Lifestyle and BMI Changes after the Release of COVID-19 Restrictions: Do Humans Go ‘Back to Normal’?
Simple Summary
Abstract
1. Introduction
2. Materials and Methods
2.1. Study Design and Participants
2.2. Questionnaire
2.3. Outcomes and Variables
2.4. Statistics
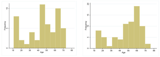
3. Results
Descriptive Results
4. Discussion
5. Conclusions
Author Contributions
Funding
Institutional Review Board Statement
Informed Consent Statement
Data Availability Statement
Acknowledgments
Conflicts of Interest
References
- Stearns, S. The Evolution of Life Histories; Oxford University Press: Oxford, UK, 1992. [Google Scholar]
- Chevance, G.; Fresan, U.; Hekler, E.; Edmondson, D.; Lloyd, S.J.; Ballester, J.; Litt, J.; Cvijanovic, I.; Araujo-Soares, V.; Bernard, P. Thinking Health-related Behaviors in a Climate Change Context: A Narrative Review. Ann. Behav. Med. 2023, 57, 193–204. [Google Scholar] [CrossRef] [PubMed]
- Hoffman, D.J.; Reynolds, R.M.; Hardy, D.B. Developmental origins of health and disease: Current knowledge and potential mechanisms. Nutr. Rev. 2017, 75, 951–970. [Google Scholar] [CrossRef] [PubMed]
- Bath, K.G. Synthesizing Views to Understand Sex Differences in Response to Early Life Adversity. Trends Neurosci. 2020, 43, 300–310. [Google Scholar] [CrossRef] [PubMed]
- Brumbach, B.H.; Figueredo, A.J.; Ellis, B.J. Effects of Harsh and Unpredictable Environments in Adolescence on Development of Life History Strategies: A Longitudinal Test of an Evolutionary Model. Hum. Nat. 2009, 20, 25–51. [Google Scholar] [CrossRef]
- Boyce, W.T.; Ellis, B.J. Biological sensitivity to context: I. An evolutionary-developmental theory of the origins and functions of stress reactivity. Dev. Psychopathol. 2005, 17, 271–301. [Google Scholar] [CrossRef]
- Sear, R. Do human ‘life history strategies’ exist? Evol. Hum. Behav. 2020, 41, 513–526. [Google Scholar] [CrossRef]
- Zhao, Z.; Li, L.; Sang, Y. The COVID-19 pandemic increased poor lifestyles and worsen mental health: A systematic review. Am. J. Transl. Res. 2023, 15, 3060–3066. [Google Scholar]
- Knapp, E.A.; Dong, Y.; Dunlop, A.L.; Aschner, J.L.; Stanford, J.B.; Hartert, T.; Teitelbaum, S.L.; Hudak, M.L.; Carroll, K.; O’Connor, T.G.; et al. Changes in BMI During the COVID-19 Pandemic. Pediatrics 2022, 150, e2022056552. [Google Scholar] [CrossRef]
- Pierce, S.L.; Kompaniyets, L.; Freedman, D.S.; Goodman, A.B.; Blanck, H.M. Children’s rates of BMI change during pre-pandemic and two COVID-19 pandemic periods, IQVIA Ambulatory Electronic Medical Record, January 2018 through November 2021. Obesity 2023, 31, 693–698. [Google Scholar] [CrossRef]
- Dicken, S.J.; Mitchell, J.J.; Le Vay, J.N.; Beard, E.; Kale, D.; Herbec, A.; Shahab, L. Impact of COVID-19 Pandemic on Weight and BMI among UK Adults: A Longitudinal Analysis of Data from the HEBECO Study. Nutrients 2021, 13, 2911. [Google Scholar] [CrossRef]
- Zaccardi, F.; Byrne, K.; Khunti, K.; Kloecker, D.; Reynoso, R.; Shabnam, S.; Vaz, L.; Yates, T.; Gillies, C. The impact of COVID-19 lockdowns on the body mass index of people living with obesity: A UK retrospective cohort study using the UK Clinical Practice Research Datalink. Obes. Res. Clin. Pract. 2023, 17, 468–476. [Google Scholar] [CrossRef] [PubMed]
