The Role of Perylene Diimide Dyes as Cellular Imaging Agents and for Enhancing Phototherapy Outcomes
Abstract
1. Introduction
2. General Synthetic Routes
3. Photophysics of PDIs

4. Synthesis of Water-Soluble PDI Derivatives
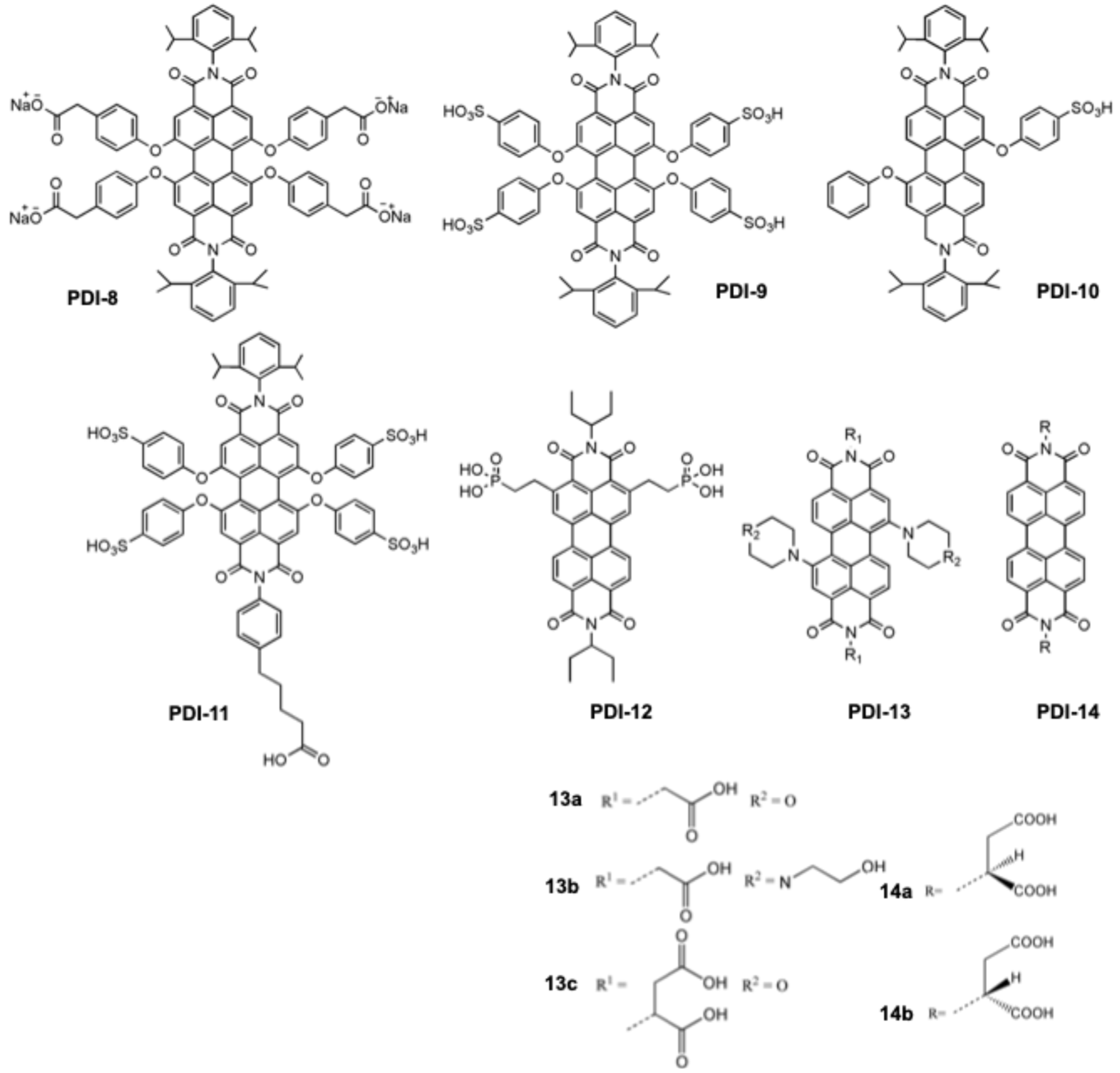
4.1. Substituting with Anionic Groups
4.2. Substituting with Cationic Groups
4.3. PDI Derivatives with Non-Ionic Substituents
5. Biomedical Application of PDI
5.1. Biosensing Applications
5.2. Bioimaging Applications
5.2.1. PDI Molecules as Bioimaging Agents
5.2.2. PDI Nanoparticles as Bioimaging Agents
5.3. Photoacoustic-Based Imaging (PAI)
5.4. PDI NPs for Cellular pH Measurements
6. PDIs for Drug Delivery and Cancer Therapy

| Material Used | Target Site | Type of Treatment | Highlight of the Work | Ref |
|---|---|---|---|---|
| Au@PPDI/PEG | U87MG tumor-bearing mice | PTT/PA imaging | This nanovesicle enhanced the PTT and PA signal intensity at tumor site with 3.5 times higher signal intensity than individual PDI or AuNPs. | [114] |
| PDI-58 NPs | Lymph nodes and U87MG tumors | PA/PTT/PET | NPs showed enhanced imaging capability using PET and PA at the lymph node and allowed tumor imaging. In vivo PTT studies showed tumor suppression with excellent biocompatibility. | [116] |
| PDI-59 NPS@SN38 | U87MG tumor-bearing mice | FL/PA/PET/Chemo-PTT | Multimode imaging for tumor with slow release of drug SN38 under laser irradiation. The NPs showed simultaneous effect of PTT and chemo application for the suppression of tumor. | [117] |
| PDI-60 NPs | U87MG tumor mice | PA/Chemo | NPs showed pH-sensitive release for DOX at tumor site with enhanced PA imaging capability and chemotherapy application. The NPs showed ratiometric PA signal intensity at tumor site. | [119] |
| PDI–IR790s–Fe/Pt | U87MG xenograft tumor | PA/Chemo/ROS scavenging | This probe showed simultaneous generation and ratiometric PA signals for ROS at tumor site. Cis-platin loaded this nanocarrier and showed a chemotherapeutical effect. | [120] |
| PS-PDI-PAnD | U87MG cells and mice model | PA/PTT-PDT | Exhibited a dual-modal PA/US imaging-guided synergistic photothermal and oxygen self-enriched photodynamic treatment, resulting in complete tumor eradication and minimal side effects. | [121] |
| PDI-61@P2 | 4T1 xenograft tumor-bearing mice | Chemo | Stimuli responsive release of camptothecin drug at tumor site with glutathione and pH. | [122] |
| Triphenylamine-PDI NPs | A549 cells | PA/PTT/PDT | NPs showed excellent photothermal conversion efficiency (η = 46.1%) with high singlet oxygen generation in tumor cells. | [123] |
| Rhenium(I)–Polypyridine PDI complexes | HeLa cells | FL/PDT | Used for bioimaging applications and for biothiol sensing. Showed in vitro PDT applications using HeLa cells. | [124] |
| PDS-PDI | MDA-MB-231 tumor-bearing mice | PDT/PTT | PDS-PDI generates hyperthermal, singlet oxygen, and strong PA signals. Showed enhanced tumor suppression by a simultaneous PDT-PTT effect for in vitro and in vivo conditions. | [127] |
| PDS-PDI hydrogel | 4T1 tumor model mice | Chemo/PTT | Excellent NIR light based on–off mechanism for release of DOX compared with other reports. The 3D hydrogel network allowed sustained release pf DOX with enhanced PTT effect by PDI derivatives at tumor site. | [128] |
| PDI-CS and PDI-TS NPs | A549 xenografted tumor mice | PDT/PTT | High rate in tumor suppression with both PDT and PTT effect. They possess a photothermal conversion efficiency of 58.4%. | [129] |
7. Conclusions
8. Future Directions
Funding
Institutional Review Board Statement
Informed Consent Statement
Data Availability Statement
Acknowledgments
Conflicts of Interest
References
- Chen, S.; Xue, Z.; Gao, N.; Yang, X.; Zang, L. Perylene Diimide-Based Fluorescent and Colorimetric Sensors for Environmental Detection. Sensors 2020, 20, 917. [Google Scholar] [CrossRef] [PubMed]
- Krupka, O.; Hudhomme, P. Recent Advances in Applications of Fluorescent Perylenediimide and Perylenemonoimide Dyes in Bioimaging, Photothermal and Photodynamic Therapy. Int. J. Mol. Sci. 2023, 24, 6308. [Google Scholar] [CrossRef] [PubMed]
- Chen, S.; Zhou, M.; Zhu, L.; Yang, X.; Zang, L. Architectures and Mechanisms of Perylene Diimide-Based Optical Chemosensors for pH Probing. Chemosensors 2023, 11, 293. [Google Scholar] [CrossRef]
- Soh, N.; Ueda, T. Perylene Bisimide as a Versatile Fluorescent Tool for Environmental and Biological Analysis: A Review. Talanta 2011, 85, 1233–1237. [Google Scholar] [CrossRef]
- Liu, K.; Xu, Z.; Yin, M. Perylenediimide-Cored Dendrimers and Their Bioimaging and Gene Delivery Applications. Prog. Polym. Sci. 2015, 46, 25–54. [Google Scholar] [CrossRef]
