Poly(Lactide) Nonwoven Fabric with Iron Coating and Its Biological Properties
Abstract
1. Introduction
2. Materials and Methods
2.1. Materials
2.2. Methods
2.2.1. Method for Producing PLA Nonwoven Fabric
2.2.2. Modification of Magnetron Sputtering of Poly(lactide) Nonwoven Fabrics with Iron
2.2.3. Flame Atomic Absorption Spectroscopy (FAAS)
2.2.4. Microscopy Analysis
2.2.5. Biochemical and Hematological Assessments: Activated Partial Thromboplastin Time (aPTT) and Prothrombin Time (PT)
2.2.6. Determination of Biological Properties
Preparation of Fabrics Used to Assess Biological Properties
Cell Culture
Cell Viability Resazurin Assay
DNA Damage
3. Results and Discussion
3.1. Preparation of Nonwoven Fabrics from Poly(lactide) and Modification by Magnetron Sputtering
3.2. Determination of Iron Content
3.3. Microscopy of PLA-Fe Samples
3.4. Analysis of Surface Properties and Pore Volume
3.5. Effect of PLA-Fe Samples on Blood Plasma Coagulation: aPTT and PT Measurement
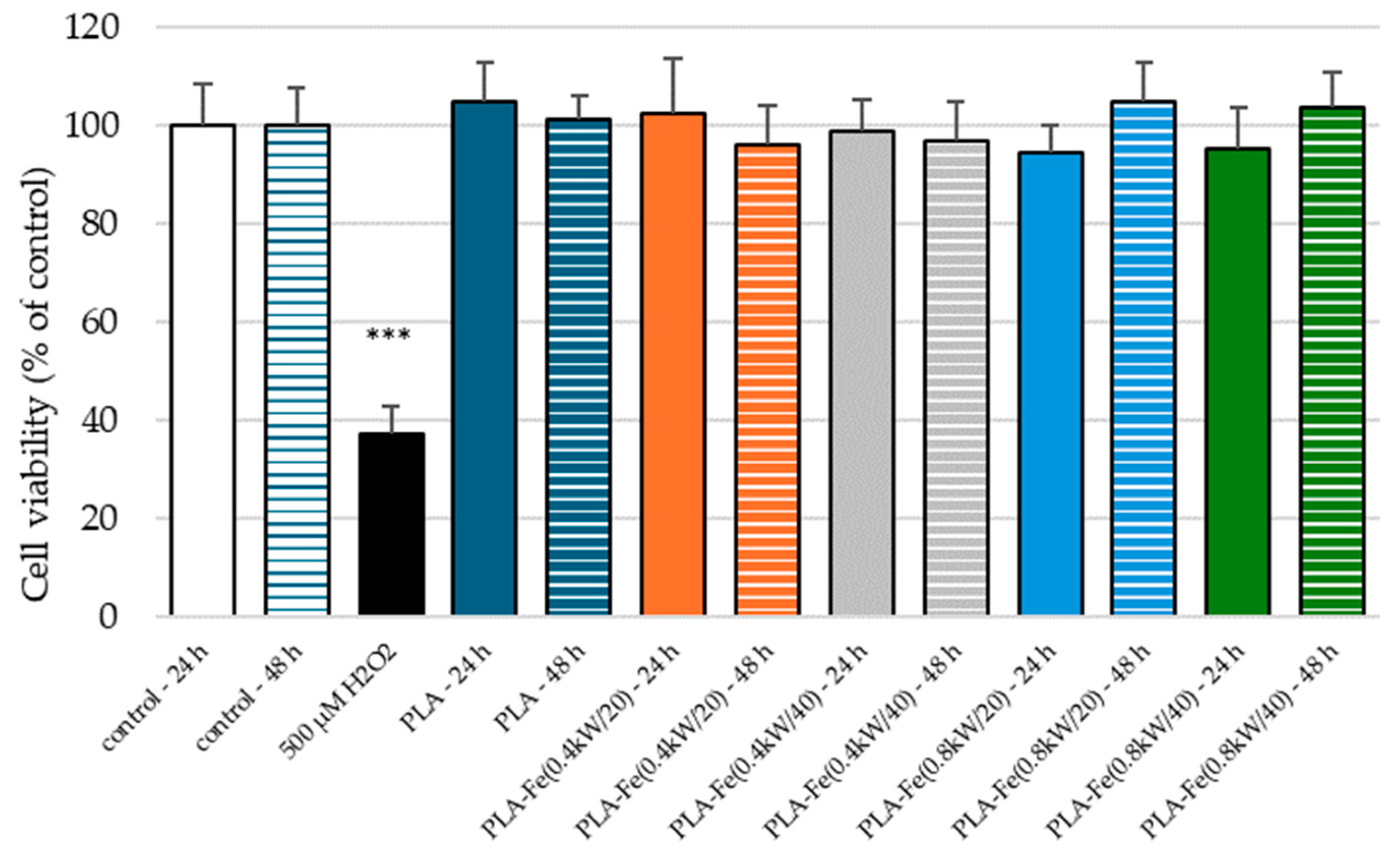
3.6. Effect of PLA-Fe Samples on the Viability of PBM Cells
3.7. Effect of PLA-Fe Samples on the DNA Damage in PBM Cells
4. Conclusions
Author Contributions
Funding
Institutional Review Board Statement
Informed Consent Statement
Data Availability Statement
Acknowledgments
Conflicts of Interest
References
- Hassan, M.A.; Yeom, B.Y.; Wilkie, A.; Pourdeyhimi, B.; Khan, S.A. Fabrication of Nanofiber Meltblown Membranes and Their Filtration Properties. J. Membr. Sci. 2013, 427, 336–344. [Google Scholar] [CrossRef]
- Wehmann, M.; McCulloch, W.J.G. Melt Blowing Technology. In Polypropylene: An A-Z Reference; Karger-Kocsis, J., Ed.; Springer: Dordrecht, The Netherlands, 1999; pp. 415–420. ISBN 978-94-011-4421-6. [Google Scholar]
- Nayak, R. Review of Literature: Meltblowing. In Polypropylene Nanofibers: Melt Electrospinning Versus Meltblowing; Nayak, R., Ed.; Springer International Publishing: Cham, Switzerland, 2017; pp. 111–118. ISBN 978-3-319-61458-8. [Google Scholar]
- Drabek, J.; Zatloukal, M. Meltblown Technology for Production of Polymeric Microfibers/Nanofibers: A Review. Phys. Fluids 2019, 31, 091301. [Google Scholar] [CrossRef]
- Nayak, R.; Kyratzis, I.L.; Truong, Y.B.; Padhye, R.; Arnold, L.; Peeters, G.; O’Shea, M.; Nichols, L. Fabrication and Characterisation of Polypropylene Nanofibres by Meltblowing Process Using Different Fluids. J. Mater. Sci. 2013, 48, 273–281. [Google Scholar] [CrossRef]
- Yu, B.; Sun, H.; Cao, Y.; Han, J.; Kong, J.; Wang, P.; Zhu, F. Effects of Poly(ϵ-Caprolactone) on Structure and Properties of Poly(Lactic Acid)/Poly(ϵ-Caprolactone) Meltblown Nonwoven. Polym. Plast. Technol. Eng. 2014, 53, 1788–1793. [Google Scholar] [CrossRef]
- Sun, H.; Peng, S.; Wang, M.; Zhu, F.; Bhat, G.; Yu, B. Preparation and Characterization of Magnetic PLA/Fe3O4-g-PLLA Composite Melt Blown Nonwoven Fabric for Air Filtration. J. Eng. Fibers Fabr. 2020, 15, 1558925020968222. [Google Scholar] [CrossRef]
