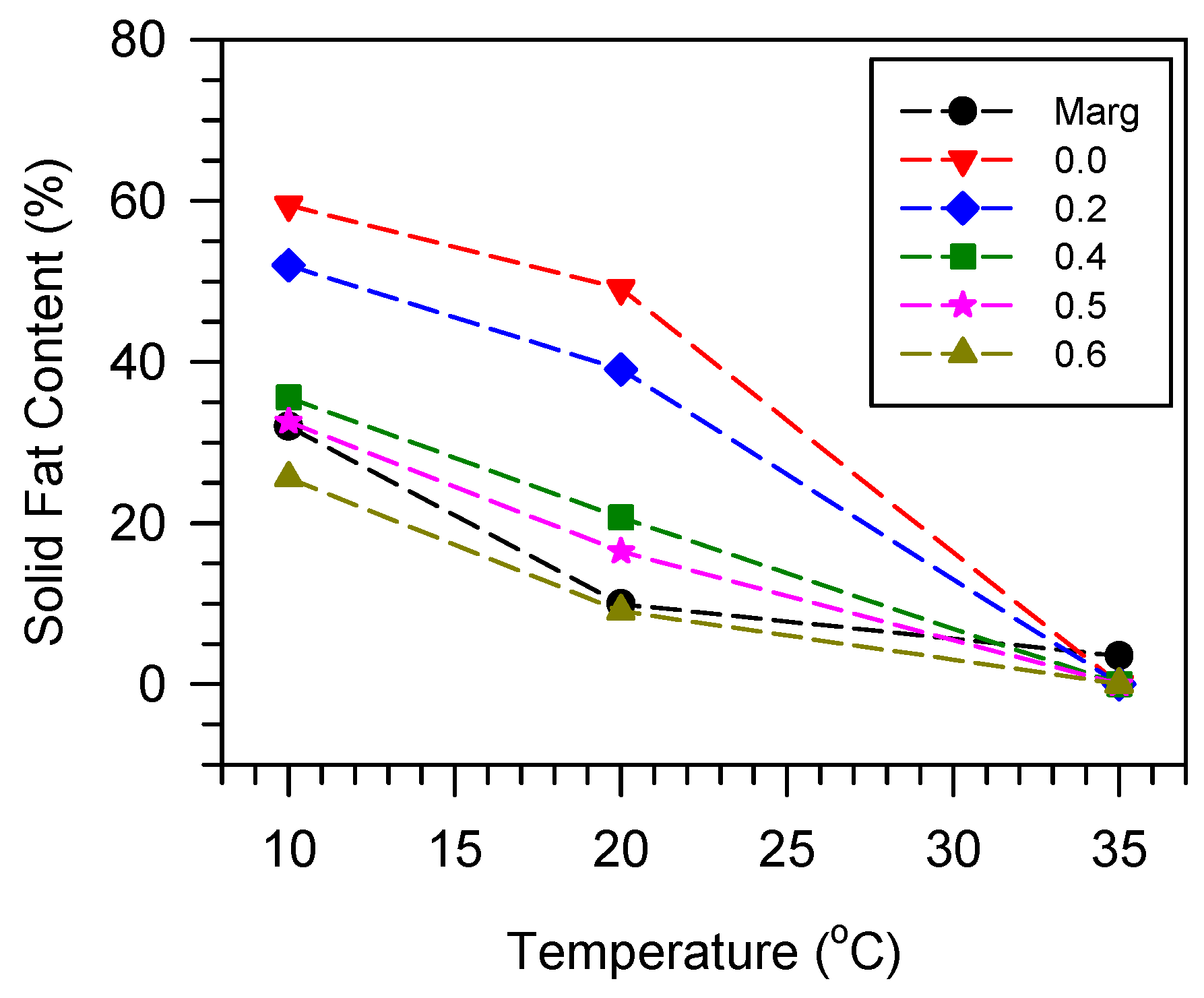
3.4. Solid Fat Content
3.4.1. Implications for Food and Cosmetics Applications
Implications of the Mixtures’ Melting Point in Foods and Cosmetics
Implications of the Mixtures’ SFC in Cosmetics
Implications of the Mixtures’ SFC in Foods
3.5. Microstructure
3.6. Instrumental Textural Analysis
Correlation between the Textural Parameters and SFC, Melting Point and Crystal Size
4. Conclusions
Supplementary Materials
Author Contributions
Funding
Data Availability Statement
Acknowledgments
Conflicts of Interest
Abbreviations
| ESI-MS | Electrospray ionization–mass spectrometry |
| TAGs | Triacylglycerols |
| LLC8 | 3-(octanoyloxy)propane-1,2-diyl didodecanoate |
| LLC10 | 3-(decanoyloxy)propane-1,2-diyl didodecanoate |
| LLL | propane-1,2,3-triyl tridodecanoate |
| LLM | 3-(tetradecanoyloxy)propane-1,2-diyl didodecanoate |
| MML | 3-(dodecanoyloxy)propane-1,2-diyl ditetradecanoate |
| POP | 2-(oleoyloxy)propane-1,3-diyl dipalmitate |
| PPO | 3-(oleoyloxy)propane-1,2-diyl dipalmitate |
| POO | 2-(palmitoyloxy)propane-1,3-diyl dioleate |
| OOO | propane-1,2,3-triyl trioleate |
| SOO | 3-(oleoyloxy)propane-1,2-diyl distearate |
| SSO | propane-1,2,3-triyl tristearate |
| UV-Vis | Ultraviolet–visible |
| TPC | Total phenolic content |
| TCC | Total carotenoid content |
| DSC | Differential scanning calorimetry |
| FWHM | Full width at half max |
| Onset temperature | |
| Offset temperature | |
| SFC | Solid fat content |
| PLM | Polarized light microscopy |
References
- USDA. Oilseeds: Worldwide Markets and Trade; U.S Department of Agriculture: Washington, DC, USA, 2024; p. 39.
