Gene Expression Analysis for Drought Tolerance in Early Stage of Potato Plant Development
Simple Summary
Abstract
1. Introduction
2. Materials and Methods
2.1. Plant Materials
2.2. Plant Propagation and Osmotic Stress Application
2.3. Selection of Drought-Tolerant and Drought-Sensitive Varieties
2.4. Plant Material for Gene Expression Analysis
2.5. Gene Expression Analysis Using qRT-PCR
2.6. Searching Criteria for Comparative Analysis
3. Results and Discussion
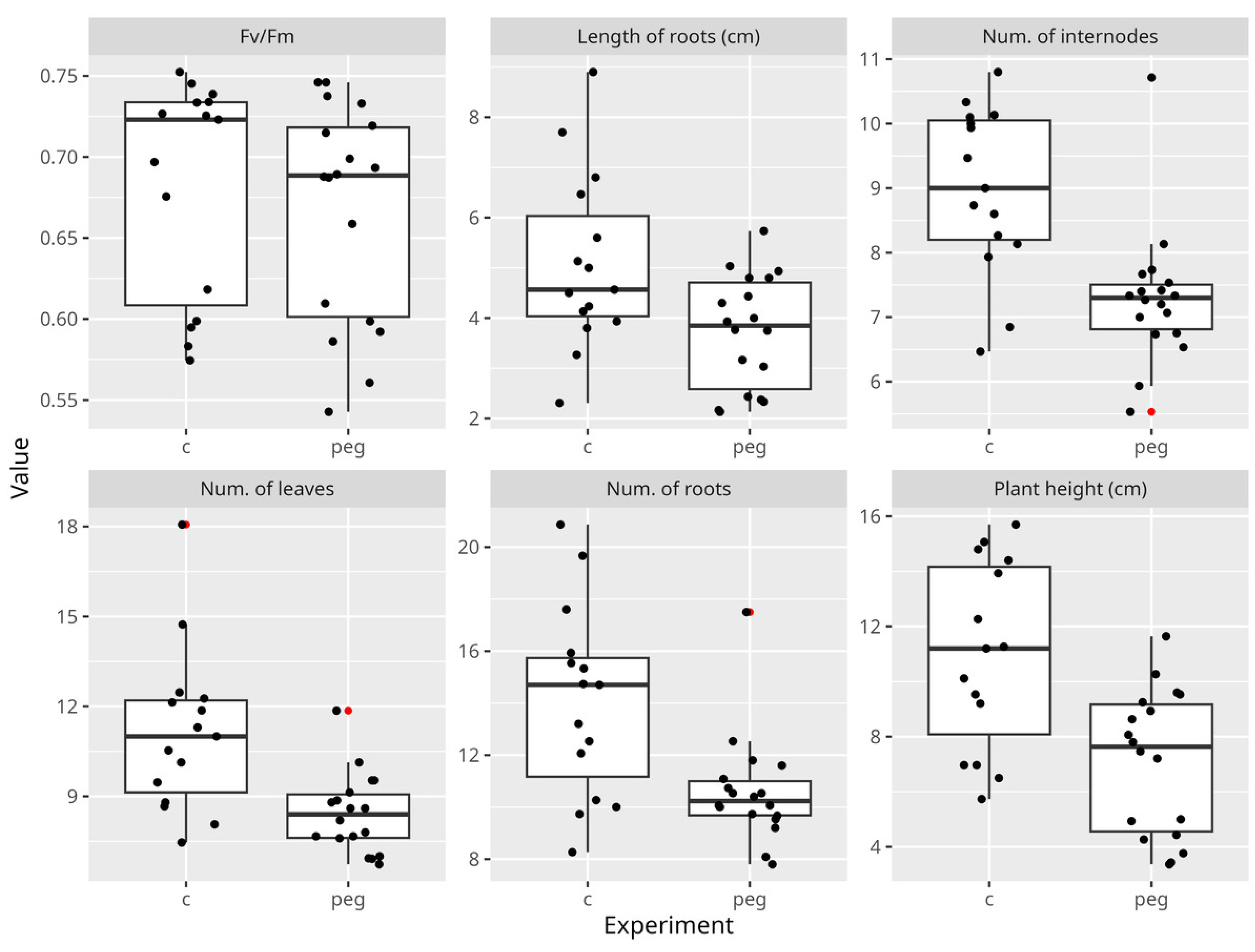
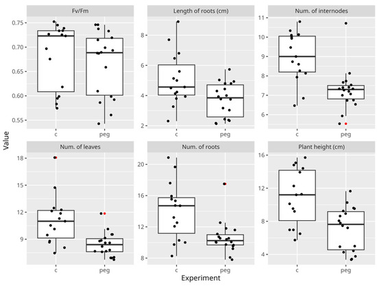
3.1. Morphological Analysis
3.1.1. Principal Component Analysis
3.1.2. Correlation Analysis
3.2. Selection of Drought-Tolerant and Drought-Sensitive Varieties
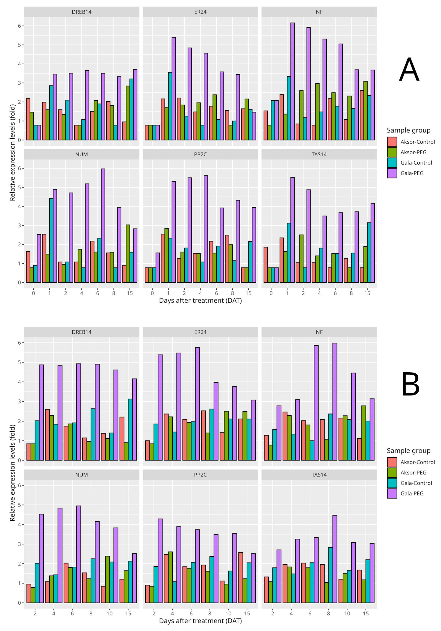
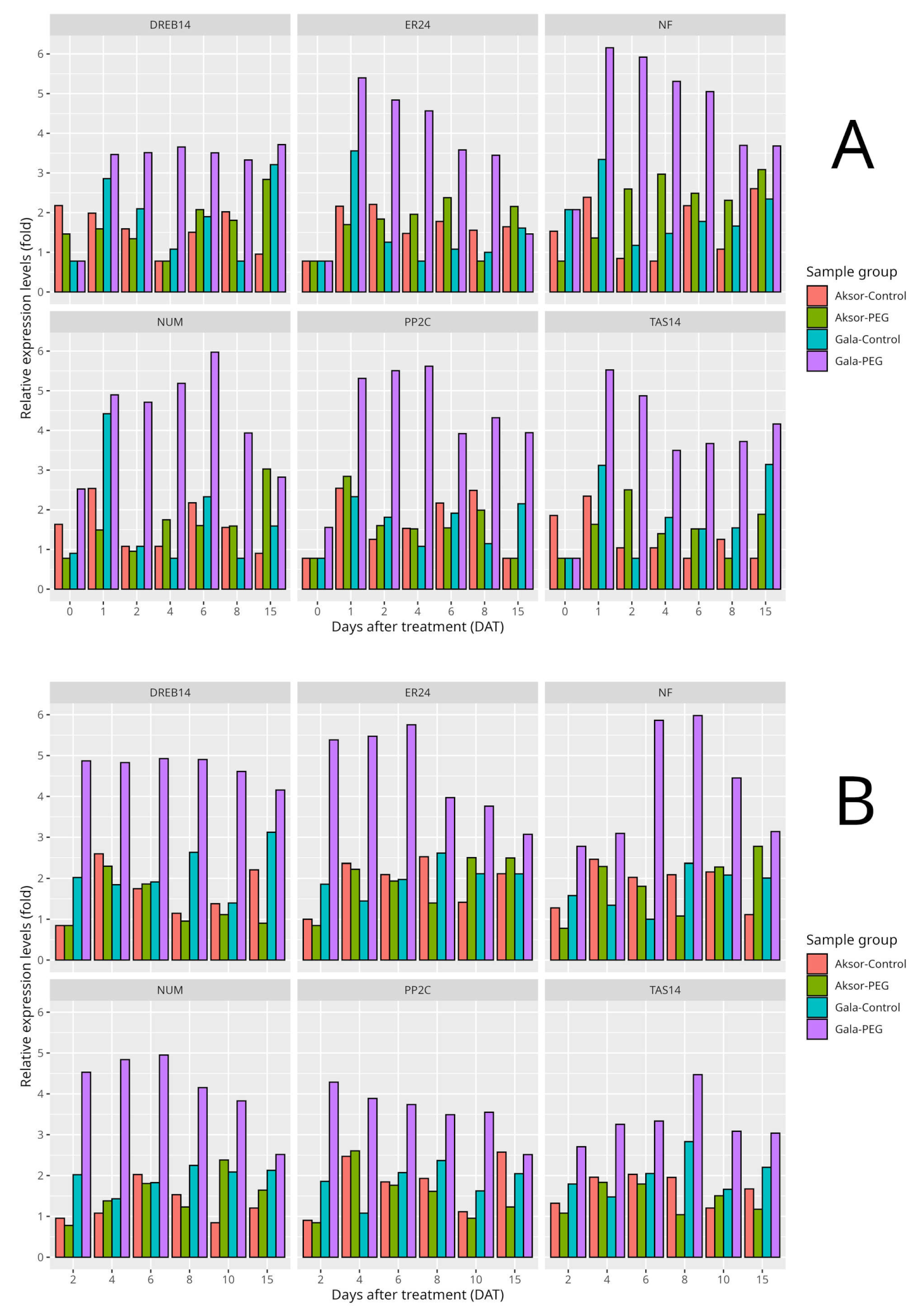
3.3. Gene Expression Analysis
3.4. Comparison with Other Studies
4. Conclusions
Supplementary Materials
Author Contributions
Funding
Institutional Review Board Statement
Informed Consent Statement
Data Availability Statement
Conflicts of Interest
References
- Mukherjee, S.; Mishra, A.; Trenberth, K.E. Climate Change and Drought: A Perspective on Drought Indices. Curr. Clim. Chang. Rep. 2018, 4, 145–163. [Google Scholar] [CrossRef]
- Dietz, K.J.; Zörb, C.; Geilfus, C.M. Drought and Crop Yield. Plant Biol. 2021, 23, 881–893. [Google Scholar] [CrossRef] [PubMed]
- Sapakhova, Z.; Raissova, N.; Daurov, D.; Zhapar, K.; Daurova, A.; Zhigailov, A.; Zhambakin, K.; Shamekova, M. Sweet Potato as a Key Crop for Food Security under the Conditions of Global Climate Change: A Review. Plants 2023, 12, 2516. [Google Scholar] [CrossRef] [PubMed]
- Jain, S.K.; von Wettberg, E.J.; Punia, S.S.; Parihar, A.K.; Lamichaney, A.; Kumar, J.; Gupta, D.S.; Ahmad, S.; Pant, N.C.; Dixit, G.P.; et al. Genomic-Mediated Breeding Strategies for Global Warming in Chickpeas (Cicer arietinum L.). Agriculture 2023, 13, 1721. [Google Scholar] [CrossRef]
- Boguszewska-Mańkowska, D.; Ruszczak, B.; Zarzyńska, K. Classification of Potato Varieties Drought Stress Tolerance Using Supervised Learning. Appl. Sci. 2022, 12, 1939. [Google Scholar] [CrossRef]
- Schafleitner, R.; Gutierrez, R.; Espino, R.; Gaudin, A.; Pérez, J.; Martínez, M.; Domínguez, A.; Tincopa, L.; Alvarado, C.; Numberto, G.; et al. Field Screening for Variation of Drought Tolerance in Solanum tuberosum L. by Agronomical, Physiological and Genetic Analysis. Potato Res. 2007, 50, 71–85. [Google Scholar] [CrossRef]
- Lahlou, O.; Ouattar, S.; Ledent, J.F. The Effect of Drought and Cultivar on Growth Parameters, Yield and Yield Components of Potato. Agronomie 2003, 23, 257–268. [Google Scholar] [CrossRef]
- Boguszewska-Mańkowska, D.; Pieczyński, M.; Wyrzykowska, A.; Kalaji, H.M.; Sieczko, L.; Szweykowska-Kulińska, Z.; Zagdańska, B. Divergent Strategies Displayed by Potato (Solanum tuberosum L.) Cultivars to Cope with Soil Drought. J. Agron. Crop Sci. 2018, 204, 13–30. [Google Scholar] [CrossRef]
- Kumar, P.A.; Reddy, N.; Lakshmi, N. PEG Induced Screening for Drought Tolerance in Tomato Genotypes. Int. J. Curr. Microbiol. Appl. Sci. 2017, 6, 168–181. [Google Scholar] [CrossRef][Green Version]
- Reyes, J.A.O.; Casas, D.E.; Gandia, J.L.; Parducho, M.J.L.; Renovalles, E.M.; Quilloy, E.P.; Delfin, E.F. Polyethylene Glycol-Induced Drought Stress Screening of Selected Philippine High-Yielding Sugarcane Varieties. J. Agric. Food Res. 2023, 14, 100676. [Google Scholar] [CrossRef]
- Khan, M.; Khattak, A.M.; Ahmad, S.; Khalil, S.A.; Ahmad, N.; Shah, S.A.A.; Ali, S.; Moon, Y.S.; Hamayun, M.; Alrefaei, A.F. Polyethylene Glycol-Stimulated Drought Stress Enhanced the Biosynthesis of Steviol Glycosides in Stevia Rebaudiana. Pak. J. Bot. 2024, 56, 1645–1652. [Google Scholar] [CrossRef] [PubMed]