- Kara, Y.; Molnár, K. A Review of Processing Strategies to Generate Melt-Blown Nano/Microfiber Mats for High-Efficiency Filtration Applications. J. Ind. Text. 2022, 51, 137S–180S. [Google Scholar] [CrossRef]
- Gahan, R.; Zguris, G.C. A Review of the Melt Blown Process. In Proceedings of the Fifteenth Annual Battery Conference on Applications and Advances (Cat. No.00TH8490), Long Beach, CA, USA, 11–14 January 2000; pp. 145–149. [Google Scholar] [CrossRef]
- Azimi, B.; Maleki, H.; Zavagna, L.; De la Ossa, J.G.; Linari, S.; Lazzeri, A.; Danti, S. Bio-Based Electrospun Fibers for Wound Healing. J. Funct. Biomater. 2020, 11, 67. [Google Scholar] [CrossRef]
- Preem, L.; Kogermann, K. Electrospun Antimicrobial Wound Dressings: Novel Strategies to Fight Against Wound Infections. In Chronic Wounds, Wound Dressings and Wound Healing; Shiffman, M.A., Low, M., Eds.; Springer International Publishing: Cham, Switzerland, 2021; pp. 213–253. ISBN 978-3-030-10698-0. [Google Scholar]
- Trevisol, T.C.; Langbehn, R.K.; Battiston, S.; Immich, A.P.S. Nonwoven Membranes for Tissue Engineering: An Overview of Cartilage, Epithelium, and Bone Regeneration. J. Biomater. Sci. Polym. Ed. 2019, 30, 1026–1049. [Google Scholar] [CrossRef]
- Maryin, P.V.; Bolbasov, E.N.; Tverdokhlebov, S.I. The Physico-Chemical Properties of Electrospun Vascular PLLA Scaffolds Modified by the DC Magnetron Sputtering of a Titanium Target. J. Phys. Conf. Ser. 2018, 1115, 032076. [Google Scholar] [CrossRef]
- Ghosal, K.; Manakhov, A.; Zajíčková, L.; Thomas, S. Structural and Surface Compatibility Study of Modified Electrospun Poly(ε-Caprolactone) (PCL) Composites for Skin Tissue Engineering. AAPS Pharm. Sci. Tech. 2017, 18, 72–81. [Google Scholar] [CrossRef] [PubMed]
- Song, X.; Melro, L.; Padrão, J.; Ribeiro, A.I.; Yu, L.; Zille, A. 20—Nonwoven Materials and Technologies for Medical Applications. In Medical Textiles from Natural Resources; Mondal, M.I.H., Ed.; The Textile Institute Book Series; Woodhead Publishing: Sawston, UK, 2022; pp. 605–661. ISBN 978-0-323-90479-7. [Google Scholar]
- Kubíčková, J.; Medek, T.; Husby, J.; Matonohová, J.; Vágnerová, H.; Marholdová, L.; Velebný, V.; Chmelař, J. Nonwoven Textiles from Hyaluronan for Wound Healing Applications. Biomolecules 2022, 12, 16. [Google Scholar] [CrossRef]
- Nethi, S.K.; Das, S.; Patra, C.R.; Mukherjee, S. Recent Advances in Inorganic Nanomaterials for Wound-Healing Applications. Biomater. Sci. 2019, 7, 2652–2674. [Google Scholar] [CrossRef]
- Taib, N.-A.A.B.; Rahman, M.R.; Huda, D.; Kuok, K.K.; Hamdan, S.; Bakri, M.K.B.; Julaihi, M.R.M.B.; Khan, A. A Review on Poly Lactic Acid (PLA) as a Biodegradable Polymer. Polym. Bull. 2023, 80, 1179–1213. [Google Scholar] [CrossRef]
- Muller, J.; González-Martínez, C.; Chiralt, A. Combination of Poly(Lactic) Acid and Starch for Biodegradable Food Packaging. Materials 2017, 10, 952. [Google Scholar] [CrossRef]
- Bikiaris, N.D.; Koumentakou, I.; Samiotaki, C.; Meimaroglou, D.; Varytimidou, D.; Karatza, A.; Kalantzis, Z.; Roussou, M.; Bikiaris, R.D.; Papageorgiou, G.Z. Recent Advances in the Investigation of Poly(Lactic Acid) (PLA) Nanocomposites: Incorporation of Various Nanofillers and Their Properties and Applications. Polymers 2023, 15, 1196. [Google Scholar] [CrossRef] [PubMed]
