Effects of Substrate Temperature on Nanomechanical Properties of Pulsed Laser Deposited Bi2Te3 Films
Abstract
:1. Introduction
2. Materials and Methods
3. Results and Discussion
4. Conclusions
Author Contributions
Funding
Institutional Review Board Statement
Informed Consent Statement
Data Availability Statement
Acknowledgments
Conflicts of Interest
References
- Luo, X.; Sullivan, M.B.; Quek, S.Y. First-principles investigations of the atomic, electronic, and thermoelectric properties of equilibrium and strained Bi2Se3 and Bi2Te3 including van der Waals interactions. Phys. Rev. B 2012, 86, 184111. [Google Scholar] [CrossRef] [Green Version]
- Rowe, D.M. CRC Handbook of Thermoelectrics; CRC Press Inc.: New York, NY, USA, 1995. [Google Scholar]
- Mansoor, M.A.; Ismail, A.; Yahya, R.; Arifin, Z.; Tiekink, E.R.T.; Weng, N.S.; Mazhar, M.; Esmaeili, A.R. Perovskite-structured PbTiO3 thin films grown from a single-source precursor. Inorg. Chem. 2013, 52, 5624–5626. [Google Scholar]
- Munawar, K.; Mansoor, M.A.; Olmstead, M.M.; Zaharinie, T.; Zubir, M.N.M.; Haniffa, M.; Wan Jefrey Basirun, W.J.; Mazhar, M. Fabrication of Ag–ZnO composite thin films for plasmonic enhanced water splitting. Mater. Chem. Phys. 2020, 255, 123220. [Google Scholar] [CrossRef]
- Liaqat, R.; Mansoor, M.A.; Iqbal, J.; Jilani, A.; Shakir, S.; Kalam, A.; Wageh, S. Fabrication of metal (Cu and Cr) incorporated nickel oxide films for electrochemical oxidation of methanol. Crystals 2021, 11, 1398. [Google Scholar] [CrossRef]
- Le, P.H.; Liao, C.-N.; Luo, C.W.; Leu, J. Thermoelectric properties of nanostructured bismuth–telluride thin films grown using pulsed laser deposition. J. Alloys Compd. 2014, 615, 546–552. [Google Scholar] [CrossRef]
- Nandihalli, N. Thermoelectric films and periodic structures and spin Seebeck effect systems: Facets of performance optimization. Mater. Today Energy 2022, 25, 100965. [Google Scholar] [CrossRef]
- Nandihalli, N.; Liu, C.-J.; Mori, T. Polymer based thermoelectric nanocomposite materials and devices: Fabrication and characteristics. Nano Energy 2020, 78, 105186. [Google Scholar] [CrossRef]
- Bao, L.H.; Xu, Z.H.; Li, R.; Li, X.D. Catalyst-free synthesis and structural and mechanical characterization of single crystalline Ca2B2O5·H2O nanobelts and stacking faulted Ca2B2O5 nanogrooves. Nano Lett. 2010, 10, 255–262. [Google Scholar] [CrossRef]
- Sun, Y.; Liu, J.; Blom, D.; Koley, G.; Duan, Z.; Wang, G.; Li, X.D. Atomic-scale imaging correlation on the deformation and sensing mechanisms of SnO2 nanowire. Appl. Phys. Lett. 2014, 105, 243105. [Google Scholar] [CrossRef]
- Jiang, T.; Khabaz, F.; Marne, A.; Wu, C.; Gearba, R.; Bodepudi, R.; Bonnecaze, R.T.; Liechti, K.M.; Korgel, B.A. Mechanical properties of hydrogenated amorphous silicon (a-Si:H) particles. J. Appl. Phys. 2019, 126, 204303. [Google Scholar] [CrossRef]
