Characterization of Argon/Hydrogen Inductively Coupled Plasma for Carbon Removal over Multilayer Thin Films
Abstract
:1. Introduction
2. Experimental Setup
3. Simulation Model
3.1. Plasma Module
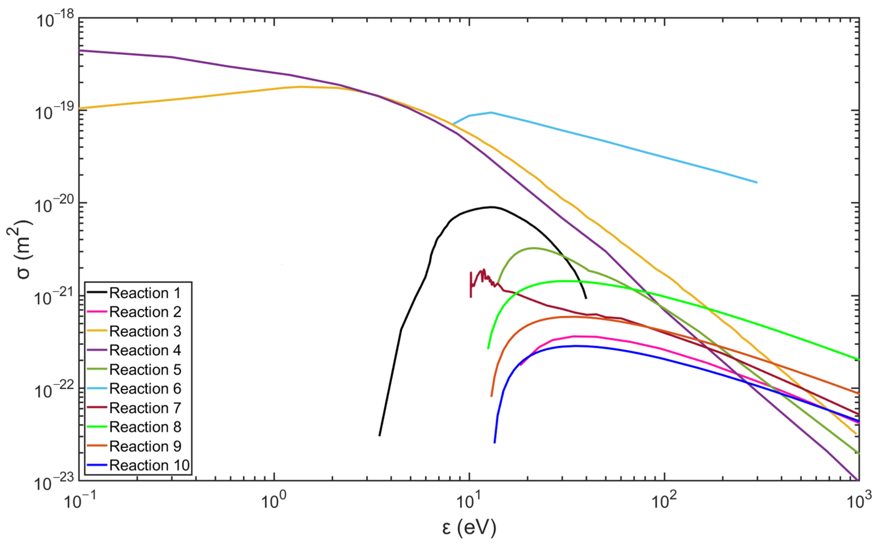
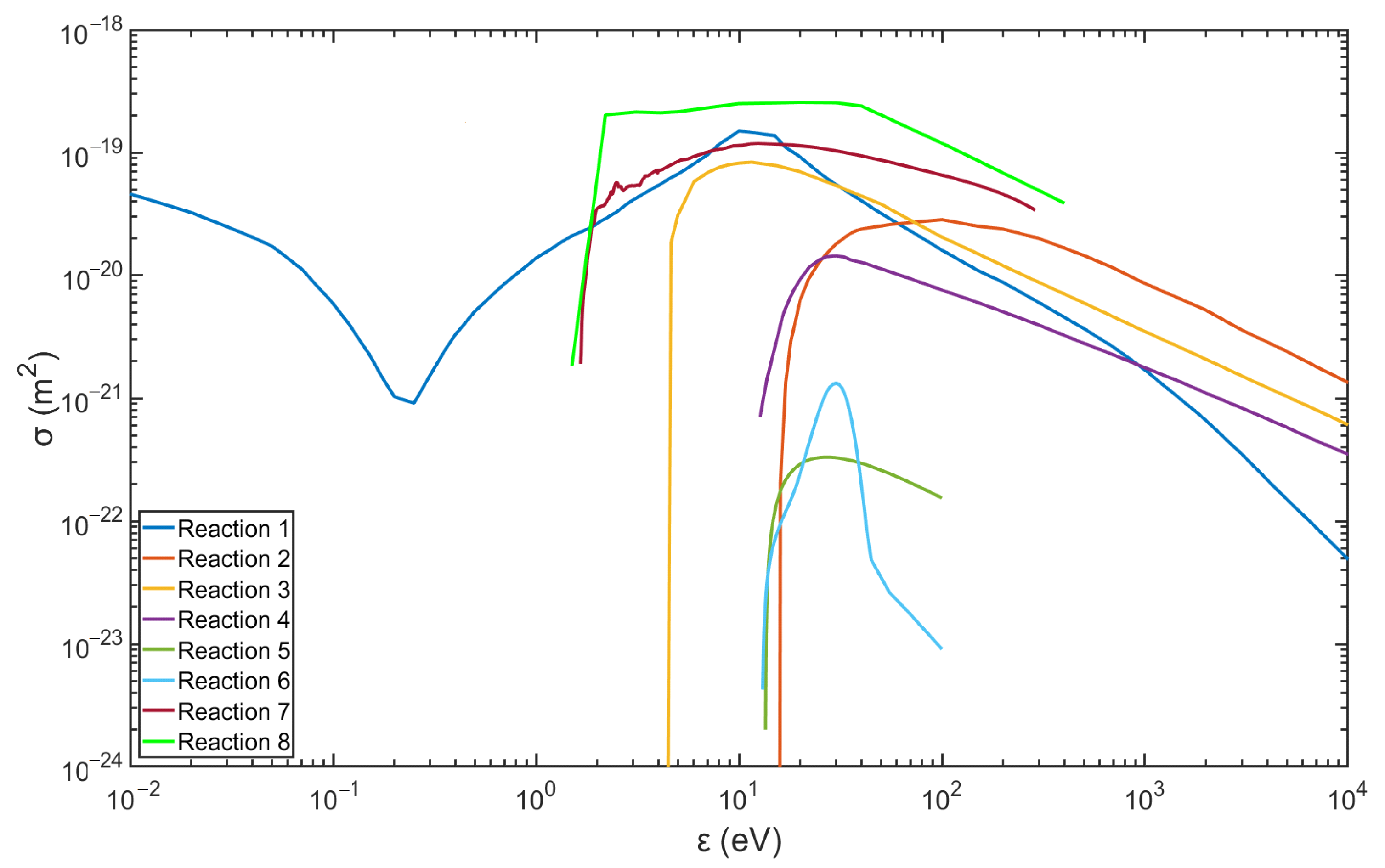
3.2. Reactions in Ar/H2 Plasma
| No. | Reaction Type | Reaction | Energy Δε (eV) | Wavelength λ(nm)/ Einstein Coefficient A(1/s) | Source |
|---|---|---|---|---|---|
| 1 | Dissociation | e + H2 → e + H(1s) + H(1s) | 4.52 | / | [25] |
| 2 | Dissociation | e + H2 → e + H(1s) + H(2s) | 4.52 | / | [25] |
| 3 | Elastic | e + H2 → e + H2 | / | / | [25] |
| 4 | Elastic | e + H(1s) → e + H(1s) | / | / | [26] |
| 5 | Ionization | e + H(1s) → 2e + H+ | 13.6 | / | [25] |
| 6 | Ionization | e + H(2s) → 2e + H+ | 3.4 | / | [25] |
| 7 | Excitation | e + H(1s) → e + H(2s) | 10.2 | / | [25] |
| 8 | Excitation | e + H(1s) → e + H(3s) | 12.09 | / | [25] |
| 9 | Excitation | e + H(1s) → e + H(4s) | 12.75 | / | [25] |
| 10 | Excitation | e + H(1s) → e + H(5s) | 13.5 | / | [27] |
| 11 | Relaxation | H(3s) → H(2s) | / | 656.279/2.2e7 | [28] |
| 12 | Relaxation | H(4s) → H(2s) | / | 486.135/9.7e6 | [28] |
| 13 | Relaxation | H(5s) → H(2s) | / | 434.047/4.9e6 | [28] |
| 14 | Relaxation | H(2s) → H(1s) | / | / | / |
| 15 | Recombination | e + H+ → H(1s) | / | / | / |
| 16 | Recombination | H(1s) + H(1s) → H2 | / | / | / |
| 17 | Recombination | H(1s) + H(2s) → H2 | / | / | / |
| No. | Reaction Type | Reaction | Energy Δε (eV) | Wavelength λ(nm)/ Einstein Coefficient A(1/s) | Source |
|---|---|---|---|---|---|
| 1 | Elastic | e + Ar → e + Ar | / | / | [25] |
| 2 | Ionization | e + Ar → 2e + Ar+ | 15.76 | / | [25] |
| 3 | Ionization | e + Ar(1s5) → 2e + Ar+ | 4.427 | / | [26] |
| 4 | Excitation | e + Ar → e + Ar(1s5) | 11.55 | / | [25] |
| 5 | Excitation | e + Ar → e + Ar(2p1) | 13.48 | / | [25] |
| 6 | Excitation | e + Ar → e + Ar(2p9) | 13.08 | / | [25] |
| 7 | Excitation | e + Ar(1s5) → e + Ar(2p9) | 1.527 | / | [27] |