- Corbett, S.; Courtiol, A.; Lummaa, V.; Moorad, J.; Stearns, S. The transition to modernity and chronic disease: Mismatch and natural selection. Nat. Rev. Genet. 2018, 19, 419–430. [Google Scholar] [CrossRef] [PubMed]
- Diggs, G.M. Evolutionary Mismatch: Implications Far Beyond Diet and Exercise. J. Evol. Health 2017, 2, 3. [Google Scholar] [CrossRef]
- Lucock, M.D.; Martin, C.E.; Yates, Z.R.; Veysey, M. Diet and our genetic legacy in the recent anthropocene: A Darwinian perspective to nutritional health. J. Evid. Based Complement. Altern. Med. 2014, 19, 68–83. [Google Scholar] [CrossRef]
- Xiao, B.; Xin, Z.; Wang, L. COVID-19′s influence on life history strategy: Insights from cross-temporal meta-analysis and experimental research. Personal. Individ. Differ. 2024, 219, 112505. [Google Scholar] [CrossRef]
- Kessler, C.; Guggenbühl, L. Auswirkungen der Corona-Pandemie auf Gesundheitsbezogene Belastungen und Ressourcen der Bevölkerung. Ausgewählte Forschungsergebnisse 2020 für die Schweiz. Arbeitspapier 52; Gesundheitsförderung Schweiz: Bern, Switzerland; Lausanne, Switzerland, 2021. [Google Scholar]
- M.I.S. Etude sur les Habitudes Alimentaires et L’activité Physique de la Population en Suisse Pendant la Période des Mesures du Conseil Fédéral Visant à Freiner la Propagation du COVID-19. Réalisée Pour l’Office Fédéral de la Sécurité Alimentaire et des Affaires Vétérinaires (OSAV), en Collaboration Avec l’Office Fédéral de la Santé Publique (OFSP) et l’Office Fédéral pour L’approvisionnement Économique du Pays (OFAE); M.I.S. TREND: Lausanne, Switzerland, 2020. [Google Scholar]
- Ammann, J.; Ritzel, C.; El Benni, N. How did the COVID-19 pandemic influence health-related behaviour? An online survey on food choice, physical activity and changes in body weight among Swiss adults. Food Qual. Prefer. 2022, 100, 104625. [Google Scholar] [CrossRef]
- Pellegrini, M.; Ponzo, V.; Rosato, R.; Scumaci, E.; Goitre, I.; Benso, A.; Belcastro, S.; Crespi, C.; De Michieli, F.; Ghigo, E.; et al. Changes in Weight and Nutritional Habits in Adults with Obesity during the “Lockdown” Period Caused by the COVID-19 Virus Emergency. Nutrients 2020, 12, 2016. [Google Scholar] [CrossRef]
- Phillipou, A.; Meyer, D.; Neill, E.; Tan, E.J.; Toh, W.L.; Van Rheenen, T.E.; Rossell, S.L. Eating and exercise behaviors in eating disorders and the general population during the COVID-19 pandemic in Australia: Initial results from the COLLATE project. Int. J. Eat. Disord. 2020, 53, 1158–1165. [Google Scholar] [CrossRef]
- Griskevicius, V.; Tybur, J.M.; Delton, A.W.; Robertson, T.E. The influence of mortality and socioeconomic status on risk and delayed rewards: A life history theory approach. J. Personal. Soc. Psychol. 2011, 100, 1015–1026. [Google Scholar] [CrossRef]
- Ellis, B.J.; Figueredo, A.J.; Brumbach, B.H.; Schlomer, G.L. Fundamental Dimensions of Environmental Risk: The Impact of Harsh versus Unpredictable Environments on the Evolution and Development of Life History Strategies. Hum. Nat. 2009, 20, 204–268. [Google Scholar] [CrossRef]
