- Article
Investigation of Methylene Blue Removal from Aqueous Solutions Using Biochar Derived from Mango and Pitanga Pruning Waste
- Mariana Consiglio Kasemodel,
- Valéria Guimarães Silvestre Rodrigues,
- João Marcos Ribeiro Farah Silva,
- Bruna Soares Campelo Vallim and
- Érica Leonor Romão
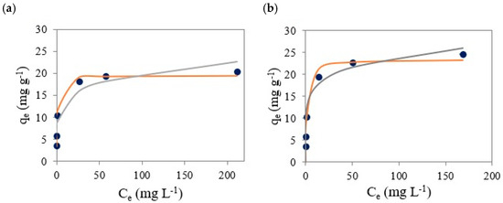
This research investigates the adsorption potential of mango and pitanga tree pruning waste biochar produced at 300 °C and 500 °C for the uptake of Methylene Blue (MB) dye. The particle size of biochar, initial MB concentration, adsorbent mas...

