Thermal Case Study of Cilia Actuated Transport of Radiated Blood-Based Ternary Nanofluid under the Action of Tilted Magnetic Field
Abstract
:1. Introduction
2. Mathematical Modelling and Governing Equations
2.1. Problem Formulation
2.2. Governing Equations in Laboratory Frame
2.3. Thermophysical Features of Trihybrid Nanofluid (TiO2-SiO2-Al2O3/Blood)
2.4. Governing Equations in Wave Frame
2.5. Entropy Analysis
3. Solution of the Problem
4. Computational Results and Discussion
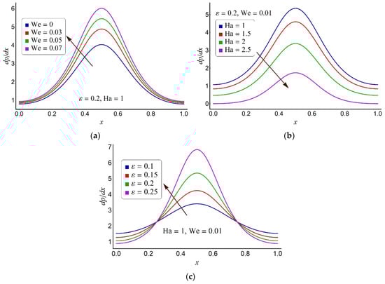
4.1. Flow and Pumping Characteristics



4.2. Thermal Characteristics of the Ternary Fluid



4.3. Streamline Pattern and Trapping Phenomenon



5. Conclusions
- Around the pump surface, the exalted values of the Hartman number and the Weissenberg number induce an acceleration in fluid velocity.
- In the pump deep part, the ternary fluid pressure gradient enhances for the small values of the magnetic parameter and extended cilia.
- In the pumping zone, the pressure rise per metachronal wavelength in an escalating function of cilia length and small Hartmann number, whereas the same parameters induce a deceleration in pressure rise in the co-pumping zone.
- The temperature of the medium dampens down by contemplating the thermally radiated ternary fluid in a weak magnetic environment.
- Appropriately small values of the Hartmann number and substantially elevated values of the radiation number effectively contribute to entropy reduction in the micropump.
- Weak magnetic field and strong radiation effects assist with the domination of the fluid friction irreversibility over the heat transfer irreversibility.
- The small values of the magnetic parameter and prolonged cilia aids the fluid flow rate augmentation.
- The heat transfer rate is raised by about 6% in mono nanofluid, 11%–12% in bi-hybrid nanofluid, and 12%–18% in ternary fluid compared to conventional blood model for different values of the magnetic parameter.
- The present study may provide a profound perception in bioengineered medical instruments and thermal pipe heat sink. It can further assist with commencing a new course for the consideration of various other ternary nanofluids as desirable coolants under resistive forces, that is, electric and induced magnetic fields, porous media, and gravity effects. Such other possible future extensions may be the consideration of temperature and velocity jumps at the boundary, which could further explore the mechanism of thermo-microfluidics devices.
Author Contributions
Funding
Institutional Review Board Statement
Informed Consent Statement
Data Availability Statement
Conflicts of Interest
References
- Cui, P.; Wang, S. Application of microfluidic chip technology in pharmaceutical analysis: A review. J. Pharm. Anal. 2019, 9, 238–247. [Google Scholar] [CrossRef] [PubMed]
- Damiati, S.; Kompella, U.B.; Damiati, S.A.; Kodzius, R. Microfluidic devices for drug delivery systems and drug screening. Gene 2018, 9, 103. [Google Scholar] [CrossRef] [PubMed] [Green Version]
- Riahi, R.; Tamayol, A.; Shaegh, S.A.M.; Ghaemmaghami, A.; Dokmeci, M.R.; Khademhosseini, A. Microfluidics for advanced drug delivery systems. Curr. Opin. Chem. Eng. 2015, 7, 101–112. [Google Scholar] [CrossRef] [PubMed]
