Combined Toxicity of Multi-Walled Carbon Nanotubes and Cu2+ on the Growth of Ryegrass: Effect of Surface Modification, Dose, and Exposure Time Pattern
Abstract
1. Introduction
2. Materials and Methods
2.1. Chemical and Reagents
2.2. Plant Culture and Treatments
2.3. Determination of Chlorophyll Concentration
2.4. Determination of MDA
2.5. Quantification of Cu in Ryegrass
2.6. Data Analysis
3. Results and Discussion
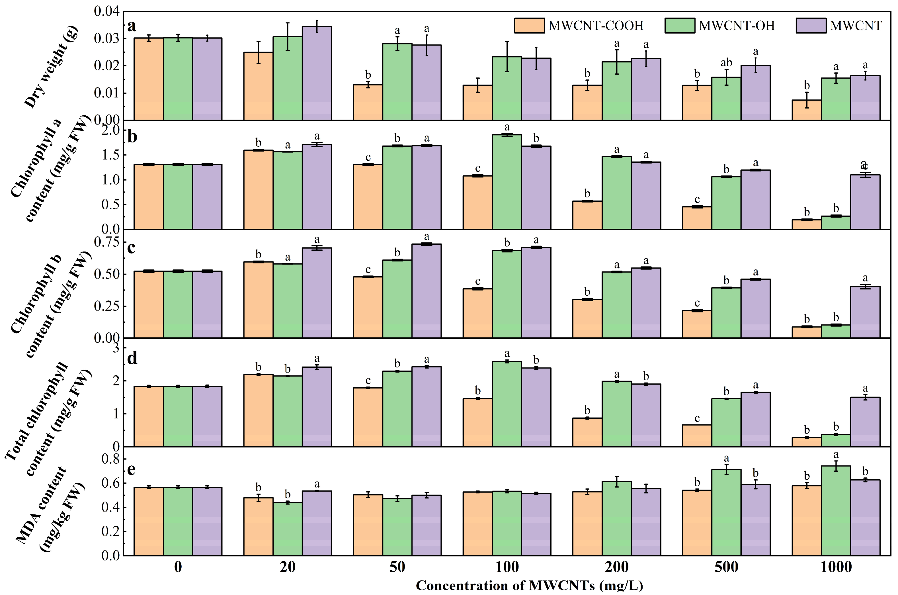
3.1. Effect of Individual MWCNT on the Biomass, Chlorophyll Content, and MDA Level of Ryegrass
3.2. Effect of Individual Cu2+ on the Biomass, Chlorophyll Content, and MDA Level of Ryegrass
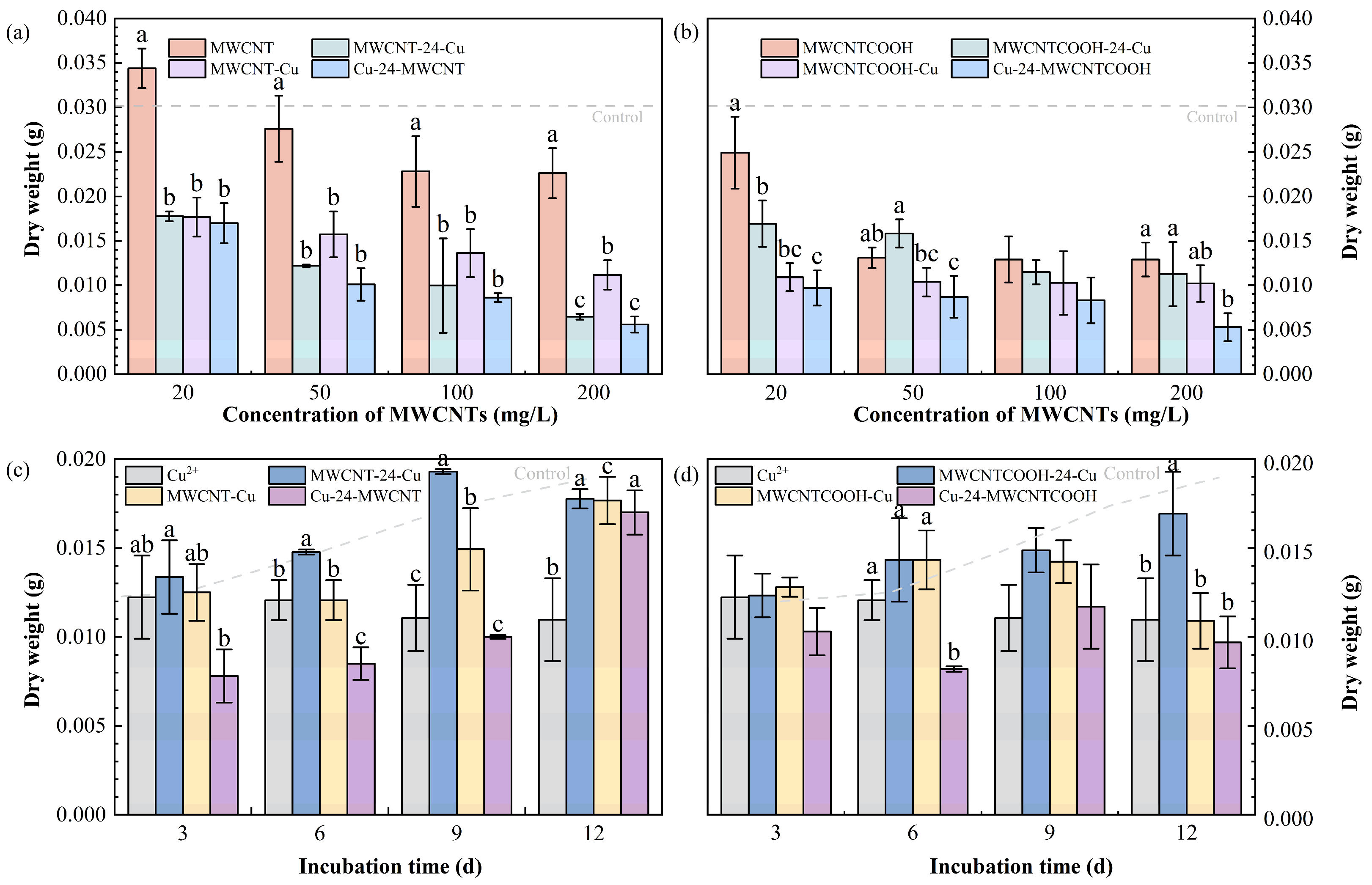
3.3. Synergistic Impact of MWCNT and Cu2+ on the Biomass of Ryegrass
3.4. Synergistic Impact of MWCNT and Cu2+ on the Chlorophyll Content of Ryegrass
3.5. Effect of MWCNT and Cu2+ on the MDA Level of Ryegrass
3.6. Effect of Co-Exposure of MWCNT and Cu2+ on Cu Absorption and Bioaccumulation in Ryegrass
3.7. Interaction Between MWCNTs and Cu2+ in Nutrient Solution
4. Conclusions
Supplementary Materials
Author Contributions
Funding
Data Availability Statement
Conflicts of Interest
References
- Song, N.; Zhang, Y.; Ren, S.; Wang, C.; Lu, X. Rational Design of Conducting Polymer-Derived Tubular Carbon Nanoreactors for Enhanced Enzyme-Like Catalysis and Total Antioxidant Capacity Bioassay Application. Anal. Chem. 2022, 33, 11695–11702. [Google Scholar] [CrossRef] [PubMed]
- Liné, C.; Manent, F.; Wolinski, A.; Flahaut, E.; Larue, C. Comparative Study of Response of Four Crop Species Exposed to Carbon Nanotube Contamination in Soil. Chemosphere 2021, 274, 129854. [Google Scholar] [CrossRef] [PubMed]
- Wan, S.; Bi, H.; Sun, L. Graphene and Carbon-Based Nanomaterials as Highly Efficient Adsorbents for Oils and Organic Solvents. Nanotechnol. Rev. 2016, 1, 3–22. [Google Scholar] [CrossRef]
- Muraro, P.C.L.; Wouters, R.D.; Druzian, D.M.; Viana, A.R.; Schuch, A.P.; Rech, V.C.; da Silva, W.L. Ecotoxicity and In Vitro Safety Profile of the Eco-Friendly Silver and Titanium Dioxide Nanoparticles. Process Saf. Environ. Prot. 2024, 188, 584–594. [Google Scholar] [CrossRef]
- Begum, P.; Fugetsu, B. Phytotoxicity of Multi-Walled Carbon Nanotubes on Red Spinach (Amaranthus tricolor L.) and the Role of Ascorbic Acid as an Antioxidant. J. Hazard. Mater. 2012, 243, 212–222. [Google Scholar] [CrossRef]