- DeStefano, V.; Khan, S.; Tabada, A. Applications of PLA in Modern Medicine. Eng. Regen. 2020, 1, 76–87. [Google Scholar] [CrossRef]
- Saini, P.; Arora, M.; Kumar, M.N.V.R. Poly(Lactic Acid) Blends in Biomedical Applications. Adv. Drug Deliv. Rev. 2016, 107, 47–59. [Google Scholar] [CrossRef] [PubMed]
- Kliem, S.; Kreutzbruck, M.; Bonten, C. Review on the Biological Degradation of Polymers in Various Environments. Materials 2020, 13, 4586. [Google Scholar] [CrossRef]
- Alam, F.; Shukla, V.R.; Varadarajan, K.M.; Kumar, S. Microarchitected 3D Printed Polylactic Acid (PLA) Nanocomposite Scaffolds for Biomedical Applications. J. Mech. Behav. Biomed. Mater. 2020, 103, 103576. [Google Scholar] [CrossRef]
- Sharif, A.; Mondal, S.; Hoque, M.E. Polylactic Acid (PLA)-Based Nanocomposites: Processing and Properties. In Bio-Based Polymers and Nanocomposites: Preparation, Processing, Properties & Performance; Sanyang, M.L., Jawaid, M., Eds.; Springer International Publishing: Cham, Switzerland, 2019; pp. 233–254. ISBN 978-3-030-05825-8. [Google Scholar]
- Nofar, M.; Sacligil, D.; Carreau, P.J.; Kamal, M.R.; Heuzey, M.-C. Poly (Lactic Acid) Blends: Processing, Properties and Applications. Int. J. Biol. Macromol. 2019, 125, 307–360. [Google Scholar] [CrossRef]
- Farah, S.; Anderson, D.G.; Langer, R. Physical and Mechanical Properties of PLA, and Their Functions in Widespread Applications—A Comprehensive Review. Adv. Drug Deliv. Rev. 2016, 107, 367–392. [Google Scholar] [CrossRef] [PubMed]
- Auras, R.A.; Lim, L.-T.; Selke, S.E.M.; Tsuji, H. Poly(Lactic Acid): Synthesis, Structures, Properties, Processing, Applications, and End of Life; John Wiley & Sons: Hoboken, NJ, USA, 2022; ISBN 978-1-119-76744-2. [Google Scholar]
- Rezvani Ghomi, E.; Khalili, S.; Nouri Khorasani, S.; Esmaeely Neisiany, R.; Ramakrishna, S. Wound Dressings: Current Advances and Future Directions. J. Appl. Polym. Sci. 2019, 136, 47738. [Google Scholar] [CrossRef]
- Masutani, K.; Kimura, Y. PLA Synthesis. From the Monomer to the Polymer. In Poly(lactic acid) Science and Technology; Royal Society of Chemistry: London, UK, 2014. [Google Scholar] [CrossRef]
- Hu, Y.; Daoud, W.A.; Cheuk, K.K.L.; Lin, C.S.K. Newly Developed Techniques on Polycondensation, Ring-Opening Polymerization and Polymer Modification: Focus on Poly(Lactic Acid). Materials 2016, 9, 133. [Google Scholar] [CrossRef] [PubMed]
- Montané, X.; Montornes, J.M.; Nogalska, A.; Olkiewicz, M.; Giamberini, M.; Garcia-Valls, R.; Badia-Fabregat, M.; Jubany, I.; Tylkowski, B. Synthesis and Synthetic Mechanism of Polylactic Acid. Phys. Sci. Rev. 2020, 5, 20190102. [Google Scholar] [CrossRef]
- Balla, E.; Daniilidis, V.; Karlioti, G.; Kalamas, T.; Stefanidou, M.; Bikiaris, N.D.; Vlachopoulos, A.; Koumentakou, I.; Bikiaris, D.N. Poly(Lactic Acid): A Versatile Biobased Polymer for the Future with Multifunctional Properties—From Monomer Synthesis, Polymerization Techniques and Molecular Weight Increase to PLA Applications. Polymers 2021, 13, 1822. [Google Scholar] [CrossRef] [PubMed]