- Chen, L.; Lee, S.; Choo, J.; Lee, E.K. Continuous dynamic flow micropumps for microfluid manipulation. J. Micromech. Microeng. 2018, 18, 013001. [Google Scholar] [CrossRef]
- Blackburn, M.C.; Petrova, E.; Correia, B.E.; Maerkl, S.J. Integrating gene synthesis and microfluidic protein analysis for rapid protein engineering. Nucleic Acids Res. 2016, 44, e68. [Google Scholar] [CrossRef] [PubMed] [Green Version]
- Tavakoli, H. Recent advances in microfluidic platforms for single-cell analysis in cancer biology, diagnosis and therapy. Trends Analyt. Chem. 2019, 117, 13–26. [Google Scholar] [CrossRef]
- Saleem, N.; Munawar, S. Significance of Synthetic Cilia and Arrhenius Energy on Double Diffusive Stream of Radiated Hybrid Nanofluid in Microfluidic Pump under Ohmic Heating: An Entropic Analysis. Coatings 2021, 11, 1292. [Google Scholar] [CrossRef]
- Munawar, S.; Saleem, N. Thermal analysis of an Eyring-Powell fluid flow-through a constricted channel. Therm. Sci. 2020, 24, 1207–1216. [Google Scholar] [CrossRef] [Green Version]
- Prakash, J.; Tripathi, D. Electroosmotic flow of Williamson ionic nanoliquids in a tapered microfluidic channel in presence of thermal radiation and peristalsis. J. Mol. Liq. 2018, 256, 352–371. [Google Scholar] [CrossRef]
- Chaube, M.K.; Yadav, A.; Tripathi, D.; Bég, O.A. Electroosmotic flow of biorheological micropolar fluids through microfluidic channels. Korea-Aust. Rheol. J. 2018, 30, 89–98. [Google Scholar] [CrossRef]
- Siva, T.; Jangili, S.; Kumbhakar, B. Heat transfer analysis of MHD and electroosmotic flow of non-Newtonian fluid in a rotating microfluidic channel: An exact solution. Appl. Math. Mech. 2021, 42, 1047–1062. [Google Scholar] [CrossRef]
- Munawar, S. Significance of slippage and electric field in mucociliary transport of biomagnetic fluid. Lubricants 2021, 9, 48. [Google Scholar] [CrossRef]
- Saleem, N.; Munawar, S.; Mehmood, A.; Daqqa, I. Entropy production in electroosmotic cilia facilitated stream of thermally radiated nanofluid with Ohmic heating. Micromachines 2021, 12, 1004. [Google Scholar] [CrossRef] [PubMed]
- Munawar, S.; Saleem, N. Entropy generation in thermally radiated hybrid nanofluid through an electroosmotic pump with ohmic heating: Case of synthetic cilia regulated stream. Sci. Prog. 2021, 104, 00368504211025921. [Google Scholar] [CrossRef]
- Munawar, S.; Saleem, N. Entropy Analysis of an MHD synthetic cilia assisted transport in a microchannel enclosure with velocity and thermal slippage effects. Coatings 2020, 10, 414. [Google Scholar] [CrossRef]
- Saleem, N.; Munawar, S.; Tripathi, D. Thermal analysis of double diffusive electrokinetic thermally radiated TiO2-Ag/blood stream triggered by synthetic cilia under buoyancy forces and activation energy. Phys. Scr. 2021, 96, 095218. [Google Scholar] [CrossRef]
- Ramesh, K.; Tripathi, D.; Bég, O.A. Cilia-Assisted Hydromagnetic Pumping of Biorheological Couple Stress Fluids. Propuls. Power Res. 2019, 8, 221–233. [Google Scholar] [CrossRef]
- Ashraf, H.; Siddiqui, A.M.; Rana, M.A. Fallopian tube assessment of the peristaltic-ciliary flow of a linearly viscous fluid in a finite narrow tube. Appl. Math. Mech.-Engl. Ed. 2018, 39, 437–454. [Google Scholar] [CrossRef]
- Riaz, A.; Bobescu, E.; Ramesh, K.; Ellahi, R. Entropy Analysis for Cilia-Generated Motion of Cu-Blood Flow of Nanofluid in an Annulus. Symmetry 2021, 13, 2358. [Google Scholar] [CrossRef]