- Chang, X.; Song, Z.; Xu, Y.; Gao, M. Effects of Carbon Nanotubes on Growth of Wheat Seedlings and Cd Uptake. Chemosphere 2020, 240, 124931. [Google Scholar] [CrossRef]
- Lin, C.; Fugetsu, B.; Su, Y.; Watari, F. Studies on Toxicity of Multi-Walled Carbon Nanotubes on Arabidopsis T87 Suspension Cells. J. Hazard. Mater. 2009, 2, 578–583. [Google Scholar] [CrossRef]
- Druzian, D.M.; Oviedo, L.R.; Loureiro, S.N.; Wouters, R.D.; Vizzotto, B.S.; de Oliveira Pinto, E.; de Vanconcellos, N.J.S.; Ruiz, Y.P.M.; Galembeck, A.; Pavoski, G.; et al. Cerium Oxide Nanoparticles: Biosynthesis, Characterization, Antimicrobial, Ecotoxicity and Photocatalytic Activity. J. Photochem. Photobiol. A Chem. 2023, 443, 114773. [Google Scholar] [CrossRef]
- Jung, Y.-J.; Muneeswaran, T.; Choi, J.S.; Kim, S.; Han, J.H.; Cho, W.-S.; Park, J.-W. Modified Toxic Potential of Multi-Walled Carbon Nanotubes to Zebrafish (Danio rerio) Following a Two-Year Incubation in Water. J. Hazard. Mater. 2024, 462, 132763. [Google Scholar] [CrossRef]
- Zhai, G.; Gutowski, S.M.; Walters, K.S.; Yan, B.; Schnoor, J.L. Charge, Size, and Cellular Selectivity for Multiwall Carbon Nanotubes by Maize and Soybean. Environ. Sci. Technol. 2015, 12, 7380–7390. [Google Scholar] [CrossRef]
- Hamdi, H.; De La Torre-Roche, R.; Hawthorne, J.; White, J.C. Impact of Non-Functionalized and Amino-Functionalized Multiwall Carbon Nanotubes on Pesticide Uptake by Lettuce (Lactuca sativa L.). Nanotoxicology 2015, 2, 172–180. [Google Scholar] [CrossRef] [PubMed]
- Bryant, D.A.; Gisriel, C.J. The Structural Basis for Light Harvesting in Organisms Producing Phycobiliproteins. Plant Cell 2024, 10, 4036–4064. [Google Scholar] [CrossRef] [PubMed]
- Feil, S.B.; Pii, Y.; Valentinuzzi, F.; Tiziani, R.; Mimmo, T.; Cesco, S. Copper Toxicity Affects Phosphorus Uptake Mechanisms at Molecular and Physiological Levels in Cucumis Sativus Plants. Plant Physiol. Bioch 2020, 157, 138–147. [Google Scholar] [CrossRef] [PubMed]
- Deng, H.; Tu, Y.; Wang, H.; Wang, Z.; Li, Y.; Chai, L.; Zhang, W.; Lin, Z. Environmental Behavior, Human Health Effect, and Pollution Control of Heavy Metal(Loid)S Toward full Life Cycle Processes. Eco-Environ. Health 2022, 4, 229–243. [Google Scholar] [CrossRef]
- Jin, M.-F.; You, M.-X.; Lan, Q.-Q.; Cai, L.-Y.; Lin, M.-Z. Effect of Copper on the Photosynthesis and Growth of Eichhornia Crassipes. Plant Biol. 2021, 5, 777–784. [Google Scholar] [CrossRef]