- Wiatrowski, A.; Obstarczyk, A.; Mazur, M.; Kaczmarek, D.; Wojcieszak, D. Characterization of HfO2 optical coatings deposited by mf magnetron sputtering. Coatings 2019, 9, 106. [Google Scholar] [CrossRef] [Green Version]
- Wang, S.H.; Jian, S.R.; Chen, G.J.; Cheng, H.Z.; Juang, J.Y. Annealing-driven microstructural evolution and its effects on the surface and nanomechanical properties of Cu-doped NiO thin films. Coatings 2019, 9, 107. [Google Scholar] [CrossRef] [Green Version]
- Bayansal, F.; Şahin, O.; Ҫetinkara, H.A. Mechanical and structural properties of Li-doped CuO thin films deposited by the successive ionic layer adsorption and reaction method. Thin Solid Films 2020, 697, 137839. [Google Scholar] [CrossRef]
- Li, X.D.; Bhushan, B. A review of nanoindentation continuous stiffness measurement technique and its applications. Mater. Charact. 2002, 48, 11–36. [Google Scholar] [CrossRef]
- Sneddon, I.N. The relation between load and penetration in the axisymmetric boussinesq problem for a punch of arbitrary profile. Int. J. Eng. Sci. 1965, 3, 47–57. [Google Scholar] [CrossRef]
- Oliver, W.C.; Pharr, G.M. An improved technique for determining hardness and elastic modulus using load and displacement sensing indentation experiments. J. Mater. Res. 1992, 7, 1564–1583. [Google Scholar] [CrossRef]
- Chen, Y.L.; Analytis, J.G.; Chu, J.H.; Liu, Z.K.; Mo, S.K.; Qi, X.L.; Zhang, H.J.; Lu, D.H.; Dai, X.; Fang, Z.; et al. Experimental realization of a three-dimensional topological insulator, Bi2Te3. Science 2009, 325, 178–181. [Google Scholar] [CrossRef] [Green Version]
- Cullity, B.D.; Stock, S.R. Element of X-ray Diffraction; Prentice Hall: Upper Saddle River, NJ, USA, 2001; p. 170. [Google Scholar]
- Goh, K.H.; Haseeb, A.S.M.A.; Wong, Y.H. Effect of oxidation temperature on physical and electrical properties of Sm2O3 thin-film gate oxide on Si substrate. J. Electron. Mater. 2016, 45, 5302–5312. [Google Scholar] [CrossRef]
- Venkatewarlu, K.; Bose, A.C.; Rameshbabu, N. X-ray peak broadening studies of nanocrystalline hydroxyapatite by Williamson–Hall analysis. Physica B 2010, 405, 4256–4261. [Google Scholar] [CrossRef]
- Lamuta, C.; Cupolillo, A.; Politano, A.; Aliev, Z.S.; Babanly, M.B.; Chulkov, E.V.; Alfano, M.; Pagnotta, L. Nanoindentation of single-crystal Bi2Te3 topological insulators grown with the Bridgman–Stockbarger method. Phys. Status Solidi B 2016, 253, 1082–1086. [Google Scholar] [CrossRef]
- Tsai, C.H.; Tseng, Y.C.; Jian, S.R.; Liao, Y.Y.; Lin, C.M.; Yang, P.F.; Chen, D.L.; Chen, H.J.; Luo, C.W.; Juang, J.Y. Nanomechanical properties of Bi2Te3 thin films by nanoindentation. J. Alloys Compd. 2015, 619, 834–838. [Google Scholar]
- Tuyen, L.T.C.; Jian, S.R.; Tien, N.T.; Le, P.H. Nanomechanical and material properties of fluorine-doped tin oxide thin films prepared by ultrasonic spray pyrolysis: Effects of F-doping. Materials 2019, 12, 1665. [Google Scholar] [CrossRef] [PubMed] [Green Version]