- Dini, I.; Laneri, S. The New Challenge of Green Cosmetics: Natural Food Ingredients for Cosmetic Formulations. Molecules 2021, 26, 3921. [Google Scholar] [CrossRef] [PubMed]
- Santos, M.T.d.; Morgavi, P.; Le Roux, G.A.C. Exploring amazonian fats and oils blends by computational predictions of solid fat content. OCL 2018, 25, D107. [Google Scholar] [CrossRef]
- Kahn, F. The genus Astrocaryum (Arecaceae). Rev. Peru. Biol. 2008, 15, 31–48. [Google Scholar] [CrossRef]
- Craveiro Holanda Malveira Maia, G.; da Silva Campos, M.; Barros-Monteiro, J.; Eduardo Lucas Castillo, J.; Soares Faleiros, M.; Souza de Aquino Sales, R.; Moraes Lopes Galeno, D.; Lira, E.; das Chagas do Amaral Souza, F.; Ortiz, C.; et al. Effects of Astrocaryum aculeatum Meyer (Tucumã) on Diet-Induced Dyslipidemic Rats. J. Nutr. Metab. 2014, 2014, 202367. [Google Scholar] [CrossRef] [PubMed]
- Silva, M.B.; Perez, V.H.; Pereira, N.R.; Silveira, T.d.C.; da Silva, N.R.F.; de Andrade, C.M.; Sampaio, R.M. Drying kinetic of tucum fruits (Astrocaryum aculeatum Meyer): Physicochemical and functional properties characterization. J. Food Sci. Technol. 2018, 55, 1656–1666. [Google Scholar] [CrossRef] [PubMed]
- Menezes, E.G.O.; Barbosa, J.R.; Pires, F.C.S.; Ferreira, M.C.R.; de Souza e Silva, A.P.; Siqueira, L.M.M.; de Carvalho Junior, R.N. Development of a new scale-up equation to obtain Tucumã-of-Pará (Astrocaryum vulgare Mart.) oil rich in carotenoids using supercritical CO2 as solvent. J. Supercrit. Fluids 2022, 181, 105481. [Google Scholar] [CrossRef]
- Teixeira, G.L.; Ibañez, E.; Block, J.M. Emerging Lipids from Arecaceae Palm Fruits in Brazil. Molecules 2022, 27, 4188. [Google Scholar] [CrossRef] [PubMed]
- Falcao, A.d.O.; Speranza, P.; Ueta, T.; Martins, M. Antioxidant potential and modulatory effects of restructured lipids from the Amazonian palms on liver cells. Food Technol. Biotechnol. 2017, 55, 553–561. [Google Scholar]
- Bezerra, C.V.; Rodrigues, A.; de Oliveira, P.D.; da Silva, D.A.; da Silva, L.H.M. Technological properties of amazonian oils and fats and their applications in the food industry. Food Chem. 2017, 221, 1466–1473. [Google Scholar] [CrossRef] [PubMed]
- Deonarine, S.; Soodoo, N.; Bouzidi, L.; Narine, S.S. Oil Extraction and Natural Drying Kinetics of the Pulp and Seeds of Commercially Important Oleaginous Fruit from the Rainforests of Guyana. Processes 2023, 11, 3292. [Google Scholar] [CrossRef]
- Rodrigues, A.M.d.C.; Darnet, S.; Silva, L.H.M.d. Fatty acid profiles and tocopherol contents of buriti (Mauritia flexuosa), patawa (Oenocarpus bataua), tucuma (Astrocaryum vulgare), mari (Poraqueiba paraensis) and inaja (Maximiliana maripa) fruits. J. Braz. Chem. Soc. 2010, 21, 2000–2004. [Google Scholar] [CrossRef]
- Bora, P.S.; Narain, N.; Rocha, R.V.M.; De Oliveira Monteiro, A.C.; De Azevedo Moreira, R. Characterization of the oil and protein fraction of (Astrocaryum vulgare Mart.) fruit pulp and kernel. Cienc. Y Tecnol. Aliment. 2001, 3, 111–116. [Google Scholar] [CrossRef]
- Bony, E.; Boudard, F.; Brat, P.; Dussossoy, E.; Portet, K.; Poucheret, P.; Giaimis, J.; Michel, A. Awara (Astrocaryum vulgare M.) pulp oil: Chemical characterization, and anti-inflammatory properties in a mice model of endotoxic shock and a rat model of pulmonary inflammation. Fitoterapia 2012, 83, 33–43. [Google Scholar] [CrossRef] [PubMed]
- da Silva Sousa, H.M.; Leal, G.F.; da Silva Gualberto, L.; de Freitas, B.C.B.; Guarda, P.M.; Borges, S.V.; Morais, R.A.; de Souza Martins, G.A. Exploration of the chemical characteristics and bioactive and antioxidant potential of tucumã (Astrocaryum vulgare), peach palm (Bactris gasipaes), and bacupari (Garcinia gardneriana) native Brazilian fruits. Biomass Convers. Biorefinery 2023, 13, 1–14. [Google Scholar] [CrossRef]
- Rossato, A.; da Silva Silveira, L.; Lopes, L.Q.S.; De Sousa Filho, W.P.; Schaffer, L.F.; Santos, R.C.V.; Sagrillo, M.R. Evaluation in vitro of antimicrobial activity of tucumã oil (Astrocaryum vulgare). Arch. Biosci. Health 2019, 1, 99–112. [Google Scholar] [CrossRef]
- Nascimento, K.; Copetti, P.M.; Fernandes, A.; Klein, B.; Fogaça, A.; Zepka, L.Q.; Wagner, R.; Ourique, A.F.; Sagrillo, M.R.; da Silva, J.E.P. Phytochemical analysis and evaluation of the antioxidant and antiproliferative effects of Tucumã oil nanocapsules in breast adenocarcinoma cells (MCF-7). Nat. Prod. Res. 2021, 35, 2060–2065. [Google Scholar] [CrossRef]
