Abstract
This research investigates the adsorption potential of mango and pitanga tree pruning waste biochar produced at 300 °C and 500 °C for the uptake of Methylene Blue (MB) dye. The particle size of biochar, initial MB concentration, adsorbent mass and pH of the solution were varied. Equilibrium data were modeled using Langmuir, Freundlich and Temkin equations. Increasing the temperature of the treatment resulted in a slight increase in the efficiency and adsorption capacity of the material. Finer particles (<0.25 mm) and pH (>6) were more efficient in adsorbing MB. Both materials presented similar modeled parameters for Langmuir, Freundlich and Temkin isotherm equations. The adsorption at equilibrium of MB is best described by Langmuir and Freundlich models, and the modeled maximum adsorption capacity values are 20.53 ± 5.47 mg g−1 for BTP-300 and 23.40 ± 6.41 mg g−1 for BTP-500, proving the biochar’s efficiency in the adsorption of MB and that the temperature of the thermochemical process did not affect qm.
1. Introduction
In water remediation, adsorption is a well-established and widely used technology due to its effectiveness, versatility and ease of use. However, adsorption treatment presents several challenges, including adsorbent selectivity, adsorption capacity and the reduction of problems associated with its acquisition, costs and waste disposal [1]. Research is underway to address these challenges, including the use of waste from different sources as raw material for the synthesis of adsorbents.
Additionally, the rapid development of agriculture has led to a significant increase in agricultural and forestry waste. The amount of agricultural waste generated worldwide in 2019 was about 20.3 billion tons [2]. Specifically, tree pruning is a waste generated by agriculture and municipalities. This waste is composed of leaves, seeds, fruits and stems, and the tree pruning from municipalities is usually disposed of improperly (causing biosecurity problems) or in landfills. However, this waste can be fully utilized for beneficial purposes, reducing the amount of solid waste and providing economic benefits [2,3].
In this way, tree pruning waste can be used to produce adsorbents for wastewater treatment, enabling the remediation of contaminated water and the reuse of waste, boosting the circular economy and sustainability. The production of adsorbents from organic waste can be carried out by a thermochemical process in an inert atmosphere to produce biochar, a porous solid containing carbon [4]. Due to their porous structures, resulting from thermal treatment and the biomass used, these materials can contain a large surface area available for adsorption or separation of components. Their surface charge is conducive to the retention of cations, such as some metals, pesticides, and synthetic organic dyes in aqueous solutions.
Recent studies have shown the use of biochar derived from the pruning of different tree species for the adsorption of various contaminants, such as pinewood biochar to remove petroleum [5]; forest and agri-food waste for the removal of fluoxetine [6]; oriental plane trees for the removal of bisphenol [7]; and Conocarpus pruning for the removal of Pb2+ [8]. The use of different pruning wastes, under varying thermochemical process, can yield materials with different adsorption capacities to remove a wide range of contaminants. However, no studies were found proposing the use of pruning waste biochar for the removal of dyes and the influence of particle size of the adsorbent in the adsorption process.
Among dyes, methylene blue (MB) is part of a class of reactive dyes with greater chemical stability [9]. MB is a frequently used heterocyclic molecule with the chemical formula C16H18N3Sl and maximum light absorption at approximately 665 nm. It is mainly used in the textile and hospital industries, due to its high solubility, brightness, resistance, and wide applicability [10]. This chemical compound is known to have teratogenic and embryotoxic effects [11]. Prolonged or high-level exposure may lead to more serious repercussions, such as methemoglobinemia [12]. Additionally, MB has been shown to be harmful to aquatic species such as fish, algae and invertebrates due to its ability to interfere with respiratory and metabolic functions [12]. Since synthetic organic dyes are not treated in conventional treatments, and they have the potential to harm ecosystems and living things, it is necessary to apply additional techniques, such as filtration, photochemical processes and adsorption, among others [13,14]. Amongst these methods, adsorption stands out as an efficient process.
Adsorption is based on the separation of a substance or compound in solid, liquid or gas phase through surface phenomena until an adsorbate–adsorbent equilibrium is reached. Strong chemical interactions between adsorbate molecules or ions and the surface of an adsorbent result in chemisorption, or chemical adsorption. This process is typically irreversible, as it often involves electron exchange between the adsorbate and the adsorbent. In contrast, physisorption, or physical adsorption, is largely reversible due to the presence of only weak van der Waals forces between the two phases. Several factors influence adsorption efficiency, including the adsorbent-to-adsorbate ratio, interactions between adsorbent particles, surface area of the adsorbent, temperature, pH and contact time [12,15]. Thus, these parameters are usually evaluated in adsorption studies to enhance the adsorption capacity and efficiency of adsorbent.
The adsorption capacity is associated with the number of adsorption sites present in the surface of the adsorbent. The analysis of adsorption mechanisms with new adsorbents is crucial for determining their application in water treatment. Typically, these mechanisms are assessed through conventional isotherm models, including Freundlich, Langmuir and Temkin [13,14,16,17]. The adsorption isotherm characterizes and predicts the quantity of adsorbed material as a function of pressure (or concentration) at a constant temperature [16]. The Langmuir model assumes homogeneous adsorption, while the Freundlich model is typically applied to studies of adsorption on multisite surfaces, whereas the Temkin model assumes a multilayer adsorption process [16].