| 8 | Excitation | e + Ar(1s2) → e + Ar(2p1) 1 | 1.652 | / | [27] |
| 9 | Relaxation | Ar(2p1) → Ar(1s2) 1 | / | 750.38/4.5e7 | [31] |
| 10 | Relaxation | Ar(2p9) → Ar(1s5) | / | 811.53/3.3e7 | [31] |
| 11 | Recombination | e + Ar+ → Ar | / | / | / |
| 12 | Relaxation | Ar(1s5) → Ar | / | / | / |
4. Results and Discussion
4.1. Characterization of Ar/H2 Plasma with OES
4.2. Comparison between Spectra and Simulation Results
4.3. Characterization of Reactions between Carbon and Ar/H2 Plasma
5. Conclusions
Author Contributions
Funding
Institutional Review Board Statement
Informed Consent Statement
Data Availability Statement
Acknowledgments
Conflicts of Interest
References
- Lee, Y.-K.; Chung, C.-W. Ionization in inductively coupled argon plasmas studied by optical emission spectroscopy. J. Appl. Phys. 2011, 109, 013306. [Google Scholar] [CrossRef]
- Meillot, E.; Vincent, S.; Bot, C.-L.; Sarret, F.; Caltagirone, J.P.; Bianchi, L. Numerical simulation of unsteady ArH2 plasma spray impact on a moving substrate. Surf. Coat. Technol. 2015, 268, 257–265. [Google Scholar] [CrossRef]
- Zhang, T.; Mariaux, G.; Vardelle, A.; Li, C.-J. Numerical Simulation of Plasma Jet Characteristics under Very Low-Pressure Plasma Spray Conditions. Coatings 2021, 11, 726. [Google Scholar] [CrossRef]
- Sode, M.; Schwarz-Selinger, T.; Jacob, W. Ion chemistry in H2-Ar low temperature plasmas. J. Appl. Phys. 2013, 114, 063302. [Google Scholar] [CrossRef]
- Espinho, S.; Felizardo, E.; Tatarova, E.; Dias, F.M.; Ferreira, C.M. Vacuum ultraviolet emission from microwave Ar-H2 plasmas. Appl. Phys. Lett. 2013, 102, 114101. [Google Scholar] [CrossRef]
- Monna, V.; Ricard, A. Emission spectroscopy of Ar–H2 plasma. Vacuum 2001, 61, 409. [Google Scholar] [CrossRef]
- Fan, L.-S.; Constantin, L.; Li, D.-W.; Liu, L.; Keramatnejad, K.; Azina, C.; Huang, X.; Golgir, H.R.; Lu, Y.; Ahmadi, Z.; et al. Ultraviolet laser photolysis of hydrocarbons for nondiamond carbon suppression in chemical vapor deposition of diamond films. Light Sci. Appl. 2018, 7, 17177. [Google Scholar] [CrossRef] [PubMed]