- Zhao, Z.; Xu, N.; Wang, Y.; Ling, G.; Zhang, P. Perylene Diimide-Based Treatment and Diagnosis of Diseases. J. Mater. Chem. B 2021, 9, 8937–8950. [Google Scholar] [CrossRef]
- Sun, M.; Müllen, K.; Yin, M. Water-Soluble Perylenediimides: Design Concepts and Biological Applications. Chem. Soc. Rev. 2016, 45, 1513–1528. [Google Scholar] [CrossRef]
- Zhao, Y.; Zhang, X.; Li, D.; Liu, D.; Jiang, W.; Han, C.; Shi, Z. Water-soluble 3,4:9,10-perylene Tetracarboxylic Ammonium as a High-performance Fluorochrome for Living Cells Staining. Luminescence 2009, 24, 140–143. [Google Scholar] [CrossRef]
- Zhou, W.; He, D.D.; Zhang, K.; Liu, N.; Li, Y.; Han, W.; Zhou, W.; Li, M.; Zhang, S.; Huang, H.; et al. A Perylene Diimide Probe for NIR-II Fluorescence Imaging Guided Photothermal and Type I/Type II Photodynamic Synergistic Therapy. Biosens. Bioelectron. 2024, 259, 116424. [Google Scholar] [CrossRef]
- Özçil, F.; Yükrük, F. Evaluation of Singlet Oxygen Generators of Novel Water-Soluble Perylene Diimide Photosensitizers. RSC Adv. 2023, 13, 15416–15420. [Google Scholar] [CrossRef]
- Sun, H.; Zhang, Q. Recent Advances in Perylene Diimides (PDI)-based Small Molecules Used for Emission and Photothermal Conversion. ChemPhotoChem 2024, 8, e202300213. [Google Scholar] [CrossRef]
- Cheng, H.; Qu, B.; Qian, C.; Xu, M.; Zhang, R. Synthesis, Fluorescence Property and Cell Imaging of a Perylene Diimide-Based NIR Fluorescent Probe for Hypochlorite with Dual-Emission Fluorescence Responses. Mater. Adv. 2020, 1, 814–819. [Google Scholar] [CrossRef]
- Görl, D.; Zhang, X.; Würthner, F. Molecular Assemblies of Perylene Bisimide Dyes in Water. Angew. Chem. Int. Ed. 2012, 51, 6328–6348. [Google Scholar] [CrossRef]
- Laine, R.F.; Sinnige, T.; Ma, K.Y.; Haack, A.J.; Poudel, C.; Gaida, P.; Curry, N.; Perni, M.; Nollen, E.A.A.; Dobson, C.M.; et al. Fast Fluorescence Lifetime Imaging Reveals the Aggregation Processes of α-Synuclein and Polyglutamine in Aging Caenorhabditis elegans. ACS Chem. Biol. 2019, 14, 1628–1636. [Google Scholar] [CrossRef]
- Su, P.; Ran, G.; Wang, H.; Yue, J.; Kong, Q.; Bo, Z.; Zhang, W. Intramolecular and Intermolecular Interaction Switching in the Aggregates of Perylene Diimide Trimer: Effect of Hydrophobicity. Molecules 2023, 28, 3003. [Google Scholar] [CrossRef]
- Cho, J.; Keum, C.; Lee, S.-G.; Lee, S.-Y. Aggregation-Driven Fluorescence Quenching of Imidazole-Functionalized Perylene Diimide for Urea Sensing. Analyst 2020, 145, 7312–7319. [Google Scholar] [CrossRef]
- Hu, Y.; Wang, K.; Wang, Y.; Ma, L. Perylene Imide Derivatives: Structural Modification of Imide Position, Aggregation Caused Quenching Mechanism, Light-Conversion Quality and Photostability. Dye. Pigment. 2023, 210, 110948. [Google Scholar] [CrossRef]
- Wu, J.; Peng, M.; Mu, M.; Li, J.; Yin, M. Perylene Diimide Supramolecular Aggregates: Constructions and Sensing Applications. Supramol. Mater. 2023, 2, 100031. [Google Scholar] [CrossRef]
- Rostami-Tapeh-Esmail, E.; Golshan, M.; Salami-Kalajahi, M.; Roghani-Mamaqani, H. Perylene-3,4,9,10-Tetracarboxylic Diimide and Its Derivatives: Synthesis, Properties and Bioapplications. Dye. Pigment. 2020, 180, 108488. [Google Scholar] [CrossRef]
- Nowak-Król, A.; Würthner, F. Progress in the Synthesis of Perylene Bisimide Dyes. Org. Chem. Front. 2019, 6, 1272–1318. [Google Scholar] [CrossRef]
- Kardos, M. Über Einige Aceanthrenchinon-Und 1.9-Anthracen-Derivate. Ber. Dtsch. Chem. Ges. 1913, 46, 2086–2091. [Google Scholar] [CrossRef]
- Langhals, H. Cyclic Carboxylic Imide Structures as Structure Elements of High Stability. Novel Developments in Perylene Dye Chemistry. Heterocycles 1995, 40, 477. [Google Scholar] [CrossRef]
- Langhals, H. Synthese von Hochreinen Perylen-Fluoreszenzfarbstoffen in Großen Mengen—Gezielte Darstellung von Atrop-Isomeren. Chem. Ber. 1985, 118, 4641–4645. [Google Scholar] [CrossRef]
- Würthner, F. Perylene Bisimide Dyes as Versatile Building Blocks for Functional Supramolecular Architectures. Chem. Commun. 2004, 35, 1564–1579. [Google Scholar] [CrossRef]
- Fukuzumi, S.; Ohkubo, K.; Ortiz, J.; Gutiérrez, A.M.; Fernández-Lázaro, F.; Sastre-Santos, Á. Formation of a Long-Lived Charge-Separated State of a Zinc Phthalocyanine-Perylenediimide Dyad by Complexation with Magnesium Ion. Chem. Commun. 2005, 30, 3814. [Google Scholar] [CrossRef]
- Nagao, Y. Synthesis and Properties of Perylene Pigments. Prog. Org. Coat. 1997, 31, 43–49. [Google Scholar] [CrossRef]
- Wicklein, A.; Kohn, P.; Ghazaryan, L.; Thurn-Albrecht, T.; Thelakkat, M. Synthesis and Structure Elucidation of Discotic Liquid Crystalline Perylene Imide Benzimidazole. Chem. Commun. 2010, 46, 2328. [Google Scholar] [CrossRef]