The adsorption capacity of an adsorbent can be enhanced through the activation of biochar; however, this process can be onerous. A more cost-effective process to improve adsorption capacity is the selection of particle size and the use of different temperatures to produce biochar. Previous studies have reported that reducing the particle size of adsorbents leads to an increase in adsorption capacity [13,14,18]; whereas the efficiency is enhanced by the increase in temperature of the thermochemical process. To date, no studies have investigated the combined effects of particle size variation and thermochemical processes on the removal performance of biochar derived from tree pruning residues. Therefore, this study aims to address this research gap by evaluating the removal of emerging contaminant MB using biochar produced from the pruning of mango and pitanga trees under two temperatures and with varying particle sizes.
2. Materials and Methods
2.1. Production and Preparation of Biochar
The biomasses derived from mango and pitanga tree prunings used in this study were collected from Area 1 of the Lorena School of Engineering (EEL-USP, Lorena, Brazil) [19]. A total of 50 kg of biomass was collected. The material, consisting primarily of stems and leaves, was sun-dried and ground using a knife mill equipped with a 9 mm sieve. Pyrolysis was then performed under an inert nitrogen atmosphere at temperatures of 300 °C and 500 °C for 60 min [20,21]. The process was conducted three times on a laboratory scale using a reactor with a processing capacity of 350 g per batch. The resulting samples from each run were subsequently homogenized.
Thus, three samples were obtained: the biomass from tree prunings (raw material, called BTP-R), the biochar from tree prunings pyrolyzed at 300 °C (called BTP-300) and the biochar from tree pruning pyrolyzed at 500 °C (called BTP-500) (Figure 1). For the adsorption tests, the material was comminuted using a knife mill.
Figure 1.
Images of adsorbents (a) BTP-R, (b) BTP-300 and (c) BTP-500.
2.2. Physical–Chemical Characterization
The characterization tests of raw and pyrolyzed biomass were performed as described in Table 1. The tests were performed in triplicate, obtaining the mean values and standard deviations.
Table 1.
Physicochemical characterization tests performed on adsorbent materials.
2.3. Preparation of Biochar and MB Solution
MB solution was prepared using distilled water and MB of analytical grade (Synth®,, Diadema, Brazil). The natural pH of the solution was determined to be 6.0. The absorbance was determined in UV–Vis (model K37-UVVIS from KASVI, Pinhais, Brazil) and a quartz container with 10.0 mm optical path using 665 nm wavelength (Figure 2a). Concentration was calculated using Lambert–Beer equation and data from calibration curve (Figure 2b). Absorbance was measured up to a maximum value of 1.0. For samples with concentrations exceeding this limit, the solutions were diluted prior to analysis, and both concentration and absorbance values were adjusted using the corresponding dilution factor.
Figure 2.
(a) Absorption spectra of MB with varying concentrations and (b) calibration curve of MB.
Biochar samples were disintegrated with a knife mill and sieved to achieve particle target sizes of 1.25–2.00, 0.60–1.25, 0.40–0.60, 0.25–0.40 and <0.25 mm.
2.4. Sorption Studies with Methylene Blue
The sorption studies were carried out to evaluate the influence of the initial concentration of MB, the adsorbent mass, pH of the solution, the particle size of the adsorbent and the thermochemical process. For this purpose, batch equilibrium tests were performed in 15 mL Falcon tubes, where 0.10 g of adsorbent (BTP-R, BTP-300 and BTP-500) and 10 mL of MB solution were added. The proportion of 1:100 of biochar and solution was previously reported as an ideal portion of adsorbent and solution volume [13].
- Influence of initial dye concentration: To evaluate the influence of the initial MB concentration, the concentration of the dye solution was varied (25, 50, 100, 200 and 400 mg L−1), keeping the adsorbent mass (0.10 g) and the particle size fraction (<0.60 mm) fixed. This particle size was selected based on previous studies.
- Influence of adsorbent mass: to evaluate the influence of the adsorbent mass, the adsorbent mass was varied (0.01, 0.05, 0.10 and 0.20 g), keeping the initial concentration of MB (100 mg L−1) and the particle size fraction (<0.60 mm) fixed.
- Influence of initial pH: To evaluate the influence of the initial pH of the solution, the pH of the dye solution was varied using a 1 M NaOH and 1 M HCl solution to adjust pH to 2, 4, 6 (natural pH of the dye solution), 8 and 10. The adsorbent mass (0.10 g) and the particle size fraction (<0.60 mm) were kept constant.
- Influence of the particle size: To evaluate the influence of particle size, the particle diameter of the adsorbent was varied (1.25–2.00, 0.60–1.25, 0.40–0.60, 0.25–0.40 and <0.25 mm), keeping the initial concentration of MB (100 mg L−1) fixed. The concentration was selected based on the results obtained previously, on the influence of initial dye concentration.