- Edwards, C.; Arbabi, A.; Popescu, G.; Goddard, L.L. Optically monitoring and controlling nanoscale topography during semiconductor etching. Light Sci. Appl. 2012, 1, e30. [Google Scholar] [CrossRef]
- Bajt, S.; Prasciolu, M.; Fleckenstein, H.; Domaracký, M.; Chapman, H.N.; Morgan, A.J.; Yefanov, O.; Messerschmidt, M.; Du, Y.; Murray, T.; et al. X-ray focusing with efficient high-NA multilayer Laue lenses. Light Sci. Appl. 2018, 7, 17162. [Google Scholar] [CrossRef]
- Chen, J.; Louis, E.; Lee, C.-J.; Wormeester, H.; Kunze, R.; Schmidt, H.; Schneider, D.; Moors, R.; Van Schaik, W.; Lubomska, M.; et al. Detection and characterization of carbon contamination on EUV multilayer mirrors. Opt. Express 2009, 17, 16969–16979. [Google Scholar] [CrossRef]
- Kerkhof, M.; Liu, F.; Meeuwissen, M.; Zhang, X.; de Kruif, R.; Davydova, N.; Schiffelers, G.; Wählisch, F.; van Setten, E.; Varenkamp, W.; et al. Spectral purity performance of high-power EUV systems. In Proceedings of the Advanced Lithography, San Jose, CA, USA, 23–27 March 2020. [Google Scholar]
- Comini, N.; Huthwelker, T.; Diulus, J.-T.; Osterwalder, J.; Novotny, Z. Factors influencing surface carbon contamination in ambient-pressure X-ray photoelectron spectroscopy experiments. J. Vac. Sci. Technol. 2021, 39, 043203. [Google Scholar] [CrossRef]
- Pellegrin, E.; Sics, I.; Reyes-Herrera, J.; Sempere, C.P.; Alcolea, J.J.L.; Langlois, M.; Rodriguez, J.F.; Carlino, V. Characterization, optimization and surface physics aspects of in situ plasma mirror cleaning. J. Synchrotron Radiat. 2014, 21, 300–314. [Google Scholar] [CrossRef]
- Wang, Y.; Lu, Q.-P.; Gao, Y.-G.; Gong, X.-P.; Song, Y. Enhanced removal of X-ray-induced carbon contamination using radio-frequency Ar/H2 plasma. Nucl. Sci. Technol. 2019, 30, 26. [Google Scholar] [CrossRef]
- COMSOL. AB Stockholm Sweden. 2019. Available online: www.comsol.com (accessed on 5 August 2022).