- Kwakernaak, M.C.; Koel, M.; Van Den Berg, P.J.L.; Kelder, E.M.; Jager, W.F. Room Temperature Synthesis of Perylene Diimides Facilitated by High Amic Acid Solubility. Org. Chem. Front. 2022, 9, 1090–1108. [Google Scholar] [CrossRef] [PubMed]
- Baumgartner, B.; Svirkova, A.; Bintinger, J.; Hametner, C.; Marchetti-Deschmann, M.; Unterlass, M.M. Green and Highly Efficient Synthesis of Perylene and Naphthalene Bisimides in Nothing but Water. Chem. Commun. 2017, 53, 1229–1232. [Google Scholar] [CrossRef]
- Cao, Q.; Crawford, D.E.; Shi, C.; James, S.L. Greener Dye Synthesis: Continuous, Solvent-Free Synthesis of Commodity Perylene Diimides by Twin-Screw Extrusion. Angew. Chem. Int. Ed. 2020, 59, 4478–4483. [Google Scholar] [CrossRef]
- Moura, H.M.; Peterlik, H.; Unterlass, M.M. Green Hydrothermal Synthesis Yields Perylenebisimide–SiO2 Hybrid Materials with Solution-like Fluorescence and Photoredox Activity. J. Mater. Chem. A 2022, 10, 12817–12831. [Google Scholar] [CrossRef] [PubMed]
- Wang, H.Z.; Ning, L.G.; Lv, W.Y.; Xiao, L.; Li, C.M.; Lu, Z.S.; Wang, B.; Xu, L.Q. Green Synthesis of Perylene Diimide-Based Nanodots for Carbon Dioxide Sensing, Antibacterial Activity Prediction and Bacterial Discrimination. Dye. Pigment. 2020, 176, 108245. [Google Scholar] [CrossRef]
- Aivali, S.; Tsimpouki, L.; Anastasopoulos, C.; Kallitsis, J.K. Synthesis and Optoelectronic Characterization of Perylene Diimide-Quinoline Based Small Molecules. Molecules 2019, 24, 4406. [Google Scholar] [CrossRef] [PubMed]
- Zhang, J.; Singh, S.; Hwang, D.K.; Barlow, S.; Kippelen, B.; Marder, S.R. 2-Bromo Perylene Diimide: Synthesis Using C–H Activation and Use in the Synthesis of Bis(Perylene Diimide)–Donor Electron-Transport Materials. J. Mater. Chem. C 2013, 1, 5093. [Google Scholar] [CrossRef]
- Ganesamoorthy, R.; Vijayaraghavan, R.; Ramki, K.; Sakthivel, P. Synthesis, Characterization of Bay-Substituted Perylene Diimide Based D-A-D Type Small Molecules and Their Applications as a Non-Fullerene Electron Acceptor in Polymer Solar Cells. J. Sci. Adv. Mater. Devices 2018, 3, 99–106. [Google Scholar] [CrossRef]
- Siddiqui, A.; Thawarkar, S.; Singh, S.P. A Novel Perylenediimide Molecule: Synthesis, Structural Property Relationship and Nanoarchitectonics. J. Solid State Chem. 2022, 306, 122687. [Google Scholar] [CrossRef]
- Kuklin, S.A.; Safronov, S.V.; Khakina, E.A.; Buyanovskaya, A.G.; Frolova, L.A.; Troshin, P.A. New Perylene Diimide Electron Acceptors for Organic Electronics: Synthesis, Optoelectronic Properties and Performance in Perovskite Solar Cells. Mendeleev Commun. 2023, 33, 314–317. [Google Scholar] [CrossRef]
- Huo, L.; Zhou, Y.; Li, Y. Synthesis and Absorption Spectra of n-Type Conjugated Polymers Based on Perylene Diimide. Macromol. Rapid Commun. 2008, 29, 1444–1448. [Google Scholar] [CrossRef]
- Zhang, F.; Ma, Y.; Chi, Y.; Yu, H.; Li, Y.; Jiang, T.; Wei, X.; Shi, J. Self-Assembly, Optical and Electrical Properties of Perylene Diimide Dyes Bearing Unsymmetrical Substituents at Bay Position. Sci. Rep. 2018, 8, 8208. [Google Scholar] [CrossRef]
- Kim, H.J.; Lee, C.; Schuck, P.J.; Kaufman, L.J. Aggregation Pathway Complexity in a Simple Perylene Diimide. Sci. Rep. 2024, 14, 31989. [Google Scholar] [CrossRef]
- Almuhana, A.R.Y.; Langer, P.; Griffin, S.L.; Lodge, R.W.; Rance, G.A.; Champness, N.R. Retention of Perylene Diimide Optical Properties in Solid-State Materials through Tethering to Nanodiamonds. J. Mater. Chem. C 2021, 9, 10317–10323. [Google Scholar] [CrossRef]
- He, J.; Li, S.; Zeng, H. The Photostability of Two Optical Materials Based on Perylene Diimide Substituted by Different Aromatic Groups at the Bay Area. J. Heterocycl. Chem. 2017, 54, 2800–2807. [Google Scholar] [CrossRef]
- Asir, S.; Zanardi, C.; Seeber, R.; Icil, H. A Novel Unsymmetrically Substituted Chiral Amphiphilic Perylene Diimide: Synthesis, Photophysical and Electrochemical Properties Both in Solution and Solid State. J. Photochem. Photobiol. C Photochem. Rev. 2016, 318, 104–113. [Google Scholar] [CrossRef]
- Chao, C.-C.; Leung, M.; Su, Y.O.; Chiu, K.-Y.; Lin, T.-H.; Shieh, S.-J.; Lin, S.-C. Photophysical and Electrochemical Properties of 1,7-Diaryl-Substituted Perylene Diimides. J. Org. Chem. 2005, 70, 4323–4331. [Google Scholar] [CrossRef]
- Tang, N.; Zhou, J.; Wang, L.; Stolte, M.; Xie, G.; Wen, X.; Liu, L.; Würthner, F.; Gierschner, J.; Xie, Z. Anomalous Deep-Red Luminescence of Perylene Black Analogues with Strong π-π Interactions. Nat. Commun. 2023, 14, 1922. [Google Scholar] [CrossRef]