- Copetti, P.; Oliveira, P.; Vaucher, R.; Duarte, M.; Krause, L. Tucumã extracts decreases PML/RARA gene expression in NB4/APL cell line. Arch. Biosci. Health 2019, 1, 77–98. [Google Scholar] [CrossRef]
- Guex, C.G.; Cassanego, G.B.; Dornelles, R.C.; Casoti, R.; Engelmann, A.M.; Somacal, S.; Maciel, R.M.; Duarte, T.; Borges, W.d.S.; Andrade, C.M.d.; et al. Tucumã (Astrocaryum aculeatum) extract: Phytochemical characterization, acute and subacute oral toxicity studies in Wistar rats. Drug Chem. Toxicol. 2022, 45, 810–821. [Google Scholar] [CrossRef] [PubMed]
- Bonadiman, B.; Chaves, C.; Assmann, C.E.; Weis, G.C.C.; Alves, A.O.; Gindri, A.L.; Chaves, C.; da Cruz, I.B.M.; Zamoner, A.; Bagatini, M.D. Tucumã (Astrocaryum aculeatum) Prevents Oxidative and DNA Damage to Retinal Pigment Epithelium Cells. J. Med. Food 2021, 24, 1050–1057. [Google Scholar] [CrossRef] [PubMed]
- Burlando, B.; Cornara, L. Revisiting Amazonian Plants for Skin Care and Disease. Cosmetics 2017, 4, 25. [Google Scholar] [CrossRef]
- Mosquera Narvaez, L.E.; Ferreira, L.M.; Sanches, S.; Alesa Gyles, D.; Silva-Júnior, J.O.; Ribeiro Costa, R.M. A Review of Potential Use of Amazonian Oils in the Synthesis of Organogels for Cosmetic Application. Molecules 2022, 27, 2733. [Google Scholar] [CrossRef] [PubMed]
- Ibiapina, A.; Gualberto, L.d.S.; Dias, B.B.; Freitas, B.C.B.; Martins, G.A.d.S.; Melo Filho, A.A. Essential and fixed oils from Amazonian fruits: Proprieties and applications. Crit. Rev. Food Sci. Nutr. 2022, 62, 8842–8854. [Google Scholar] [CrossRef] [PubMed]
- Cardona Jaramillo, J.E.; Carrillo Bautista, M.P.; Alvarez Solano, O.A.; Achenie, L.E.K.; González Barrios, A.F. Impact of the Mode of Extraction on the Lipidomic Profile of Oils Obtained from Selected Amazonian Fruits. Biomolecules 2019, 9, 329. [Google Scholar] [CrossRef] [PubMed]
- Rabasco Álvarez, A.M.; González Rodríguez, M.L. Lipids in pharmaceutical and cosmetic preparations. Grasas Y Aceites 2000, 51, 74–96. [Google Scholar] [CrossRef]
- Shukla, V. Confectionery Lipids. Bailey’s Ind. Oil Fat Prod. 2005, 4, 159–173. [Google Scholar] [CrossRef]
- Lipp, M.; Simoneau, C.; Ulberth, F.; Anklam, E.; Crews, C.; Brereton, P.; de Greyt, W.; Schwack, W.; Wiedmaier, C. Composition of Genuine Cocoa Butter and Cocoa Butter Equivalents. J. Food Compos. Anal. 2001, 14, 399–408. [Google Scholar] [CrossRef]
- Shukla, V.; Kragballe, K. Exotic butters as cosmetic lipids. Inform 1998, 9, 512–516. [Google Scholar]
- Watanabe, S.; Yoshikawa, S.; Sato, K. Formation and properties of dark chocolate prepared using fat mixtures of cocoa butter and symmetric/asymmetric stearic-oleic mixed-acid triacylglycerols: Impact of molecular compound crystals. Food Chem. 2021, 339, 127808. [Google Scholar] [CrossRef] [PubMed]
- Weiss, T.J. Food Oils and Their Uses; AVI Publishing Company: Westport, CT, USA, 1983. [Google Scholar]
- Ghotra, B.S.; Dyal, S.D.; Narine, S.S. Lipid shortenings: A review. Food Res. Int. 2002, 35, 1015–1048. [Google Scholar] [CrossRef]
- Torbica, A.; Jovanovic, O.; Pajin, B. The advantages of solid fat content determination in cocoa butter and cocoa butter equivalents by the Karlshamns method. Eur. Food Res. Technol. 2006, 222, 385–391. [Google Scholar] [CrossRef]
- Nor Hayati, I.; Che Man, Y.B.; Tan, C.P.; Nor Aini, I. Physicochemical characteristics of soybean oil, palm kernel olein, and their binary blends. Int. J. Food Sci. Technol. 2009, 44, 152–161. [Google Scholar] [CrossRef]
- Hashempour-Baltork, F.; Torbati, M.; Azadmard-Damirchi, S.; Savage, G.P. Vegetable oil blending: A review of physicochemical, nutritional and health effects. Trends Food Sci. Technol. 2016, 57, 52–58. [Google Scholar] [CrossRef]
- Zhang, Z.; Song, J.; Lee, W.J.; Xie, X.; Wang, Y. Characterization of enzymatically interesterified palm oil-based fats and its potential application as cocoa butter substitute. Food Chem. 2020, 318, 126518. [Google Scholar] [CrossRef]
- Biswas, N.; Cheow, Y.L.; Tan, C.P.; Siow, L.F. Blending of Palm Mid-Fraction, Refined Bleached Deodorized Palm Kernel Oil or Palm Stearin for Cocoa Butter Alternative. J. Am. Oil Chem. Soc. 2016, 93, 1415–1427. [Google Scholar] [CrossRef]
- Hashem, A.; Abdul-fadl, M.; Arafat, S.; Aboulhoda, B. Producing cocoa butter substitutes by blending process of some vegetable oils. J. Biol. Chem. Environ. Sci. 2018, 13, 133–154. [Google Scholar]