- Tsumaki, M.; Ito, T. Optical emission spectroscopy of atmospheric-pressure non-equilibrium plasma with mist injection. AIP Adv. 2017, 7, 125211. [Google Scholar] [CrossRef]
- Dolgov, A.; Lopaev, D.; Lee, C.J.; Zoethout, E.; Medvedev, V.; Yakushev, O.; Bijkerk, F. Characterization of carbon contamination under ion and hot atom bombardment in a tin-plasma extreme ultraviolet light source. Appl. Surf. Sci. 2015, 353, 708. [Google Scholar] [CrossRef]
- Malykhin, E.M.; Lopaev, D.V.; Rakhimov, A.T.; Rakhimova, T.V.; Braginskii, O.V.; Kovalev, A.S.; Vasil’Eva, A.N.; Zyryanov, S.M. Plasma cleaning of multilayer mirrors in EUV lithography from amorphous carbon contaminations. Mosc. Univ. Phys. 2011, 66, 184–189. [Google Scholar] [CrossRef]
- Cabrera, S.E.; Gehring, T.; Denk, F.; Jin, Q.; Dycke, J.; Renschler, M.; Hiller, M.; Lemmer, U.; Kling, R. SiC-Based Resonant Converters with ZVS Operated in MHz Range Driving Rapidly Variable Loads: Inductively Coupled Plasmas as a Case of Study. IEEE Trans. Power Electron. 2022, 37, 7775. [Google Scholar] [CrossRef]
- COMSOL Plasma Module User’s Guide. Available online: https://doc.comsol.com/5.3/doc/com.comsol.help.plasma/PlasmaModuleUsersGuide.pdf (accessed on 5 August 2022).
- Das, S.; Das, D.-P.; Sarangi, C.-K.; Bhoi, B.; Mishra, B.K.; Ghosh, J. Optical Emission Spectroscopy Study of Ar–H2 Plasma at Atmospheric Pressure. IEEE Trans. Plasma Sci. 2018, 46, 2909. [Google Scholar] [CrossRef]
- Mao, P.; Liu, C.; Li, X.; Liu, M.; Chen, Q.; Han, M.; Maier, S.A.; Sargent, E.H.; Zhang, S. Single-step-fabricated disordered metasurfaces for enhanced light extraction from LEDs. Light Sci. Appl. 2021, 10, 180. [Google Scholar] [CrossRef]
- Iordanova, S.; Koleva, I.; Pauska, T. Hydrogen Degree of Dissociation in a low-pressure tandem plasma source. Spectrosc. Lett. 2011, 44, 8. [Google Scholar] [CrossRef]
- Mauer, G. How Hydrogen Admixture Changes Plasma Jet Characteristics in Spray Processes at Low Pressure. Plasma Chem. Plasma Process 2021, 41, 109. [Google Scholar] [CrossRef]
- Biagi Database. Available online: www.lxcat.net/Biagi (accessed on 22 August 2022).
- TRINITI Database. Available online: www.lxcat.net/TRINITI (accessed on 22 August 2022).
- NGFSRDW Database. Available online: www.lxcat.net/NGFSRDW (accessed on 22 August 2022).
- IST-Lisbon Database. Available online: www.lxcat.net/IST-Lisbon (accessed on 22 August 2022).
- Jelenak, Z.M.; Velikić, Z.B.; Božin, J.V.; Petrović, Z.L.; Jelenković, B.M. Electronic excitation of the 750- and 811-nm lines of argon. Phys. Rev. E 1993, 47, 3566. [Google Scholar] [CrossRef] [PubMed]
- Clarenbach, B.; Lorenz, B.; Krämer, M.; Sadeghi, N. Time-dependent gas density and temperature measurements in pulsed helicon discharges in argon. Plasma Sources Sci. Technol. 2003, 12, 345. [Google Scholar] [CrossRef]
- NIST Database. Available online: www.physics.nist.gov (accessed on 22 August 2022).