- Riaz, M.; Zhao, S.; Kamran, M.; Rehman, N.U.; Mora-Poblete, F.; Maldonado, C.; Saleem, M.H.; Parveen, A.; Al-Ghamdi, A.A.; Al-Hemaid, F.M.; et al. Effect of Nano-Silicon on the Regulation of Ascorbate-Glutathione Contents, Antioxidant Defense System and Growth of Copper Stressed Wheat (Triticum aestivum L.) Seedlings. Front. Plant Sci. 2022, 13, 986991. [Google Scholar] [CrossRef]
- Kumar, V.; Pandita, S.; Sidhu, G.P.S.; Sharma, A.; Khanna, K.; Kaur, P.; Bali, A.S.; Setia, R. Copper bioavailability, Uptake, Toxicity and Tolerance in Plants: A Comprehensive Review. Chemosphere 2021, 262, 127810. [Google Scholar] [CrossRef]
- Giannakoula, A.; Therios, I.; Chatzissavvidis, C. Effect of Lead and Copper on Photosynthetic Apparatus in Citrus (Citrus aurantium L.) Plants. The Role of Antioxidants in Oxidative Damage as a Response to Heavy Metal Stress. Plants 2021, 1, 155. [Google Scholar] [CrossRef]
- Hong, J.; Rico, C.M.; Zhao, L.; Adeleye, A.S.; Keller, A.A.; Peralta-Videa, J.R.; Gardea-Torresdey, J.L. Toxic Effects of Copper-Based Nanoparticles or Compounds to Lettuce (Lactuca sativa) and Alfalfa (Medicago sativa). Environ. Sci. Process. Impacts 2015, 1, 177–185. [Google Scholar] [CrossRef]
- Deng, C.; Wang, Y.; Cota-Ruiz, K.; Reyes, A.; Sun, Y.; Peralta-Videa, J.; Hernandez-Viezcas, J.A.; Turley, R.S.; Niu, G.; Li, C.; et al. Bok Choy (Brassica rapa) Grown in Copper Oxide Nanoparticles-Amended Soils Exhibits Toxicity in a Phenotype-Dependent Manner: Translocation, Biodistribution and Nutritional Disturbance. J. Hazard. Mater. 2020, 398, 122978. [Google Scholar] [CrossRef]
- Ali, S.; Rehman, S.A.U.; Shah, I.A.; Farid, M.U.; An, A.K.; Huang, H. Efficient Removal of Zinc from Water and Wastewater Effluents by Hydroxylated and Carboxylated Carbon Nanotube Membranes: Behaviors and Mechanisms of Dynamic Filtration. J. Hazard. Mater. 2019, 365, 64–73. [Google Scholar] [CrossRef] [PubMed]
- Yuan, B.; Zhang, S.; Ren, D.; Zhang, X. Research Progress on the Removal of Heavy Metals in Water and Soil by Modified Carbon Nanotubes: A Review. Water Air Soil Pollut. 2024, 7, 418. [Google Scholar] [CrossRef]
- Tofighy, M.A.; Mohammadi, T. Adsorption of Divalent Heavy Metal Ions from Water Using Carbon Nanotube Sheets. J. Hazard. Mater. 2011, 1, 140–147. [Google Scholar] [CrossRef] [PubMed]
- Yang, S.; Hu, J.; Chen, C.; Shao, D.; Wang, X. Mutual Effects of Pb(Ii) and Humic Acid Adsorption on Multiwalled Carbon Nanotubes/Polyacrylamide Composites from Aqueous Solutions. Environ. Sci. Technol. 2011, 8, 3621–3627. [Google Scholar] [CrossRef]
