The Effects of Dietary Supplementation with 25-Hydroxyvitamin D3 on the Antioxidant Capacity and Inflammatory Responses of Pelteobagrus fulvidraco
Simple Summary
Abstract
1. Introduction
2. Materials and Methods
2.1. Sample Collection
2.2. Detection of Intestinal Antioxidase Activities
2.3. Detection of Intestinal Inflammatory Cytokine Genes
2.4. Metabolites Extraction
2.5. UHPLC-MS/MS Analysis
2.6. Data Processing and Metabolite Identification
2.7. Data Analysis
2.8. Transcriptome Sequencing and Quality Control
2.9. Reads Mapping and Quantification of Gene Expression Level
2.10. Differential Expression Analysis and Functional Enrichment Analysis
3. Results
3.1. Intestinal Antioxidant Enzyme Activities
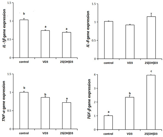
3.2. Intestinal Inflammatory Factors
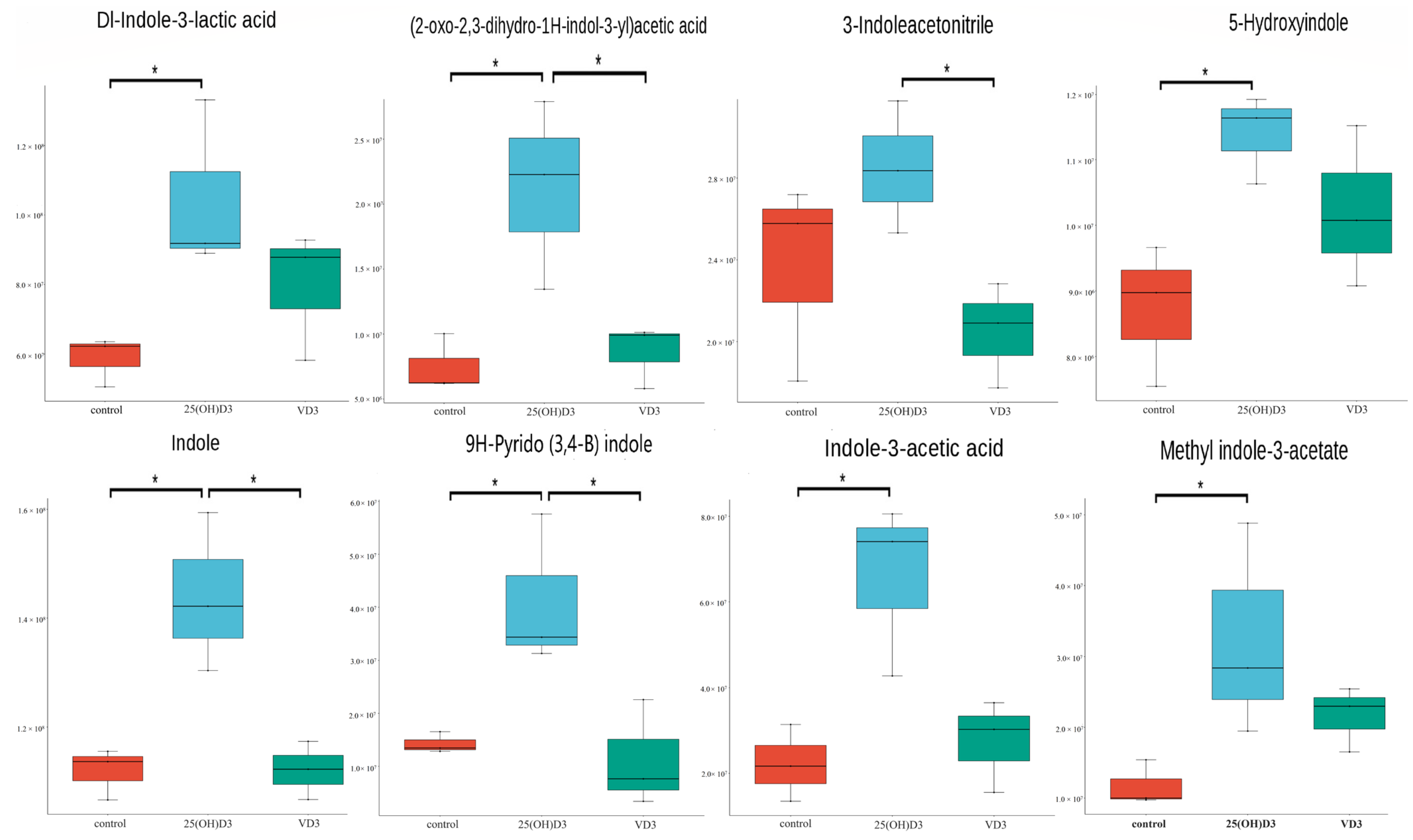
3.3. Metabolites Obtained Based on LC-MS Detection
3.4. Identification and Analysis of Differential Metabolites
3.5. KEGG Enrichment Analyses of Differential Metabolites
3.6. Identification and Analysis of Differential Transcripts
3.7. Functional Enrichment Analyses of Differentially Transcripts
4. Discussion
4.1. The Addition of 25(OH)D3 Can Promote the Antioxidant Defense of Yellow Catfish
4.2. The Addition of 25(OH)D3 Can Affect the Inflammatory Response of Yellow Catfish
4.3. The Addition of 25(OH)D3 Can Enhance the Immune Function of Yellow Catfish
4.4. 25(OH)D3 May Be More Effective than VD3 in Mobilizing Lipid Metabolism of Yellow Catfish
5. Conclusions
Supplementary Materials
Author Contributions
Funding
Institutional Review Board Statement
Informed Consent Statement
Data Availability Statement
Conflicts of Interest
References
- Norman, A.W.; Roth, J.; Orci, L. The vitamin D endocrine system: Steroid metabolism, hormone receptors, and biological response (calcium binding proteins). Endocr. Rev. 1982, 3, 331–366. [Google Scholar] [CrossRef] [PubMed]
- Takeuchi, A.; Okano, T.; Kobayashi, T. The existence of 25-hydroxyvitamin D3-1 alpha-hydroxylase in the liver of carp and bastard halibut. Life Sci. 1991, 48, 275–282. [Google Scholar] [CrossRef] [PubMed]
- Antony Jesu Prabhu, P.; Lock, E.J.; Hemre, G.I.; Hamre, K.; Espe, M.; Olsvik, P.A.; Silva, J.; Hansen, A.C.; Johansen, J.; Sissener, N.H.; et al. Recommendations for dietary level of micro-minerals and vitamin D3 to Atlantic salmon (Salmo salar) parr and post-smolt when fed low fish meal diets. Peer J. 2019, 7, e6996. [Google Scholar] [CrossRef] [PubMed]
- Atencio, A.; Pesti, G.M.; Edwards, H.M., Jr. Twenty-five hydroxycholecalciferol as a cholecalciferol substitute in broiler breeder hen diets and its effect on the performance and general health of the progeny. Poult. Sci. 2005, 84, 1277–1285. [Google Scholar] [CrossRef]
- Zhang, L.; Piao, X. Use of 25-hydroxyvitamin D3 in diets for sows: A review. Anim. Nutr. 2021, 7, 728–736. [Google Scholar] [CrossRef]
- Rider, S.; Chenal, E.; Guy, B.; Cabo-Valcarce, P.; Chatelle, C.; Schattner, A.; Modugno, C.; Etheve, S.; Santigosa, E. Limited in vivo conversion of dietary D3 to 25-OH-D3 in rainbow trout and undetectable endogenous photo-production of D3 in indoor-raised fish. Aquaculture 2005, 607, 742645. [Google Scholar] [CrossRef]