- Influence of the thermochemical process: to evaluate the influence of the thermochemical process, the sorption studies were conducted with three different types of BTP (BTP-R, BTP-300 and BTP-500).
All tests were performed for a period of 24 h on a shaker adjusted to 100 rpm, room temperature (27 °C) and natural pH of the solution. The dye concentration was determined by UV spectrophotometer (model K37-UVVIS from KASVI) and a quartz container with 10.0 mm optical path using 665 nm wavelength. The absorbance of the samples in water (control) was also determined to assess whether the adsorbents eliminated any residue into the aqueous solution that could have affected the colorimetric analysis.
The adsorption percentage and the adsorption capacity at equilibrium time (after 24 h of testing), qe (mg g−1), were calculated using Equations (1) and (2), respectively:
where C0 and Ce are the initial concentration and equilibrium concentration of MB (mg L−1), respectively. V is the volume of solution containing MB (L), and m is the mass of adsorbent (g).
2.5. Isotherm Studies
The experimental equilibrium data were modeled by Langmuir, Freundlich and Temkin models, which were implemented for fitting the dye adsorption isotherm data.
The parameters of each model were determined using the nonlinear formulations presented in Equations (3)–(5):
where Ce (mg L−1) is the equilibrium concentration, qe (mg g−1) is adsorption capacity at equilibrium, qm (mg g−1) is the maximum adsorption capacity, KL (L mg−1) is a Langmuir constant related to the energy of adsorption, KF (mg g−1) (L mg−1)1/n is the Freundlich adsorption constant, 1/n is a measure of adsorption intensity, b (J mol−1) is Temkin constant related to adsorption heat, KT (L mg−1) is Temkin constant, R is the universal ideal gas constant (8.31 J mol−1 K−1), T (K) is the absolute adsorption temperature.
2.6. Desorption Studies
The adsorbents obtained from the pH adsorption tests were filtered and air-dried prior to desorption studies. Desorption experiments were carried out in 15 mL Falcon tubes containing 10 mL of distilled water and 0.10 ± 0.02 g of the previously used adsorbent [14,19]. The mixtures were agitated for 24 h, after which the absorbance was measured using a UV–Vis spectrophotometer (model K37-UVVIS, KASVI), as previously described. Desorption results were evaluated based on the equilibrium concentration of methylene blue (Ce).
3. Results and Discussion
3.1. Characterization of Adsorbent Materials
The physical–chemical characterization data of BTP-R, BTP-300 and BTP-500 are summarized in Table 2. BTP-R has an acidic pH (4.7 ± 0.0) and oxidizing characteristics (Eh = 140.0 ± 2.8 mV). As the material was subjected to the thermal process, an increase in its pH was noted, moving into the alkaline range, from 4.7 (BTP-R) to 10.2 (BTP-500). This change in pH is due to the carbonization process and increased salt concentration [24], also evident in the rise in EC, where an increase from 397.0 to 1643.5 µS cm−1 was noted (Table 2). With the thermal process, a change in the redox potential of the material was also observed, changing to reducing when pyrolyzed at 500 °C. ΔpH represents the balance of charges present on the surface of the material. In the case of the materials evaluated, negative values were obtained, indicating a predominance of negative charges on the surface of the material, which favors the adsorption of cations.
Table 2.
Physicochemical characterization parameters of adsorbents BTP-R, BTP-300 and BTP-500.
Shahrun et al. (2024) evaluated biochars produced from mango pruning residue and found an alkaline pH (10.0) and high electrical conductivity (34,600 µS cm−1) [25]. The authors report that the temperature in the reactor was 667 °C, which may have resulted in higher EC and pH values. Additionally, the reducing Eh was also observed in pruning waste biochar [26].
3.2. Influence of the Initial Concentration of Methylene Blue on the Adsorption Studies
The results of the evaluation of the adsorptive processes aiming to identify the influence of the initial concentration of MB are available in Figure 2.
BTP-R presented the highest removal rates in all tested concentrations, whereas BTP-300 and BTP-500 showed similar efficiencies. Although the high efficiencies indicate that BTP-R could potentially be used as an adsorbent, raw material is more perishable and subject to microbial activities.
The increase in the initial concentration of MB implied in a reduction in the removal efficiency (Figure 3), which was evident for the initial concentrations of 200 mg L−1 and 400 mg L−1. It was found that BTP-500 resulted in slightly more efficient material for adsorption than BTP-300. BTP-300 efficiencies greater than 99% were obtained for the lowest initial concentrations (25 to 100 mg L−1). At concentrations of 200 and 400 mg L−1, the efficiency was reduced to less than 80%. However, the adsorptive capacity was higher (approximately 24 mg g−1). In the case of BTP-500, an improvement in the removal efficiency of MB was observed, with efficiencies greater than 90% being obtained for concentrations of 25 to 200 mg L−1 and an adsorption capacity of 29 mg g−1 for the initial concentration of 400 mg L−1.
Figure 3.