- Chen, X.; Chu, S.; Chi, Y.; Wang, J.; Wang, R.; You, Y.; Hayat, K.; Khalid, M.; Zhang, D.; Zhou, P.; et al. Unraveling the Role of Multi-Walled Carbon Nanotubes in a Corn-Soil System: Plant Growth, Oxidative Stress and Heavy Metal(Loid)S Behavior. Plant Physiol. Bioch 2023, 200, 107802. [Google Scholar] [CrossRef]
- Gong, X.; Huang, D.; Liu, Y.; Zeng, G.; Wang, R.; Xu, P.; Zhang, C.; Cheng, M.; Xue, W.; Chen, S. Roles of Multiwall Carbon Nanotubes in Phytoremediation: Cadmium Uptake and Oxidative Burst in Boehmeria nivea (L.) Gaudich. Environ. Sci. Nano 2019, 3, 851–862. [Google Scholar] [CrossRef]
- Decunta, F.A.; Pérez, L.I.; Malinowski, D.P.; Molina-Montenegro, M.A.; Gundel, P.E. A Systematic Review on the Effects of Epichloë Fungal Endophytes on Drought Tolerance in Cool-Season Grasses. Front. Plant Sci. 2021, 12, 644731. [Google Scholar] [CrossRef]
- Magrez, A.; Kasas, S.; Salicio, V.; Pasquier, N.; Seo, J.W.; Celio, M.; Catsicas, S.; Schwaller, B.; Forró, L. Cellular Toxicity of Carbon-Based Nanomaterials. Nano Lett. 2006, 6, 1121–1125. [Google Scholar] [CrossRef]
- Samadi, S.; Lajayer, B.A.; Moghiseh, E.; Rodríguez-Couto, S. Effect of Carbon Nanomaterials on Cell Toxicity, Biomass Production, Nutritional and Active Compound Accumulation in Plants. Environ. Technol. Innov. 2021, 21, 101323. [Google Scholar] [CrossRef]
- Cañas, J.E.; Long, M.; Nations, S.; Vadan, R.; Dai, L.; Luo, M.; Ambikapathi, R.; Lee, E.H.; Olszyk, D. Effects of Functionalized and Nonfunctionalized Single-Walled Carbon Nanotubes on Root Elongation of Select Crop Species. Environ. Toxicol. Chem. 2008, 9, 1922–1931. [Google Scholar] [CrossRef]
- Ahmed, B.; Rizvi, A.; Syed, A.; Elgorban, A.M.; Khan, M.S.; Al-Shwaiman, H.A.; Musarrat, J.; Lee, J. Differential Responses of Maize (Zea mays) at the Physiological, Biomolecular, and Nutrient Levels When Cultivated in the Presence of Nano or Bulk Zno or Cuo or Zn2+ or Cu2+ Ions. J. Hazard. Mater. 2021, 419, 126493. [Google Scholar] [CrossRef] [PubMed]
- Dąbrowski, P.; Keutgen, A.J.; Keutgen, N.; Sierka, E.; Baczewska-Dąbrowska, A.H.; Mojski, J.; Pawluśkiewicz, B.; Sieczko, L.; Kalaji, H.M. Photosynthetic Efficiency of Perennial Ryegrass (Lolium perenne L.) Seedlings in Response to Ni and Cd Stress. Sci. Rep. 2023, 1, 5357. [Google Scholar] [CrossRef] [PubMed]
