Magnetized Dissipative Soret Effect on Chemically Reactive Maxwell Fluid over a Stretching Sheet with Joule Heating
Abstract
1. Introduction
2. Cauchy Stress Tensor for Maxwell Fluid
3. Mathematical Definition of the Problem
3.1. Implementation of Similarity Transformations
3.2. Governing Equations in Terms of Similarity Variable Implementation
3.3. Engineering Quantities of Interest
4. Computational Procedure
5. Results and Discussion
5.1. Validation of Present Solutions
5.2. Influence of Governing Parameters
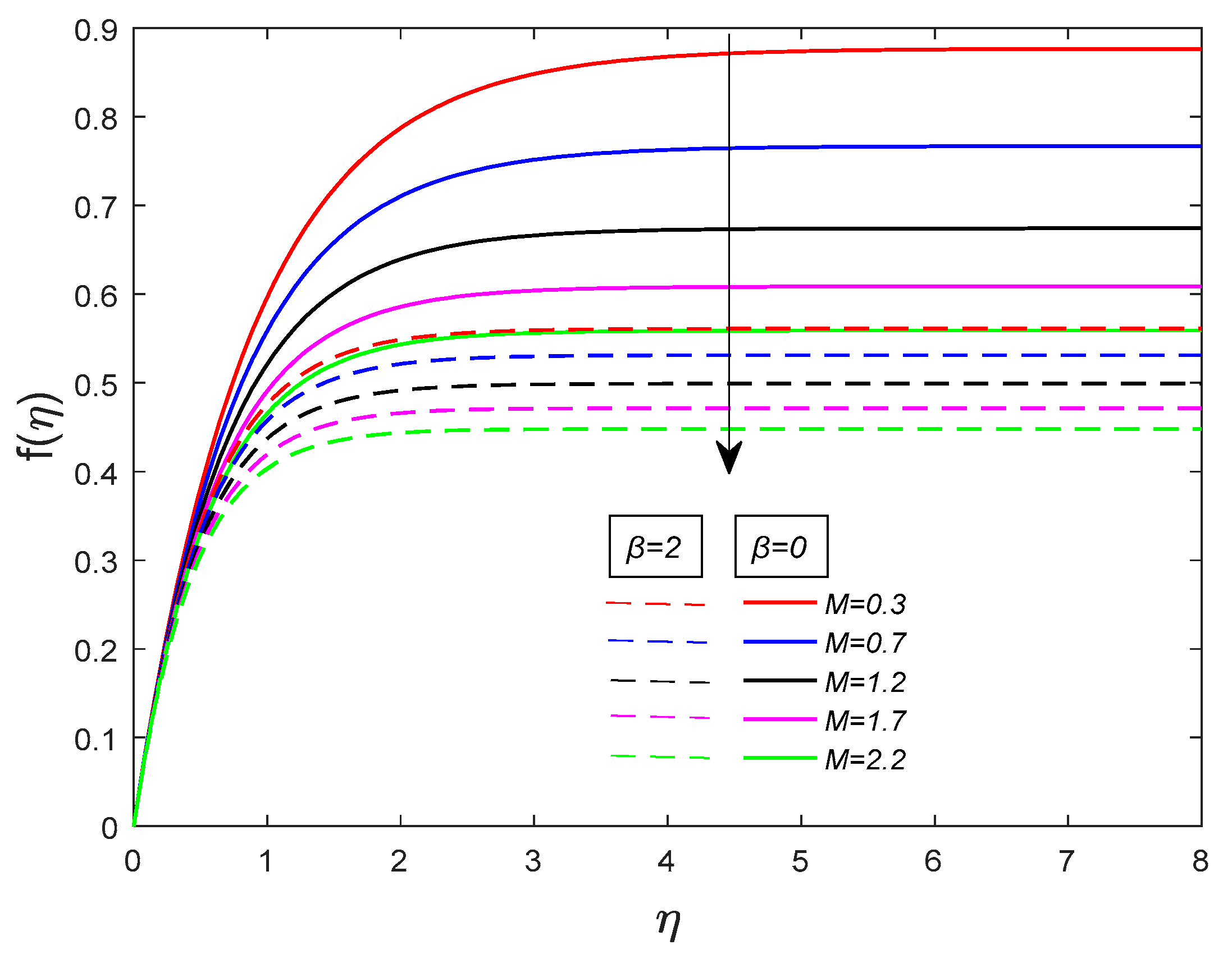
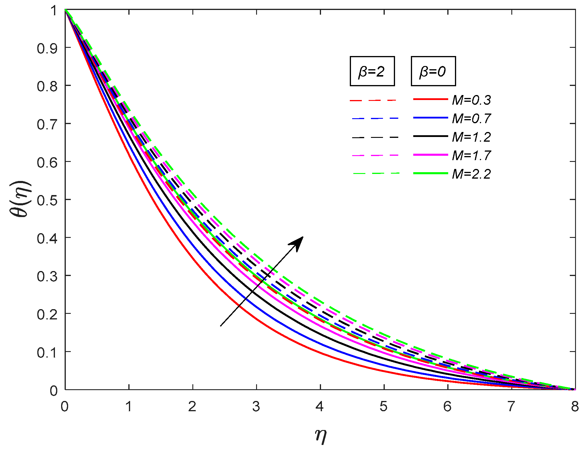
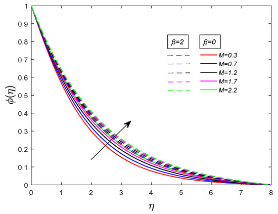
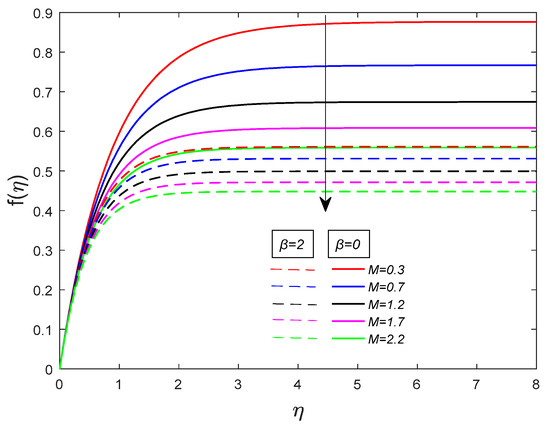
5.2.1. Impact of the Magnetic Number (M)