Evaluation of the effect of the initial concentration of MB on the parameters removal efficiency and adsorption capacity (qe) after 24 h of testing for samples (a) BTP-R, (b) BTP-300 and (c) BTP-500.
The increase in the initial MB concentration resulted in an increase in the adsorptive capacity (Figure 3). This can be attributed to the increase in the initial concentration gradient of MB, which is the main driving force of adsorption [3].
3.3. Influence of the Mass of the Adsorbent on Adsorption Studies
The results of the evaluation of adsorptive processes aiming to identify the influence of the mass of the adsorbent on adsorption studies are available in Figure 4.
Figure 4.
Evaluation of effect of BTP mass on the parameters removal efficiency and adsorption capacity (qe) after 24 h of testing for samples (a) BTP-R, (b) BTP-300 and (c) BTP-500.
One of the key parameters that influences the rate of adsorption is the mass of the adsorbent. Increasing the adsorbent mass typically provides a greater number of vacant sites for adsorption, which is expected to enhance the adsorption rate. However, in most systems, this increase is not linear. Beyond a certain point, additional adsorbent mass does not proportionally increase the adsorption rate due to factors such as site saturation, particle agglomeration and mass transfer limitations [27]. In this study, it was observed that adsorbent mass equal or above 0.05 g per 10 mL of solution was sufficient to remove over 90% of the MB from the aqueous medium.
3.4. Influence of the pH of the Solution on Adsorption Studies
The results of the evaluation of adsorptive processes aiming to identify the influence of the pH of the solution on adsorption studies are available in Figure 5.
Figure 5.
Evaluation of the effect of the initial pH of the solution on the parameters removal efficiency and adsorption capacity (qe) after 24 h of testing for samples (a) BTP-R, (b) BTP-300 and (c) BTP-500.
The pH of the aqueous medium significantly influences the development of surface charges on the BTP biochar adsorbent, thereby affecting its adsorption capacity. This is because both physisorption and chemisorption are governed by the ionic strength and electrostatic compatibility between the adsorbent and adsorbate [28]. pH and electrostatic forces markedly affect the molecular structure and ionization state of dyes, thereby altering their interaction mechanisms with the adsorbent [28]. Biochar typically exhibits a net negative surface charge, primarily attributed to its functional moieties. Consequently, it shows a higher affinity for cationic dyes through electrostatic attraction. Thus, at a basic pH, the percentage adsorption was higher, which is attributable to MB being positively charged and BTP-300 and BTP-500 being negatively charged, governing the electrostatic interaction. However, this behavior was not observed for BTP-R, as adsorption was favorable in all pH conditions (Figure 5a).