- Semeraro, P.; Chimienti, G.; Altamura, E.; Fini, P.; Rizzi, V.; Cosma, P. Chlorophyll a in Cyclodextrin Supramolecular Complexes as a Natural Photosensitizer for Photodynamic Therapy (Pdt) Applications. Mater. Sci. Eng. C 2018, 85, 47–56. [Google Scholar] [CrossRef] [PubMed]
- Mandal, R.; Dutta, G. From Photosynthesis to Biosensing: Chlorophyll Proves to Be a Versatile Molecule. Sens. Int. 2020, 1, 100058. [Google Scholar] [CrossRef]
- Li, G.; Morlor, C.S.; Leung, C.; Wang, H. Mechanical Properties and Fractal Analysis of Cement Mortar Incorporating Styrene-Butadiene Rubber Latex and Carboxylated Mwcnts. Constr. Build. Mater. 2021, 309, 125175. [Google Scholar] [CrossRef]
- Patel, D.K.; Kim, H.-B.; Dutta, S.D.; Ganguly, K.; Lim, K.-T. Carbon Nanotubes-Based Nanomaterials and Their Agricultural and Biotechnological Applications. Materials 2020, 7, 1679. [Google Scholar] [CrossRef]
- Oliveira, H.C.; Seabra, A.B.; Kondak, S.; Adedokun, O.P.; Kolbert, Z. Multilevel Approach to Plant–Nanomaterial Relationships: From Cells to Living Ecosystems. J. Exp. Bot. 2023, 12, 3406–3424. [Google Scholar] [CrossRef]
- Ursini, C.L.; Cavallo, D.; Fresegna, A.M.; Ciervo, A.; Maiello, R.; Buresti, G.; Casciardi, S.; Tombolini, F.; Bellucci, S.; Iavicoli, S. Comparative Cyto-Genotoxicity Assessment of Functionalized and Pristine Multiwalled Carbon Nanotubes on Human Lung Epithelial Cells. Toxicol. In Vitro 2012, 6, 831–840. [Google Scholar] [CrossRef]
- Shahid, M.; Dumat, C.; Khalid, S.; Schreck, E.; Xiong, T.; Niazi, N.K. Foliar Heavy Metal Uptake, Toxicity and Detoxification in Plants: A Comparison of Foliar and Root Metal Uptake. J. Hazard. Mater. 2017, 325, 36–58. [Google Scholar] [CrossRef]
- Kumar, R.; Ivy, N.; Bhattacharya, S.; Dey, A.; Sharma, P. Coupled Effects of Microplastics and Heavy Metals on Plants: Uptake, Bioaccumulation, and Environmental Health Perspectives. Sci. Total Environ. 2022, 836, 155619. [Google Scholar] [CrossRef]
- Ahmad, M.S.A.; Hussain, M.; Ijaz, S.; Alvi, A.K. Photosynthetic Performance of Two Mung Bean (Vigna radiata) Cultivars under Lead and Copper Stress. Int. J. Agric. Biol. 2008, 10, 167–172. [Google Scholar]
- Singh, H.; Kumar, D.; Soni, V. Performance of Chlorophyll a Fluorescence Parameters in Lemna Minor under Heavy Metal Stress Induced by Various Concentration of Copper. Sci. Rep. 2022, 1, 10620. [Google Scholar] [CrossRef]
- Wu, Y.; Guo, P.; Zhang, X.; Zhang, Y.; Xie, S.; Deng, J. Effect of Microplastics Exposure on the Photosynthesis System of Freshwater Algae. J. Hazard. Mater. 2019, 374, 219–227. [Google Scholar] [CrossRef] [PubMed]