- Al-Khateeb, B.; Dinleyici, M.; Abourajab, A.; Kök, C.; Bodapati, J.B.; Uzun, D.; Koyuncu, S.; Icil, H. Swallow Tail Bay-Substituted Novel Perylene Bisimides: Synthesis, Characterization, Photophysical and Electrochemical Properties and DFT Studies. J. Photochem. Photobiol. A. Chem. 2020, 393, 112432. [Google Scholar] [CrossRef]
- Das, L.; Das, P.; Ahamed, S.M.; Datta, A.; Pal, A.K.; Datta, A.; Malik, S. Bay-Substituted Perylene Diimide-Based Donor–Acceptor Type Copolymers: Design, Synthesis, Optical and Energy Storage Behaviours. J. Mater. Chem. A 2025, 13, 1842–1852. [Google Scholar] [CrossRef]
- Vajiravelu, S.; Ramunas, L.; Juozas Vidas, G.; Valentas, G.; Vygintas, J.; Valiyaveettil, S. Effect of Substituents on the Electron Transport Properties of Bay Substituted Perylene Diimide Derivatives. J. Mater. Chem. 2009, 19, 4268. [Google Scholar] [CrossRef]
- Yang, S.K.; Zimmerman, S.C. Polyglycerol-Dendronized Perylenediimides as Stable, Water-Soluble Fluorophores. Adv. Funct. Mater. 2012, 22, 3023–3028. [Google Scholar] [CrossRef][Green Version]
- Battagliarin, G.; Davies, M.; Mackowiak, S.; Li, C.; Müllen, K. Ortho-Functionalized Perylenediimides for Highly Fluorescent Water-Soluble Dyes. Chem. Phys. Chem. 2012, 13, 923–926. [Google Scholar] [CrossRef]
- Qu, J.; Kohl, C.; Pottek, M.; Müllen, K. Ionic Perylenetetracarboxdiimides: Highly Fluorescent and Water-Soluble Dyes for Biolabeling. Angew. Chem. Int. Ed. 2004, 43, 1528–1531. [Google Scholar] [CrossRef] [PubMed]
- Kohl, C.; Weil, T.; Qu, J.; Müllen, K. Towards Highly Fluorescent and Water-Soluble Perylene Dyes. Chem. Eur. J. 2004, 10, 5297–5310. [Google Scholar] [CrossRef] [PubMed]
- Yukruk, F.; Dogan, A.L.; Canpinar, H.; Guc, D.; Akkaya, E.U. Water-Soluble Green Perylenediimide (PDI) Dyes as Potential Sensitizers for Photodynamic Therapy. Org. Lett. 2005, 7, 2885–2887. [Google Scholar] [CrossRef]
- Draper, E.R.; Walsh, J.J.; McDonald, T.O.; Zwijnenburg, M.A.; Cameron, P.J.; Cowan, A.J.; Adams, D.J. Air-Stable Photoconductive Films Formed from Perylene Bisimide Gelators. J. Mater. Chem. C 2014, 2, 5570–5575. [Google Scholar] [CrossRef]
- Kozma, E.; Grisci, G.; Mróz, W.; Catellani, M.; Eckstein-Andicsovà, A.; Pagano, K.; Galeotti, F. Water-Soluble Aminoacid Functionalized Perylene Diimides: The Effect of Aggregation on the Optical Properties in Organic and Aqueous Media. Dye. Pigment. 2016, 125, 201–209. [Google Scholar] [CrossRef]
- Heek, T.; Fasting, C.; Rest, C.; Zhang, X.; Würthner, F.; Haag, R. Highly Fluorescent Water-Soluble Polyglycerol-Dendronized Perylene Bisimide Dyes. Chem. Commun. 2010, 46, 1884–1886. [Google Scholar] [CrossRef]
- You, S.; Cai, Q.; Müllen, K.; Yang, W.; Yin, M. pH-Sensitive Unimolecular Fluorescent Polymeric Micelles: From Volume Phase Transition to Optical Response. Chem. Commun. 2014, 50, 823–825. [Google Scholar] [CrossRef]
- Yin, M.; Feng, C.; Shen, J.; Yu, Y.; Xu, Z.; Yang, W.; Knoll, W.; Müllen, K. Dual-Responsive Interaction to Detect DNA on Template-Based Fluorescent Nanotubes. Small 2011, 7, 1629–1634. [Google Scholar] [CrossRef]
- Yin, M.; Shen, J.; Gropeanu, R.; Pflugfelder, G.O.; Weil, T.; Müllen, K. Fluorescent Core/Shell Nanoparticles for Specific Cell-Nucleus Staining. Small 2008, 4, 894–898. [Google Scholar] [CrossRef]
- Wang, B.; Yu, C. Fluorescence Turn-On Detection of a Protein through the Reduced Aggregation of a Perylene Probe. Angew. Chem. Int. Ed. 2010, 49, 1485–1488. [Google Scholar] [CrossRef]
- Xu, Z.; Cheng, W.; Guo, K.; Yu, J.; Shen, J.; Tang, J.; Yang, W.; Yin, M. Molecular Size, Shape, and Electric Charges: Essential for Perylene Bisimide-Based DNA Intercalator to Localize in Cell Nuclei and Inhibit Cancer Cell Growth. ACS Appl. Mater. Interfaces 2015, 7, 9784–9791. [Google Scholar] [CrossRef] [PubMed]
- You, S.; Cai, Q.; Zheng, Y.; He, B.; Shen, J.; Yang, W.; Yin, M. Perylene-Cored Star-Shaped Polycations for Fluorescent Gene Vectors and Bioimaging. ACS Appl. Mater. Interfaces 2014, 6, 16327–16334. [Google Scholar] [CrossRef]
- Gryszel, M.; Schlossarek, T.; Würthner, F.; Natali, M.; Głowacki, E.D. Water-Soluble Cationic Perylene Diimide Dyes as Stable Photocatalysts for H2O2 Evolution. ChemPhotoChem 2023, 7, e202300070. [Google Scholar] [CrossRef]
- Bag, K.; Halder, R.; Jana, B.; Malik, S. Solvent-Assisted Enhanced Emission of Cationic Perylene Diimide Supramolecular Assembly in Water: A Perspective from Experiment and Simulation. J. Phys. Chem. C 2019, 123, 6241–6249. [Google Scholar] [CrossRef]
- Xu, Z.; He, B.; Wei, W.; Liu, K.; Yin, M.; Yang, W.; Shen, J. Highly Water-Soluble Perylenediimide-Cored Poly(Amido Amine) Vector for Efficient Gene Transfection. J. Mater. Chem. B 2014, 2, 3079–3086. [Google Scholar] [CrossRef]