- Mohanan, A.; Darling, B.; Bouzidi, L.; Narine, S.S. Mitigating crystallization of saturated FAMES (fatty acid methyl esters) in biodiesel. 3. The binary phase behavior of 1,3-dioleoyl-2-palmitoyl glycerol—Methyl palmitate—A multi-length scale structural elucidation of mechanism responsible for inhibiting FAME crystallization. Energy 2015, 86, 500–513. [Google Scholar] [CrossRef]
- Boodhoo, M.V.; Bouzidi, L.; Narine, S.S. The binary phase behavior of 1,3-dicaproyl-2-stearoyl-sn-glycerol and 1,2-dicaproyl-3-stearoyl-sn-glycerol. Chem. Phys. Lipids 2009, 157, 21–39. [Google Scholar] [CrossRef]
- Foubert, I.; Dewettinck, K.; Vanrolleghem, P.A. Modelling of the crystallization kinetics of fats. Trends Food Sci. Technol. 2003, 14, 79–92. [Google Scholar] [CrossRef]
- Sagrillo, M.R.; Garcia, L.F.M.; de Souza Filho, O.C.; Duarte, M.M.M.F.; Ribeiro, E.E.; Cadoná, F.C.; da Cruz, I.B.M. Tucumã fruit extracts (Astrocaryum aculeatum Meyer) decrease cytotoxic effects of hydrogen peroxide on human lymphocytes. Food Chem. 2015, 173, 741–748. [Google Scholar] [CrossRef] [PubMed]
- Sánchez-Rangel, J.C.; Benavides, J.; Heredia, J.B.; Cisneros-Zevallos, L.; Jacobo-Velázquez, D.A. The Folin–Ciocalteu assay revisited: Improvement of its specificity for total phenolic content determination. Anal. Methods 2013, 5, 5990–5999. [Google Scholar] [CrossRef]
- de Carvalho, L.M.J.; Gomes, P.B.; Godoy, R.L.d.O.; Pacheco, S.; do Monte, P.H.F.; de Carvalho, J.L.V.; Nutti, M.R.; Neves, A.C.L.; Vieira, A.C.R.A.; Ramos, S.R.R. Total carotenoid content, α-carotene and β-carotene, of landrace pumpkins (Cucurbita moschata Duch): A preliminary study. Food Res. Int. 2012, 47, 337–340. [Google Scholar] [CrossRef]
- Siqueira, E.M.d.A.; Rosa, F.R.; Fustinoni, A.M.; de Sant’Ana, L.P.; Arruda, S.F. Brazilian Savanna Fruits Contain Higher Bioactive Compounds Content and Higher Antioxidant Activity Relative to the Conventional Red Delicious Apple. PLoS ONE 2013, 8, e72826. [Google Scholar] [CrossRef] [PubMed]
- Rodriguez-Amaya, D.B.; Kimura, M. HarvestPlus Handbook for Carotenoid Analysis; International Food Policy Research Institute (IFPRI) Washington: Washington, DC, USA, 2004; Volume 2. [Google Scholar]
- Tee, E.S.; Lim, C.-L. The analysis of carotenoids and retinoids: A review. Food Chem. 1991, 41, 147–193. [Google Scholar] [CrossRef]
- de Rosso, V.V.; Mercadante, A.Z. Identification and Quantification of Carotenoids, By HPLC-PDA-MS/MS, from Amazonian Fruits. J. Agric. Food Chem. 2007, 55, 5062–5072. [Google Scholar] [CrossRef] [PubMed]
- Ferreira, M.J.A.; Mota, M.F.S.; Mariano, R.G.B.; Freitas, S.P. Evaluation of liquid-liquid extraction to reducing the acidity index of the tucuma (Astrocaryum vulgare Mart.) pulp oil. Sep. Purif. Technol. 2021, 257, 117894. [Google Scholar] [CrossRef]
- Rodriguez-Amaya, D.B. A Guide to Carotenoid Analysis in Foods; ILSI Press: Washington, DC, USA, 2001; Volume 71. [Google Scholar]
- Freitas, M.L.F.; Chisté, R.C.; Polachini, T.C.; Sardella, L.A.C.Z.; Aranha, C.P.M.; Ribeiro, A.P.B.; Nicoletti, V.R. Quality characteristics and thermal behavior of buriti (Mauritia flexuosa L.) oil. Grasas Y Aceites 2017, 68, e220. [Google Scholar] [CrossRef]
- Ferreira, C.D.; da Conceição, E.J.L.; Machado, B.A.S.; Hermes, V.S.; de Oliveira Rios, A.; Druzian, J.I.; Nunes, I.L. Physicochemical Characterization and Oxidative Stability of Microencapsulated Crude Palm Oil by Spray Drying. Food Bioprocess Technol. 2016, 9, 124–136. [Google Scholar] [CrossRef]
- Amchova, P.; Kotolova, H.; Ruda-Kucerova, J. Health safety issues of synthetic food colorants. Regul. Toxicol. Pharmacol. 2015, 73, 914–922. [Google Scholar] [CrossRef] [PubMed]
- Köpcke, W.; Krutmann, J. Protection from sunburn with beta-Carotene—A meta-analysis. Photochem. Photobiol. 2008, 84, 284–288. [Google Scholar] [CrossRef] [PubMed]
- Eicker, J.; Kürten, V.; Wild, S.; Riss, G.; Goralczyk, R.; Krutmann, J.; Berneburg, M. Betacarotene supplementation protects from photoaging-associated mitochondrial DNA mutation. Photochem. Photobiol. Sci. 2003, 2, 655–659. [Google Scholar] [CrossRef] [PubMed]
- Morganti, P.; Bruno, C.; Guarneri, F.; Cardillo, A.; Del Ciotto, P.; Valenzano, F. Role of topical and nutritional supplement to modify the oxidative stress. Int. J. Cosmet Sci. 2002, 24, 331–339. [Google Scholar] [CrossRef] [PubMed]