- Rider, S.; Verlhac-Trichet, V.; Constant, D.; Chenal, E.; Etheve, S.; Riond, B.; Schmidt-Posthaus, H.; Schoop, R. Calcifediol is a safe and effective metabolite for raising vitamin D status and improving growth and feed conversion in rainbow trout. Aquaculture 2023, 568, 739285. [Google Scholar] [CrossRef]
- Rider, S.; Yamashita, E.; Chenal, E.; Cabo-Valcarce, P.; Kuschel, F.; Orellana, P.; Ruiz, J.; Hernández, A.; Dantagnan, P. Dietary calcifediol reduces mesenteric adiposity to the benefit of carcass growth independently of circulating vitamin D hormone in juvenile Atlantic salmon. Aquaculture 2024, 585, 740687. [Google Scholar] [CrossRef]
- Quesada-Gomez, J.M.; Bouillon, R. Is calcifediol better than cholecalciferol for vitamin D supplementation? Osteoporos. Int. 2018, 29, 1697–1711. [Google Scholar] [CrossRef]
- Zhou, Q.; Jin, M.; Elmada, Z.C.; Liang, X.; Mai, K. Growth, immune response and resistance to Aeromonas hydrophila of juvenile yellow catfish, Pelteobagrus fulvidraco fed diets with different arginine levels. Aquaculture 2015, 437, 84–91. [Google Scholar] [CrossRef]
- Lu, Y.; Liang, X.P.; Jin, M.; Sun, P.; Ma, H.N.; Yuan, Y.; Zhou, Q.C. Effects of dietary vitamin E on the growth performance, antioxidant status and innate immune response in juvenile yellow catfish (Pelteobagrus fulvidraco). Aquaculture 2016, 464, 609–617. [Google Scholar] [CrossRef]
- Zhu, Y.; Ding, Q.; Chan, J.; Chen, P.; Wang, C. The effects of concurrent supplementation of dietary phytase, citric acid and vitamin D3 on growth and mineral utilization in juvenile yellow catfish Pelteobagrus fulvidraco. Aquaculture 2015, 436, 143–150. [Google Scholar] [CrossRef]
- Shen, G.P.; Ding, Z.N.; Dai, T.; Feng, J.H.; Dong, J.Y.; Xia, F.; Xu, J.J.; Ye, J.D. Effect of dietary taurine supplementation on metabolome variation in plasma of Nile tilapia. Animal 2021, 15, 100167. [Google Scholar] [CrossRef] [PubMed]
- Zhong, Z.M.; Zhang, J.; Tang, B.G.; Yu, F.F.; Lu, Y.S.; Hou, G.; Chen, J.Y.; Du, Z.X. Transcriptome and metabolome analyses of the immune response to light stress in the hybrid grouper (Epinephelus lanceolatus ♂ × Epinephelus fuscoguttatus ♀). Animal 2022, 16, 100448. [Google Scholar] [CrossRef]
- Wang, Y.; Liu, J.; Xiao, H.; Sun, H.; Hu, H.; Ma, X.; Zhang, A.; Zhou, H. Dietary intakes of vitamin D promote growth performance and disease resistance in juvenile grass carp (Ctenopharyngodon idella). Fish. Physiol. Biochem. 2024, 50, 1189–1203. [Google Scholar] [CrossRef]
- Xie, S.; Tian, L.; Liu, Y.; Zhang, H.; Niu, J.; Liang, J.; Fang, W.; Su, J. Vitamin D3 requirement of grouper (Epinephelus coioides) in practical diet. South. Fish. Sci. 2019, 15, 61–67. [Google Scholar]
- Zhu, G.; Lu, K.; Lai, Y.; Wang, L.; Wang, F.; Li, N.; Peng, Y.; Gong, H. Effects of dietary 25-hydroxyvitamin D3 on growth, calcium–phosphorus metabolism, lipid metabolism and immunity of Litopenaeus vannamei at low salinity. Aquac. Rep. 2024, 35, 101965. [Google Scholar] [CrossRef]
- Shi, Q.; Hu, P.; Wen, Z.; Wang, J.; Zhou, Y. Ameliorative effects of Sargassum kjellmanianum on hexavalent chromium-induced growth inhibition, immune suppression, and oxidative stress in yellow catfish. J. Appl. Phycol. 2024, 36, 2225–2236. [Google Scholar] [CrossRef]