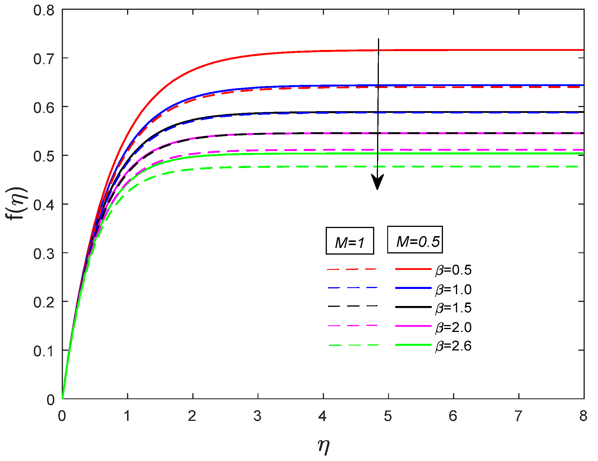
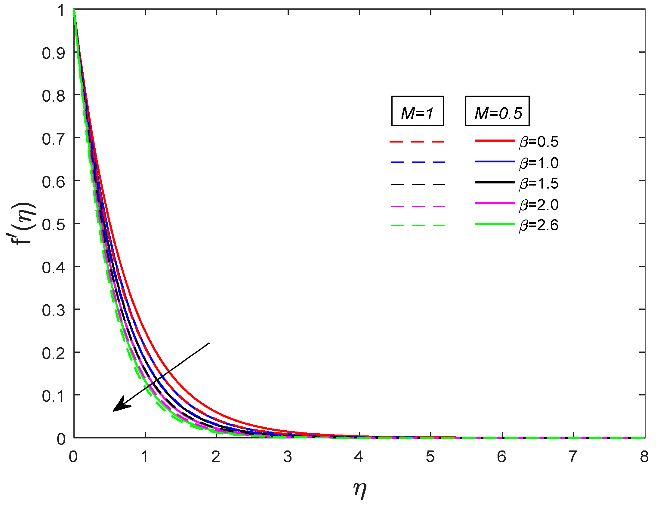
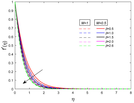
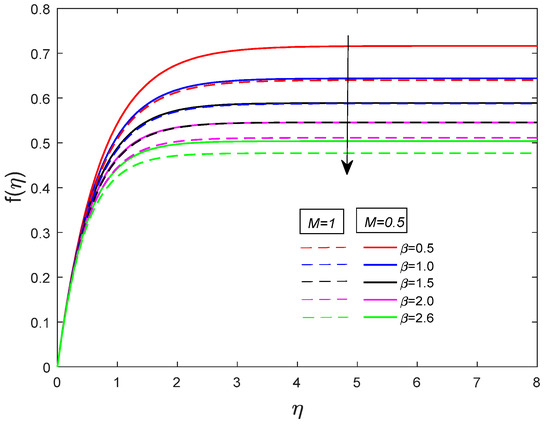
5.2.2. Impact of Maxwell Fluid Parameter (β)
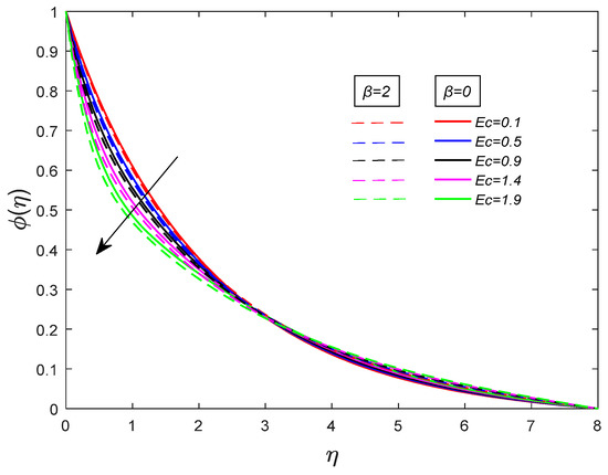
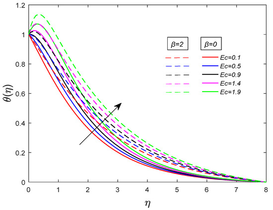
5.2.3. Effect of the Eckert Number (Ec)
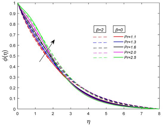
5.2.4. Impact of the Prandtl Number (Pr)
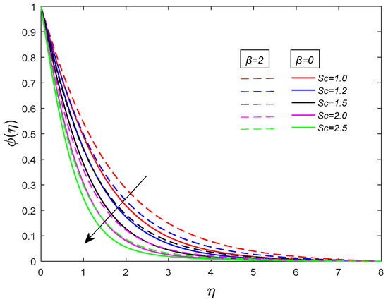
5.2.5. Impact of the Schmidt Number (Sc) on Concentration Distribution
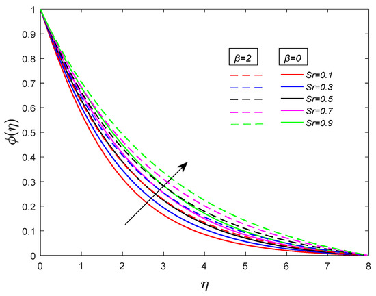
5.2.6. Influence of the Soret Number (Sr)
5.2.7. Influence of Chemical Reaction Parameter (Kr)
5.3. Effect of Control Variables on Engineering Quantities
6. Conclusions
- -
- Normal and axial velocity fields decrease with the increasing values of M;
- -
- Temperature and concentration fields enhance with the rising values of M;
- -
- Normal and axial velocities decay with the rising values of β;
- -
- Thermal and concentration profiles increase with the rising values of β;
- -
- Enhancing the Soret parameter magnifies the concentration field in flow regime;
- -
- Thermal profile decays with the enhancing values of Pr;
- -
- Concentration profile decreases with the enhancing values of Sc;
- -
- The magnitude of the skin-friction coefficient increases with rising values of M and β;
- -
- The Nusselt number increases with increasing values of Pr;
- -
- The Sherwood number magnifies with enhancing values of Sc and Kr.