- Wilmer, L.; Tränkner, M.; Pawelzik, E.; Naumann, M. Sufficient Potassium Supply Enhances Tolerance of Potato Plants to PEG-induced Osmotic Stress. Plant Stress 2022, 5, 100102. [Google Scholar] [CrossRef]
- Wang, D.; Song, J.; Lin, T.; Yin, Y.; Mu, J.; Liu, S.; Wang, Y.; Kong, D.; Zhang, Z. Identification of Potato Lipid Transfer Protein Gene Family and Expression Verification of Drought Genes StLTP1 and StLTP7. Plant Direct 2023, 7, e491. [Google Scholar] [CrossRef] [PubMed]
- Dobránszki, J.; Magyar-Tábori, K.; Takács-Hudák, Á. Growth and Developmental Responses of Potato to Osmotic Stress Under in Vitro Conditions. Acta Biol. Hung. 2003, 54, 365–372. [Google Scholar] [CrossRef] [PubMed]
- Yan, C.; Song, S.; Wang, W.; Wang, C.; Li, H.; Wang, F.; Li, S.; Sun, X. Screening Diverse Soybean Genotypes for Drought Tolerance by Membership Function Value Based on Multiple Traits and Drought-Tolerant Coefficient of Yield. BMC Plant Biol. 2020, 20, 321. [Google Scholar] [CrossRef]
- Fukai, S.; Pantuwan, G.; Jongdee, B.; Cooper, M. Screening for Drought Resistance in Rainfed Lowland Rice. Field Crops Res. 1999, 64, 61–74. [Google Scholar] [CrossRef]
- Zaki, H.E.M.; Radwan, K.S.A. Response of Potato (Solanum tuberosum L.) Cultivars to Drought Stress under in Vitro and Field Conditions. Chem. Biol. Technol. Agric. 2022, 9, 1. [Google Scholar] [CrossRef]
- Shiri, M. Identification of Informative Simple Sequence Repeat (SSR) Markers for Drought Tolerance in Maize. Afr. J. Biotechnol. 2011, 10, 16414–16420. [Google Scholar] [CrossRef]
- Guo, P.; Baum, M.; Grando, S.; Ceccarelli, S.; Bai, G.; Li, R.; von Korff, M.; Varshney, R.K.; Graner, A.; Valkoun, J. Differentially Expressed Genes between Drought-Tolerant and Drought-Sensitive Barley Genotypes in Response to Drought Stress during the Reproductive Stage. J. Exp. Bot. 2009, 60, 3531–3544. [Google Scholar] [CrossRef]
- Aliche, E.B.; Gengler, T.; Hoendervangers, I.; Oortwijn, M.; Bachem, C.W.B.; Borm, T.; Visser, R.G.F.; van der Linden, C.G. Transcriptomic Responses of Potato to Drought Stress. Potato Res. 2022, 65, 289–305. [Google Scholar] [CrossRef]
- Gong, L.; Zhang, H.; Gan, X.; Zhang, L.; Chen, Y.; Nie, F.; Shi, L.; Li, M.; Guo, Z.; Zhang, G.; et al. Transcriptome Profiling of the Potato (Solanum tuberosum L.) Plant under Drought Stress and Water-Stimulus Conditions. PLoS ONE 2015, 10, e0128041. [Google Scholar] [CrossRef] [PubMed]
- Jian, H.; Sun, H.; Liu, R.; Zhang, W.; Shang, L.; Wang, J.; Khassanov, V.; Lyu, D. Construction of Drought Stress Regulation Networks in Potato Based on SMRT and RNA Sequencing Data. BMC Plant Biol. 2022, 22, 381. [Google Scholar] [CrossRef] [PubMed]
- Muñoz-Mayor, A.; Pineda, B.; Garcia-Abellán, J.O.; Antón, T.; Garcia-Sogo, B.; Sanchez-Bel, P.; Flores, F.B.; Atarés, A.; Angosto, T.; Pintor-Toro, J.A.; et al. Overexpression of Dehydrin Tas14 Gene Improv. Osmotic Stress Impos. Drought Salin. Tomato. J. Plant Physiol. 2012, 169, 459–468. [Google Scholar] [CrossRef] [PubMed]
- Evers, D.; Lefèvre, I.; Legay, S.; Lamoureux, D.; Hausman, J.F.; Rosales, R.O.G.; Marca, L.R.T.; Hoffmann, L.; Bonierbale, M.; Schafleitner, R. Identification of Drought-Responsive Compounds in Potato through a Combined Transcriptomic and Targeted Metabolite Approach. J. Exp. Bot. 2010, 61, 2327–2343. [Google Scholar] [CrossRef] [PubMed]
- Tang, X.; Zhang, N.; Si, H.; Calderón-Urrea, A. Selection and Validation of Reference Genes for RT-qPCR Analysis in Potato under Abiotic Stress. Plant Methods 2017, 13, 85. [Google Scholar] [CrossRef]