- Livak, K.J.; Schmittgen, T.D. Analysis of relative gene expression data using real-time quantitative PCR and the 2−ΔΔCT method. Methods 2001, 2, 402–408. [Google Scholar] [CrossRef]
- Want, E.J.; Masson, P.; Michopoulos, F.; Wilson, I.D.; Theodoridis, G.; Plumb, R.S.; Nicholson, J.K. Global metabolic profiling of animal and human tissues via UPLC-MS. Nat. Protoc. 2013, 8, 17–32. [Google Scholar] [CrossRef]
- Dai, W.; Xie, D.; Lu, M.; Li, P.; Lv, H.; Yang, C.; Peng, Q.; Zhu, Y.; Guo, L.; Zhang, Y.; et al. Characterization of white tea metabolome: Comparison against green and black tea by a nontargeted metabolomics approach. Food Res. Int. 2017, 96, 40–45. [Google Scholar] [CrossRef] [PubMed]
- Heischmann, S.; Quinn, K.; Cruickshank-Quinn, C.; Liang, L.P.; Reisdorph, R.; Reisdorph, N.; Patel, M. Exploratory Metabolomics Profiling in the Kainic Acid Rat Model Reveals Depletion of 25-Hydroxyvitamin D3 during Epileptogenesis. Sci. Rep. 2016, 6, 31424. [Google Scholar] [CrossRef] [PubMed]
- Haspel, J.A.; Chettimada, S.; Shaik, R.S.; Chu, J.H.; Raby, B.A.; Cernadas, M.; Carey, V.; Process, V.; Hunninghake, G.M.; Ifedigbo, E.; et al. Circadian rhythm reprogramming during lung inflammation. Nat. Commun. 2014, 5, 4753. [Google Scholar] [CrossRef]
- Sreekumar, A.; Poisson, L.M.; Rajendiran, T.M.; Khan, A.P.; Cao, Q.; Yu, J.; Laxman, B.; Mehra, R.; Lonigro, R.J.; Li, Y.; et al. Metabolomic profiles delineate potential role for sarcosine in prostate cancer progression. Nature 2009, 457, 910–914. [Google Scholar] [CrossRef]
- Parkhomchuk, D.; Borodina, T.; Amstislavskiy, V.; Banaru, M.; Hallen, L.; Krobitsch, S.; Lehrach, H.; Soldatov, A. Transcriptome analysis by strand-specific sequencing of complementary DNA. Nucleic Acids Res. 2009, 37, e123. [Google Scholar] [CrossRef]
- Mortazavi, A.; Williams, B.A.; McCue, K.; Schaeffer, L.; Wold, B. Mapping and quantifying mammalian transcriptomes by RNA-Seq. Nat. Methods 2008, 5, 621–628. [Google Scholar] [CrossRef]
- Liao, Y.; Smyth, G.K.; Shi, W. featureCounts: An efficient general purpose program for assigning sequence reads to genomic features. Bioinformatics 2014, 30, 923–930. [Google Scholar] [CrossRef]
- Bray, N.L.; Pimentel, H.; Melsted, P.; Pachter, L. Near-optimal probabilistic RNA-seq quantification. Nat. Biotechnol. 2016, 34, 525–527. [Google Scholar] [CrossRef]
- Love, M.I.; Huber, W.; Anders, S. Moderated estimation of fold change and dispersion for RNA-seq data with DESeq2. Genome Biol. 2014, 15, 550. [Google Scholar] [CrossRef]
- Young, M.D.; Wakefield, M.J.; Smyth, G.K.; Oshlack, A. Gene ontology analysis for RNA-seq: Accounting for selection bias. Genome Biol. 2010, 11, R14. [Google Scholar] [CrossRef]
- Zhang, S.S.; Tan, Q.W.; Guan, L.P. Antioxidant, Anti-inflammatory, Antibacterial, and Analgesic Activities and Mechanisms of Quinolines, Indoles and Related Derivatives. Mini-Rev. Med. Chem. 2021, 21, 2261–2275. [Google Scholar] [CrossRef] [PubMed]
- GO:0055114. Available online: https://amigo.geneontology.org/amigo/term/GO:0055114 (accessed on 26 July 2025).
- GO:0016491. Available online: https://amigo.geneontology.org/amigo/term/GO:0016491 (accessed on 26 July 2025).