- Mobin, M.; Khan, N.A.; Activity, P. Pigment Composition and Antioxidative Response of Two Mustard (Brassica juncea) Cultivars Differing in Photosynthetic Capacity Subjected to Cadmium Stress. J. Plant Physiol. 2007, 5, 601–610. [Google Scholar] [CrossRef] [PubMed]
- Chebbi, L.; Boughattas, I.; Helaoui, S.; Mkhinini, M.; Jabnouni, H.; Fadhl, E.B.; Alphonse, V.; Livet, A.; Giusti-Miller, S.; Banni, M.; et al. Environmental Microplastic Interact with Heavy Metal in Polluted Soil from Mine Site in the North of Tunisia: Effects on Heavy Metal Accumulation, Growth, Photosynthetic Activities, and Biochemical Responses of Alfalfa Plants (Medicago saliva L.). Chemosphere 2024, 362, 142521. [Google Scholar] [CrossRef]
- Yu, J.; Chen, J.; Li, Q.; Ren, P.; Tang, Y.; Huang, R.; Lu, Y.; Chen, K. Toxicity and Fate of Cadmium in Hydroponically Cultivated Lettuce (Lactuca sativa L.) Influenced by Microplastics. Ecotoxicol. Environ. Saf. 2024, 278, 116422. [Google Scholar] [CrossRef]
- Chen, H.; Song, L.; Zhang, H.; Wang, J.; Wang, Y.; Zhang, H. Cu and Zn Stress Affect the Photosynthetic and Antioxidative Systems of Alfalfa (Medicago sativa). J. Plant Interact. 2022, 1, 695–704. [Google Scholar] [CrossRef]
- Gong, Q.; Wang, L.; Dai, T.; Zhou, J.; Kang, Q.; Chen, H.; Li, K.; Li, Z. Effects of Copper on the Growth, Antioxidant Enzymes and Photosynthesis of Spinach Seedlings. Ecotoxicol. Environ. Saf. 2019, 171, 771–780. [Google Scholar] [CrossRef]
- Xin, X.; Zhao, F.; Judy, J.D.; He, Z. Copper Stress Alleviation in Corn (Zea mays L.): Comparative Efficiency of Carbon Nanotubes and Carbon Nanoparticles. NanoImpact 2022, 25, 100381. [Google Scholar] [CrossRef]
- Ying, W.; Liao, L.; Wei, H.; Gao, Y.; Liu, X.; Sun, L. Structural Basis for Abscisic Acid Efflux Mediated by Abcg25 in Arabidopsis Thaliana. Nat. Plants 2023, 10, 1697–1708. [Google Scholar] [CrossRef]
- Zhang, C.; Chen, X.; Tan, L.; Wang, J. Combined Toxicities of Copper Nanoparticles with Carbon Nanotubes on Marine Microalgae Skeletonema Costatum. Environ. Sci. Pollut. Res. 2018, 13, 13127–13133. [Google Scholar] [CrossRef] [PubMed]
- Wang, F.; Wang, X.; Song, N. Polyethylene Microplastics Increase Cadmium Uptake in Lettuce (Lactuca sativa L.) by Altering the Soil Microenvironment. Sci. Total Environ. 2021, 784, 147133. [Google Scholar] [CrossRef] [PubMed]