- Liu, Y.; Wang, L.; Li, Y.; Li, X.; Zhang, J. Proline Metabolism-Related Gene Expression in Four Potato Genotypes in Response to Drought Stress. Biol. Plant. 2019, 63, 757–764. [Google Scholar] [CrossRef]
- Chen, Y.; Li, C.; Yi, J.; Yang, Y.; Lei, C.; Gong, M. Transcriptome Response to Drought, Rehydration and Re-Dehydration in Potato. Int. J. Mol. Sci. 2020, 21, 159. [Google Scholar] [CrossRef]
- Arraes, F.B.M.; Beneventi, M.A.; Lisei de Sa, M.E.; Paixao, J.F.R.; Albuquerque, E.V.S.; Marin, S.R.R.; Purgatto, E.; Nepomuceno, A.L.; Grossi-de-Sa, M.F. Implications of Ethylene Biosynthesis and Signaling in Soybean Drought Stress Tolerance. BMC Plant Biol. 2015, 15, 213. [Google Scholar] [CrossRef]
- Zhang, Z.; Li, F.; Li, D.; Zhang, H.; Huang, R. Expression of Ethylene Response Factor JERF1 in Rice Improves Tolerance to Drought. Planta 2010, 232, 765–774. [Google Scholar] [CrossRef]
- Wang, Y.; Yuan, M.; Li, Z.; Niu, Y.; Jin, Q.; Zhu, B.; Xu, Y. Effects of Ethylene Biosynthesis and Signaling on Oxidative Stress and Antioxidant Defense System in Nelumbo Nucifera G. under Cadmium Exposure. Environ. Sci. Pollut. Res. 2020, 27, 40156–40170. [Google Scholar] [CrossRef]
- Deikman, J. Molecular Mechanisms of Ethylene Regulation of Gene Transcription. Physiol. Plant. 1997, 100, 561–566. [Google Scholar] [CrossRef]
- Nazir, F.; Peter, P.; Gupta, R.; Kumari, S.; Nawaz, K.; Khan, M.I.R. Plant Hormone Ethylene: A Leading Edge in Conferring Drought Stress Tolerance. Physiol. Plant. 2024, 176, e14151. [Google Scholar] [CrossRef]
- Chen, M.; Zhao, Y.; Zhuo, C.; Lu, S.; Guo, Z. Overexpression of a—Transcription Factor from Bermudagrass Confers Tolerance to Drought and Salinity in Transgenic Rice. Plant Biotechnol. J. 2015, 13, 482–491. [Google Scholar] [CrossRef] [PubMed]
- Zanetti, M.E.; Rípodas, C.; Niebel, A. Plant NF-Y Transcription Factors: Key Players in Plant-Microbe Interactions, Root Development and Adaptation to Stress. Biochim. Biophys. Acta (BBA)-Gene Regul. Mech. 2017, 1860, 645–654. [Google Scholar] [CrossRef]
- Swain, S.; Myers, Z.A.; Siriwardana, C.L.; Holt, B.F. The Multifaceted Roles of NUCLEAR FACTOR-Y in Arabidopsis thaliana Development and Stress Responses. Biochim. Biophys. Acta (BBA)-Gene Regul. Mech. 2017, 1860, 636–644. [Google Scholar] [CrossRef]
- Li, Q.; Qin, Y.; Hu, X.; Jin, L.; Li, G.; Gong, Z.; Xiong, X.; Wang, W. Physiology and Gene Expression Analysis of Potato (Solanum tuberosum L.) in Salt Stress. Plants 2022, 11, 1565. [Google Scholar] [CrossRef]
- Li, Q.; Qin, Y.; Hu, X.; Li, G.; Ding, H.; Xiong, X.; Wang, W. Transcriptome Analysis Uncovers the Gene Expression Profile of Salt-Stressed Potato (Solanum tuberosum L.). Sci. Rep. 2020, 10, 5411. [Google Scholar] [CrossRef]
- Dekomah, S.D.; Wang, Y.; Qin, T.; Xu, D.; Sun, C.; Yao, P.; Liu, Y.; Bi, Z.; Bai, J. Identification and Expression Analysis of Calcium-Dependent Protein Kinases Gene Family in Potato Under Drought Stress. Front. Genet. 2022, 13, 874397. [Google Scholar] [CrossRef]
- Ponce, O.P.; Torres, Y.; Prashar, A.; Buell, R.; Lozano, R.; Orjeda, G.; Compton, L. Transcriptome Profiling Shows a Rapid Variety-Specific Response in Two Andigenum Potato Varieties under Drought Stress. Front. Plant Sci. 2022, 13, 1003907. [Google Scholar] [CrossRef]
- Qin, T.; Sun, C.; Kazim, A.; Cui, S.; Wang, Y.; Richard, D.; Yao, P.; Bi, Z.; Liu, Y.; Bai, J. Comparative Transcriptome Analysis of Deep-Rooting and Shallow-Rooting Potato (Solanum tuberosum L.) Genotypes under Drought Stress. Plants 2022, 11, 2024. [Google Scholar] [CrossRef]