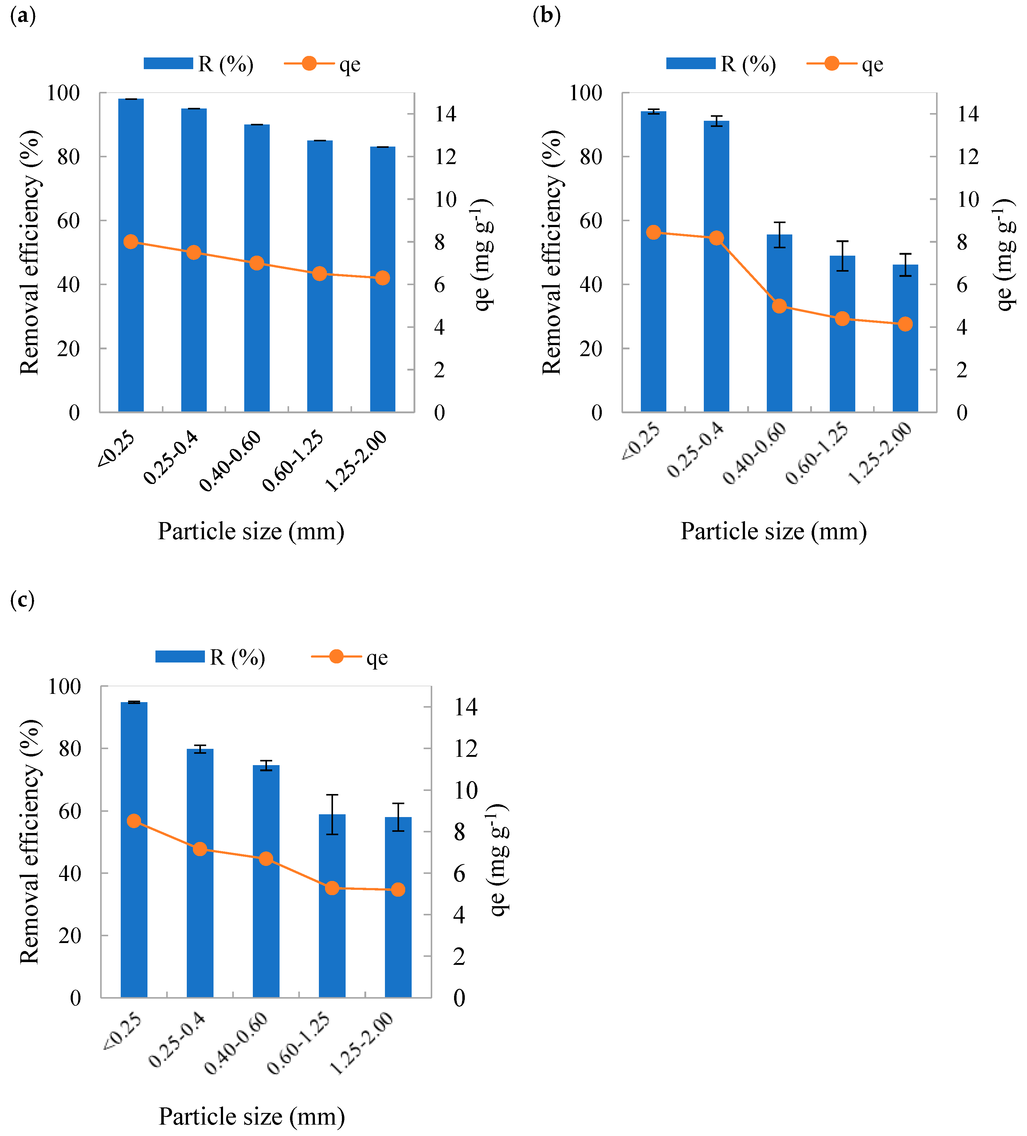
3.5. Influence of Adsorbent Particle Size on Adsorption Studies
In the BTP samples, it was found that when the average particle diameter was smaller, the removal efficiency was higher, implying a greater presence of adsorption sites in the finer particles (Figure 6). When the particle diameter was inferior to 0.25 mm, efficiencies greater than 95% were obtained for the BTP-R, BTP-300 and BTP-500 materials. On the other hand, for the largest particle sizes, lower efficiencies were observed, reaching less than 60% for materials with particle sizes from 0.60 to 2.00 mm. This indicates the importance of the particle size for the adsorption of MB onto BTP.
Figure 6.
Evaluation of the effect of the particle size of the adsorbents on the parameters removal efficiency and adsorption capacity (qe) after 24 h of testing for samples (a) BTP-R, (b) BTP-300 and (c) BTP-500.
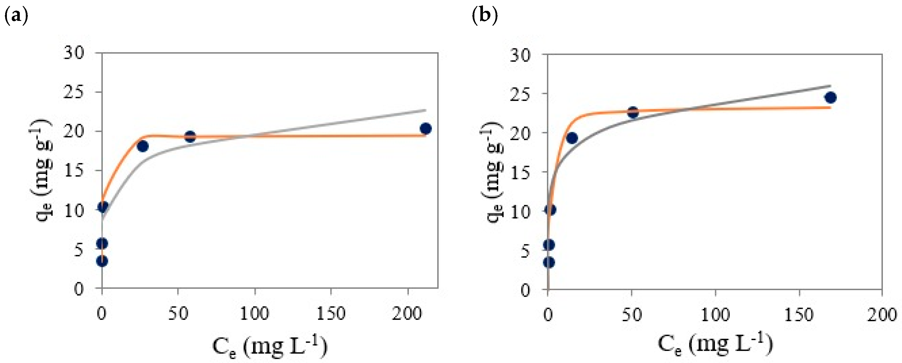
3.6. Isotherm Studies
To elucidate the relationship between BTP adsorption capacity and the equilibrium concentration of MB in solution, three adsorption isotherm models—Langmuir, Freundlich and Temkin—were employed. The modeling results are illustrated in Figure 7, and the estimated isotherm parameters are provided in Table 3.
Figure 7.
Isotherm modeling of experimental data for samples (a) BTP-300 and (b) BTP-500.
Table 3.
Comparative analysis of adsorption isotherm models and parameters for MB removal using BTP.
The adsorption parameters obtained by the modeling of experimental data for BTP-300 and BTP-500 were very similar. The adsorption of MB onto BTP-300 (R2 = 0.9855) and BTP-500 (R2 = 0.9691) is best described by Langmuir model.
Langmuir assumes monolayer adsorption and is widely used to predict qm. The maximum (monolayer) adsorption capacity, qm, was 20.53 ± 5.47 mg g−1 for BTP-300 and 23.40 ± 6.41 mg g−1 for BTP-500 (Table 3). The Langmuir model assumes that adsorption and desorption rates are equal at equilibrium, and the constant KL reflects the ratio of these rate constants, serving as an indicator of the strength of the interaction between adsorbate molecules and the adsorbent surface. In the modeling of equilibrium data, it was observed that the temperature of the thermochemical process did not significantly influence the maximum adsorption capacity (qm). Specifically, the biochar produced at 300 °C through slow pyrolysis exhibited a qm comparable to that obtained at 500 °C. This result suggests that the torrefaction process, which requires lower energy input, yields an adsorbent with similar performance to that produced under higher-energy conditions. Consequently, the use of this material presents a more energy-efficient and sustainable option, aligning with the United Nations Sustainable Development Goals (SDGs).