- Ferreira, B.S.; De Almeida, C.G.; Faza, L.P.; De Almeida, A.; Diniz, C.G.; Silva, V.L.d.; Grazul, R.M.; Le Hyaric, M. Comparative Properties of Amazonian Oils Obtained by Different Extraction Methods. Molecules 2011, 16, 5875–5885. [Google Scholar] [CrossRef] [PubMed]
- Chai, B.; Jiang, W.; Hu, M.; Wu, Y.; Si, H. In vitro synergistic interactions of Protocatechuic acid and Chlorogenic acid in combination with antibiotics against animal pathogens. Synergy 2019, 9, 100055. [Google Scholar] [CrossRef]
- Kępa, M.; Miklasińska-Majdanik, M.; Wojtyczka, R.D.; Idzik, D.; Korzeniowski, K.; Smoleń-Dzirba, J.; Wąsik, T.J. Antimicrobial Potential of Caffeic Acid against Staphylococcus aureus Clinical Strains. Biomed. Res. Int. 2018, 2018, 7413504. [Google Scholar] [CrossRef] [PubMed]
- Miklasińska-Majdanik, M.; Kępa, M.; Wąsik, T.J.; Zapletal-Pudełko, K.; Klim, M.; Wojtyczka, R.D. The Direction of the Antibacterial Effect of Rutin Hydrate and Amikacin. Antibiotics 2023, 12, 1469. [Google Scholar] [CrossRef] [PubMed]
- Abdulhadi, S.Y.; Gergees, R.N.; Hasan, G.Q. Molecular identification, antioxidant efficacy of phenolic compounds, and antimicrobial activity of beta-carotene isolated from fruiting bodies of Suillus sp. Karbala Int. J. Mod. Sci. 2020, 6, 4. [Google Scholar] [CrossRef]
- Duarte, S.; Rosalen, P.L.; Hayacibara, M.F.; Cury, J.A.; Bowen, W.H.; Marquis, R.E.; Rehder, V.L.; Sartoratto, A.; Ikegaki, M.; Koo, H. The influence of a novel propolis on mutans streptococci biofilms and caries development in rats. Arch. Oral Biol. 2006, 51, 15–22. [Google Scholar] [CrossRef] [PubMed]
- Barkas, F.; Bathrellou, E.; Nomikos, T.; Panagiotakos, D.; Liberopoulos, E.; Kontogianni, M.D. Plant Sterols and Plant Stanols in Cholesterol Management and Cardiovascular Prevention. Nutrients 2023, 15, 2845. [Google Scholar] [CrossRef] [PubMed]
- Burčová, Z.; Kreps, F.; Greifová, M.; Jablonský, M.; Ház, A.; Schmidt, Š.; Šurina, I. Antibacterial and antifungal activity of phytosterols and methyl dehydroabietate of Norway spruce bark extracts. J. Biotechnol. 2018, 282, 18–24. [Google Scholar] [CrossRef] [PubMed]
- Shih, C.-C.; Lin, C.-H.; Lin, W.-L. Effects of Momordica charantia on insulin resistance and visceral obesity in mice on high-fat diet. Diabetes Res. Clin. Pract. 2008, 81, 134–143. [Google Scholar] [CrossRef] [PubMed]
- Deonarine, S.; Soodoo, N.; Bouzidi, L.; Emery, R.J.N.; Martic, S.; Narine, S.S. Molecular, Crystalline, and Microstructures of Lipids from Astrocaryum Species in Guyana and Their Thermal and Flow Behavior. Thermo 2024, 4, 140–163. [Google Scholar] [CrossRef]
- Boodhoo, M.V.; Kutek, T.; Filip, V.; Narine, S.S. The binary phase behavior of 1,3-dimyristoyl-2-stearoyl-sn-glycerol and 1,2-dimyristoyl-3-stearoyl-sn-glycerol. Chem. Phys. Lipids 2008, 154, 7–18. [Google Scholar] [CrossRef] [PubMed]
- Boodhoo, M.V.; Bouzidi, L.; Narine, S.S. The binary phase behavior of 1, 3-dipalmitoyl-2-stearoyl-sn-glycerol and 1, 2-dipalmitoyl-3-stearoyl-sn-glycerol. Chem. Phys. Lipids 2009, 160, 11–32. [Google Scholar] [CrossRef] [PubMed]
- Abes, M.; Bouzidi, L.; Narine, S.S. Crystallization and phase behavior of 1,3-propanediol esters II. 1,3-Propanediol distearate/1,3-propanediol dipalmitate (SS/PP) and 1,3-propanediol distearate/1,3-propanediol dimyristate (SS/MM) binary systems. Chem. Phys. Lipids 2007, 150, 89–108. [Google Scholar] [CrossRef] [PubMed]
- Baker, M.; Bouzidi, L.; Narine, S.S. Mitigating crystallization of saturated FAMEs (fatty acid methyl esters) in biodiesel: 2. The phase behavior of 2-stearoyl diolein–methyl stearate binary system. Energy 2015, 83, 647–657. [Google Scholar] [CrossRef]
- Macridachis, J.; Bayés-García, L.; Calvet, T. Mixing phase behavior of trilaurin and monounsaturated triacylglycerols based on palmitic and oleic fatty acids. J. Therm. Anal. Calorim. 2023, 148, 12987–13001. [Google Scholar] [CrossRef]
- Höhne, G.; Hemminger, W.; Flammersheim, H.-J. (Eds.) Differential Scanning Calorimetry, 2nd ed.; Springer: Berlin/Heidelberg, Germany, 2003; p. 298. [Google Scholar]
- Inoue, T.; Hisatsugu, Y.; Ishikawa, R.; Suzuki, M. Solid–liquid phase behavior of binary fatty acid mixtures: 2. Mixtures of oleic acid with lauric acid, myristic acid, and palmitic acid. Chem. Phys. Lipids 2004, 127, 161–173. [Google Scholar] [CrossRef] [PubMed]