- Bi, Z.; Wang, Y.; Li, P.; Sun, C.; Qin, T.; Bai, J. Evolution and Expression Analysis of CDPK Genes under Drought Stress in Two Varieties of Potato. Biotechnol. Lett. 2021, 43, 511–521. [Google Scholar] [CrossRef] [PubMed]
- Ma, R.; Liu, W.; Li, S.; Zhu, X.; Yang, J.; Zhang, N.; Si, H. Genome-Wide Identification, Characterization and Expression Analysis of the CIPK Gene Family in Potato (Solanum tuberosum L.) and the Role of StCIPK10 in Response to Drought and Osmotic Stress. Int. J. Mol. Sci. 2021, 22, 13535. [Google Scholar] [CrossRef] [PubMed]
- Liu, Z.; Liu, Y.; Coulter, J.A.; Shen, B.; Li, Y.; Li, C.; Cao, Z.; Zhang, J. The WD40 Gene Family in Potato (Solanum tuberosum L.): Genome-Wide Analysis and Identification of Anthocyanin and Drought-Related WD40s. Agronomy 2020, 10, 401. [Google Scholar] [CrossRef]
- Liu, E.; Li, Z.; Luo, Z.; Xu, L.; Jin, P.; Ji, S.; Zhou, G.; Wang, Z.; Zhou, Z.; Zhang, H. Genome-Wide Identification of DUF668 Gene Family and Expression Analysis under Drought and Salt Stresses in Sweet Potato [Ipomoea batatas (L.) Lam]. Genes 2023, 14, 217. [Google Scholar] [CrossRef]
- Contiliani, D.F.; de Oliveira Nebó, J.F.C.; Ribeiro, R.V.; Andrade, L.M.; Peixoto Júnior, R.F.; Lembke, C.G.; Machado, R.S.; Silva, D.N.; Belloti, M.; de Souza, G.M.; et al. Leaf Transcriptome Profiling of Contrasting Sugarcane Genotypes for Drought Tolerance under Field Conditions. Sci. Rep. 2022, 12, 9153. [Google Scholar] [CrossRef]
- Daurov, D.; Daurova, A.; Sapakhova, Z.; Kanat, R.; Akhmetzhanova, D.; Abilda, Z.; Toishimanov, M.; Raissova, N.; Otynshiyev, M.; Zhambakin, K.; et al. The Impact of the Growth Regulators and Cultivation Conditions of Temporary Immersion Systems (TISs) on the Morphological Characteristics of Potato Explants and Microtubers. Agronomy 2024, 14, 1782. [Google Scholar] [CrossRef]
- Daurov, D.; Daurova, A.; Karimov, A.; Tolegenova, D.; Volkov, D.; Raimbek, D.; Zhambakin, K.; Shamekova, M. Determining Effective Methods of Obtaining Virus-Free Potato for Cultivation in Kazakhstan. Am. J. Potato Res. 2020, 97, 367–375. [Google Scholar] [CrossRef]
- Villanueva, R.A.M.; Chen, Z.J. Ggplot2: Elegant Graphics for Data Analysis. Meas. Interdiscip. Res. Perspect. 2019, 17, 160–167. [Google Scholar] [CrossRef]
- Wickham, H.; Averick, M.; Bryan, J.; Chang, W.; McGowan, L.D.; François, R.; Grolemund, G.; Hayes, A.; Henry, L.; Hester, J.; et al. Welcome to the Tidyverse. J. Open Source Softw. 2019, 4, 1686. [Google Scholar] [CrossRef]
- Daurov, D.; Argynbayeva, A.; Daurova, A.; Zhapar, K.; Sapakhova, Z.; Zhambakin, K.; Shamekova, M. Monitoring the Spread of Potato Virus Diseases in Kazakhstan. Am. J. Potato Res. 2023, 100, 63–70. [Google Scholar] [CrossRef]
- Daurov, D.; Lim, Y.H.; Park, S.U.; Kim, Y.H.; Daurova, A.; Sapakhova, Z.; Zhapar, K.; Abilda, Z.; Toishimanov, M.; Shamekova, M.; et al. Selection and Characterization of Lead-Tolerant Sweetpotato Cultivars for Phytoremediation. Plant Biotechnol. Rep. 2024, 18, 327–339. [Google Scholar] [CrossRef]
- Sultana, N. Molecular and Genetic Analysis of Drought Tolerance in Potato; Wageningen University: Wageningen, The Netherlands, 2014. [Google Scholar]
- Schumacher, C.; Krannich, C.T.; Maletzki, L.; Köhl, K.; Kopka, J.; Sprenger, H.; Hincha, D.K.; Seddig, S.; Peters, R.; Hamera, S.; et al. Unravelling Differences in Candidate Genes for Drought Tolerance in Potato (Solanum tuberosum L.) by Use of New Functional Microsatellite Markers. Genes 2021, 12, 494. [Google Scholar] [CrossRef]
- Zhang, N.; Liu, B.; Ma, C.; Zhang, G.; Chang, J.; Si, H.; Wang, D. Transcriptome Characterization and Sequencing-Based Identification of Drought-Responsive Genes in Potato. Mol. Biol. Rep. 2014, 41, 505–517. [Google Scholar] [CrossRef]