- GO:0016627. Available online: https://amigo.geneontology.org/amigo/term/GO:0016627 (accessed on 26 July 2025).
- GO:0016616. Available online: https://amigo.geneontology.org/amigo/term/GO:0016616 (accessed on 26 July 2025).
- GO:0016614. Available online: https://amigo.geneontology.org/amigo/term/GO:0016614 (accessed on 26 July 2025).
- GO:0006082. Available online: https://amigo.geneontology.org/amigo/term/GO:0006082 (accessed on 26 July 2025).
- Zhang, T.; Yao, C.; Hu, Z.; Li, D.; Tang, R. Protective Effect of Selenium on the Oxidative Damage of Kidney Cells Induced by Sodium Nitrite in Grass Carp (Ctenopharyngodon idellus). Biol. Trace Elem. Res. 2022, 200, 3876–3884. [Google Scholar] [CrossRef] [PubMed]
- Wang, Y.; Wu, Y.; Wang, Y.; Xu, H.; Mei, X.; Yu, D.; Wang, Y.; Li, W. Antioxidant Properties of Probiotic Bacteria. Nutrients 2017, 9, 521. [Google Scholar] [CrossRef] [PubMed]
- Ighodaro, O.M.; Akinloye, O.A. First line defence antioxidants-superoxide dismutase (SOD), catalase (CAT) and glutathione peroxidase (GPX): Their fundamental role in the entire antioxidant defence grid. Alex. J. Med. 2018, 54, 287–293. [Google Scholar] [CrossRef]
- Tan, X.; Lin, H.; Huang, Z.; Zhou, C.; Wang, A.; Qi, C.; Zhao, S. Effects of dietary leucine on growth performance, feed utilization, non-specific immune responses and gut morphology of juvenile golden pompano Trachinotus ovatus. Aquaculture 2016, 465, 100–107. [Google Scholar] [CrossRef]
- Abhijith, B.D.; Ramesh, M.; Poopal, R.K. Responses of metabolic and antioxidant enzymatic activities in gill, liver and plasma of Catla catla during methyl parathion exposure. Basic. Appl. Zool. 2016, 77, 31–40. [Google Scholar] [CrossRef]
- Wu, C.; Lu, B.; Wang, Y.; Jin, C.; Zhang, Y.; Ye, J. Effects of dietary vitamin D3 on growth performance, antioxidant capacities and innate immune responses in juvenile black carp Mylopharyngodon piceus. Fish Physiol. Biochem. 2020, 46, 2243–2256. [Google Scholar] [CrossRef]
- Nóbrega-Pereira, S.; Fernandez-Marcos, P.J.; Brioche, T.; Gomez-Cabrera, M.C.; Salvador-Pascual, A.; Flores, J.M.; Viña, J.; Serrano, M. G6PD protects from oxidative damage and improves healthspan in mice. Nat. Commun. 2016, 7, 10894. [Google Scholar] [CrossRef]
- Hanschmann, E.M.; Godoy, J.R.; Berndt, C.; Hudemann, C.; Lillig, C.H. Thioredoxins, glutaredoxins, and peroxiredoxins–molecular mechanisms and health significance: From cofactors to antioxidants to redox signaling. Antioxid. Redox Signal. 2013, 19, 1539–1605. [Google Scholar] [CrossRef]
- Sadowska-Bartosz, I.; Bartosz, G. Peroxiredoxin 2: An Important Element of the Antioxidant Defense of the Erythrocyte. Antioxidants 2023, 12, 1012. [Google Scholar] [CrossRef]
- Cano, A.; Alcaraz, O.; Arnao, M.B. Free radical-scavenging activity of indolic compounds in aqueous and ethanolic media. Anal. Bioanal. Chem. 2003, 376, 33–37. [Google Scholar] [CrossRef] [PubMed]
- Talaz, O.; Gülçin, I.; Göksu, S.; Saracoglu, N. Antioxidant activity of 5,10-dihydroindeno[1,2-b]indoles containing substituents on dihydroindeno part. Bioorg. Med. Chem. 2009, 17, 6583–6589. [Google Scholar] [CrossRef] [PubMed]