- Li, X.D.; Gao, H.S.; Murphy, C.J.; Gou, L.F. Nanoindentation of Cu2O nanocubes. Nano Lett. 2004, 4, 1903. [Google Scholar] [CrossRef]
- Hwang, Y.M.; Pan, C.T.; Le, P.H.; Uyen, N.N.; Tuyen, L.T.C.; Nguyen, V.; Luo, C.W.; Juang, J.Y.; Leu, J.; Jian, S.R. Effects of stoichiometry on structural, morphological and nanomechanical properties of Bi2Se3 thin films deposited on InP(111) substrates by pulsed laser deposition. Coatings 2020, 10, 958. [Google Scholar] [CrossRef]
- Greer, J.R.; De Hosson, J.T.M. Plasticity in small-sized metallic systems: Intrinsic versus extrinsic size effect. Prog. Mater. Sci. 2011, 56, 654–724. [Google Scholar] [CrossRef]
- Jian, S.R.; Juang, J.Y.; Lai, Y.S. Cross-sectional transmission electron microscopy observations of structural damage in Al0.16Ga0.84N thin film under contact loading. J. Appl. Phys. 2008, 103, 033503. [Google Scholar] [CrossRef] [Green Version]
- Jian, S.R. Cathodoluminescence rosettes in c-plane GaN films under Berkovich nanoindentation. Opt. Mater. 2013, 35, 2707–2709. [Google Scholar] [CrossRef]
- Yen, C.Y.; Jian, S.R.; Lai, Y.S.; Yang, P.F.; Liao, Y.Y.; Jang, J.S.C.; Lin, T.H.; Juang, J.Y. Mechanical properties of the hexagonal HoMnO3 thin films by nanoindentation. J. Alloys Compd. 2010, 508, 523–527. [Google Scholar] [CrossRef]
- Smolik, J.; Kacprzyńska-Gołacka, J.; Sowa, S.; Piasek, A. The analysis of resistance to brittle cracking of tungsten doped TiB2 coatings obtained by magnetron sputtering. Coatings 2020, 10, 807. [Google Scholar] [CrossRef]
- Zhu, L.; Wang, H.; Wang, Y.; Lv, J.; Ma, Y.; Cui, Q.; Ma, Y.; Zou, G. Substitutional alloy of Bi and Te at high pressure. Phys. Rev. Lett. 2011, 106, 145501. [Google Scholar] [CrossRef]
- Einaga, M.; Ohmura, A.; Nakayama, A.; Ishikawa, F.; Yamada, Y.; Nakano, S. Pressure-induced phase transition of Bi2Te3 to a bcc structure. Phys. Rev. B 2011, 83, 092102. [Google Scholar] [CrossRef] [Green Version]
- Manjón, F.J.; Vilaplana, R.; Gomis, O.; Pérez-González, E.; Santamaría-Pérez, D.; Marín-Borrás, V.; Segura, A.; González, J.; Rodríguez-Hernández, P.; Muñoz, A.; et al. High-pressure studies of topological insulators Bi2Se3, Bi2Te3, and Sb2Te3. Phys. Status Solidi B 2013, 250, 669–676. [Google Scholar] [CrossRef]
- Bradby, J.E.; Williams, J.S.; Wong-Leung, J.; Swain, M.V.; Munroe, P. Transmission electron microscopy observation of deformation microstructure under spherical indentation in silicon. Appl. Phys. Lett. 2000, 77, 3749. [Google Scholar] [CrossRef]
- Jian, S.R.; Chen, G.J.; Juang, J.Y. Nanoindentation-induced phase transformation in (1 1 0)-oriented Si single-crystals. Curr. Opin. Solid State Mater. Sci. 2010, 14, 69–74. [Google Scholar] [CrossRef]
- Johnson, K.L. Contact Mechanics; Cambridge University Press: Cambridge, UK, 1985. [Google Scholar]