- Brown, J.; Pirrung, M.; McCue, L.A. FQC Dashboard: Integrates FastQC Results into a Web-Based, Interactive, and Extensible FASTQ Quality Control Tool. Bioinformatics 2017, 33, 3137–3139. [Google Scholar] [CrossRef]
- Chen, S.; Zhou, Y.; Chen, Y.; Gu, J. Fastp: An Ultra-Fast All-in-One FASTQ Preprocessor. Bioinformatics 2018, 34, i884–i890. [Google Scholar] [CrossRef]
- Zhang, Y.; Park, C.; Bennett, C.; Thornton, M.; Kim, D. Rapid and Accurate Alignment of Nucleotide Conversion Sequencing Reads with HISAT-3N. Genome Res. 2021, 31, 1290–1295. [Google Scholar] [CrossRef]
- Pertea, M.; Pertea, G.M.; Antonescu, C.M.; Chang, T.C.; Mendell, J.T.; Salzberg, S.L. StringTie Enables Improved Reconstruction of a Transcriptome from RNA-seq Reads. Nat. Biotechnol. 2015, 33, 290–295. [Google Scholar] [CrossRef]
- Frazee, A.C.; Pertea, G.; Jaffe, A.E.; Langmead, B.; Salzberg, S.L.; Leek, J.T. Ballgown Bridges the Gap between Transcriptome Assembly and Expression Analysis. Nat. Biotechnol. 2015, 33, 243–246. [Google Scholar] [CrossRef]
- Smith, R.H.; Bhaskaran, S.; Miller, F.R. Screening for Drought Tolerance in Sorghum Using Cell Culture. In Vitro Cell. Dev. Biol. 1985, 21, 541–545. [Google Scholar] [CrossRef]
- de Datta, S.K.; Malabuyoc, J.A.; Aragon, E.L. A Field Screening Technique for Evaluating Rice Germplasm for Drought Tolerance during the Vegetative Stage. Field Crops Res. 1988, 19, 123–134. [Google Scholar] [CrossRef]
- Daurova, A.; Daurov, D.; Volkov, D.; Zhapar, K.; Raimbek, D.; Shamekova, M.; Zhambakin, K. Doubled Haploids of Interspecific Hybrids between Brassica Napus and Brassica Rapa for Canola Production with Valuable Breeding Traits. OCL 2020, 27, 45. [Google Scholar] [CrossRef]
- Bakhshandeh, E.; Gholamhossieni, M. Quantification of Soybean Seed Germination Response to Seed Deterioration under PEG-induced Water Stress Using Hydrotime Concept. Acta Physiol. Plant. 2018, 40, 126. [Google Scholar] [CrossRef]
- Tajaragh, R.P.; Rasouli, F.; Giglou, M.T.; Zahedi, S.M.; Hassanpouraghdam, M.B.; Aazami, M.A.; Adámková, A.; Mlček, J. Morphological and Physiological Responses of In Vitro-Grown Cucurbita sp. Landraces Seedlings under Osmotic Stress by Mannitol and PEG. Horticulturae 2022, 8, 1117. [Google Scholar] [CrossRef]
- Balla, K.; Bencze, S.; Bónis, P.; Árendás, T.; Veisz, O. Changes in the Photosynthetic Efficiency of Winter Wheat in Response to Abiotic Stress. Cent. Eur. J. Biol. 2014, 9, 519–530. [Google Scholar] [CrossRef]
- Sharma, A.; Kumar, V.; Shahzad, B.; Ramakrishnan, M.; Singh Sidhu, G.P.; Bali, A.S.; Handa, N.; Kapoor, D.; Yadav, P.; Khanna, K.; et al. Photosynthetic Response of Plants Under Different Abiotic Stresses: A Review. J. Plant Growth Regul. 2020, 39, 509–531. [Google Scholar] [CrossRef]
- Muhammad, I.; Shalmani, A.; Ali, M.; Yang, Q.H.; Ahmad, H.; Li, F.B. Mechanisms Regulating the Dynamics of Photosynthesis Under Abiotic Stresses. Front. Plant Sci. 2021, 11, 615942. [Google Scholar] [CrossRef]
- Terletskaya, N.; Zobova, N.; Stupko, V.; Shuyskaya, E. Growth and Photosynthetic Reactions of Different Species of Wheat Seedlings under Drought and Salt Stress. Period. Biol. 2017, 119, 37–45. [Google Scholar] [CrossRef]
- Khalilpour, M.; Mozafari, V.; Abbaszadeh-Dahaji, P. Tolerance to Salinity and Drought Stresses in Pistachio (Pistacia vera L.) Seedlings Inoculated with Indigenous Stress-Tolerant PGPR Isolates. Sci. Hortic. 2021, 289, 110440. [Google Scholar] [CrossRef]