Author Contributions
Funding
Institutional Review Board Statement
Informed Consent Statement
Data Availability Statement
Acknowledgments
Conflicts of Interest
Nomenclature
| C | Concentration distribution |
| f′, f | Non-dimensional flow components |
| k | Thermal conductivity of the fluid |
| Kr | Chemically reaction parameter |
| M | Magnetic parameter |
| Pr | Prandtl number |
| Sc | Schmidt number |
| Sr | Soret number |
| T | Temperature distribution |
| u, v | Flow components along x, y directions |
| Greek symbols | |
| α | Thermal diffusivity |
| β | Maxwell fluid parameter |
| η | Similarity variable |
| θ | Dimensionless temperature |
| φ | Dimensionless concentration |
| ψ | Stream function |
| μ | Dynamic viscosity |
| υ | Kinematic viscosity |
| ρ | Fluid density |
| Subscripts | |
| w | Surface conditions |
| ∞ | Ambient conditions |
References
- Schulz, D.N.; Glass, J.E. Polymers as Rheology Modifiers; ACS Symposium Series 462; American Chemical Society: Washington, DC, USA, 1991. [Google Scholar]
- Sakiadis, B.C. Boundary-layer behaviour on continuous solid surfaces: I. Boundary-layer equations for two-dimensional and axisymmetric flow. Am. Inst. Chem. Eng. J. 1961, 7, 26–28. [Google Scholar] [CrossRef]
- Sakiadis, B.C. Boundary-layer behaviour on continuous solid surfaces: II. Boundary-layer on a continuous flat surface. Am. Inst. Chem. Eng. J. 1961, 7, 221–225. [Google Scholar] [CrossRef]
- Phan-Thien, N. Plane and axi-symmetric stagnation flow of a Maxwellian fluid. Rheol. Acta 1983, 22, 127–130. [Google Scholar] [CrossRef]
- Zheng, R.; Phan-Thien, N.; Tanner, R.I. On the flow past a sphere in a cylindrical tube: Limiting Weissenberg number. J. Non-Newton. Fluid Mech. 1990, 36, 27–49. [Google Scholar] [CrossRef]
- Sadeghy, K.; Najaf, A.-H.; Saffaripour, M. Sakiadis flow of an upper-convected Maxwell fluid. Int. J. Non-Linear Mech. 2005, 40, 1220–1228. [Google Scholar] [CrossRef]
- Hayat, T.; Abbas, Z.; Sajid, M. Series solution for the upper-convected Maxwell fluid over a porous stretching plate. Phys. Lett. A 2006, 358, 396–403. [Google Scholar] [CrossRef]
- Hayat, T.; Sajid, M. Homotopy analysis of MHD boundary layer flow of an upper-convected Maxwell fluid. Int. J. Eng. Sci. 2007, 45, 393–401. [Google Scholar] [CrossRef]
- Abbas, Z.; Hayat, T.; Sajid, M.; Asghar, S. Unsteady flow of a second grade fluid film over an unsteady stretching sheet. Math. Comput. Model. 2008, 48, 518–526. [Google Scholar] [CrossRef]
- Abbas, Z.; Wang, Y.; Hayat, T.; Oberlack, M. Mixed convection in the stagnation point flow of a Maxwell fluid towards a vertical stretching surface. Nonlinear Anal. Real World Appl. 2010, 11, 3218–3228. [Google Scholar] [CrossRef]
- Hayat, T.; Awais, M.; Qasim, M.; Hendi, A.A. Effects of mass transfer on the stagnation point flow of an upper-convected Maxwell (UCM) fluid. Int. J. Heat Mass Transf. 2011, 54, 3777–3782. [Google Scholar] [CrossRef]
- Ishak, A.; Nazar, R.; Arifin, N.M.; Pop, I. Dual solutions in mixed convection flow near stagnation point on a vertical porous plate. Int. J. Therm. Sci. 2008, 47, 417–422. [Google Scholar] [CrossRef]
- Sahoo, B. Effects of slip, viscous dissipation and Joule heating on the MHD flow and heat transfer of a second grade fluid past a radially stretching sheet. Appl. Math. Mech. 2010, 31, 159–173. [Google Scholar] [CrossRef]
- Ijaz, M.; Ayub, M. Thermally stratified flow of Jeffrey fluid with homogeneous-heterogeneous reactions and non-Fourier heat flux model. Heliyon 2019, 5, e02303. [Google Scholar] [CrossRef] [PubMed]