- Gao, B.; Li, H.; Liu, H.; Zhang, L.; Bai, Q.; Ba, X. Water-Soluble and Fluorescent Dendritic Perylene Bisimides for Live-Cell Imaging. Chem. Commun. 2011, 47, 3894. [Google Scholar] [CrossRef]
- Bo, F.; Gao, B.; Duan, W.; Li, H.; Liu, H.; Bai, Q. Assembly–Disassembly Driven “off–on” Fluorescent Perylene Bisimide Probes for Detecting and Tracking of Proteins in Living Cells. RSC Adv. 2013, 3, 17007. [Google Scholar] [CrossRef]
- Yang, S.K.; Shi, X.; Park, S.; Doganay, S.; Ha, T.; Zimmerman, S.C. Monovalent, Clickable, Uncharged, Water-Soluble Perylenediimide-Cored Dendrimers for Target-Specific Fluorescent Biolabeling. J. Am. Chem. Soc. 2011, 133, 9964–9967. [Google Scholar] [CrossRef]
- Singh, P.; Hirsch, A.; Kumar, S. Perylene Diimide-Based Chemosensors Emerging in Recent Years: From Design to Sensing. Trends Anal. Chem. 2021, 138, 116237. [Google Scholar] [CrossRef]
- Kaur, N.; Kour, R.; Kaur, S.; Singh, P. Perylene Diimide-Based Sensors for Multiple Analyte Sensing (Fe2+/H2S/Dopamine and Hg2+/Fe2+): Cell Imaging and INH, XOR, and Encoder Logic. Anal. Methods 2023, 15, 2391–2398. [Google Scholar] [CrossRef]
- Zhao, J.; Huang, R.; Gao, Y.; Xu, J.; Sun, Y.; Bao, J.; Fang, L.; Gou, S. Realizing Near-Infrared (NIR)-Triggered Type-I PDT and PTT by Maximizing the Electronic Exchange Energy of Perylene Diimide-Based Photosensitizers. ACS Materials Lett. 2023, 5, 1752–1759. [Google Scholar] [CrossRef]
- Yan, L.; Ye, Z.; Peng, C.; Zhang, S. A New Perylene Diimide-Based Fluorescent Chemosensor for Selective Detection of ATP in Aqueous Solution. Tetrahedron 2012, 68, 2725–2727. [Google Scholar] [CrossRef]
- Lv, Z.; Liu, J.; Bai, W.; Yang, S.; Chen, A. A Simple and Sensitive Label-Free Fluorescent Approach for Protein Detection Based on a Perylene Probe and Aptamer. Biosens. Bioelectron. 2015, 64, 530–534. [Google Scholar] [CrossRef]
- Zong, L.; Zhang, H.; Li, Y.; Gong, Y.; Li, D.; Wang, J.; Wang, Z.; Xie, Y.; Han, M.; Peng, Q.; et al. Tunable Aggregation-Induced Emission Nanoparticles by Varying Isolation Groups in Perylene Diimide Derivatives and Application in Three-Photon Fluorescence Bioimaging. ACS Nano 2018, 12, 9532–9540. [Google Scholar] [CrossRef]
- Ma, Y.; Zhang, F.; Zhang, J.; Jiang, T.; Li, X.; Wu, J.; Ren, H. A Water-soluble Fluorescent pH Probe Based on Perylene Dyes and Its Application to Cell Imaging. Luminescence 2016, 31, 102–107. [Google Scholar] [CrossRef]
- Jana, A.; Nguyen, K.T.; Li, X.; Zhu, P.; Tan, N.S.; Ågren, H.; Zhao, Y. Perylene-Derived Single-Component Organic Nanoparticles with Tunable Emission: Efficient Anticancer Drug Carriers with Real-Time Monitoring of Drug Release. ACS Nano 2014, 8, 5939–5952. [Google Scholar] [CrossRef]
- Jana, A.; Devi, K.S.P.; Maiti, T.K.; Singh, N.D.P. Perylene-3-Ylmethanol: Fluorescent Organic Nanoparticles as a Single-Component Photoresponsive Nanocarrier with Real-Time Monitoring of Anticancer Drug Release. J. Am. Chem. Soc. 2012, 134, 7656–7659. [Google Scholar] [CrossRef]
- Cheng, W.; Chen, H.; Ji, C.; Yang, R.; Yin, M. A Perylenediimide-Based Nanocarrier Monitors Curcumin Release with an “off–on” Fluorescence Switch. Polym. Chem. 2019, 10, 2551–2558. [Google Scholar] [CrossRef]
- Zhou, P.; Aschauer, U.; Decurtins, S.; Feurer, T.; Häner, R.; Liu, S.-X. Merging of Azulene and Perylene Diimide for Optical pH Sensors. Molecules 2023, 28, 6694. [Google Scholar] [CrossRef]
- Tariq, A.; Garnier, U.; Ghasemi, R.; Pierre Lefevre, J.; Mongin, C.; Brosseau, A.; Audibert, J.F.; Pansu, R.; Dauzères, A.; Leray, I. Perylene Based PET Fluorescent Molecular Probes for pH Monitoring. J. Photochem. Photobiol. A Chem. 2022, 432, 114035. [Google Scholar] [CrossRef]
- Georgiev, N.I.; Said, A.I.; Toshkova, R.A.; Tzoneva, R.D.; Bojinov, V.B. A Novel Water-Soluble Perylenetetracarboxylic Diimide as a Fluorescent pH Probe: Chemosensing, Biocompatibility and Cell Imaging. Dye. Pigment. 2019, 160, 28–36. [Google Scholar] [CrossRef]
- Chen, Y.; Liu, W.; Zhang, B.; Suo, Z.; Xing, F.; Feng, L. Sensitive and Reversible Perylene Derivative-Based Fluorescent Probe for Acetylcholinesterase Activity Monitoring and Its Inhibitor. Anal. Biochem. 2020, 607, 113835. [Google Scholar] [CrossRef]
- Muthuraj, B.; Mukherjee, S.; Chowdhury, S.R.; Patra, C.R.; Iyer, P.K. An Efficient Strategy to Assemble Water Soluble Histidine-Perylene Diimide and Graphene Oxide for the Detection of PPi in Physiological Conditions and In Vitro. Biosens. Bioelectron. 2017, 89, 636–644. [Google Scholar] [CrossRef] [PubMed]
- Dey, S.; Sukul, P.K. Selective Detection of Pyrophosphate Anions in Aqueous Medium Using Aggregation of Perylene Diimide as a Fluorescent Probe. ACS Omega 2019, 4, 16191–16200. [Google Scholar] [CrossRef]