- Lasprilla, A.; Martinez, G.; Lunelli, B.; Jaimes Figueroa, J.E.; Jardini, A.; Filho, R. Synthesis and Characterization of Poly (Lactic Acid) for Use in Biomedical Field. Chem. Eng. Trans. 2011, 24, 985. [Google Scholar] [CrossRef]
- Ebrahimi, F.; Ramezani Dana, H. Poly Lactic Acid (PLA) Polymers: From Properties to Biomedical Applications. Int. J. Polym. Mater. Polym. Biomater. 2022, 71, 1117–1130. [Google Scholar] [CrossRef]
- Khouri, N.G.; Bahú, J.O.; Blanco-Llamero, C.; Severino, P.; Concha, V.O.C.; Souto, E.B. Polylactic Acid (PLA): Properties, Synthesis, and Biomedical Applications—A Review of the Literature. J. Mol. Struct. 2024, 1309, 138243. [Google Scholar] [CrossRef]
- Swetha, T.A.; Bora, A.; Mohanrasu, K.; Balaji, P.; Raja, R.; Ponnuchamy, K.; Muthusamy, G.; Arun, A. A Comprehensive Review on Polylactic Acid (PLA)—Synthesis, Processing and Application in Food Packaging. Int. J. Biol. Macromol. 2023, 234, 123715. [Google Scholar] [CrossRef]
- Sreekumar, K.; Bindhu, B.; Veluraja, K. Perspectives of Polylactic Acid from Structure to Applications. Polym. Renew. Resour. 2021, 12, 60–74. [Google Scholar] [CrossRef]
- Rajeshkumar, G.; Arvindh Seshadri, S.; Devnani, G.L.; Sanjay, M.R.; Siengchin, S.; Prakash Maran, J.; Al-Dhabi, N.A.; Karuppiah, P.; Mariadhas, V.A.; Sivarajasekar, N.; et al. Environment Friendly, Renewable and Sustainable Poly Lactic Acid (PLA) Based Natural Fiber Reinforced Composites—A Comprehensive Review. J. Clean. Prod. 2021, 310, 127483. [Google Scholar] [CrossRef]
- Nguyen, H.T.H.; Qi, P.; Rostagno, M.; Feteha, A.; Miller, S.A. The Quest for High Glass Transition Temperature Bioplastics. J. Mater. Chem. A 2018, 6, 9298–9331. [Google Scholar] [CrossRef]
- Raquez, J.-M.; Habibi, Y.; Murariu, M.; Dubois, P. Polylactide (PLA)-Based Nanocomposites. Prog. Polym. Sci. 2013, 38, 1504–1542. [Google Scholar] [CrossRef]
- de Albuquerque, T.L.; Marques Júnior, J.E.; de Queiroz, L.P.; Ricardo, A.D.S.; Rocha, M.V.P. Polylactic Acid Production from Biotechnological Routes: A Review. Int. J. Biol. Macromol. 2021, 186, 933–951. [Google Scholar] [CrossRef] [PubMed]
- Liu, S.; Qin, S.; He, M.; Zhou, D.; Qin, Q.; Wang, H. Current Applications of Poly(Lactic Acid) Composites in Tissue Engineering and Drug Delivery. Compos. Part B Eng. 2020, 199, 108238. [Google Scholar] [CrossRef]
- Narayanan, G.; Vernekar, V.N.; Kuyinu, E.L.; Laurencin, C.T. Poly (Lactic Acid)-Based Biomaterials for Orthopaedic Regenerative Engineering. Adv. Drug Deliv. Rev. 2016, 107, 247–276. [Google Scholar] [CrossRef] [PubMed]
- Castro-Aguirre, E.; Iñiguez-Franco, F.; Samsudin, H.; Fang, X.; Auras, R. Poly(Lactic Acid)—Mass Production, Processing, Industrial Applications, and End of Life. Adv. Drug Deliv. Rev. 2016, 107, 333–366. [Google Scholar] [CrossRef]
- Ramezani Dana, H.; Ebrahimi, F. Synthesis, Properties, and Applications of Polylactic Acid-Based Polymers. Polym. Eng. Sci. 2023, 63, 22–43. [Google Scholar] [CrossRef]