- Sandeep, N.; Sulochana, C. Momentum and heat transfer behaviour of Jeffrey, Maxwell and Oldroyd-B nanofluids past a stretching surface with non-uniform heat source/sink. Ain Shams Eng. J. 2018, 9, 517–524. [Google Scholar] [CrossRef]
- Ramzan, M.; Bilal, M.; Chung, J.D. Effects of thermal and solutal stratification on Jeffrey magneto-nanofluid along an inclined stretching cylinder with thermal radiation and heat generation/absorption. Int. J. Mech. Sci. 2017, 131, 317–324. [Google Scholar] [CrossRef]
- Khan, M.I.; Waqas, M.; Hayat, T.; Alsaedi, A. Soret and Dufour effects in stretching flow of Jeffrey fluid subject to Newtonian heat and mass conditions. Results Phys. 2017, 7, 4183–4188. [Google Scholar] [CrossRef]
- Hayat, T.; Qayyum, S.; Farooq, M.; Alsaedi, A.; Ayub, M. Mixed convection flow of Jeffrey fluid along an inclined stretching cylinder with double stratification effect. Therm. Sci. 2017, 21, 849–862. [Google Scholar] [CrossRef]
- Zeeshan, A.; Majeed, A. Heat transfer analysis of Jeffery fluid flow over a stretching sheet with suction/injection and magnetic dipole effect. Alex. Eng. J. 2016, 55, 2171–2181. [Google Scholar] [CrossRef]
- Hayat, T.; Qayyum, S.; Imtiaz, M.; Alsaedi, A. Three-dimensional rotating flow of Jeffrey fluid for Cattaneo-Christov heat flux model. Aip Adv. 2016, 6, 025012. [Google Scholar] [CrossRef]
- Abbasi, F.M.; Shehzad, S.A.; Hayat, T.; Alsaedi, A.; Obid, M.A. Influence of heat and mass flux conditions in hydromagnetic flow of Jeffrey nanofluid. Aip. Adv. 2015, 5, 037111. [Google Scholar] [CrossRef]
- Hayat, T.; Asad, S.; Alsaedi, A.; Alsaadi, F.E. Radiative flow of Jeffrey fluid through a convectively heated stretching cylinder. J. Mech. 2015, 31, 69–78. [Google Scholar] [CrossRef]
- Farooq, M.; Gull, N.; Alsaedi, A.; Hayat, T. MHD flow of a Jeffrey fluid with Newtonian heating. J. Mech. 2015, 31, 319–329. [Google Scholar] [CrossRef]
- Hayat, T.; Asad, S.; Alsaedi, A. Analysis for flow of Jeffrey fluid with nanoparticles. Chin. Phys. B 2015, 24, 044702. [Google Scholar] [CrossRef]
- Liu, Y.Q.; Guo, B.L. Coupling model for unsteady MHD flow of generalized Maxwell fluid with radiation thermal transfer. Appl. Math. Mech. 2016, 37, 137–150. [Google Scholar] [CrossRef]
- Li, C.R.; Zheng, L.C.; Zheng, X.X.; Chen, G. Flow and heat transfer of a generalized Maxwell fluid with modified fractional Fourier’s law and Darcy’s law. Comput. Fluids 2016, 125, 25–38. [Google Scholar] [CrossRef]
- Zhang, Y.; Zheng, L.C.; Wang, X.J.; Song, G.H. Analysis of Marangoni convection of non-Newtonian power law fluids with linear temperature distribution. Therm. Sci. 2011, 15, 45–52. [Google Scholar] [CrossRef]
- Zhang, C.L.; Zheng, L.C.; Zhang, X.X.; Chen, G. MHD flow and radiation heat transfer of nanofluids in porous media with variable surface heat flux and chemical reaction. Math. Comput. Model. 2015, 39, 165–181. [Google Scholar] [CrossRef]
- Shen, B.Y.; Zheng, L.C.; Chen, S.T. Fractional boundary layer flow and radiation heat transfer of MHD viscoelastic fluid over an unsteady stretching surface. AIP Adv. 2015, 5, 107133–107134. [Google Scholar] [CrossRef]
- Rachid, H. Effects of heat transfer and an endoscope on peristaltic flow of a fractional Maxwell fluid in a vertical tube. Abstr. Appl. Anal. 2015, 1, 1–9. [Google Scholar] [CrossRef]
- Waheed, S.E. Flow and heat transfer in a Maxwell liquid film over an unsteady stretching sheet in a porous medium with radiation. SpringerPlus 2016, 5, 1–14. [Google Scholar] [CrossRef]
- Guinness, I.G. Theorie Analytique De La Chaleur (1822). Land Mark Writ. West. Math. 2005, 1640–1940, 354–365. [Google Scholar] [CrossRef]