- Javid, K.; Ellahi, M.; Al-Khaled, K.; Raza, M.; Khan, S.U.; Khan, M.I.; El-Zahar, E.R.; Gouadria, S.; Afzaal, M. EMHD creeping rheology of nanofluid through a micro-channel via ciliated propulsion under porosity and thermal effects. Case Stud. Therm. Eng. 2021, 30, 101746. [Google Scholar] [CrossRef]
- Abo-Elkhair, R.E.; Mekheimer, K.S.; Moawad AM, A. Cilia walls influence on peristaltically induced motion of magneto-fluid through a porous medium at moderate Reynolds number: Numerical study. J. Egypt. Math. Soc. 2017, 25, 238–251. [Google Scholar] [CrossRef]
- Saleem, N.; Munawar, S. Entropy analysis in cilia driven pumping flow of hyperbolic tangent fluid with magnetic field effects. Fluid Dyn. Res. 2020, 52, 025503. [Google Scholar] [CrossRef]
- Tzirtzilakis, E.E. A mathematical model for blood flow in magnetic field. Phys. Fluids 2005, 17, 077103. [Google Scholar] [CrossRef]
- Bansi, C.; Tabi, C.B.; Motsumi, T.; Mohamadou, A. Fractional blood flow in oscillatory arteries with thermal radiation and magnetic field effects. J. Magn. Magn. Mater. 2018, 456, 38–45. [Google Scholar] [CrossRef]
- Saleem, N. Entropy analysis in ciliated inclined channel filled with hydromagnetic Williamson fluid flow induced by metachronal waves. Therm. Sci. 2021, 25, 3687–3699. [Google Scholar] [CrossRef]
- Maiti, S.; Shaw, S.; Shit, G. Fractional order model for thermochemical flow of blood with Dufour and Soret effects under magnetic and vibration environment. Colloids Surf. B Biointerfaces 2021, 197, 111395. [Google Scholar] [CrossRef] [PubMed]
- Hamid, A.; Kumar, R.N.; Gowda, R.J.P.; Khan, S.U.; Khan, M.I.; Prasannakumara, B.C.; Muhammad, T. Impact of Hall current and homogenous–heterogenous reactions on MHD flow of GO-MoS2/water (H2O)-ethylene glycol (C2H6O2) hybrid nanofluid past a vertical stretching surface. Waves Random Complex Media 2021, 1–8. [Google Scholar] [CrossRef]
- Kumar, R.N.; Gowda, R.J.P.; Abusorrah, A.M.; Mahrous, Y.M.; Abu-Hamdeh, N.H.; Issakhov, A.; Rahimi-Gorji, M.; Prasannakumara, B.C. Impact of magnetic dipole on ferromagnetic hybrid nanofluid flow over a stretching cylinder. Phys. Scr. 2021, 96, 045215. [Google Scholar] [CrossRef]
- Moitoi, A.J.; Shaw, S. Magnetic drug targeting during Caputo-Fabrizio fractionalized blood flow through a permeable vessel. Microvasc. Res. 2022, 139, 104262. [Google Scholar] [CrossRef]
- Mekheimer, K.S.; Zaher, A.Z.; Hasona, W.M. Entropy of AC electro-kinetics for blood mediated gold or copper nanoparticles as a drug agent for thermotherapy of oncology. Chin. J. Phys. 2020, 65, 123–138. [Google Scholar] [CrossRef]
- Shaw, S.; Shit, G.C.; Tripathi, D. Impact of drug carrier shape, size, porosity and blood rheology on magnetic nanoparticle-based drug delivery in a microvessel. Colloids Surf. A Physicochem. Eng. Asp. 2022, 639, 128370. [Google Scholar] [CrossRef]
- Munawar, S.; Saleem, N.; Chamkha, A.J.; Mehmood, A.; Dar, A.-U. Lubricating hot stretching membrane with a thin hybrid nanofluid squeezed film under oscillatory compression. Eur. Phys. J. Plus 2021, 136, 833. [Google Scholar] [CrossRef]