- Tintelnot, J.; Xu, Y.; Lesker, T.R.; Schönlein, M.; Konczalla, L.; Giannou, A.D.; Pelczar, P.; Kylies, D.; Puelles, V.G.; Bielecka, A.A.; et al. Microbiota-derived 3-IAA influences chemotherapy efficacy in pancreatic cancer. Nature 2023, 615, 168–174. [Google Scholar] [CrossRef] [PubMed]
- Qudus, M.S.; Tian, M.; Sirajuddin, S.; Liu, S.; Afaq, U.; Wali, M.; Liu, J.; Pan, P.; Luo, Z.; Zhang, Q.; et al. The roles of critical pro-inflammatory cytokines in the drive of cytokine storm during SARS-CoV-2 infection. J. Med. Virol. 2023, 95, e28751. [Google Scholar] [CrossRef]
- Aboelez, M.O.; Ezelarab, H.A.A.; Alotaibi, G.; Abouzed, D.E.E. Inflammatory setting, therapeutic strategies targeting some pro-inflammatory cytokines and pathways in mitigating ischemia/reperfusion-induced hepatic injury: A comprehensive review. Naunyn-Schmiedeberg’s Arch. Pharmacol. 2024, 397, 6299–6315. [Google Scholar] [CrossRef]
- Cheng, K.; Tang, Q.; Huang, Y.; Liu, X.; Karrow, N.A.; Wang, C. Effect of vitamin D3 on the immunomodulation of head kidney after Edwardsiella ictaluri challenge in yellow catfish (Pelteobagrus fulvidraco). Fish Shellfish Immunol. 2020, 99, 353–361. [Google Scholar] [CrossRef]
- Hsieh, C.C.; Yu, S.H.; Kuo, H.C.; Cheng, K.W.; Hsu, C.C.; Lin, Y.P.; Khumsupan, D.; Lin, S.P.; Angkawijaya, A.E.; Cheng, K.C. Alleviation of PM2.5-induced alveolar macrophage inflammation using extract of fermented Chenopodium formosanum Koidz sprouts via regulation of NF-κB pathway. J. Ethnopharmacol. 2024, 318, 116980. [Google Scholar] [CrossRef]
- Arabiyat, S.; Alzoubi, A.; Al-Daghistani, H.; Al-Hiari, Y.; Kasabri, V.; Alkhateeb, R. Evaluation of Quinoline-Related Carboxylic Acid Derivatives as Prospective Differentially Antiproliferative, Antioxidative, and Anti-Inflammatory Agents. Chem. Biol. Drug Des. 2024, 104, e14615. [Google Scholar] [CrossRef]
- Khukhodziinai, J.S.; Das, P.K.; Mukherjee, J.; Banerjee, D.; Ghosh, P.R.; Das, A.K.; Samanta, I.; Jas, R.; Mondal, S.; Patra, A.K. Effect of Dietary Benzoic Acid and Oregano Essential Oil as a Substitute for an Anti-Coccidial Agent on Growth Performance and Physiological and Immunological Responses in Broiler Chickens Challenged with Eimeria Species. Animals 2024, 14, 3008. [Google Scholar] [CrossRef]
- de Almeida, L.G.N.; Young, D.; Chow, L.; Nicholas, J.; Lee, A.; Poon, M.C.; Dufour, A.; Agbani, E.O. Proteomics and Metabolomics Profiling of Platelets and Plasma Mediators of Thrombo-Inflammation in Gestational Hypertension and Preeclampsia. Cells 2022, 11, 1256. [Google Scholar] [CrossRef]
- Kang, X.; Bai, L.; Qi, X.; Wang, J. Screening and identification of key genes between liver hepatocellular carcinoma (LIHC) and cholangiocarcinoma (CHOL) by bioinformatic analysis. Medicine 2020, 99, e23563. [Google Scholar] [CrossRef]
- Lee, E.Y.; Kim, S.M.; Hwang, J.H.; Jang, S.Y.; Park, S.; Choi, S.; Lee, G.S.; Hwang, J.; Moon, J.H.; Fox, P.L.; et al. Glutamyl-prolyl-tRNA synthetase 1 coordinates early endosomal anti-inflammatory AKT signaling. Nat. Commun. 2022, 13, 6455. [Google Scholar] [CrossRef]
- Derebasi, B.N.; Davran Bulut, S.; Aksoy Erden, B.; Sadeghian, N.; Taslimi, P.; Celebioglu, H.U. Effects of p-coumaric acid on probiotic properties of Lactobacillus acidophilus LA-5 and Lacticaseibacillus rhamnosus GG. Arch. Microbiol. 2024, 206, 223. [Google Scholar] [CrossRef]