The Freundlich isotherm assumes multilayer adsorption on a heterogeneous surface, where the parameter n reflects the energetic heterogeneity of the adsorbent. When n = 1, adsorption is linear, indicating that the amount of adsorbate is directly proportional to its concentration. Values of 1 < n ≤ 10 suggest favorable adsorption, whereas values of 0 < n < 1 indicate unfavorable adsorption. For both materials analyzed, 1 < n ≤ 10, indicating a favorable adsorption process.
Finally, the Temkin isotherm accounts for the decrease in adsorption energy as the process progresses. The parameter b is related to the heat of adsorption; when b is less than 8 kJ mol−1, the adsorption is considered physical. The b value obtained for BTP was below this threshold, indicating that the adsorption process is predominantly physical.
The increase in the temperature of the pyrolisis process did not affect the Langmuir, Freundlich and Temkin isothermal parameters. However, it did affect the physicochemical parameters (Table 2). When the temperature of the pyrolisis is increased, the formation of a more porous structure is expected, which can provide more adsorption sites due to the increase in the specific surface area. However, biochar produced at lower temperatures comprehends more oxygen-containing functional groups [29], which can favor chemical covalent bonds. A more detailed surficial characterization is indicated to comprehend the effect of the thermochemical process on these structures.
Thus, in this study it was found that 300 °C is a more suitable temperature for the production of BTP for the adsorption of MB, considering the lower energy intake and the high removal efficiency. A lower energy intake also implies a lower cost for the production of biochar. The biomass used in this study is a residue generated in the university, implying in a cost-free material, for which the cost of the product is associated only with the grinding and thermochemical process. Additionally, in the isotherm studies using particle sizes < 0.60 mm, the qm values of BTP-300 and BTP-500 were equal, which indicates once again the benefit of using torrefied biochar.
3.7. Desorption Studies
Desorption results are presented in Figure 8. MB desorption increased at lower (more acidic) initial pH values. This trend suggests that the adsorption process may be predominantly physical in nature, as indicated by the b parameter from the Temkin isotherm model. Among the materials tested, those subjected to thermal–chemical treatment (BTP-300 and BTP-500) exhibited higher adsorption efficiency and lower desorption rates—an advantageous combination for potential reuse of the adsorbents in multiple adsorption cycles. BTP-R presented high removal efficiency and low desorption rates, but it is subject to biodegradation.
Figure 8.
Desorption studies with varying initial pH conditions.
4. Conclusions
In this study, the adsorption potential of two materials from mango and pitanga tree prunings (BTP-300 and BTP-500) was characterized and evaluated. Increasing the temperature of the thermochemical process (from 300 °C to 500 °C) made the materials alkaline and reducing.
In the adsorption studies, it was found that the initial concentration of MB, mass of adsorbent and pH conditions directly influence the process. Increasing the temperature of the treatment resulted in a slight increase in the efficiency and adsorption capacity of the material, whereas increasing the initial concentration of MB resulted in a reduction in the efficiency of the process, especially considering the concentration of 400 mg L−1. The granulometry of the material directly influenced the adsorption process, with finer materials (mainly those with a diameter of less than 0.25 mm) being more efficient in adsorbing MB from the solution.
Both materials presented similar modeled parameters for Langmuir, Freundlich and Temkin isotherm equations. The adsorption at equilibrium of MB onto BTP-300 and BTP-500 is best described by the Langmuir model, and the modeled maximum adsorption capacities were 20.53 ± 5.47 mg g−1 for BTP-300 and 23.40 ± 6.41 mg g−1 for BTP-500, proving the biochar’s efficiency in the adsorption of MB.
Author Contributions
Conceptualization, M.C.K., É.L.R. and V.G.S.R.; methodology, M.C.K., B.S.C.V. and É.L.R.; formal analysis, M.C.K., V.G.S.R., B.S.C.V. and É.L.R.; investigation, M.C.K., V.G.S.R., J.M.R.F.S., B.S.C.V. and É.L.R.; resources, M.C.K., V.G.S.R. and É.L.R.; data curation, M.C.K., V.G.S.R., J.M.R.F.S. and É.L.R.; writing—original draft preparation, M.C.K. and J.M.R.F.S.; writing—review and editing, M.C.K., V.G.S.R. and É.L.R.; visualization, M.C.K., É.L.R. and V.G.S.R.; supervision, M.C.K., V.G.S.R. and É.L.R.; project administration, M.C.K.; funding acquisition, M.C.K., V.G.S.R. and É.L.R. All authors have read and agreed to the published version of the manuscript.
Funding
This research was funded by Conselho Nacional de Desenvolvimento Científico e Tecnológico (CNPq) grant number 403924/2021-9 and Fundação de Amparo a Pesquisa do Estado de São Paulo grant number 2023/12078-6.
Institutional Review Board Statement
Not applicable.
Informed Consent Statement
Not applicable.
Data Availability Statement
The original contributions presented in this study are included in the article. Further inquiries can be directed to the corresponding author.