- Nielsen, V.G.; Pretorius, E. Iron and Carbon Monoxide Enhance Coagulation and Attenuate Fibrinolysis by Different Mechanisms. Blood Coagul. Fibrinolysis 2014, 25, 695. [Google Scholar] [CrossRef]
- Nielsen, V.G.; Pretorius, E. Iron-Enhanced Coagulation Is Attenuated by Chelation A Thrombelastographic and Ultrastructural Analysis. Blood Coagul. Fibrinolysis 2014, 25, 845. [Google Scholar] [CrossRef]
- Jiang, D.; Ning, F.; Wang, Y. Additive Manufacturing of Biodegradable Iron-Based Particle Reinforced Polylactic Acid Composite Scaffolds for Tissue Engineering. J. Mater. Process. Technol. 2021, 289, 116952. [Google Scholar] [CrossRef]
- Bakina, O.V.; Ivanova, L.Y.; Toropkov, N.E.; Senkina, E.I.; Lerner, M.I.; Glazkova, E.A.; Krinitsyn, M.G. Core–Shell Fe-Fe3O4 Nanoparticles for Synthesizing PLA Composites with Low Toxicity and High Radiopacity. Phys. Mesomech. 2022, 25, 270–278. [Google Scholar] [CrossRef]
- Basheer, E.P.M.; Rajkumar, S.; Karthikeyan, R.; Pradeep, V.P.; Marimuthu, K. Microstructural Characterization and Defects Analysis of FDM Based Composite Material (PLA-G-CF). Mater. Today Proc. 2022, 62, 2303–2309. [Google Scholar] [CrossRef]
- Boro, U.; Kashyap, N.; Moholkar, V.S. Sonochemical Synthesis of Poly(Lactic Acid) Nanocomposites with ZnO Nanoflowers: Effect of Nanofiller Morphology on Physical Properties. ACS Eng. Au 2022, 2, 46–60. [Google Scholar] [CrossRef]
- Mrozińska, Z.; Kudzin, M.H.; Ponczek, M.B.; Kaczmarek, A.; Król, P.; Lisiak-Kucińska, A.; Żyłła, R.; Walawska, A. Biochemical Approach to Poly(Lactide)–Copper Composite—Impact on Blood Coagulation Processes. Materials 2024, 17, 608. [Google Scholar] [CrossRef]
- Badaraev, A.D.; Nemoykina, A.L.; Bolbasov, E.N.; Tverdokhlebov, S.I. PLLA Scaffold Modification Using Magnetron Sputtering of the Copper Target to Provide Antibacterial Properties. Resour. Effic. Technol. 2017, 3, 204–211. [Google Scholar] [CrossRef]
- Wei, Q.; Yu, L.; Hou, D.; Huang, F. Surface Characterization and Properties of Functionalized Nonwoven. J. Appl. Polym. Sci. 2008, 107, 132–137. [Google Scholar] [CrossRef]
- Li, J.; Ren, G.-K.; Chen, J.; Chen, X.; Wu, W.; Liu, Y.; Chen, X.; Song, J.; Lin, Y.-H.; Shi, Y. Facilitating Complex Thin Film Deposition by Using Magnetron Sputtering: A Review. JOM 2022, 74, 3069–3081. [Google Scholar] [CrossRef]
- Shahidi, S.; Ghoranneviss, M.; Moazzenchi, B.; Rashidi, A.; Mirjalili, M. Investigation of Antibacterial Activity on Cotton Fabrics with Cold Plasma in the Presence of a Magnetic Field. Plasma Process. Polym. 2007, 4, S1098–S1103. [Google Scholar] [CrossRef]
- Lipinski, B.; Pretorius, E.; Oberholzer, H.M.; Van Der Spuy, W.J. Iron Enhances Generation of Fibrin Fibers in Human Blood: Implications for Pathogenesis of Stroke. Microsc. Res. Tech. 2012, 75, 1185–1190. [Google Scholar] [CrossRef] [PubMed]
- Pretorius, E.; Bester, J.; Vermeulen, N.; Lipinski, B. Oxidation Inhibits Iron-Induced Blood Coagulation. Curr. Drug Targets 2013, 14, 13–19. [Google Scholar] [CrossRef] [PubMed][Green Version]