- Kaushik, N.K.; Kaushik, N.; Attri, P.; Kumar, N.; Kim, C.H.; Verma, A.K.; Choi, E.H. Biomedical importance of indoles. Molecules 2013, 18, 6620–6662. [Google Scholar] [CrossRef]
- Hemalatha, K.; Madhumitha, G.; Roopan, S.M. Indole as a core anti-inflammatory agent-a mini review. Chem. Sci. Rev. Lett. 2013, 2, 287–292. [Google Scholar]
- Ferreira, N.S.; Tostes, R.C.; Paradis, P.; Schiffrin, E.L. Aldosterone, Inflammation, Immune System, and Hypertension. Am. J. Hypertens. 2021, 34, 15–27. [Google Scholar] [CrossRef] [PubMed]
- Moyer, B.J.; Rojas, I.Y.; Kerley-Hamilton, J.S.; Hazlett, H.F.; Nemani, K.V.; Trask, H.W.; West, R.J.; Lupien, L.E.; Collins, A.J.; Ringelberg, C.S.; et al. Model for AHR activation by kynurenine via oxidized-LDL, TLR2/4, TGFβ, and IDO1. Toxicol. Appl. Pharmacol. 2016, 300, 13–24. [Google Scholar] [CrossRef] [PubMed]
- Sun, Z.J.; Li, Z.X. The terpenoid backbone biosynthesis pathway directly affects the biosynthesis of alarm pheromone in the aphid. Insect Mol. Biol. 2018, 27, 824–834. [Google Scholar] [CrossRef]
- Abdallah, I.I.; Quax, W.J. A Glimpse into the Biosynthesis of Terpenoids. International Conference on Natural Resources and Life Sciences (NRLS-2016). KnE Life Sci. 2017, 3, 81–98. [Google Scholar] [CrossRef]
- Wang, G.; Tang, W.; Bidigare, R.R. Terpenoids as therapeutic drugs and pharmaceutical agents. In Natural Products: Drug Discovery and Therapeutic Medicine; Humana Press: Totowa, NJ, USA, 2005; pp. 197–227. [Google Scholar]
- Thoppil, R.J.; Bishayee, A. Terpenoids as potential chemopreventive and therapeutic agents in liver cancer. World J. Hepatol. 2011, 3, 228–249. [Google Scholar] [CrossRef]
- Guan, Z.; Xue, D.; Abdallah, I.I.; Dijkshoorn, L.; Setroikromo, R.; Lv, G.; Quax, W.J. Metabolic engineering of Bacillus subtilis for terpenoid production. Appl. Microbiol. Biotechnol. 2015, 99, 9395–9406. [Google Scholar] [CrossRef]
- Ajikumar, P.K.; Tyo, K.; Carlsen, S.; Mucha, O.; Phon, T.H.; Stephanopoulos, G. Terpenoids: Opportunities for biosynthesis of natural product drugs using engineered microorganisms. Mol. Pharm. 2008, 5, 167–190. [Google Scholar] [CrossRef] [PubMed]
- Larrick, B.M.; Kim, K.H.; Donkin, S.S.; Teegarden, D. 1,25-Dihydroxyvitamin D regulates lipid metabolism and glucose utilization in differentiated 3T3-L1 adipocytes. Nutr. Res. 2018, 58, 72–83. [Google Scholar] [CrossRef] [PubMed]
- Ge, H.; Sun, H.; Wang, T.; Liu, X.; Li, X.; Yu, F.; Han, H.; Wang, J.; Li, W. The association between serum 25-hydroxyvitamin D3 concentration and serum lipids in the rural population of China. Lipids Health Dis. 2017, 16, 215. [Google Scholar] [CrossRef] [PubMed]
- Mak, R.H. 1,25-Dihydroxyvitamin D3 corrects insulin and lipid abnormalities in uremia. Kidney Int. 1998, 53, 1353–1357. [Google Scholar] [CrossRef][Green Version]
- Xiang, W.; Cheng, S.; Zhou, Y.; Ma, L. Effects of 1,25(OH)2D3 on lipid droplet growth in adipocytes. Biofactors 2020, 46, 943–954. [Google Scholar] [CrossRef]
- Wang, W.L.; Welsh, J.; Tenniswood, M. 1,25-Dihydroxyvitamin D3 modulates lipid metabolism in prostate cancer cells through miRNA mediated regulation of PPARA. J. Steroid Biochem. Mol. Biol. 2013, 136, 247–251. [Google Scholar] [CrossRef]