- Feng, C.L.; Yin, M.; Zhang, D.; Zhu, S.; Caminade, A.M.; Majoral, J.P.; Müllen, K. Fluorescent Core-Shell Star Polymers Based Bioassays for Ultrasensitive DNA Detection by Surface Plasmon Fluorescence Spectroscopy. Macromol. Rapid Commun. 2011, 32, 679–683. [Google Scholar] [CrossRef]
- Feng, X.; An, Y.; Yao, Z.; Li, C.; Shi, G. A Turn-on Fluorescent Sensor for Pyrophosphate Based on the Disassembly of Cu2+-Mediated Perylene Diimide Aggregates. ACS Appl. Mater. Interfaces 2012, 4, 614–618. [Google Scholar] [CrossRef]
- Wang, K.-R.; Wang, Y.-Q.; Li, J.; An, H.-W.; Zhang, L.-P.; Zhang, J.-C.; Li, X.-L. Synthesis of Perylene Bisimide-Centered Glycodendrimer and Its Interactions with Concanavalin A. Bioorg. Med. Chem. Lett. 2013, 23, 480–483. [Google Scholar] [CrossRef]
- Wang, K.-R.; An, H.-W.; Qian, F.; Wang, Y.-Q.; Zhang, J.-C.; Li, X.-L. Synthesis, Optical Properties and Binding Interactions of a Multivalent Glycocluster Based on a Fluorescent Perylene Bisimide Derivative. RSC Adv. 2013, 3, 23190. [Google Scholar] [CrossRef]
- Hao, Y.; Zhu, X.; Dong, Y.; Zhang, N.; Wang, H.; Li, X.; Ren, X.; Ma, H.; Wei, Q. Self-Assembled Perylene Diimide (PDI) Nanowire Sensitized In2O3@MgIn2S4S-Scheme Heterojunction as Photoelectrochemical Biosensing Platform for the Detection of CA15–3. Anal. Chem. 2024, 96, 13197–13206. [Google Scholar] [CrossRef]
- Yadav, S.; Choudhary, N.; Vasave, A.T.; Sonpal, V.; Paital, A.R. Perylene Diimide Functionalized Nano-Silica: Green Emissive Material for Selective Probing and Remediation of 4-Nitrocatechol, Ru3+, and Cu2+ with Biosensing Applications. Mater. Adv. 2024, 5, 8937–8952. [Google Scholar] [CrossRef]
- Alamudi, S.H.; Lee, Y.-A. Design Strategies for Organelle-Selective Fluorescent Probes: Where to Start? RSC Adv. 2025, 15, 2115–2131. [Google Scholar] [CrossRef] [PubMed]
- Zhu, M.; Li, W.; Sun, L.; Lv, Z.; Yang, X.; Wang, Y. Advances in Fluorescent Probes for Targeting Organelles: Design Strategies, Applications and Perspectives. Coord. Chem. Rev. 2024, 512, 215893. [Google Scholar] [CrossRef]
- Garcés-Garcés, J.; Redrado, M.; Sastre-Santos, Á.; Gimeno, M.C.; Fernández-Lázaro, F. Synthesis of Dipyridylaminoperylenediimide–Metal Complexes and Their Cytotoxicity Studies. Pharmaceutics 2022, 14, 2616. [Google Scholar] [CrossRef] [PubMed]
- Zhou, J.; Zhang, J.; Lai, Y.; Zhou, Z.; Zhao, Y.; Wang, H.; Wang, Z. Guanidinium-Dendronized Perylene Bisimides as Stable, Water-Soluble Fluorophores for Live-Cell Imaging. New J. Chem. 2013, 37, 2983. [Google Scholar] [CrossRef]
- Yin, M.; Kuhlmann, C.R.W.; Sorokina, K.; Li, C.; Mihov, G.; Pietrowski, E.; Koynov, K.; Klapper, M.; Luhmann, H.J.; Weil, T. Novel Fluorescent Core–Shell Nanocontainers for Cell Membrane Transport. Biomacromolecules 2008, 9, 1381–1389. [Google Scholar] [CrossRef]
- Heek, T.; Nikolaus, J.; Schwarzer, R.; Fasting, C.; Welker, P.; Licha, K.; Herrmann, A.; Haag, R. An Amphiphilic Perylene Imido Diester for Selective Cellular Imaging. Bioconjugate Chem. 2013, 24, 153–158. [Google Scholar] [CrossRef]
- Cui, X.; Shi, B.; Qiu, Z.; Yang, F.; Wang, X.; Xu, Y.; Wei, W. Highly Fluorescent, Water-Soluble Tetrapodal Perylene Diimides Insulated by Cationic Pendants for Live-Cell Imaging. Dye. Pigment. 2025, 232, 112460. [Google Scholar] [CrossRef]
- Yang, Z.; Li, X.; Sun, T.; Bian, J.; Bu, X.; Ge, X.; Sun, J.; Liu, Z.; Xie, Z.; Xi, P.; et al. Multicolor Tuning of Perylene Diimides Dyes for Targeted Organelle Imaging In Vivo. Anal. Chem. 2024, 96, 12331–12340. [Google Scholar] [CrossRef]
- Yang, F.; Li, R.; Wei, W.; Ding, X.; Xu, Z.; Wang, P.; Wang, G.; Xu, Y.; Fu, H.; Zhao, Y. Water-Soluble Doubly-Strapped Isolated Perylene Diimide Chromophore. Angew. Chem. Int. Ed. 2022, 61, e202202491. [Google Scholar] [CrossRef]
- Casagrande, V.; Salvati, E.; Alvino, A.; Bianco, A.; Ciammaichella, A.; D’Angelo, C.; Ginnari-Satriani, L.; Serrilli, A.M.; Iachettini, S.; Leonetti, C.; et al. N-Cyclic Bay-Substituted Perylene G-Quadruplex Ligands Have Selective Antiproliferative Effects on Cancer Cells and Induce Telomere Damage. J. Med. Chem. 2011, 54, 1140–1156. [Google Scholar] [CrossRef]
- Kulkarni, B.; Malhotra, M.; Jayakannan, M. Perylene-Tagged Polycaprolactone Block Copolymers and Their Enzyme-Biodegradable Fluorescent Nanoassemblies for Intracellular Bio-Imaging in Cancer Cells. ACS Appl. Polym. Mater. 2019, 1, 3375–3388. [Google Scholar] [CrossRef]