- Wu, Y.; Gao, X.; Wu, J.; Zhou, T.; Nguyen, T.T.; Wang, Y. Biodegradable Polylactic Acid and Its Composites: Characteristics, Processing, and Sustainable Applications in Sports. Polymers 2023, 15, 3096. [Google Scholar] [CrossRef] [PubMed]
- Trivedi, A.K.; Gupta, M.K.; Singh, H. PLA Based Biocomposites for Sustainable Products: A Review. Adv. Ind. Eng. Polym. Res. 2023, 6, 382–395. [Google Scholar] [CrossRef]
- ISO 15632:2012; Microbeam Analysis–Selected Instrumental Performance Parameters for the Specification and Checking of Energy-Dispersive X-Ray Spectrometers for Use in Electron Probe Microanalysis. International Organization for Standardization: Geneva, Switzerland, 2012.
- Kluska, M.; Juszczak, M.; Wysokiński, D.; Żuchowski, J.; Stochmal, A.; Woźniak, K. Kaempferol Derivatives Isolated from Lens Culinaris Medik. Reduce DNA Damage Induced by Etoposide in Peripheral Blood Mononuclear Cells. Toxicol. Res. 2019, 8, 896–907. [Google Scholar] [CrossRef]
- O’Brien, J.; Wilson, I.; Orton, T.; Pognan, F. Investigation of the Alamar Blue (Resazurin) Fluorescent Dye for the Assessment of Mammalian Cell Cytotoxicity. Eur. J. Biochem. 2000, 267, 5421–5426. [Google Scholar] [CrossRef] [PubMed]
- Mathews, S.; Hans, M.; Mücklich, F.; Solioz, M. Contact Killing of Bacteria on Copper Is Suppressed If Bacterial-Metal Contact Is Prevented and Is Induced on Iron by Copper Ions. Appl. Environ. Microbiol. 2013, 79, 2605–2611. [Google Scholar] [CrossRef] [PubMed]
- Liu, G.; Guan, J.; Wang, X.; Yu, J.; Ding, B. Polylactic Acid (PLA) Melt-Blown Nonwovens with Superior Mechanical Properties. ACS Sustain. Chem. Eng. 2023, 11, 4279–4288. [Google Scholar] [CrossRef]
- Yu, J.; Tian, H.; Wang, Z.; Tan, Z.; Pan, H.; Zhao, Y.; Zhang, H.; Bian, J. Effect of Molecular Weight on the Properties and Structure of Biodegradable Poly-Lactic Acid Melt-Blown Nonwovens. J. Polym. Res. 2024, 31, 77. [Google Scholar] [CrossRef]
- Makowski, T.; Svyntkivska, M.; Piorkowska, E.; Kregiel, D. Multifunctional Polylactide Nonwovens with 3D Network of Multiwall Carbon Nanotubes. Appl. Surf. Sci. 2020, 527, 146898. [Google Scholar] [CrossRef]
- Kudzin, M.H.; Mrozińska, Z.; Kaczmarek, A.; Lisiak-Kucińska, A. Deposition of copper on Poly(Lactide) non-woven fabrics by magnetron sputtering-fabrication of new multi-functional, antimicrobial composite materials. Materials 2020, 13, 3971. [Google Scholar] [CrossRef]
- Thommes, M.; Kaneko, K.; Neimark, A.V.; Olivier, J.P.; Rodriguez-Reinoso, F.; Rouquerol, J.; Sing, K.S.W. Physisorption of Gases, with Special Reference to the Evaluation of Surface Area and Pore Size Distribution (IUPAC Technical Report). Pure Appl. Chem. 2015, 87, 1051–1069. [Google Scholar] [CrossRef]
- Qi, L.; Tang, X.; Wang, Z.; Peng, X. Pore Characterization of Different Types of Coal from Coal and Gas Outburst Disaster Sites Using Low Temperature Nitrogen Adsorption Approach. Int. J. Min. Sci. Technol. 2017, 27, 371–377. [Google Scholar] [CrossRef]