- Wang, L.; Liu, Y.; Feng, S.; Yang, J.; Li, D.; Zhang, J. Roles of Plasmalemma Aquaporin Gene StPIP1 in Enhancing Drought Tolerance in Potato. Front. Plant Sci. 2017, 8, 616. [Google Scholar] [CrossRef]
- Hill, D.; Nelson, D.; Hammond, J.; Bell, L. Morphophysiology of Potato (Solanum Tuberosum) in Response to Drought Stress: Paving the Way Forward. Front. Plant Sci. 2021, 11, 597554. [Google Scholar] [CrossRef]
- Deblonde, P.M.K.; Ledent, J.F. Effects of Moderate Drought Conditions on Green Leaf Number, Stem Height, Leaf Length and Tuber Yield of Potato Cultivars. Eur. J. Agron. 2001, 14, 31–41. [Google Scholar] [CrossRef]
- Allen, E.J.; Scott, R.K. An Analysis of Growth of the Potato Crop. J. Agric. Sci. 1980, 94, 583–606. [Google Scholar] [CrossRef]
- Jia, X.X.; Li, Y.T.; Qi, E.F.; Ma, S.; Hu, X.Y.; Wen, G.H.; Wang, Y.H.; Li, J.W.; Zhang, X.H.; Wang, H.M.; et al. Overexpression of the Arabidopsis DREB1A Gene Enhances Potato Drought-Resistance. Russ. J. Plant Physiol. 2016, 63, 523–531. [Google Scholar] [CrossRef]
- Wang, J.W.; Yang, F.P.; Chen, X.Q.; Liang, R.Q.; Zhang, L.Q.; Geng, D.M.; Zhang, X.D.; Song, Y.Z.; Zhang, G.S. Induced Expression of DREB Transcriptional Factor and Study on Its Physiological Effects of Drought Tolerance in Transgenic Wheat. Acta Genet. Sin. 2006, 33, 468–476. [Google Scholar] [CrossRef]
- Reis, R.R.; Andrade Dias Brito da Cunha, B.; Martins, P.K.; Martins, M.T.B.; Alekcevetch, J.C.; Chalfun-Júnior, A.; Andrade, A.C.; Ribeiro, A.P.; Qin, F.; Mizoi, J.; et al. Induced Over-Expression of AtDREB2A CA Improves Drought Tolerance in Sugarcane. Plant Sci. 2014, 221–222, 59–68. [Google Scholar] [CrossRef]
- van Muijen, D.; Anithakumari, A.; Maliepaard, C.; Visser, R.G.F.; van der Linden, C.G. Systems Genetics Reveals Key Genetic Elements of Drought Induced Gene Regulation in Diploid Potato. Plant Cell Environ. 2016, 39, 1895–1908. [Google Scholar] [CrossRef]
- Zegzouti, H.; Jones, B.; Frasse, P.; Marty, C.; Maitre, B.; Latché, A.; Pech, J.C.; Bouzayen, M. Ethylene-Regulated Gene Expression in Tomato Fruit: Characterization of Novel Ethylene-Responsive and Ripening-Related Genes Isolated by Differential Display. Plant J. 1999, 18, 589–600. [Google Scholar] [CrossRef]
- Hommel, M.; Khalil-Ahmad, Q.; Jaimes-Miranda, F.; Mila, I.; Pouzet, C.; Latché, A.; Pech, J.C.; Bouzayen, M.; Regad, F. Over-Expression of a Chimeric Gene of the Transcriptional Co-Activator MBF1 Fused to the EAR Repressor Motif Causes Developmental Alteration in Arabidopsis and Tomato. Plant Sci. 2008, 175, 168–177. [Google Scholar] [CrossRef]
- Wang, Y.f.; Liao, Y.q.; Wang, Y.p.; Yang, J.w.; Zhang, N.; Si, H.j. Genome-Wide Identification and Expression Analysis of StPP2C Gene Family in Response to Multiple Stresses in Potato (Solanum tuberosum L.). J. Integr. Agric. 2020, 19, 1609–1624. [Google Scholar] [CrossRef]
- Yu, X.; Han, J.; Li, L.; Zhang, Q.; Yang, G.; He, G. Wheat PP2C-a10 Regulates Seed Germination and Drought Tolerance in Transgenic Arabidopsis. Plant Cell Rep. 2020, 39, 635–651. [Google Scholar] [CrossRef]
- Chen, J.Q.; Meng, X.P.; Zhang, Y.; Xia, M.; Wang, X.P. Over-Expression of OsDREB Genes Lead to Enhanced Drought Tolerance in Rice. Biotechnol. Lett. 2008, 30, 2191–2198. [Google Scholar] [CrossRef] [PubMed]
- Cui, M.; Zhang, W.; Zhang, Q.; Xu, Z.; Zhu, Z.; Duan, F.; Wu, R. Induced Over-Expression of the Transcription Factor OsDREB2A Improves Drought Tolerance in Rice. Plant Physiol. Biochem. 2011, 49, 1384–1391. [Google Scholar] [CrossRef] [PubMed]
- Hu, Z.; Li, Y.; Yang, J.; Song, S.; Li, X.; Xiong, C.; Yi, P.; Liu, C.; Hu, R.; Huang, X. The Positive Impact of the NtTAS14-like1 Gene on Osmotic Stress Response in Nicotiana Tabacum. Plant Cell Rep. 2023, 43, 25. [Google Scholar] [CrossRef] [PubMed]