- Cattaneo, C. Sulla conduzionedelcalore. Atti Semin. Mat. Fis. Univ. Modena 1948, 3, 83–101. [Google Scholar]
- Christov, C.I. On frame indifferent formulation of the Maxwell–Cattaneo model of finite-speed heat conduction. Mech. Res. Commun. 2009, 36, 481–486. [Google Scholar] [CrossRef]
- Tibullo, V.; Zampoli, V. A uniqueness result for the Cattaneo–Christov heat conduction model applied to incompressible fluids. Mech. Res. Commun. 2011, 38, 77–79. [Google Scholar] [CrossRef]
- Han, S.; Zheng, L.; Li, C.; Zhang, X. Coupled flow and heat transfer in viscoelastic fluid with Cattaneo-Christov heat flux model. Appl. Math. Lett. 2014, 38, 87–93. [Google Scholar] [CrossRef]
- Zheng, L.C.; Liu, N.; Zhang, X.X. Maxwell fluids unsteady mixed flow and radiation heat transfer over a stretching permeable plate with boundary slip and non-uniform heat source/sink. J. Heat Transf. 2013, 135, 1–6. [Google Scholar] [CrossRef]
- Siddiqui, A.M.; Rana, M.A.; Ahmed, N. Effects of hall current and heat transfer on MHD flow of a Burgers’ fluid due to a pull of eccentric rotating disks. Commun. Nonlinear Sci. Numer. Simul. 2008, 13, 1554–1570. [Google Scholar] [CrossRef]
- Ezzat, M.A.; El-Bary, A.A. Effects of variable thermal conductivity on Stokes’ flow of a thermoelectric fluid with fractional order of heat transfer. Int. J. Therm. Sci. 2016, 100, 305–315. [Google Scholar] [CrossRef]
- Hayat, T.; Ashraf, M.B.; Alsaedi, A.; Alhothuali, M.S. Soret and Dufour effects in three-dimensional flow of Maxwell fluid with chemical reaction and convective condition. Int. J. Numer. Methods Heat Fluid Flow 2015, 25, 98–120. [Google Scholar] [CrossRef]
- Srinivasulu, T.; Goud, B.S. Effect of inclined magnetic field on flow, heat and mass transfer of Williamson nanofluid over a stretching sheet. Case Stud. Therm. Eng. 2021, 23, 100819. [Google Scholar] [CrossRef]
- Khana, N.A.; Sultan, F. MHD flow of a Williamson fluid over an infinite rotating disk with anisotropic slip. J. Eng. Phys. Thermophys. 2019, 92, 1625–1636. [Google Scholar] [CrossRef]
- Shafiq, A.; Rashidib, M.M.; Hammouchcand, Z.; Khan, I. Analytical investigation of stagnation point flow of Williamson liquid with melting phenomenon. Phys. Scr. 2018, 94, 035204. [Google Scholar] [CrossRef]
- Rasool, G.; Zhang, T.; Chamkha, A.J.; Shafiq, A.; Tlili, I.; Shahzadi, G. Entropy generation and consequences of binary chemical reaction on MHD Darcy–Forchheimer Williamson nanofluid flow over non-linearly stretching surface. Entropy 2020, 22, 18. [Google Scholar] [CrossRef] [PubMed]
- Hamid, A.; Khan, M.; Alghamdi, M. Numerical simulation for transient flow of Williamson fluid with multiple slip model in the presence of chemically reacting species. Int. J. Numer. Methods Heat Fluid Flow 2019, 29, 4445–4461. [Google Scholar] [CrossRef]
- Hamid, A.; Khan, M. Multiple solutions for MHD transient flow of Williamson nanofluids with convective heat transport. J. Taiwan Inst. Chem. Eng. 2019, 103, 126–137. [Google Scholar]
- Khan, M.I.; Qayyum, S.; Hayat, T.; Khan, M.I.; Alsaedi, A. Entropy optimization in flow of Williamson nanofluid in the presence of chemical reaction and Joule heating. Int. J. Heat Mass Transf. 2019, 133, 959–967. [Google Scholar] [CrossRef]
- Khan, M.; Salahuddin, T.; Yousaf, M.M.; Khan, F.; Hussain, A. Variable diffusion and conductivity change in 3D rotating Williamson fluid flow along with magnetic field and activation energy. Int. J. Numer. Methods Heat Fluid Flow 2020, 30, 2467–2484. [Google Scholar] [CrossRef]
- Kendoush, A.A. Theory of stagnation region heat and mass transfer to fluid jets impinging normally on solid surfaces. Chem. Eng. Process. Process. Intensif. 1998, 37, 223–228. [Google Scholar] [CrossRef]