| Enzyme | Control | VD3 | 25(OH)D3 |
|---|---|---|---|
| SOD U/mgprot | 52.72 ± 4.06 a | 58.15 ± 3.63 b | 60.24 ± 4.53 b |
| T-AOC U/mgprot | 6.40 ± 0.53 a | 8.12 ± 0.67 b | 12.24 ± 1.34 c |
| CAT U/mgprot | 34.51 ± 5.49 a | 42.26 ± 1.85 b | 46.12 ± 2.74 c |
| MDA U/mgprot | 11.64 ± 0.67 b | 8.15 ± 0.46 a | 9.98 ± 0.72 ba |
| Sample | RawBase(G) | CleanBase(G) | Effective (%) | Error (%) | Q20 1 (%) | Q30 2 (%) | GC (%) |
|---|---|---|---|---|---|---|---|
| control_1 | 6.2 | 5.97 | 90.37 | 0.03 | 97.77 | 93.75 | 45.66 |
| control_2 | 6.62 | 6.37 | 95.58 | 0.03 | 97.81 | 93.86 | 45.9 |
| control_3 | 6.57 | 6.31 | 95.05 | 0.03 | 97.9 | 94.08 | 45.69 |
| control_4 | 6.64 | 6.41 | 94.85 | 0.03 | 97.83 | 93.96 | 45.74 |
| control_5 | 6.15 | 5.92 | 94.73 | 0.03 | 97.95 | 94.14 | 45.3 |
| VD3_1 | 6.15 | 5.97 | 93.75 | 0.02 | 97.97 | 94.24 | 44.63 |
| VD3_2 | 6.38 | 6.22 | 94.57 | 0.02 | 97.99 | 94.22 | 45.64 |
| VD3_3 | 6.08 | 5.95 | 95.55 | 0.03 | 97.53 | 93.09 | 44.37 |
| VD3_4 | 6.7 | 6.49 | 95.04 | 0.03 | 97.9 | 94.16 | 44.82 |
| VD3_5 | 6.15 | 5.92 | 96.51 | 0.03 | 97.72 | 93.45 | 45.51 |
| 25(OH)D3_1 | 6.32 | 6.19 | 93.08 | 0.03 | 97.66 | 93.38 | 45.2 |
| 25(OH)D3_2 | 6.31 | 6.12 | 95.26 | 0.02 | 97.98 | 94.24 | 45.3 |
| 25(OH)D3_3 | 6.41 | 6.18 | 96.30 | 0.03 | 97.55 | 93.21 | 45.21 |
| 25(OH)D3_4 | 6.59 | 6.35 | 95.75 | 0.03 | 97.92 | 94.16 | 45.63 |
| 25(OH)D3_5 | 5.91 | 5.69 | 96.15 | 0.03 | 97.86 | 94.06 | 46.11 |
| Term | Name | 25(OH)D3 | VD3 | p Value | Gene_Description |
|---|---|---|---|---|---|
| antioxidant defense | mthfr | 232 | 102 | 2 × 10−6 | methylenetetrahydrofolate reductase (NAD(P)H) |
| sqlea | 326 | 61 | 0.002 | squalene epoxidase a | |
| nsdhl | 394 | 230 | 0.003 | NAD(P) dependent steroid dehydrogenase-like | |
| impdh2 | 489 | 328 | 0.004 | IMP (inosine 5′-monophosphate) dehydrogenase 2 | |
| gcdhb | 2176 | 1659 | 0.005 | glutaryl-CoA dehydrogenase b | |
| pdpr | 633 | 459 | 0.008 | pyruvate dehydrogenase phosphatase regulatory subunit | |
| acadvl | 540 | 400 | 0.009 | acyl-CoA dehydrogenase very long chain | |
| fasn | 488 | 274 | 0.012 | fatty acid synthase | |
| pgd | 275 | 203 | 0.017 | phosphogluconate dehydrogenase | |
| mpx | 32 | 10 | 0.018 | myeloid-specific peroxidase | |
| prdx2 | 267 | 196 | 0.022 | peroxiredoxin 2 | |
| pam | 1590 | 1307 | 0.026 | peptidylglycine alpha-amidating monooxygenase | |
| msmo1 | 314 | 112 | 0.026 | methylsterol monooxygenase 1 | |
| etfdh | 906 | 673 | 0.027 | electron transfer flavoprotein dehydrogenase | |
| acadm | 3743 | 2801 | 0.027 | acyl-CoA dehydrogenase medium chain | |
| ldhba | 17,420 | 14,144 | 0.033 | lactate dehydrogenase Ba | |
| acads | 900 | 753 | 0.033 | acyl-CoA dehydrogenase short chain | |
| aldh1l2 | 47 | 25 | 0.038 | aldehyde dehydrogenase 1 family | |
| hmgcra | 1952 | 746 | 0.040 | 3-hydroxy-3-methylglutaryl-CoA reductase a | |
| acox1 | 4158 | 3474 | 0.041 | acyl-CoA oxidase 1 | |
| gys2 | 4734 | 3929 | 0.042 | glycogen synthase 2 | |
| hadhab | 1336 | 1015 | 0.044 | hydroxyacyl-CoA dehydrogenase trifunctional multienzyme complex subunit alpha b | |