- MacNaughtan, W.; Farhat, I.; Himawan, C.; Starov, V.; Stapley, A. A differential scanning calorimetry study of the crystallization kinetics of tristearin-tripalmitin mixtures. J. Am. Oil Chem. Soc. 2006, 83, 1–9. [Google Scholar] [CrossRef]
- Costa, M.C.; Rolemberg, M.P.; Boros, L.A.D.; Krähenbühl, M.A.; de Oliveira, M.G.; Meirelles, A.J.A. Solid−Liquid Equilibrium of Binary Fatty Acid Mixtures. J. Chem. Eng. Data 2006, 52, 30–36. [Google Scholar] [CrossRef]
- Inoue, T.; Motoda, I.; Hiramatsu, N.; Suzuki, M.; Sato, K. Phase-behavior of binary mixture of palmitoleic acid (cis-9-hexadecenoic acid) and asclepic acid (cis-11-octadecenoic acid). Chem. Phys. Lipids 1993, 66, 209–214. [Google Scholar] [CrossRef]
- Hildebrand, J.H. Solubility XII. Regular solutions. J. Am. Chem. Soc. 1929, 51, 66–80. [Google Scholar] [CrossRef]
- Bragg, W.L.; Williams, E.J. The effect of thermal agitation on atomic arrangement in alloys. Proc. R. Soc. 1934, 145, 699–730. [Google Scholar]
- Moore, W.J. Physical Chemistry, 4th ed.; Prentice-Hall: Englewood Cliffs, NJ, USA, 1972; pp. 229–278. [Google Scholar]
- Inoue, T.; Hisatsugu, Y.; Yamamoto, R.; Suzuki, M. Solid-liquid phase behavior of binary fatty acid mixtures 1. Oleic acid/stearic acid and oleic acid/behenic acid mixtures. Chem. Phys. Lipids 2004, 127, 143–152. [Google Scholar] [CrossRef] [PubMed]
- Abes, M.; Bouzidi, L.; Narine, S.S. Crystallization and phase behavior of fatty acid esters of 1,3 propanediol III: 1,3 propanediol dicaprylate/1,3 propanediol distearate (CC/SS) and 1,3 propanediol dicaprylate/1,3 propanediol dipalmitate (CC/PP) binary systems. Chem. Phys. Lipids 2008, 151, 110–124. [Google Scholar] [CrossRef] [PubMed]
- Lee, A.G. Lipid Phase-Transitions and Phase-Diagrams.1. Lipid Phase-Transitions. Biochim. Biophys. Acta 1977, 472, 237–281. [Google Scholar] [CrossRef] [PubMed]
- Lee, A.G. Lipid Phase-Transitions and Phase-Diagrams.2. Mixtures Involving Lipids. Biochim. Biophys. Acta 1977, 472, 285–344. [Google Scholar] [CrossRef] [PubMed]
- Tenchov, B.G. Non-uniform lipid distribution in membranes. Prog. Surf. Sci. 1985, 20, 273–340. [Google Scholar] [CrossRef]
- Nibu, Y.; Inoue, T. Miscibility of binary phospholipid mixtures under hydrated and non-hydrated conditions.2. Phosphatidylethanolamines with different acyl-chain lengths. Chem. Phys. Lipids 1995, 76, 159–169. [Google Scholar] [CrossRef]
- Rycerz, L. Practical remarks concerning phase diagrams determination on the basis of differential scanning calorimetry measurements. J. Therm. Anal. Calorim. 2013, 113, 231–238. [Google Scholar] [CrossRef]
- Findlay, A. The Phase Rule and Its Applications; Longmans, Green and Company: Selinsgrove, PA, USA, 1904; p. 361. [Google Scholar]
- Matsuoka, M.; Ozawa, R. Determination of solid-liquid phase equilibria of binary organic systems by differential scanning calorimetry. J. Cryst. Growth 1989, 96, 596–604. [Google Scholar] [CrossRef]
- Timms, R.E. Phase behaviour of fats and their mixtures. Prog. Lipid Res. 1984, 23, 1–38. [Google Scholar] [CrossRef] [PubMed]
- Petersson, B.; Anjou, K.; Sandström, L. Pulsed NMR Method for Solid Fat Content Determination in Tempering Fats, Part I: Cocoa Butters and Equivalents. Fette Seifen Anstrichm. 1985, 87, 225–230. [Google Scholar] [CrossRef]
- Nillson, J. Measuring solid fat content. Manuf. Confect. 1986, 5, 88–91. [Google Scholar]
- Lovett, P.N. 5—Shea butter: Properties and processing for use in food. In Specialty Oils and Fats in Food and Nutrition; Talbot, G., Ed.; Woodhead Publishing: Sawston, UK, 2015; pp. 125–158. [Google Scholar] [CrossRef]
- Ghazani, S.M.; Marangoni, A.G. Molecular Origins of Polymorphism in Cocoa Butter. Annu. Rev. Food Sci. Technol. 2021, 12, 567–590. [Google Scholar] [CrossRef] [PubMed]
- Siew, W.L. Crystallisation and melting behaviour of palm kernel oil and related products by differential scanning calorimetry. Eur. J. Lipid Sci. Technol. 2001, 103, 729–734. [Google Scholar] [CrossRef]
- Matsuda, H.; Yamaguchi, M.; Arima, H. Separation and crystallization of oleaginous constituents in cosmetics: Sweating and blooming. In Crystallization Processes in Fats and Lipid Systems; CRC Press: Boca Raton, FL, USA, 2001; pp. 499–518. [Google Scholar]