- Horwath, C.; Hagmann, D.; Hartmann, C. Intuitive eating and food intake in men and women: Results from the Swiss food panel study. Appetite 2019, 135, 61–71. [Google Scholar] [CrossRef] [PubMed]
- Siegrist, M.; Hartmann, C. Impact of sustainability perception on consumption of organic meat and meat substitutes. Appetite 2019, 132, 196–202. [Google Scholar] [CrossRef] [PubMed]
- Hagmann, D.; Siegrist, M.; Hartmann, C. Meat avoidance: Motives, alternative proteins and diet quality in a sample of Swiss consumers. Public Health Nutr. 2019, 22, 2448–2459. [Google Scholar] [CrossRef] [PubMed]
- BLV. Geniessen und Gesund Bleiben. Schweizer Ernährungsstrategie 2017–2024; BLV: Bern, Switzerland, 2017. [Google Scholar]
- Hu, F.B.; Satija, A.; Rimm, E.B.; Spiegelman, D.; Sampson, L.; Rosner, B.; Camargo, C.A., Jr.; Stampfer, M.; Willett, W.C. Diet Assessment Methods in the Nurses’ Health Studies and Contribution to Evidence-Based Nutritional Policies and Guidelines. Am. J. Public Health 2016, 106, 1567–1572. [Google Scholar] [CrossRef]
- Johansson, G.; Westerterp, K.R. Assessment of the physical activity level with two questions: Validation with doubly labeled water. Int. J. Obes. 2008, 32, 1031–1033. [Google Scholar] [CrossRef]
- Peine, S.; Knabe, S.; Carrero, I.; Brundert, M.; Wilhelm, J.; Ewert, A.; Denzer, U.; Jensen, B.; Lilburn, P. Generation of normal ranges for measures of body composition in adults based on bioelectrical impedance analysis using the seca mBCA. Int. J. Body Compos. Res. 2013, 11, 67–76. [Google Scholar]
- Meili, S.; Brabec, M.; Ruhli, F.; Buehrer, T.W.; Gultekin, N.; Stanga, Z.; Bender, N.; Staub, K.; Reber, E. Body mass index in young men in Switzerland after the national shutdowns during the COVID-19 pandemic: Results from a cross-sectional monitoring study at the population level since 2010. Eur J Public Health 2022, 32, 955–961. [Google Scholar] [CrossRef]
- Maggio, A.B.R.; Gal-Dudding, C.; Martin, X.; Chamay-Weber, C. Evaluation of the impact of the COVID-19 lockdown on BMI in children and adolescents with or without obesity. BMC Pediatr. 2022, 22, 509. [Google Scholar] [CrossRef]
- Pfister, C. The Monster Swallows You. Disaster Memory and Risk Culture in Western Europe, 1500–2000. RCC Perspect. 2011, 1, 1–23. [Google Scholar] [CrossRef]
- Staub, K.; Ruehli, F.; Floris, J. The “Pandemic Gap” in Switzerland across the 20th century and the necessity of increased science communication of past pandemic experiences. Swiss Med. Wkly. 2020. [Google Scholar] [CrossRef]
- WHO. The Challenge of Obesity; WHO: Geneva, Switzerland, 2024; Available online: https://www.who.int/europe/news-room/fact-sheets/item/the-challenge-of-obesity#:~:text=Almost%2060%25%20of%20adults%20live,with%20overweight%20(including%20obesity) (accessed on 1 May 2024).
- BfS. Übergewicht; Federal Office of Statistics: Neuchatel, Switzerland, 2022; Available online: https://www.bfs.admin.ch/bfs/de/home/statistiken/gesundheit/determinanten/uebergewicht.html#:~:text=%C3%9Cbergewicht%20und%20Adipositas%20im%20Jahr,nur%20die%20Adipositas%20betrachtet%20wird (accessed on 15 May 2024).