- Xu, L.; Zhang, J.; Ding, J.; Liu, T.; Shi, G.; Li, X.; Dang, W.; Cheng, Y.; Guo, R. Pore Structure and Fractal Characteristics of Different Shale Lithofacies in the Dalong Formation in the Western Area of the Lower Yangtze Platform. Minerals 2020, 10, 72. [Google Scholar] [CrossRef]
- Sing, K.S.W. Reporting Physisorption Data for Gas/Solid Systems with Special Reference to the Determination of Surface Area and Porosity (Recommendations 1984). Pure Appl. Chem. 1985, 57, 603–619. [Google Scholar] [CrossRef]
- Alothman, Z.A. A Review: Fundamental Aspects of Silicate Mesoporous Materials. Materials 2012, 5, 2874–2902. [Google Scholar] [CrossRef]
- Lowell, S.; Shields, J.E.; Thomas, M.A.; Thommes, M. Characterization of Porous Solids and Powders: Surface Area, Pore Size and Density; Springer Science & Business Media: Berlin, Germany, 2012; ISBN 978-1-4020-2303-3. [Google Scholar]
- Gregg, S.J.; Sing, K.S.W.; Salzberg, H.W. Adsorption Surface Area and Porosity. J. Electrochem. Soc. 1967, 114, 279Ca. [Google Scholar] [CrossRef]
- Medrano, V.G.B.; Celis, V.N.; Giraldo, R.I. Systematic Analysis of the Nitrogen Adsorption-Desorption Isotherms Recorded for a Series of Microporous—Mesoporous Amorphous Aluminosilicates Using Classical Methods. J. Chem. Eng. Data 2023, 68, 2512–2528. [Google Scholar] [CrossRef]
- Toyama, T.; Kobayashi, M.; Rubiy, A.; Morikawa, M.; Mori, K. Sulfamethoxazole removal and fuel-feedstock biomass production from wastewater in a phyto-Fenton process using duckweed culture. Chemosphere 2024, 361, 142592. [Google Scholar] [CrossRef] [PubMed]
- Fernando, P.D.S.M.; Ko, D.O.; Piao, M.J.; Kang, K.A.; Herath, H.M.U.L.; Hyun, J.W. Protective effect of luteolin against oxidative stress-mediated cell injury via enhancing antioxidant systems. Mol. Med. Rep. 2024, 30, 121. [Google Scholar] [CrossRef]
- Huang, Y.; Liu, H.; Zhao, Y.; Chen, H.; Li, Q.; Li, X.; Hua, S.; Cao, D.; Chang, Y. Disrupting redox homeostasis for tumor therapy based on PDT/chemo/ferroptosis therapeutic hybrid liposomes. RSC Adv. 2024, 14, 20152–20162. [Google Scholar] [CrossRef]
- Singh, N.P.; McCoy, M.T.; Tice, R.R.; Schneider, E.L. A Simple Technique for Quantitation of Low Levels of DNA Damage in Individual Cells. Exp. Cell Res. 1988, 175, 184–191. [Google Scholar] [CrossRef] [PubMed]
- Sikorska, M.; Ruzycka-Ayoush, M.; Rios-Mondragon, I.; Longhin, E.M.; Meczynska-Wielgosz, S.; Wojewodzka, M.; Kowalczyk, A.; Kasprzak, A.; Nowakowska, J.; Sobczak, K.; et al. Lack of cytotoxic and genotoxic effects of mPEG-silane coated iron(III) oxide nanoparticles doped with magnesium despite cellular uptake in cancerous and noncancerous lung cells. Toxicol. In Vitro 2024, 99, 105850. [Google Scholar] [CrossRef] [PubMed]
- Yue, R.; Niu, J.; Li, Y.; Ke, G.; Huang, H.; Pei, J.; Ding, W.; Yuan, G. In vitro cytocompatibility, hemocompatibility and antibacterial properties of biodegradable Zn-Cu-Fe alloys for cardiovascular stents applications. Mater. Sci. Eng. C Mater. Biol. Appl. 2020, 113, 111007. [Google Scholar] [CrossRef] [PubMed]