- Pereira, E.; Ferreira, M.C.; Sampaio, K.A.; Grimaldi, R.; Meirelles, A.J.d.A.; Maximo, G.J. Physical properties of Amazonian fats and oils and their blends. Food Chem. 2019, 278, 208–215. [Google Scholar] [CrossRef] [PubMed]
- Torbica, A.; Jambrec, D.; Tomić, J.; Pajin, B.; Petrović, J.; Kravić, S.; Lončarević, I. Solid Fat Content, Pre-Crystallization Conditions, and Sensory Quality of Chocolate with Addition of Cocoa Butter Analogues. Int. J. Food Prop. 2016, 19, 1029–1043. [Google Scholar] [CrossRef]
- Jahurul, M.H.A.; Soon, Y.; Shaarani Sharifudin, M.; Hasmadi, M.; Mansoor, A.H.; Zaidul, I.S.M.; Lee, J.S.; Ali, M.E.; Ghafoor, K.; Zzaman, W.; et al. Bambangan (Mangifera pajang) kernel fat: A potential new source of cocoa butter alternative. Int. J. Food Sci. Technol. 2018, 53, 1689–1697. [Google Scholar] [CrossRef]
- da Silva Lannes, S.C.; Ignácio, R.M. Structuring fat foods. In Food Industry; Muzzalupo, I., Ed.; IntechOpen: London, UK, 2013; pp. 65–91. [Google Scholar] [CrossRef][Green Version]
- Silva, T.J.; Barrera-Arellano, D.; Ribeiro, A.P.B. Margarines: Historical approach, technological aspects, nutritional profile, and global trends. Food Res. Int. 2021, 147, 110486. [Google Scholar] [CrossRef] [PubMed]
- Bhandari, S.D.; Delmonte, P.; Honigfort, M.; Yan, W.; Dionisi, F.; Fleith, M.; Iassonova, D.; Bergeson, L.L. Regulatory Changes Affecting the Production and Use of Fats and Oils: Focus on Partially Hydrogenated Oils. J. Am. Oil Chem. Soc. 2020, 97, 797–815. [Google Scholar] [CrossRef]
- Latip, R.A.; Lee, Y.-Y.; Tang, T.-K.; Phuah, E.-T.; Tan, C.-P.; Lai, O.-M. Physicochemical properties and crystallisation behaviour of bakery shortening produced from stearin fraction of palm-based diacyglycerol blended with various vegetable oils. Food Chem. 2013, 141, 3938–3946. [Google Scholar] [CrossRef] [PubMed]
- Hondoh, H.; Ueno, S. Polymorphism of edible fat crystals. Prog. Cryst. Growth Charact. Mater. 2016, 62, 398–399. [Google Scholar] [CrossRef]
- Paluri, S.; Heldman, D.R.; Maleky, F. Effects of Structural Attributes and Phase Ratio on Moisture Diffusion in Crystallized Lipids. Cryst. Growth Des. 2017, 17, 4661–4669. [Google Scholar] [CrossRef]
- Chawla, P.; Deman, J.; Smith, A. Crystal morphology of shortenings and margarines. Food Struct. 1990, 9, 2. [Google Scholar]
- Watanabe, T. The impact of grain boundary character distribution on fracture in polycrystals. Mater. Sci. Eng. A 1994, 176, 39–49. [Google Scholar] [CrossRef]
- Adhikari, B.; Howes, T.; Bhandari, B.R.; Truong, V. Stickiness in Foods: A Review of Mechanisms and Test Methods. Int. J. Food Prop. 2001, 4, 1–33. [Google Scholar] [CrossRef]
- Macias-Rodriguez, B. Rheology-Based Techniques. In Advances in Oleogel Development, Characterization, and Nutritional Aspects; Springer: Berlin/Heidelberg, Germany, 2024; pp. 471–496. [Google Scholar]
- Deman, J.; Beers, A. Fat crystal networks: Structure and rheological properties. J. Texture Stud. 1987, 18, 303–318. [Google Scholar] [CrossRef]
- Glibowski, P.; Zarzycki, P.; Krzepkowska, M. The Rheological and Instrumental Textural Properties of Selected Table Fats. Int. J. Food Prop. 2008, 11, 678–686. [Google Scholar] [CrossRef]
- DeMan, L.; DeMan, J.; Blackman, B. Polymorphic behavior of some fully hydrogenated oils and their mixtures with liquid oil. J. Am. Oil Chem. Soc. 1989, 66, 1777–1780. [Google Scholar] [CrossRef]
- Guillemenet, J.; Bistac, S.; Schultz, J. Relationship between polymer viscoelastic properties and adhesive behaviour. Int. J. Adhes. Adhes. 2002, 22, 1–5. [Google Scholar] [CrossRef]
- Hoppu, P.; Grönroos, A.; Schantz, S.; Juppo, A.M. New processing technique for viscous amorphous materials and characterisation of their stickiness and deformability. Eur. J. Pharm. Biopharm. 2009, 72, 183–188. [Google Scholar] [CrossRef] [PubMed]












| Mixture | Molar Ratio | Mass AVK (g) | Mass AVP (g) | Average Molecular Mass (g) | |
|---|---|---|---|---|---|
| AVK | 1.0:0 | 50 | 0 | 687.27 | |
| AVK0.8AVP0.2 | 0.8:0.2 | 38 | 12 | 723.41 | |
| AVK0.6AVP0.4 | 0.6:0.4 | 26 | 24 | 759.56 | |
| AVK0.5AVP0.5 | 0.5:0.5 | 22 | 28 | 777.63 | |
| AVK0.4AVP0.6 | 0.4:0.6 | 18 | 32 | 795.70 | |
| AVP | 0:1.0 | 0 | 50 | 867.99 |
| Compounds | Chemical Formula | Theoretical m/z | Experimental m/z | Adduct | Relative Intensity (%) | Concentration (mg/L) | Literature Values (mg/L) | Refs |
|---|---|---|---|---|---|---|---|---|
| Carotenoids | ||||||||