Conflicts of Interest
The authors declare no conflicts of interest.
Abbreviations
The following abbreviations are used in this manuscript:
| BTP | Biochar tree pruning |
| MB | Methylene blue |
| Adsorption capacity at equilibrium | |
| Adsorption efficiency at equilibrium |
References
- Fdez-Sanromán, A.; Pazos, M.; Rosales, E.; Sanromán, M.Á. Advancing in wastewater treatment using sustainable electrosorbents. Curr. Opin. Electrochem. 2024, 44, 101450. [Google Scholar] [CrossRef]
- Yu, S.; Zhang, W.; Dong, X.; Wang, F.; Yang, W.; Liu, C.; Chen, D. A review on recent advances of biochar from agricultural and forestry wastes: Preparation, modification and applications in wastewater treatment. J. Environ. Chem. Eng. 2024, 12, 111638. [Google Scholar] [CrossRef]
- Saleem, M. Sustainable production of activated carbon from indigenous Acacia etbaica tree branches employing microwave induced and low temperature activation. Heliyon 2024, 10, e24113. [Google Scholar] [CrossRef]
- Dong, X.; Chu, Y.; Tong, Z.; Sun, M.; Meng, D.; Yi, X.; Gao, T.; Wang, M.; Duan, J. Mechanisms of adsorption and functionalization of biochar for pesticides: A review. Ecotoxicol. Environ. Saf. 2024, 272, 116019. [Google Scholar] [CrossRef]
- Gurav, R.; Bhatia, S.K.; Choi, T.-R.; Choi, Y.-K.; Kim, H.J.; Song, H.-S.; Park, S.L.; Lee, H.S.; Lee, S.M.; Choi, K.-Y.; et al. Adsorptive removal of crude petroleum oil from water using floating pinewood biochar decorated with coconut oil-derived fatty acids. Sci. Total Environ. 2021, 781, 146636. [Google Scholar] [CrossRef]
- Fernandes, M.J.; Moreira, M.M.; Paíga, P.; Dias, D.; Bernardo, M.; Carvalho, M.; Lapa, N.; Fonseca, I.; Morais, S.; Figueiredo, S.; et al. Evaluation of the adsorption potential of biochars prepared from forest and agri-food wastes for the removal of fluoxetine. Bioresour. Technol. 2019, 292, 121973. [Google Scholar] [CrossRef]
- Fang, Z.; Gao, Y.; Zhang, F.; Zhu, K.; Shen, Z.; Liang, H.; Xie, Y.; Yu, C.; Bao, Y.; Feng, B.; et al. The adsorption mechanisms of oriental plane tree biochar toward bisphenol S: A combined thermodynamic evidence, spectroscopic analysis and theoretical calculations. Environ. Pollut. 2022, 310, 119819. [Google Scholar] [CrossRef] [PubMed]
- Shafiq, M.; Alazba, A.A.; Amin, M.T. Eco-friendly nanocomposite of manganese-iron and plant waste derived biochar for optimizing Pb2+ adsorption: A response surface methodology approach. Desalination Water Treat. 2025, 322, 101091. [Google Scholar] [CrossRef]
- Carvalho, A.P.; Costa, J.; Martins, A.; Fonseca, A.M.; Neves, I.C.; Nunes, N. Zeolite Modification for Optimizing Fenton Reaction in Methylene Blue Dye Degradation. Colorants 2025, 4, 10. [Google Scholar] [CrossRef]
- Lermen, A.M.; Fronza, C.S.; Diel, J.C.; Schein, D.; Clerici, N.J.; Guimarães, R.E.; Boligon, S.D.; Scher, A.C. A utilização de resíduos agroindustriais para adsorção do corante azul de metileno: Uma breve revisão / The use of agro-industrial waste for adsorption of the blue dye of methylene: A brief review. Braz. Appl. Sci. Rev. 2021, 5, 273–288. [Google Scholar] [CrossRef]
- Chahal, M.; Kumari, S.; Bhattacharya, A.; Garg, M.C. Evaluating sustainable agricultural waste biomass for methylene blue adsorption in wastewater treatment: A state-of-the-art review. Bioresour. Technol. Rep. 2024, 28, 101983. [Google Scholar] [CrossRef]
- Al-Asadi, S.T.; Mussa, Z.H.; Al-Qaim, F.F.; Kamyab, H.; Al-Saedi, H.F.S.; Deyab, I.F.; Kadhim, N.J. A comprehensive review of methylene blue dye adsorption on activated carbon from edible fruit seeds: A case study on kinetics and adsorption models. Carbon. Trends 2025, 20, 100507. [Google Scholar] [CrossRef]
- Kasemodel, M.C.; Romão, E.L.; Bueno, T.; Papa, R. Adsorption of methylene blue on babassu coconut (Orbignya speciosa) mesocarp commercial biochar. Int. J. Environ. Sci. Technol. 2024, 21, 1671–1682. [Google Scholar] [CrossRef]
- Domingues, N.S.; Romão, E.L.; Alvim, D.S.; Marques, J.P.; Rodrigues, V.G.S.; Kasemodel, M.C. Use of Construction and Demolition Waste for the Treatment of Dye-Contaminated Water Toward Circular economy. Water Air Soil. Pollut. 2024, 235, 663. [Google Scholar] [CrossRef]