- Peng, X.; Xu, L.; Zeng, M.; Dang, H. Application and Development Prospect of Nanoscale Iron Based Metal-Organic Frameworks in Biomedicine. Int. J. Nanomed. 2023, 18, 4907–4931. [Google Scholar] [CrossRef] [PubMed]














| Extruder Temperature [°C] | Air Flow Rate [mln3/godz.] | Mass per Unit Area of Nonwoven Fabrics [g/m] | Yield [g/min] | ||||
|---|---|---|---|---|---|---|---|
| Zone 1 | Zone 2 | Zone 3 | Head | Air Heater | |||
| 190 | 240 | 260 | 260 | 260 | 8–9 | 200 | 6 |
| Target | Power Discharge | Power Density | Working Pressure | Working Atmosphere | Distance between Sample and Target | Deposition Time | Sputtered Sample Size |
|---|---|---|---|---|---|---|---|
| Iron 99.99% | 0.4; 0.8 [kW] | 0.60 [W/cm2] | 2.1 × 10−3 [mbar] | Argon | 15 [cm] | 20; 40 [min] | 60 × 20 [cm × cm] |
| Sample Name | Power Discharge [kW] | Sp.T. /a [min] | Iron Bulk Concentration | |
|---|---|---|---|---|
| [g/kg] /b,c | MBC /d [mol/kg] | |||
| PLA | - | - | - | - |
| PLA-Fe(0.4kW/20) | 0.4 | 20 | 2231 | 0.04 |
| PLA-Fe(0.4kW/40) | 0.4 | 40 | 18,832 | 0.34 |
| PLA-Fe(0.8kW/20) | 0.8 | 20 | 4422 | 0.08 |
| PLA-Fe(0.8kW/40) | 0.8 | 40 | 28,341 | 0.51 |
| Sample Name | Specific Surface Area (SSA) [m2/g] | Total Pore Volume (TPV) [cm3/g] | Average Pore Diameter (D) [nm] |
|---|---|---|---|
| PLA | 0.9470 | 2.868 × 10−3 | 14.92 |
| PLA-Fe(0.4kW/20) | 0.9082 | 2.605 × 10−3 | 15.47 |
| PLA-Fe(0.4kW/40) | 0.7659 | 2.128 × 10−3 | 18.03 |
| PLA-Fe(0.8kW/20) | 0.8681 | 2.554 × 10−3 | 16.59 |
| PLA-Fe(0.8kW/40) | 0.7028 | 2.008 × 10−3 | 18.45 |
Disclaimer/Publisher’s Note: The statements, opinions and data contained in all publications are solely those of the individual author(s) and contributor(s) and not of MDPI and/or the editor(s). MDPI and/or the editor(s) disclaim responsibility for any injury to people or property resulting from any ideas, methods, instructions or products referred to in the content. |
© 2024 by the authors. Licensee MDPI, Basel, Switzerland. This article is an open access article distributed under the terms and conditions of the Creative Commons Attribution (CC BY) license (https://creativecommons.org/licenses/by/4.0/).
Share and Cite
Mrozińska, Z.; Świerczyńska, M.; Juszczak, M.; Woźniak, K.; Kudzin, M.H. Poly(Lactide) Nonwoven Fabric with Iron Coating and Its Biological Properties. Coatings 2024, 14, 1050. https://doi.org/10.3390/coatings14081050
Mrozińska Z, Świerczyńska M, Juszczak M, Woźniak K, Kudzin MH. Poly(Lactide) Nonwoven Fabric with Iron Coating and Its Biological Properties. Coatings. 2024; 14(8):1050. https://doi.org/10.3390/coatings14081050
Chicago/Turabian StyleMrozińska, Zdzisława, Małgorzata Świerczyńska, Michał Juszczak, Katarzyna Woźniak, and Marcin H. Kudzin. 2024. "Poly(Lactide) Nonwoven Fabric with Iron Coating and Its Biological Properties" Coatings 14, no. 8: 1050. https://doi.org/10.3390/coatings14081050
APA StyleMrozińska, Z., Świerczyńska, M., Juszczak, M., Woźniak, K., & Kudzin, M. H. (2024). Poly(Lactide) Nonwoven Fabric with Iron Coating and Its Biological Properties. Coatings, 14(8), 1050. https://doi.org/10.3390/coatings14081050