| All-trans-β-Carotene All-trans-α-carotene 13-cis-β-carotene 15-cis-β-carotene | C40H56 | 536.4382 | 536.4379 | [M] | 84.32 | 1928.65 | 1296 ± 157.4 | [14] |
| All-trans-lutein Zeinoxanthin Cis-lutein | C40H56O2 | 568.4280 | 568.5626 | [M] | 4.17 | 95.38 | 0.79 * 1.02 * 0.04 * | [47] |
| All-trans-β-cryptoxanthin All-trans-α-cryptoxanthin Zeaxanthin | C40H56O | 552.4331 | 552.4586 | [M] | 1.31 | 29.60 | 1.64 * 1.30 * 0.16 * | [47] |
| Estimated Total Carotenoid Content (mg/L) | 2054.0 ± 91.0 | 778–2081 | [14,41,48] | |||||
| Polyphenols | ||||||||
| Chlorogenic acid | C16H18O9 | 354.0951 | 354.2691 | [M + Na]+ | 1.84 | 0.22 | 8.30 ± 0.2 * | [15] |
| Caffeic acid | C9H8O4 | 180.0422 | 203.0990 | [M + Na]+ | 3.19 | 0.38 | 0.07 ± 0.02 * | |
| Rutin (quercetin glucoside) | C27H30O16 | 610.1534 | 633.5074 | [M + Na]+ | 2.55 | 0.30 | 7.34 ± 0.1 * | |
| Catechin | C15H14O6 | 290.0790 | 313.2376 | [M + Na]+ | 0.82 | 0.10 | 27.08 ± 0.04 * | |
| Myricetin | C21H20O12 | 318.0376 | 341.1901 | [M + Na]+ | 0.41 | 0.05 | 2.01 ± 0.05 * | |
| Kaempferol | C15H10O6 | 286.0477 | 309.0997 | [M + Na]+ | 0.33 | 0.04 | <0.07 | |
| Total Phenolic Content (mg/L) | 1.1 ± 0.1 | 117.42 ± 1.67 * | ||||||
| Phytosterols | ||||||||
| β-Sitosterol | C29H50O | 414.3862 | 437.2012 | [M + Na]+ | 0.28 | - | ||
| Cycloartenol Cycloeucalenol | C30H50O | 426.3862 | 449.3476 | [M + Na]+ | 0.55 | - | ||
| Arundoin 24-methylenecycloartanol | C31H52O | 440.4018 | 463.0541 | [M + Na]+ | 0.31 | - | ||
| Liquidus | Region | (C) | (K) | (kJ/mol) | (kJ/mol) | |
|---|---|---|---|---|---|---|
| Cooling | 14.0 | 287.2 ± 0.5 | 76 ± 2 | −5 | 1.13 | |
| Heating | 33.5 | 306.7 ± 0.5 | 83 ± 3 | −1.5 | 0.19 |
| Spreadability | Hardness | Firmness | Stickiness | Work of Adhesion | SFC | Melting Point | Crystal Point | |||||||||
|---|---|---|---|---|---|---|---|---|---|---|---|---|---|---|---|---|
| R | p< | R | p< | R | p< | R | p< | R | p< | R | p< | R | p< | R | p< | |
| Crystal size | 0.864 | 0.06 | 0.890 | 0.04 | 0.879 | 0.05 | 0.462 | 0.43 | 0.703 | 0.19 | 0.991 | 0.001 | 0.997 | 0.0001 | 0.996 | 0.0002 |
| Spreadability | 0.9998 | 0.0001 | 0.999 | 0.00002 | 0.815 | 0.09 | 0.270 | 0.66 | 0.884 | 0.05 | 0.854 | 0.06 | 0.820 | 0.09 | ||
| Hardness | 0.999 | 7 × 10−5 | 0.779 | 0.12 | 0.326 | 0.59 | 0.910 | 0.03 | 0.883 | 0.05 | 0.850 | 0.07 | ||||
| Firmness | 0.793 | 0.11 | 0.304 | 0.62 | 0.900 | 0.04 | 0.871 | 0.05 | 0.838 | 0.08 | ||||||
| Stickiness | 0.304 | 0.62 | 0.465 | 0.43 | 0.427 | 0.47 | 0.384 | 0.52 | ||||||||
| Work of adhesion | 0.688 | 0.20 | 0.728 | 0.16 | 0.762 | 0.13 | ||||||||||
| SFC | 0.996 | 0.0003 | 0.986 | 0.002 | ||||||||||||
Disclaimer/Publisher’s Note: The statements, opinions and data contained in all publications are solely those of the individual author(s) and contributor(s) and not of MDPI and/or the editor(s). MDPI and/or the editor(s) disclaim responsibility for any injury to people or property resulting from any ideas, methods, instructions or products referred to in the content. |
© 2024 by the authors. Licensee MDPI, Basel, Switzerland. This article is an open access article distributed under the terms and conditions of the Creative Commons Attribution (CC BY) license (https://creativecommons.org/licenses/by/4.0/).
Share and Cite
Bouzidi, L.; Deonarine, S.; Soodoo, N.; Emery, R.J.N.; Martic, S.; Narine, S.S. Extending the Physical Functionality of Bioactive Blends of Astrocaryum Pulp and Kernel Oils from Guyana. Cosmetics 2024, 11, 107. https://doi.org/10.3390/cosmetics11040107
Bouzidi L, Deonarine S, Soodoo N, Emery RJN, Martic S, Narine SS. Extending the Physical Functionality of Bioactive Blends of Astrocaryum Pulp and Kernel Oils from Guyana. Cosmetics. 2024; 11(4):107. https://doi.org/10.3390/cosmetics11040107
Chicago/Turabian StyleBouzidi, Laziz, Shaveshwar Deonarine, Navindra Soodoo, R. J. Neil Emery, Sanela Martic, and Suresh S. Narine. 2024. "Extending the Physical Functionality of Bioactive Blends of Astrocaryum Pulp and Kernel Oils from Guyana" Cosmetics 11, no. 4: 107. https://doi.org/10.3390/cosmetics11040107
APA StyleBouzidi, L., Deonarine, S., Soodoo, N., Emery, R. J. N., Martic, S., & Narine, S. S. (2024). Extending the Physical Functionality of Bioactive Blends of Astrocaryum Pulp and Kernel Oils from Guyana. Cosmetics, 11(4), 107. https://doi.org/10.3390/cosmetics11040107