- Yang, Z.; Yuan, Y.; Jiang, R.; Fu, N.; Lu, X.; Tian, C.; Hu, W.; Fan, Q.; Huang, W. Homogeneous Near-Infrared Emissive Polymeric Nanoparticles Based on Amphiphilic Diblock Copolymers with Perylene Diimide and PEG Pendants: Self-Assembly Behavior and Cellular Imaging Application. Polym. Chem. 2014, 5, 1372–1380. [Google Scholar] [CrossRef]
- Ye, Y.; Zheng, Y.; Ji, C.; Shen, J.; Yin, M. Self-Assembly and Disassembly of Amphiphilic Zwitterionic Perylenediimide Vesicles for Cell Membrane Imaging. ACS Appl. Mater. Interfaces 2017, 9, 4534–4539. [Google Scholar] [CrossRef]
- Abdelhameed, M.; Aly, S.; Lant, J.T.; Zhang, X.; Charpentier, P. Energy/Electron Transfer Switch for Controlling Optical Properties of Silicon Quantum Dots. Sci. Rep. 2018, 8, 17068. [Google Scholar] [CrossRef]
- Ribeiro, T.; Raja, S.; Rodrigues, A.S.; Fernandes, F.; Baleizão, C.; Farinha, J.P.S. NIR and Visible Perylenediimide-Silica Nanoparticles for Laser Scanning Bioimaging. Dye. Pigment. 2014, 110, 227–234. [Google Scholar] [CrossRef]
- Fan, Q.; Cheng, K.; Yang, Z.; Zhang, R.; Yang, M.; Hu, X.; Ma, X.; Bu, L.; Lu, X.; Xiong, X.; et al. Perylene-Diimide-Based Nanoparticles as Highly Efficient Photoacoustic Agents for Deep Brain Tumor Imaging in Living Mice. Adv. Mater. 2015, 27, 843–847. [Google Scholar] [CrossRef]
- Yang, Y.; Fryer, C.; Sharkey, J.; Thomas, A.; Wais, U.; Jackson, A.W.; Wilm, B.; Murray, P.; Zhang, H. Perylene Diimide Nanoprobes for In Vivo Tracking of Mesenchymal Stromal Cells Using Photoacoustic Imaging. ACS Appl. Mater. Interfaces 2020, 12, 27930–27939. [Google Scholar] [CrossRef]
- Cui, C.; Yang, Z.; Hu, X.; Wu, J.; Shou, K.; Ma, H.; Jian, C.; Zhao, Y.; Qi, B.; Hu, X.; et al. Organic Semiconducting Nanoparticles as Efficient Photoacoustic Agents for Lightening Early Thrombus and Monitoring Thrombolysis in Living Mice. ACS Nano 2017, 11, 3298–3310. [Google Scholar] [CrossRef]
- Li, S.-A.; Meng, X.-Y.; Zhang, Y.-J.; Chen, C.-L.; Jiao, Y.-X.; Zhu, Y.-Q.; Liu, P.-P.; Sun, W. Progress in pH-Sensitive Sensors: Essential Tools for Organelle pH Detection, Spotlighting Mitochondrion and Diverse Applications. Front. Pharmacol. 2024, 14, 1339518. [Google Scholar] [CrossRef]
- Ghosh, S.; Lai, J.-Y. Recent Advances in the Design of Intracellular pH Sensing Nanoprobes Based on Organic and Inorganic Materials. Environ. Res. 2023, 237, 117089. [Google Scholar] [CrossRef]
- Ma, Y.; Li, J.; Hou, S.; Zhang, J.; Shi, Z.; Jiang, T.; Wei, X. pH-Sensitive Perylene Tetra-(Alkoxycarbonyl) Probes for Live Cell Imaging. New J. Chem. 2016, 40, 6615–6622. [Google Scholar] [CrossRef]
- Ye, F.; Liang, X.-M.; Wu, N.; Li, P.; Chai, Q.; Fu, Y. A New Perylene-Based Fluorescent pH Chemosensor for Strongly Acidic Condition. Spectrochim. Acta Part A Mol. Biomol. Spectrosc. 2019, 216, 359–364. [Google Scholar] [CrossRef] [PubMed]
- Sun, M.; Yin, W.; Dong, X.; Yang, W.; Zhao, Y.; Yin, M. Fluorescent Supramolecular Micelles for Imaging-Guided Cancer Therapy. Nanoscale 2016, 8, 5302–5312. [Google Scholar] [CrossRef]
- Yang, Z.; Song, J.; Dai, Y.; Chen, J.; Wang, F.; Lin, L.; Liu, Y.; Zhang, F.; Yu, G.; Zhou, Z.; et al. Self-Assembly of Semiconducting-Plasmonic Gold Nanoparticles with Enhanced Optical Property for Photoacoustic Imaging and Photothermal Therapy. Theranostics 2017, 7, 2177–2185. [Google Scholar] [CrossRef]
- Sun, P.; Yuan, P.; Wang, G.; Deng, W.; Tian, S.; Wang, C.; Lu, X.; Huang, W.; Fan, Q. High Density Glycopolymers Functionalized Perylene Diimide Nanoparticles for Tumor-Targeted Photoacoustic Imaging and Enhanced Photothermal Therapy. Biomacromolecules 2017, 18, 3375–3386. [Google Scholar] [CrossRef]
- Yang, Z.; Tian, R.; Wu, J.; Fan, Q.; Yung, B.C.; Niu, G.; Jacobson, O.; Wang, Z.; Liu, G.; Yu, G.; et al. Impact of Semiconducting Perylene Diimide Nanoparticle Size on Lymph Node Mapping and Cancer Imaging. ACS Nano 2017, 11, 4247–4255. [Google Scholar] [CrossRef]
- Yang, Z.; Fan, W.; Zou, J.; Tang, W.; Li, L.; He, L.; Shen, Z.; Wang, Z.; Jacobson, O.; Aronova, M.A.; et al. Precision Cancer Theranostic Platform by In Situ Polymerization in Perylene Diimide-Hybridized Hollow Mesoporous Organosilica Nanoparticles. J. Am. Chem. Soc. 2019, 141, 14687–14698. [Google Scholar] [CrossRef]
- Siafaka, P.I.; Okur, N.Ü.; Karantas, I.D.; Okur, M.E.; Gündoğdu, E.A. Current Update on Nanoplatforms as Therapeutic and Diagnostic Tools: A Review for the Materials Used as Nanotheranostics and Imaging Modalities. Asian J. Pharm. Sci. 2021, 16, 24–46. [Google Scholar] [CrossRef]
- Yang, Z.; Song, J.; Tang, W.; Fan, W.; Dai, Y.; Shen, Z.; Lin, L.; Cheng, S.; Liu, Y.; Niu, G.; et al. Stimuli-Responsive Nanotheranostics for Real-Time Monitoring Drug Release by Photoacoustic Imaging. Theranostics 2019, 9, 526–536. [Google Scholar] [CrossRef]