- Han, X.; Tang, S.; An, Y.; Zheng, D.C.; Xia, X.L.; Yin, W.L. Overexpression of the Poplar NF-YB7 Transcription Factor Confers Drought Tolerance and Improves Water-Use Efficiency in Arabidopsis. J. Exp. Bot. 2013, 64, 4589–4601. [Google Scholar] [CrossRef]
- Chuong, N.N.; Hoang, X.L.T.; Nghia, D.H.T.; Dai, T.N.T.; Thi, V.A.L.; Thao, N.P. Protein Phosphatase Type 2C Functions in Phytohormone-Dependent Pathways and in Plant Responses to Abiotic Stresses. Curr. Protein Pept. Sci. 2021, 22, 430–440. [Google Scholar] [CrossRef]
- Kim, T.H. Mechanism of ABA Signal Transduction: Agricultural Highlights for Improving Drought Tolerance. J. Plant Biol. 2014, 57, 1–8. [Google Scholar] [CrossRef]
- Jung, C.; Nguyen, N.H.; Cheong, J.J. Transcriptional Regulation of Protein Phosphatase 2C Genes to Modulate Abscisic Acid Signaling. Int. J. Mol. Sci. 2020, 21, 9517. [Google Scholar] [CrossRef]
- Davies, W.J.; Wilkinson, S.; Loveys, B. Stomatal Control by Chemical Signalling and the Exploitation of This Mechanism to Increase Water Use Efficiency in Agriculture. New Phytol. 2002, 153, 449–460. [Google Scholar] [CrossRef]
- Liu, M.; Yu, H.; Zhao, G.; Huang, Q.; Lu, Y.; Ouyang, B. Profiling of Drought-Responsive microRNA and mRNA in Tomato Using High-Throughput Sequencing. BMC Genom. 2017, 18, 481. [Google Scholar] [CrossRef]
- Chu, C.; Wang, S.; Paetzold, L.; Wang, Z.; Hui, K.; Rudd, J.C.; Xue, Q.; Ibrahim, A.M.H.; Metz, R.; Johnson, C.D.; et al. RNA-seq Analysis Reveals Different Drought Tolerance Mechanisms in Two Broadly Adapted Wheat Cultivars ‘TAM 111’ and ‘TAM 112’. Sci. Rep. 2021, 11, 4301. [Google Scholar] [CrossRef]
- Khan, M.S. The Role of Dreb Transcription Factors in Abiotic Stress Tolerance of Plants. Biotechnol. Biotechnol. Equip. 2011, 25, 2433–2442. [Google Scholar] [CrossRef]
- Singh, K.; Chandra, A. DREBs-potential Transcription Factors Involve in Combating Abiotic Stress Tolerance in Plants. Biologia 2021, 76, 3043–3055. [Google Scholar] [CrossRef]
- Lata, C.; Prasad, M. Role of DREBs in Regulation of Abiotic Stress Responses in Plants. J. Exp. Bot. 2011, 62, 4731–4748. [Google Scholar] [CrossRef]
- Benny, J.; Pisciotta, A.; Caruso, T.; Martinelli, F. Identification of Key Genes and Its Chromosome Regions Linked to Drought Responses in Leaves across Different Crops through Meta-Analysis of RNA-Seq Data. BMC Plant Biol. 2019, 19, 194. [Google Scholar] [CrossRef] [PubMed]
- Saidi, M.N.; Mahjoubi, H.; Yacoubi, I. Transcriptome Meta-Analysis of Abiotic Stresses-Responsive Genes and Identification of Candidate Transcription Factors for Broad Stress Tolerance in Wheat. Protoplasma 2023, 260, 707–721. [Google Scholar] [CrossRef]
- Buti, M.; Baldoni, E.; Formentin, E.; Milc, J.; Frugis, G.; Lo Schiavo, F.; Genga, A.; Francia, E. A Meta-Analysis of Comparative Transcriptomic Data Reveals a Set of Key Genes Involved in the Tolerance to Abiotic Stresses in Rice. Int. J. Mol. Sci. 2019, 20, 5662. [Google Scholar] [CrossRef]
- Hou, J.; Huang, X.; Sun, W.; Du, C.; Wang, C.; Xie, Y.; Ma, Y.; Ma, D. Accumulation of Water-Soluble Carbohydrates and Gene Expression in Wheat Stems Correlates with Drought Resistance. J. Plant Physiol. 2018, 231, 182–191. [Google Scholar] [CrossRef]





| Varieties | Origin |
|---|---|
| Gala | NORIKA GMBH, Germany |
| Yagodnyi-19 | Northwest Agricultural Research Center |
| Aksor | “Kazakh Research Institute of Potato and Vegetables Growing”, LLP |
| Tyanshanskyi | “Kazakh Research Institute of Potato and Vegetables Growing”, LLP |