- Saleem, N.; Munawar, S.; Tripathi, D. Entropy analysis in ciliary transport of radiated hybrid nanofluid in presence of electromagnetohydrodynamics and activation energy. Case Stud. Therm. Eng. 2021, 28, 101665. [Google Scholar] [CrossRef]
- Raja, M.A.Z.; Shoaib, M.; Tabassum, R.; Khan, M.I.; Gowda, R.J.P.; Prasannakumara, B.C.; Malik, M.Y.; Xia, W.-F. Intelligent computing for the dynamics of entropy optimized nanofluidic system under impacts of MHD along thick surface. Int. J. Mod. Phys. B 2021, 35, 2150269. [Google Scholar] [CrossRef]
- Choi, S.U.; Eastman, J.A. Enhancing thermal conductivity of fluids with nanoparticles, Developments and Applications of Non-Newtonian Flows. ASME NY 1995, 66, 99–105. [Google Scholar]
- Ahmed, W.; Kazi, S.N.; Chowdhury, Z.Z.; Johan MR, B.; Mehmood, S.; Soudagar, M.E.M.; Mujtaba, M.A.; Gul, M.; Shakeel Ahmad, M. Heat transfer growth of sonochemically synthesized novel mixed metal oxide ZnO+Al2O3+TiO2/DW based ternary hybrid nanofluids in a square flow conduit. Renew. Sustain. Energy Rev. 2021, 145, 111025. [Google Scholar] [CrossRef]
- Xuan, Z.; Zhai, Y.; Ma, M.; Li, Y.; Wang, H. Thermo-economic performance and sensitivity analysis of ternary hybrid nanofluids. J. Mol. Liq. 2021, 323, 114889. [Google Scholar] [CrossRef]
- Elnaqeeb, T.; Animasaun, I.L.; Shah, N.A. Ternary-hybrid nanofluids: Significance of suction and dual-stretching on three-dimensional flow of water conveying nanoparticles with various shapes and densities. Z. Für Nat. A 2021, 76, 231–243. [Google Scholar] [CrossRef]
- Munawar, S.; Saleem, N. Mixed convective cilia triggered stream of magneto ternary nanofluid through elastic electroosmotic pump: A comparative entropic analysis. J. Mol. Liq. 2022, 352, 118662. [Google Scholar] [CrossRef]
- Manjunatha, S.; Puneeth, V.; Gireesha, B.J.; Chamkha, A. Theoretical study of convective heat transfer in ternary nanofluid flowing past a stretching sheet. J. Appl. Comput. Mech. 2021, 1–8. [Google Scholar] [CrossRef]
- Madhu, M.; Mahanthesh, B.; Shashikumar, N.S.; Shehzad, S.A.; Khan, S.U.; Gireesha, B.J. Performance of second law in Carreau fluid flow by an inclined microchannel with radiative heated convective condition. Int. Commun. Heat Mass Transf. 2020, 117, 104761. [Google Scholar] [CrossRef]
- Xiong, P.-Y.; Khan, M.I.; Gowda, R.J.P.; Kumar, R.N.; Prasannakumara, B.C.; Chu, Y.-M. Comparative analysis of (Zinc ferrite, Nickel Zinc ferrite) hybrid nanofluids slip flow with entropy generation. Mod. Phys. Lett. B 2021, 35, 2150342. [Google Scholar] [CrossRef]
- Munawar, S.; Saleem, N. Second law analysis of ciliary pumping transport in an inclined channel coated with Carreau fluid under a magnetic field. Coatings 2020, 10, 240. [Google Scholar] [CrossRef] [Green Version]
- Bejan, A. The thermodynamic design of heat and mass transfer processes and devices. Int. J. Heat Fluid Flow 1987, 8, 258–276. [Google Scholar] [CrossRef]
- Misra, J.C.; Mallick, B.; Steinmann, P. Temperature distribution and entropy generation during Darcy-Forchheimer-Brinkman electrokinetic flow in a microfluidic tube subject to a prescribed heat flux. Meccanica 2020, 55, 1079–1098. [Google Scholar] [CrossRef]
- Munawar, S.; Saleem, N.; Khan, W.A. Entropy generation minimization E.G.M. analysis of free convective hybrid nanofluid flow in a corrugated triangular annulus with a central triangular heater. Chin. J. Phys. 2021, 75, 38–54. [Google Scholar] [CrossRef]