| nox5 | 28 | 16 | 0.045 | NADPH oxidase%2C EF-hand calcium binding domain 5 | |
| aldh4a1 | 1361 | 1107 | 0.047 | aldehyde dehydrogenase 4 family%2C member A1 | |
| terpenoid backbone biosynthesis | mvda | 69 | 24 | 2 × 10− | mevalonate (diphospho) decarboxylase a |
| fdps | 431 | 126 | 2 × 10−3 | farnesyl diphosphate synthase | |
| hmgcs1 | 1522 | 664 | 0.001 | 3-hydroxy-3-methylglutaryl-CoA synthase 1 (soluble) | |
| idi1 | 262 | 142 | 0.003 | isopentenyl-diphosphate delta isomerase 1 | |
| nus1 | 47 | 26 | 0.010 | NUS1 dehydrodolichyl diphosphate synthase subunit | |
| acat2 | 263 | 180 | 0.021 | acetyl-CoA acetyltransferase 2 | |
| hmgcra | 1952 | 746 | 0.040 | 3-hydroxy-3-methylglutaryl-CoA reductase a |
| Term | Name | 25(OH)D3 | Control | p Value | Gene_Description |
|---|---|---|---|---|---|
| organic acid metabolic | ehhadh | 5684 | 3761 | 0.0116 | enoyl-CoA%2C hydratase/3-hydroxyacyl CoA dehydrogenase |
| itih3 | 97,529 | 72,747 | 0.0161 | inter-alpha-trypsin inhibitor heavy chain 3 | |
| eprs1 | 8679 | 7088 | 0.0179 | glutamyl-prolyl-tRNA synthetase 1 | |
| itih2 | 51,007 | 42,246 | 0.0206 | inter-alpha-trypsin inhibitor heavy chain 2 | |
| hdc | 25 | 11 | 0.0259 | histidine decarboxylase | |
| dars1 | 1846 | 1272 | 0.0324 | aspartyl-tRNA synthetase 1 | |
| mthfr | 249 | 136 | 0.0413 | methylenetetrahydrofolate reductase (NAD(P)H) | |
| pklr | 3086 | 2316 | 0.0435 | pyruvate kinase L/R | |
| yars2 | 57 | 39 | 0.0462 | tyrosyl-tRNA synthetase 2%2C mitochondrial |
Disclaimer/Publisher’s Note: The statements, opinions and data contained in all publications are solely those of the individual author(s) and contributor(s) and not of MDPI and/or the editor(s). MDPI and/or the editor(s) disclaim responsibility for any injury to people or property resulting from any ideas, methods, instructions or products referred to in the content. |
© 2025 by the authors. Licensee MDPI, Basel, Switzerland. This article is an open access article distributed under the terms and conditions of the Creative Commons Attribution (CC BY) license (https://creativecommons.org/licenses/by/4.0/).
Share and Cite
Liu, Y.; Xie, J.; Shi, Q.; Gong, Q.; Qin, C. The Effects of Dietary Supplementation with 25-Hydroxyvitamin D3 on the Antioxidant Capacity and Inflammatory Responses of Pelteobagrus fulvidraco. Biology 2025, 14, 967. https://doi.org/10.3390/biology14080967
Liu Y, Xie J, Shi Q, Gong Q, Qin C. The Effects of Dietary Supplementation with 25-Hydroxyvitamin D3 on the Antioxidant Capacity and Inflammatory Responses of Pelteobagrus fulvidraco. Biology. 2025; 14(8):967. https://doi.org/10.3390/biology14080967
Chicago/Turabian StyleLiu, Yi, Jiang Xie, Qingchao Shi, Quan Gong, and Chuanjie Qin. 2025. "The Effects of Dietary Supplementation with 25-Hydroxyvitamin D3 on the Antioxidant Capacity and Inflammatory Responses of Pelteobagrus fulvidraco" Biology 14, no. 8: 967. https://doi.org/10.3390/biology14080967
APA StyleLiu, Y., Xie, J., Shi, Q., Gong, Q., & Qin, C. (2025). The Effects of Dietary Supplementation with 25-Hydroxyvitamin D3 on the Antioxidant Capacity and Inflammatory Responses of Pelteobagrus fulvidraco. Biology, 14(8), 967. https://doi.org/10.3390/biology14080967