| Shagalaly | “Kazakh Research Institute of Potato and Vegetables Growing”, LLP × A.I. Barayev Research and Production Center for Grain Farming |
| Gene | Sequence | Reference |
|---|---|---|
| Actin | AGGAGCATCCTGTCCTCCTAA | [25] |
| CACCATCACCAGAGTCCAACA | ||
| Perox | AGCACTGATCCATCACATCCC | [52] |
| TGGTAGTTGGAAAGATTGAGAAGC | ||
| ER24 | GAATCAGGCATTGCGAGCTGAATCAGGCATT | [52] |
| GCCGCCTTCTTGTTCAATCGCCGCCTTCTTG | ||
| TAS14 | CAACAGCAGCTTCGTCGATCAACAGCAGCTT | [52] |
| CATGTCCTCCTCCTGGCATCATGTCCTCCTC | ||
| DREB147315 | TGTTCATGGATGAGGAAGCG | [6] |
| AACATTGGGGAGGAGGTAGCAT | ||
| PP2C | TCACCGATTGCTCGAGACA | [53] |
| GTCCCAATTCCTCTGTCCA | ||
| 102605413 | AGTGAAGCATTTCGTAGAGCCA | [54] |
| ACGATGAGTCATGGTTCTGCTT | ||
| NF-YC4 | CGGAGATACCCACCAACTCCGGAGATACCCA | [52] |
| AAAGCTCGGTGGAACTAGCAAAGCTCGGTGG |
| Varieties | (Fv/Fm) | PH | LR | NI | NL | NR | ||||||
|---|---|---|---|---|---|---|---|---|---|---|---|---|
| conc | p-Value | conc | p-Value | conc | p-Value | conc | p-Value | conc | p-Value | conc | p-Value | |
| Yagodnyi-19-C | 0.656 | 0.0156 | 11.3 | 0.0001 | 3.8 | 0.0015 | 8.6 | NS | 13.4 | 0.0176 | 14.4 | 0.0005 |
| Yagodnyi-19-PEG | 0.685 | 8.2 | 2.9 | 7.5 | 7.9 | 10.2 | ||||||
| 1-13 Gala-C | 0.685 | 0.0005 | 9.7 | 0.0002 | 4.5 | NS | 9.5 | NS | 11.2 | 0.046 | 12.9 | NS |
| Gala-PEG | 0.635 | 7.0 | 4.3 | 8.5 | 10.1 | 12.3 | ||||||
| Aksor-C | 0.686 | 0.0002 | 9.1 | 0.0001 | 4.1 | 0.0001 | 9.6 | 0.0001 | 11.1 | 0.0001 | 14.6 | 0.0001 |
| Aksor-PEG | 0.635 | 6.4 | 2.6 | 6.9 | 8.0 | 10.6 | ||||||
| Tyanshanskyi-C | 0.690 | 0.0001 | 12.3 | 0.0001 | 7.8 | 0.0001 | 8.3 | 0.0003 | 9.4 | 0.0001 | 12.6 | 0.0275 |
| Tyanshanskyi-PEG | 0.741 | 9.1 | 4.5 | 6.6 | 7.3 | 10.3 | ||||||
| Shagalaly-C | 0.690 | 0.0001 | 12.0 | 0.0001 | 5.2 | NS | 8.9 | 0.0001 | 10.6 | NS | 15.7 | 0.0001 |
| Shagalaly-PEG | 0.619 | 3.8 | 4.6 | 7.3 | 9.6 | 9.8 | ||||||
Disclaimer/Publisher’s Note: The statements, opinions and data contained in all publications are solely those of the individual author(s) and contributor(s) and not of MDPI and/or the editor(s). MDPI and/or the editor(s) disclaim responsibility for any injury to people or property resulting from any ideas, methods, instructions or products referred to in the content. |
© 2024 by the authors. Licensee MDPI, Basel, Switzerland. This article is an open access article distributed under the terms and conditions of the Creative Commons Attribution (CC BY) license (https://creativecommons.org/licenses/by/4.0/).
Share and Cite
Kanat, R.; Shamekova, M.; Sapakhova, Z.; Toishimanov, M.; Daurov, D.; Raissova, N.; Abilda, Z.; Daurova, A.; Zhambakin, K. Gene Expression Analysis for Drought Tolerance in Early Stage of Potato Plant Development. Biology 2024, 13, 857. https://doi.org/10.3390/biology13110857
Kanat R, Shamekova M, Sapakhova Z, Toishimanov M, Daurov D, Raissova N, Abilda Z, Daurova A, Zhambakin K. Gene Expression Analysis for Drought Tolerance in Early Stage of Potato Plant Development. Biology. 2024; 13(11):857. https://doi.org/10.3390/biology13110857
Chicago/Turabian StyleKanat, Rakhim, Malika Shamekova, Zagipa Sapakhova, Maxat Toishimanov, Dias Daurov, Nurgul Raissova, Zhanar Abilda, Ainash Daurova, and Kabyl Zhambakin. 2024. "Gene Expression Analysis for Drought Tolerance in Early Stage of Potato Plant Development" Biology 13, no. 11: 857. https://doi.org/10.3390/biology13110857
APA StyleKanat, R., Shamekova, M., Sapakhova, Z., Toishimanov, M., Daurov, D., Raissova, N., Abilda, Z., Daurova, A., & Zhambakin, K. (2024). Gene Expression Analysis for Drought Tolerance in Early Stage of Potato Plant Development. Biology, 13(11), 857. https://doi.org/10.3390/biology13110857