- Liu, I.C. A note on heat and mass transfer for a hydromagnetic flow over a stretching sheet. Int. Commun. Heat Mass Transf. 2005, 32, 1075–1084. [Google Scholar] [CrossRef]
- Cortell, R. Toward an understanding of the motion and mass transfer with chemically reactive species for two classes of viscoelastic fluid over a porous stretching sheet. Chem. Eng. Process. Process. Intensif. 2007, 46, 982–989. [Google Scholar] [CrossRef]
- Andersson, H.I.; Hansen, O.R.; Holmedal, B. Diffusion of a chemically reactive species from a stretching sheet. Int. J. Heat Mass Transf. 1994, 37, 659–664. [Google Scholar] [CrossRef]
- Takhar, H.S.; Chamkha, A.J.; Nath, G. Flow and mass transfer on a stretching sheet with magnetic field and chemical reactive species. Int. J. Eng. Sci. 2000, 38, 1303–1314. [Google Scholar] [CrossRef]
- Akyilidiz, F.T.; Bellout, H.; Vajravelu, K. Diffusion of chemical reactive species in porous medium over a stretching sheet. J. Math. Anal. Appl. 2006, 320, 322–339. [Google Scholar] [CrossRef]
- Layek, G.C.; Mukhopadhyay, S.; Samad, S.A. Heat and mass transfer analysis for boundary layer stagnation-point flow towards a heated porous stretching sheet with heat absorption/generation and suction/blowing. Int. Commun. Heat Mass Transf. 2007, 34, 347–356. [Google Scholar] [CrossRef]
- Hayat, T.; Awais, M.; Sajid, M. Similar solutions of stretching flow with mass transfer. Int. J. Numer. Methods Fluids 2009, 64, 908–921. [Google Scholar] [CrossRef]
- Hayat, T.; Awais, M. Simultaneous effects of heat and mass transfer on time-dependent flow over a stretching surface. Int. J. Numer. Methods Fluids 2011, 67, 1341–1357. [Google Scholar] [CrossRef]
- Raza, J.; Oudina, F.M.; Mahanthesh, B. Magnetohydrodynamic flow of nano Williamson fluid generated by stretching plate with multiple slips. Multidiscip. Modeling Mater. Struct. 2019, 15, 871–894. [Google Scholar] [CrossRef]
- Shawky, H.M.; Eldabe, N.T.M.; Kamel, K.A.; Abd-Aziz, E.A. MHD flow with heat and mass transfer of Williamson nanofluid over stretching sheet through porous medium. Microsyst. Technol. 2019, 25, 1155–1169. [Google Scholar] [CrossRef]
- Loganathan, K.; Rajan, S. An entropy approach of Williamson nanofluid flow with Joule heating and zero nanoparticle mass flux. J. Therm. Anal. Calorim. 2020, 141, 2599–2612. [Google Scholar] [CrossRef]
- Salahuddin, T. Modelling unsteady waveform Williamson fluid flow near a permeable radioactive surface. Int. Commun. Heat Mass Transf. 2020, 117, 104764. [Google Scholar] [CrossRef]
- Dada, M.S.; Onwubuoya, C. Variable viscosity and thermal conductivity effects on Williamson fluid flow over a slendering stretching sheet. World J. Eng. 2020, 17, 357–371. [Google Scholar] [CrossRef]
- Kumar, A.; Tripathi, R.; Singh, R.; Chaurasiya, V.K. Simultaneous effects of nonlinear thermal radiation and Joule heating on the flow of Williamson nanofluid with entropy generation. Phys. A 2020, 551, 123972. [Google Scholar] [CrossRef]
- Khan, M.I.; Javed, S.; Hayat, T.; Waqas, M.; Alsaedi, A. Entropy optimization in cubic autocatalysis chemical reactive flow of Williamson fluid subjected to viscous dissipation and uniform magnetic field. J. Cent. South Univ. 2019, 26, 1218–1232. [Google Scholar] [CrossRef]
- Abel, M.S.; Tawade, J.V.; Nandeppanavar, M.M. MHD flow and heat transfer for the upper-convected Maxwell fluid over a stretching sheet. Meccanica 2012, 47, 385–393. [Google Scholar]
- Sadeghy, K.; Hajibeygi, H.; Taghavi, S.M. Stagnation point flow of upper-convected Maxwell fluids. Int. J. Non-Linear Mech. 2006, 41, 1242–1247. [Google Scholar] [CrossRef]