- Yang, Z.; Dai, Y.; Yin, C.; Fan, Q.; Zhang, W.; Song, J.; Yu, G.; Tang, W.; Fan, W.; Yung, B.C.; et al. Activatable Semiconducting Theranostics: Simultaneous Generation and Ratiometric Photoacoustic Imaging of Reactive Oxygen Species In Vivo. Adv. Mater. 2018, 30, 1707509. [Google Scholar] [CrossRef]
- Tang, W.; Yang, Z.; Wang, S.; Wang, Z.; Song, J.; Yu, G.; Fan, W.; Dai, Y.; Wang, J.; Shan, L.; et al. Organic Semiconducting Photoacoustic Nanodroplets for Laser-Activatable Ultrasound Imaging and Combinational Cancer Therapy. ACS Nano 2018, 12, 2610–2622. [Google Scholar] [CrossRef]
- Cheng, W.; Cheng, H.; Wan, S.; Zhang, X.; Yin, M. Dual-Stimulus-Responsive Fluorescent Supramolecular Prodrug for Antitumor Drug Delivery. Chem. Mater. 2017, 29, 4218–4226. [Google Scholar] [CrossRef]
- Li, H.; Yue, L.; Li, L.; Liu, G.; Zhang, J.; Luo, X.; Wu, F. Triphenylamine-Perylene Diimide Conjugate-Based Organic Nanoparticles for Photoacoustic Imaging and Cancer Phototherapy. Colloids Surf. B Biointerfaces 2021, 205, 111841. [Google Scholar] [CrossRef]
- Yip, A.M.; Shum, J.; Liu, H.; Zhou, H.; Jia, M.; Niu, N.; Li, Y.; Yu, C.; Lo, K.K. Luminescent Rhenium(I)–Polypyridine Complexes Appended with a Perylene Diimide or Benzoperylene Monoimide Moiety: Photophysics, Intracellular Sensing, and Photocytotoxic Activity. Chem. Eur. J. 2019, 25, 8970–8974. [Google Scholar] [CrossRef] [PubMed]
- Song, X.; Liang, C.; Gong, H.; Chen, Q.; Wang, C.; Liu, Z. Photosensitizer-Conjugated Albumin−Polypyrrole Nanoparticles for Imaging-Guided In Vivo Photodynamic/Photothermal Therapy. Small 2015, 11, 3932–3941. [Google Scholar] [CrossRef]
- Jang, B.; Park, J.-Y.; Tung, C.-H.; Kim, I.-H.; Choi, Y. Gold Nanorod−Photosensitizer Complex for Near-Infrared Fluorescence Imaging and Photodynamic/Photothermal Therapy In Vivo. ACS Nano 2011, 5, 1086–1094. [Google Scholar] [CrossRef]
- Sun, P.; Wang, X.; Wang, G.; Deng, W.; Shen, Q.; Jiang, R.; Wang, W.; Fan, Q.; Huang, W. A Perylene Diimide Zwitterionic Polymer for Photoacoustic Imaging Guided Photothermal/Photodynamic Synergistic Therapy with Single near-Infrared Irradiation. J. Mater. Chem. B 2018, 6, 3395–3403. [Google Scholar] [CrossRef]
- Sun, P.; Huang, T.; Wang, X.; Wang, G.; Liu, Z.; Chen, G.; Fan, Q. Dynamic-Covalent Hydrogel with NIR-Triggered Drug Delivery for Localized Chemo-Photothermal Combination Therapy. Biomacromolecules 2020, 21, 556–565. [Google Scholar] [CrossRef]
- Lee, Y.-L.; Chou, Y.-T.; Su, B.-K.; Wu, C.; Wang, C.-H.; Chang, K.-H.; Ho, J.A.; Chou, P.-T. Comprehensive Thione-Derived Perylene Diimides and Their Bio-Conjugation for Simultaneous Imaging, Tracking, and Targeted Photodynamic Therapy. J. Am. Chem. Soc. 2022, 144, 17249–17260. [Google Scholar] [CrossRef]
- Liu, Z.; Gao, Y.; Jin, X.; Deng, Q.; Yin, Z.; Tong, S.; Qing, W.; Huang, Y. Regioisomer-Manipulating Thio-Perylenediimide Nanoagents for Photothermal/Photodynamic Theranostics. J. Mater. Chem. B 2020, 8, 5535–5544. [Google Scholar] [CrossRef]
- Llewellyn, B.A.; Davies, E.S.; Pfeiffer, C.R.; Cooper, M.; Lewis, W.; Champness, N.R. Thionated Perylene Diimides with Intense Absorbance in the Near-IR. Chem. Commun. 2016, 52, 2099–2102. [Google Scholar] [CrossRef] [PubMed]













Disclaimer/Publisher’s Note: The statements, opinions and data contained in all publications are solely those of the individual author(s) and contributor(s) and not of MDPI and/or the editor(s). MDPI and/or the editor(s) disclaim responsibility for any injury to people or property resulting from any ideas, methods, instructions or products referred to in the content. |
© 2025 by the author. Licensee MDPI, Basel, Switzerland. This article is an open access article distributed under the terms and conditions of the Creative Commons Attribution (CC BY) license (https://creativecommons.org/licenses/by/4.0/).
Share and Cite
Kumar, P.P.P. The Role of Perylene Diimide Dyes as Cellular Imaging Agents and for Enhancing Phototherapy Outcomes. Colorants 2025, 4, 22. https://doi.org/10.3390/colorants4030022
Kumar PPP. The Role of Perylene Diimide Dyes as Cellular Imaging Agents and for Enhancing Phototherapy Outcomes. Colorants. 2025; 4(3):22. https://doi.org/10.3390/colorants4030022
Chicago/Turabian StyleKumar, Panangattukara Prabhakaran Praveen. 2025. "The Role of Perylene Diimide Dyes as Cellular Imaging Agents and for Enhancing Phototherapy Outcomes" Colorants 4, no. 3: 22. https://doi.org/10.3390/colorants4030022
APA StyleKumar, P. P. P. (2025). The Role of Perylene Diimide Dyes as Cellular Imaging Agents and for Enhancing Phototherapy Outcomes. Colorants, 4(3), 22. https://doi.org/10.3390/colorants4030022