- Casellas, D.; Caro, J.; Molas, S.; Prado, J.M.; Valls, I. Fracture toughness of carbides in tool steels evaluated by nanoindentation. Acta Mater. 2007, 55, 4277–4286. [Google Scholar] [CrossRef]
- Rafiee, M.A.; Rafiee, J.; Srivastava, I.; Wang, Z.; Song, H.; Yu, Z.Z.; Koratkar, N. Fracture and Fatigue in Graphene Nanocomposites. Small 2010, 6, 179–183. [Google Scholar] [CrossRef]
- Le, P.H.; Liao, C.N.; Luo, C.W.; Lin, J.Y.; Leu, J. Thermoelectric properties of bismuth-selenide films with controlled morphology and texture grown using pulsed laser deposition. Appl. Surf. Sci. 2013, 285, 657–663. [Google Scholar] [CrossRef]






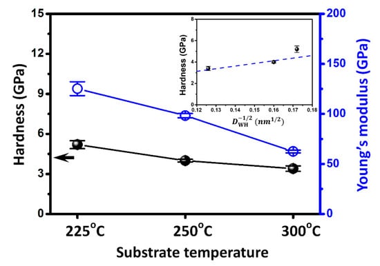
| Bi2Te3 | Ds (nm) | DWH (nm) | ε (%) | H (GPa) | Ef (GPa) | τc (GPa) | Kc (MPa·m1/2) | Gc (Jm−2) |
|---|---|---|---|---|---|---|---|---|
| Bulk [22] | — | — | — | 1.6 ± 0.2 | 32.4 ± 2.9 | — | — | — |
| Thin films [23] (helium gas pressure) 2 × 10−5–2 × 10−3 Torr | 11–20 | — | — | 2.9–4.0 | 106.3–127.5 | 0.9–1.3 | — | — |
| Thin films [#] TS = 225 °C | 24.0 | 32.6 | 0.21 | 5.2 ± 0.3 | 125.2 ± 6.9 | 2.2 | 1.42 | 0.15 |
| Thin films [#] TS = 250 °C | 29.2 | 40.2 | 0.24 | 4.0 ± 0.1 | 98.3 ± 2.1 | 1.4 | 1.21 | 0.14 |
| Thin films [#] TS = 300 °C | 54.2 | 62.7 | 0.29 | 3.4 ± 0.2 | 62.5 ± 1.4 | 1.0 | 0.88 | 0.12 |
Publisher’s Note: MDPI stays neutral with regard to jurisdictional claims in published maps and institutional affiliations. |
© 2022 by the authors. Licensee MDPI, Basel, Switzerland. This article is an open access article distributed under the terms and conditions of the Creative Commons Attribution (CC BY) license (https://creativecommons.org/licenses/by/4.0/).
Share and Cite
Cheng, H.-P.; Le, P.H.; Tuyen, L.T.C.; Jian, S.-R.; Chung, Y.-C.; Teng, I.-J.; Lin, C.-M.; Juang, J.-Y. Effects of Substrate Temperature on Nanomechanical Properties of Pulsed Laser Deposited Bi2Te3 Films. Coatings 2022, 12, 871. https://doi.org/10.3390/coatings12060871
Cheng H-P, Le PH, Tuyen LTC, Jian S-R, Chung Y-C, Teng I-J, Lin C-M, Juang J-Y. Effects of Substrate Temperature on Nanomechanical Properties of Pulsed Laser Deposited Bi2Te3 Films. Coatings. 2022; 12(6):871. https://doi.org/10.3390/coatings12060871
Chicago/Turabian StyleCheng, Hui-Ping, Phuoc Huu Le, Le Thi Cam Tuyen, Sheng-Rui Jian, Yu-Chen Chung, I-Ju Teng, Chih-Ming Lin, and Jenh-Yih Juang. 2022. "Effects of Substrate Temperature on Nanomechanical Properties of Pulsed Laser Deposited Bi2Te3 Films" Coatings 12, no. 6: 871. https://doi.org/10.3390/coatings12060871
APA StyleCheng, H.-P., Le, P. H., Tuyen, L. T. C., Jian, S.-R., Chung, Y.-C., Teng, I.-J., Lin, C.-M., & Juang, J.-Y. (2022). Effects of Substrate Temperature on Nanomechanical Properties of Pulsed Laser Deposited Bi2Te3 Films. Coatings, 12(6), 871. https://doi.org/10.3390/coatings12060871