- Damahe, D.; Mayilswamy, N.; Kandasubramanian, B. Biochar/metal nanoparticles-based composites for Dye remediation: A review. Hybrid. Adv. 2024, 6, 100254. [Google Scholar] [CrossRef]
- Majd, M.M.; Kordzadeh-Kermani, V.; Ghalandari, V.; Askari, A.; Sillanpää, M. Adsorption isotherm models: A comprehensive and systematic review (2010−2020). Sci. Total Environ. 2022, 812, 151334. [Google Scholar] [CrossRef] [PubMed]
- da Silva Antunes Martins, R.; da Silva, M.R.M.; Lourenço, M.A.D.S.; Kasemodel, M.C. Evaluation of the adsorption potential of iron mining tailing and its effect on raphanus sativus germination. Eng. Sanit. Ambient. 2024, 29, e20230150. [Google Scholar] [CrossRef]
- Zhang, M.; Wang, W.; Lv, Z.; Wang, S. Effects of particle size on the adsorption behavior and antifouling performance of magnetic resins. Environ. Sci. Pollut. Res. 2023, 30, 11926–11935. [Google Scholar] [CrossRef]
- Kasemodel, M.C.; de Aguiar, L.G.; Rodrigues, V.G.S.; Romão, É.L. The Investigation of the Adsorption of Methylene Blue from Water by Torrefied Biomass. Colorants 2025, 4, 21. [Google Scholar] [CrossRef]
- Nhuchhen, D.; Basu, P.; Acharya, B. A Comprehensive Review on Biomass Torrefaction. Int. J. Renew. Energy Biofuels 2014, 2014, 506376. [Google Scholar] [CrossRef]
- Tumuluru, J.S.; Ghiasi, B.; Soelberg, N.R.; Sokhansanj, S. Biomass Torrefaction Process, Product Properties, Reactor Types, and Moving Bed Reactor Design Concepts. Front. Energy Res. 2021, 9, 728140. [Google Scholar] [CrossRef]
- Teixeira, P.C.; Donagemma, G.K.; Fontana, A.; Teixeira, W.G. Revista e Ampliada. Available online: https://www.embrapa.br (accessed on 11 September 2025).
- De Camargo, O.A.; Moniz, A.C.; Jorge, J.A.; Valadares, J.M.A.S. Métodos de Análise Química, Mineralógica e Física de Solos. Governo Do Estado de São Paulo Secretaria de Agricultura e Abastecimento Coordenadoria da Pesquisa Agropecuária Instituto Agronômico. 2009. Available online: https://www.iac.sp.gov.br (accessed on 11 September 2025).
- Singh, R.; Goyal, A.; Sinha, S. Global insights into biochar: Production, sustainable applications, and market dynamics. Biomass Bioenergy 2025, 194, 107663. [Google Scholar] [CrossRef]
- Shahrun, M.S.; Rahman, M.H.A.; Baharom, N.A.; Jumat, F.; Saad, M.J.; Mail, M.F.; Zawawi, N.Z.; Suherman, F.H.S. Design of a pyrolysis system and the characterisation data of biochar produced from coconut shells, carambola pruning, and mango pruning using a low-temperature slow pyrolysis process. Data Brief 2024, 52, 109997. [Google Scholar] [CrossRef] [PubMed]
- Marques, J.P.; Vaz, C.M.P.; Rodrigues, V.G.S. Characterization of mixtures of Brazilian Ultisol with urban pruning waste biochar at two different proportions. J. Soils Sediments 2024, 24, 3610–3625. [Google Scholar] [CrossRef]
- Azizian, S.; Eris, S. Adsorption isotherms and kinetics. Interface Sci. Technol. 2021, 33, 445–509. [Google Scholar] [CrossRef]
- Choudhury, P.; Manna, M.S.; Nag, S. A critical review on green synthesis and modification techniques of biochar: Comparison of efficacies towards adsorption capacities. Biomass Bioenergy 2025, 198, 107859. [Google Scholar] [CrossRef]
- Lin, S.L.; Zhang, H.; Chen, W.H.; Song, M.; Kwon, E.E. Low-temperature biochar production from torrefaction for wastewater treatment: A review. Bioresour. Technol. 2023, 387, 129588. [Google Scholar] [CrossRef]
Disclaimer/Publisher’s Note: The statements, opinions and data contained in all publications are solely those of the individual author(s) and contributor(s) and not of MDPI and/or the editor(s). MDPI and/or the editor(s) disclaim responsibility for any injury to people or property resulting from any ideas, methods, instructions or products referred to in the content. |
© 2025 by the authors. Licensee MDPI, Basel, Switzerland. This article is an open access article distributed under the terms and conditions of the Creative Commons Attribution (CC BY) license (https://creativecommons.org/licenses/by/4.0/).