- Basha, H.; Reddy, G.J.; Abhishek Annapoorna, K.; Vianaya, P.; Kumar, N.N. Numerical modelling of second-grade fluid flow past a stretching sheet. Heat Transf. Asian Res. 2019, 48, 1595–1621. [Google Scholar] [CrossRef]
















| Numerical Values of Skin-Friction Coefficient | |||||
|---|---|---|---|---|---|
| Parameter | Sadeghy et al. [66] | Abel et al. [65] | Present solutions | ||
| β = 0 | M = 0 | M = 0 | M = 0.2 | M = 0 | M = 0.2 |
| −1.0000 | –0.999962 | –1.095445 | −1.0000 | –1.095456 | |
| M | β | Ec | Pr | Sr | Sc | Kr | |||
|---|---|---|---|---|---|---|---|---|---|
| 0.1 | 0.5 | 0.1 | 0.7 | 0.1 | 0.7 | 0.1 | 1.16916 | 0.37399 | 0.48972 |
| 0.3 | 1.25083 | 0.35436 | 0.48166 | ||||||
| 0.5 | 1.32770 | 0.33654 | 0.47450 | ||||||
| 0.7 | 1.40050 | 0.32025 | 0.46809 | ||||||
| 0.5 | 1.0 | 0.1 | 0.7 | 0.1 | 0.7 | 0.1 | 1.42514 | 0.31172 | 0.46062 |
| 1.5 | 1.51744 | 0.29046 | 0.44912 | ||||||
| 2.0 | 1.60514 | 0.27206 | 0.43946 | ||||||
| 2.5 | 1.68877 | 0.25595 | 0.43124 | ||||||
| 0.5 | 0.5 | 0.2 | 0.7 | 0.1 | 0.7 | 0.1 | 1.32770 | 0.28107 | 0.47810 |
| 0.4 | 1.32770 | 0.17014 | 0.48530 | ||||||
| 0.6 | 1.32770 | 0.05920 | 0.49250 | ||||||
| 0.8 | 1.32770 | −0.05172 | 0.49969 | ||||||
| 0.5 | 0.5 | 0.1 | 1.0 | 0.1 | 0.7 | 0.1 | 1.32770 | 0.43110 | 0.46910 |
| 1.5 | 1.32770 | 0.56916 | 0.46115 | ||||||
| 2.0 | 1.32770 | 0.68598 | 0.45431 | ||||||
| 2.5 | 1.32770 | 0.78747 | 0.44826 | ||||||
| 0.5 | 0.5 | 0.1 | 0.7 | 0.2 | 0.7 | 0.1 | 1.32770 | 0.33654 | 0.46190 |
| 0.4 | 1.32770 | 0.33654 | 0.43670 | ||||||
| 0.6 | 1.32770 | 0.33654 | 0.41149 | ||||||
| 0.8 | 1.32770 | 0.33654 | 0.38629 | ||||||
| 0.5 | 0.5 | 0.1 | 0.7 | 0.1 | 1.0 | 0.1 | 1.32770 | 0.33654 | 0.59678 |
| 1.5 | 1.32770 | 0.33654 | 0.77300 | ||||||
| 2.0 | 1.32770 | 0.33654 | 0.92528 | ||||||
| 2.05 | 1.32770 | 0.33654 | 1.06103 | ||||||
| 0.5 | 0.5 | 0.1 | 0.7 | 0.1 | 0.7 | −0.2 | 1.32770 | 0.33654 | −0.04080 |
| −0.1 | 1.32770 | 0.33654 | 0.23554 | ||||||
| 0.0 | 1.32770 | 0.33654 | 0.37598 | ||||||
| 0.1 | 1.32770 | 0.33654 | 0.47450 | ||||||
| 0.2 | 1.32770 | 0.33654 | 0.55321 |
Publisher’s Note: MDPI stays neutral with regard to jurisdictional claims in published maps and institutional affiliations. |
© 2021 by the authors. Licensee MDPI, Basel, Switzerland. This article is an open access article distributed under the terms and conditions of the Creative Commons Attribution (CC BY) license (https://creativecommons.org/licenses/by/4.0/).
Share and Cite
Suraiah Palaiah, S.; Basha, H.; Reddy, G.J.; Sheremet, M.A. Magnetized Dissipative Soret Effect on Chemically Reactive Maxwell Fluid over a Stretching Sheet with Joule Heating. Coatings 2021, 11, 528. https://doi.org/10.3390/coatings11050528
Suraiah Palaiah S, Basha H, Reddy GJ, Sheremet MA. Magnetized Dissipative Soret Effect on Chemically Reactive Maxwell Fluid over a Stretching Sheet with Joule Heating. Coatings. 2021; 11(5):528. https://doi.org/10.3390/coatings11050528
Chicago/Turabian StyleSuraiah Palaiah, Suresha, Hussain Basha, Gudala Janardhana Reddy, and Mikhail A. Sheremet. 2021. "Magnetized Dissipative Soret Effect on Chemically Reactive Maxwell Fluid over a Stretching Sheet with Joule Heating" Coatings 11, no. 5: 528. https://doi.org/10.3390/coatings11050528
APA StyleSuraiah Palaiah, S., Basha, H., Reddy, G. J., & Sheremet, M. A. (2021). Magnetized Dissipative Soret Effect on Chemically Reactive Maxwell Fluid over a Stretching Sheet with Joule Heating. Coatings, 11(5), 528. https://doi.org/10.3390/coatings11050528