- Sleigh, M. The Biology of Cilia and Flagella; MacMillian: New York, NY, USA, 1962. [Google Scholar]
- Ai, L.; Vafai, K. An investigation of Stokes’ second problem for non-Newtonian fluids. Numer. Heat Transfer Part A Appl. 2005, 47, 955–980. [Google Scholar] [CrossRef]
- Rosseland, S. Astrophysik und Atom-Theoretische Grundlagen; Springer: Berlin/Heidelberg, Germany, 1931; pp. 41–44. [Google Scholar]
- Hamid, A.; Chu, Y.-M.; Khan, M.I.; Kumar, R.N.; Gowd, R.J.P.; Prasannakumara, B.C. Critical values in axisymmetric flow of magneto-Cross nanomaterial towards a radially shrinking disk. Int. J. Mod. Phys. B 2021, 35, 2150105. [Google Scholar] [CrossRef]

| Physical Entities | Base Fluid | Solid Nanogranules | ||
|---|---|---|---|---|
| (Blood) | TiO2 | SiO2 | Al2O3 | |
| ρ (kgm−3) | 1063 | 4250 | 2200 | 3970 |
| σ (1/Ωm) | 0.8 | 2.4 × 106 | 3.5 × 106 | 36.9 × 106 |
| Cp (JK−1kg−1) | 3594 | 686.2 | 754 | 765 |
| k (Wm−1K−1) | 0.492 | 8.9538 | 1.4013 | 40 |
| Ha | Perturbation Solution | Numerical Solution |
|---|---|---|
| 0.5 | 2.31025 | 2.31118 |
| 1 | 2.25681 | 2.28942 |
| 1.5 | 2.21310 | 2.25518 |
| 2 | 2.10603 | 2.21105 |
| 2.5 | 2.04358 | 2.16001 |
| Ha | Blood | Mono Nanofluid | % Increase | Bi-Hybrid Nanofluid | % Increase | Ternary Nanofluid | % Increase |
|---|---|---|---|---|---|---|---|
| 0.5 | 0.87458 | 0.92805 | 6.11 | 0.97141 | 11.07 | 1.03398 | 18.23 |
| 1 | 1.03909 | 1.10407 | 6.25 | 1.15685 | 11.33 | 1.21239 | 16.68 |
| 1.5 | 1.31190 | 1.39597 | 6.41 | 1.46436 | 11.62 | 1.50839 | 14.98 |
| 2 | 1.69127 | 1.80186 | 6.54 | 1.89194 | 11.86 | 1.92020 | 13.54 |
| 2.5 | 2.17514 | 2.31953 | 6.64 | 2.43729 | 12.05 | 2.44572 | 12.45 |
Publisher’s Note: MDPI stays neutral with regard to jurisdictional claims in published maps and institutional affiliations. |
© 2022 by the authors. Licensee MDPI, Basel, Switzerland. This article is an open access article distributed under the terms and conditions of the Creative Commons Attribution (CC BY) license (https://creativecommons.org/licenses/by/4.0/).
Share and Cite
Saleem, N.; Ashraf, T.; Daqqa, I.; Munawar, S.; Idrees, N.; Afzal, F.; Afzal, D. Thermal Case Study of Cilia Actuated Transport of Radiated Blood-Based Ternary Nanofluid under the Action of Tilted Magnetic Field. Coatings 2022, 12, 873. https://doi.org/10.3390/coatings12060873
Saleem N, Ashraf T, Daqqa I, Munawar S, Idrees N, Afzal F, Afzal D. Thermal Case Study of Cilia Actuated Transport of Radiated Blood-Based Ternary Nanofluid under the Action of Tilted Magnetic Field. Coatings. 2022; 12(6):873. https://doi.org/10.3390/coatings12060873
Chicago/Turabian StyleSaleem, Najma, Tahreem Ashraf, Ibtisam Daqqa, Sufian Munawar, Nazeran Idrees, Farkhanda Afzal, and Deeba Afzal. 2022. "Thermal Case Study of Cilia Actuated Transport of Radiated Blood-Based Ternary Nanofluid under the Action of Tilted Magnetic Field" Coatings 12, no. 6: 873. https://doi.org/10.3390/coatings12060873
APA StyleSaleem, N., Ashraf, T., Daqqa, I., Munawar, S., Idrees, N., Afzal, F., & Afzal, D. (2022). Thermal Case Study of Cilia Actuated Transport of Radiated Blood-Based Ternary Nanofluid under the Action of Tilted Magnetic Field. Coatings, 12(6), 873. https://doi.org/10.3390/coatings12060873