- Krasnov, A.E.; Ryzhkova, D.Y.; Vagin, V.A. Methodology for identifying gaseous constituents of the atmosphere. J. Phys. Conf. Ser. 2021, 2091, 012015. [Google Scholar] [CrossRef]
- Gordillo-Vázquez, F.J.; Camero, M.; Gómez-Aleixandre, C. Spectroscopic measurements of the electron temperature in low pressure radiofrequency Ar/H2/C2H2 and Ar/H2/CH4 plasmas used for the synthesis of nanocarbon structures. Plasma Sources Sci. Technol. 2006, 15, 42. [Google Scholar] [CrossRef]
- Yang, W.; Gao, F.; Wang, Y. Conductivity effects during the transition from collisionless to collisional regimes in cylindrical inductively coupled plasmas. Plasma Sci. Technol. 2022, 24, 055401. [Google Scholar] [CrossRef]
- Hamann, S.; Rond, C.; Pipa, A.V.; Warte, M.; Lombardi, G.; Gicquel, A.; Röpcke, J. Spectroscopic study of H2 microwave plasmas with small admixtures of CH4 and B2H6 used for doped diamond deposition. Plasma Sources Sci. Technol. 2014, 23, 045015. [Google Scholar] [CrossRef]
- Fiebrandt, M.; Oberberg, M.; Awakowicz, P. Comparison of Langmuir probe and multipole resonance probe measurements in argon, hydrogen, nitrogen, and oxygen mixtures in a double ICP discharge. J. App. Phys. 2017, 122, 013302. [Google Scholar] [CrossRef]












| Chamber | Value | Unit | Coil | Value | Unit |
|---|---|---|---|---|---|
| Length | 198 | mm | Length | 50 | mm |
| Outer diameter | 114 | mm | Outer diameter | 24 | mm |
| Inner diameter | 24 | mm | Inner diameter | 22 | mm |
| Volume | 1930 | cm3 | Frequency | 2.85 | MHz |
| Pressure | 5 | Pa | Power | 165 | W |
| Turns | 31 | / |
| Variable | Description | SI Unit | Variable | Description | SI Unit |
|---|---|---|---|---|---|
| Electron density | 1/m3 | Electron flux | 1/(m2·s) | ||
| Electron rate | 1/(m3·s) | Neutral fluid velocity vector | m/s | ||
| Electron mobility | m2/(V·s) | Electric field | V/m | ||
| Diffusion coefficient | m2/s | Electron energy density | eV/m3 | ||
| Electron energy flux | V/(m2·s) | Energy change | eV/(m3·s) | ||
| External heat source | W/m3 | Generalized heat source | W/m3 | ||
| Charge | C | Electron energy mobility | m2/(V·s) | ||
| Electron energy diffusivity | m2/s | Imaginary unit | / | ||
| Plasma conductivity | S/m | Permittivity | F/m | ||
| Vacuum permeability | N/A2 | Applied current density | A/m2 |
Disclaimer/Publisher’s Note: The statements, opinions and data contained in all publications are solely those of the individual author(s) and contributor(s) and not of MDPI and/or the editor(s). MDPI and/or the editor(s) disclaim responsibility for any injury to people or property resulting from any ideas, methods, instructions or products referred to in the content. |
© 2023 by the authors. Licensee MDPI, Basel, Switzerland. This article is an open access article distributed under the terms and conditions of the Creative Commons Attribution (CC BY) license (https://creativecommons.org/licenses/by/4.0/).
Share and Cite
Wang, Y.; Gehring, T.; Jin, Q.; Dycke, J.; Kling, R. Characterization of Argon/Hydrogen Inductively Coupled Plasma for Carbon Removal over Multilayer Thin Films. Coatings 2023, 13, 368. https://doi.org/10.3390/coatings13020368
Wang Y, Gehring T, Jin Q, Dycke J, Kling R. Characterization of Argon/Hydrogen Inductively Coupled Plasma for Carbon Removal over Multilayer Thin Films. Coatings. 2023; 13(2):368. https://doi.org/10.3390/coatings13020368
Chicago/Turabian StyleWang, Yi, Tim Gehring, Qihao Jin, Jan Dycke, and Rainer Kling. 2023. "Characterization of Argon/Hydrogen Inductively Coupled Plasma for Carbon Removal over Multilayer Thin Films" Coatings 13, no. 2: 368. https://doi.org/10.3390/coatings13020368
APA StyleWang, Y., Gehring, T., Jin, Q., Dycke, J., & Kling, R. (2023). Characterization of Argon/Hydrogen Inductively Coupled Plasma for Carbon Removal over Multilayer Thin Films. Coatings, 13(2), 368. https://doi.org/10.3390/coatings13020368