- Fenton, A. Weight, Shape, and Body Composition Changes at Menopause. J. Midlife Health 2021, 12, 187–192. [Google Scholar] [CrossRef] [PubMed]
- Kantowski, T.; Wiesch, C.S.Z.; Aberle, J.; Lautenbach, A. Obesity management: Sex-specific considerations. Arch. Gynecol. Obstet. 2024, 309, 1745–1752. [Google Scholar] [CrossRef] [PubMed]
- Salas-Rodriguez, J.; Gomez-Jacinto, L.; Hombrados-Mendieta, M.I. Life History Theory: Evolutionary mechanisms and gender role on risk-taking behaviors in young adults. Personal. Individ. Differ. 2021, 175, 110752. [Google Scholar] [CrossRef]
- Kruger, D.J.; Nesse, R.M. An evolutionary life-history framework for understanding sex differences in human mortality rates. Hum. Nat. Int. Bios 2006, 17, 74–97. [Google Scholar] [CrossRef]
- Fayyaz, K.; Bataineh, M.F.; Ali, H.I.; Al-Nawaiseh, A.M.; Al-Rifai, R.H.; Shahbaz, H.M. Validity of Measured vs. Self-Reported Weight and Height and Practical Considerations for Enhancing Reliability in Clinical and Epidemiological Studies: A Systematic Review. Nutrients 2024, 16, 1704. [Google Scholar] [CrossRef]
- BAG. Übergewicht und Adipositas; BAG: Bern, Switzerland, 2022; Available online: https://www.bag.admin.ch/bag/de/home/gesund-leben/gesundheitsfoerderung-und-praevention/koerpergewicht/uebergewicht-und-adipositas.html (accessed on 5 May 2024).








| Variable | Women | Men |
|---|---|---|
| Sample size (n) | 53 | 77 |
| Mean age in years (SD) | 58.4 (18.5) | 61.0 (17.1) |
| Mean BMI (SD) | 23.05 (3.05) | 25.11 (3.21) |
| DQI unhealthy (%) | 37.7 | 61.0 |
| DQI medium (%) | 43.4 | 35.1 |
| DQI healthy (%) | 18.9 | 3.9 |
| Physical activity level low (%) | 11.3 | 10.4 |
| Physical activity level medium (%) | 64.2 | 31.2 |
| Physical activity level high (%) | 24.5 | 58.4 |
| Non-tertiary education (%) | 34.7 | 27.6 |
| Tertiary education (%) | 65.3 | 72.4 |
| Residence city (%) | 42.2 | 40.0 |
| Residence agglomeration (%) | 48.9 | 33.3 |
| Residence rural (%) | 8.9 | 26.7 |
Disclaimer/Publisher’s Note: The statements, opinions and data contained in all publications are solely those of the individual author(s) and contributor(s) and not of MDPI and/or the editor(s). MDPI and/or the editor(s) disclaim responsibility for any injury to people or property resulting from any ideas, methods, instructions or products referred to in the content. |
© 2024 by the authors. Licensee MDPI, Basel, Switzerland. This article is an open access article distributed under the terms and conditions of the Creative Commons Attribution (CC BY) license (https://creativecommons.org/licenses/by/4.0/).
Share and Cite
Krznar, B.; Vilenica, M.; Rühli, F.; Bender, N. Lifestyle and BMI Changes after the Release of COVID-19 Restrictions: Do Humans Go ‘Back to Normal’? Biology 2024, 13, 858. https://doi.org/10.3390/biology13110858
Krznar B, Vilenica M, Rühli F, Bender N. Lifestyle and BMI Changes after the Release of COVID-19 Restrictions: Do Humans Go ‘Back to Normal’? Biology. 2024; 13(11):858. https://doi.org/10.3390/biology13110858
Chicago/Turabian StyleKrznar, Boris, Marijan Vilenica, Frank Rühli, and Nicole Bender. 2024. "Lifestyle and BMI Changes after the Release of COVID-19 Restrictions: Do Humans Go ‘Back to Normal’?" Biology 13, no. 11: 858. https://doi.org/10.3390/biology13110858
APA StyleKrznar, B., Vilenica, M., Rühli, F., & Bender, N. (2024). Lifestyle and BMI Changes after the Release of COVID-19 Restrictions: Do Humans Go ‘Back to Normal’? Biology, 13(11), 858. https://doi.org/10.3390/biology13110858