- Zong, X.; Zhang, J.; Zhu, J.; Zhang, L.; Jiang, L.; Yin, Y.; Guo, H. Effects of Polystyrene Microplastic on Uptake and Toxicity of Copper and Cadmium in Hydroponic Wheat Seedlings (Triticum aestivum L.). Ecotoxicol. Environ. Saf. 2021, 217, 112217. [Google Scholar] [CrossRef] [PubMed]
- Schmidt, S.B.; Eisenhut, M.; Schneider, A. Chloroplast Transition Metal Regulation for Efficient Photosynthesis. Trends Plant Sci. 2020, 8, 817–828. [Google Scholar] [CrossRef]
- Gavello, D.; Vandael, D.H.F.; Cesa, R.; Premoselli, F.; Marcantoni, A.; Cesano, F.; Scarano, D.; Fubini, B.; Carbone, E.; Fenoglio, I.; et al. Altered Excitability of Cultured Chromaffin Cells Following Exposure to Multi-Walled Carbon Nanotubes. Nanotoxicology 2012, 1, 47–60. [Google Scholar] [CrossRef]
- Puhalsky, Y.V.; Loskutov, S.I.; Vorobyov, N.I.; Shaposhnikov, A.I.; Chukaeva, M.A.; Nagornov, D.O.; Azarova, T.S.; Kozhemyakov, A.P. Impact of Heavy Metals on Changes in the Biochemical Profile of Pea Root Exometabolites. Russ. Agric. Sci. 2023, 2, 189–201. [Google Scholar] [CrossRef]
- Shah, S.I.; Nosheen, S.; Mamoona; Riaz, S.; Shahid, S.; Abbas, M.; Mughal, T.A. Phytotoxic Effect of Dibutyl Phthalate, Dimethyl Phthalate, Diethyl Phthalate and Di-N-Octyl Phthalate on Malondialdehyde Content and Total Phenolic Content of Leaves and Roots of Edible Plants. Soil Sediment Contam. Int. J. 2024, 33, 1208–1218. [Google Scholar] [CrossRef]
- Lin, D.; Xing, B. Phytotoxicity of Nanoparticles: Inhibition of Seed Germination and Root Growth. Environ. Pollut. 2007, 2, 243–250. [Google Scholar] [CrossRef]
- Vithanage, M.; Seneviratne, M.; Ahmad, M.; Sarkar, B.; Ok, Y.S. Contrasting Effects of Engineered Carbon Nanotubes on Plants: A Review. Environ. Geochem. Health 2017, 6, 1421–1439. [Google Scholar] [CrossRef]
- Muleja, A.A.; Mbianda, X.Y.; Krause, R.W.; Pillay, K. Synthesis, Characterization and Thermal Decomposition Behaviour of Triphenylphosphine-Linked Multiwalled Carbon Nanotubes. Carbon 2012, 8, 2741–2751. [Google Scholar] [CrossRef]
- Xing, Q.; Cao, X.; Tan, C.; Sun, L.; Deng, Y.; Yang, J.; Tu, C. Effects of Single and Combined Applications of Three Root Exudates of Sedum Plumbizincicola on the Phytoremediation Efficiency of Paddy Soil Contaminated with Cd. Front. Environ. Sci. 2023, 10, 1086753. [Google Scholar] [CrossRef]
- Cao, Y.-H.; Zhao, X.-W.; Nie, G.; Wang, Z.-Y.; Song, X.; Zhang, M.-X.; Hu, J.-P.; Zhao, Q.; Jiang, Y.; Zhang, J.-L. The Salt-Tolerance of Perennial Ryegrass Is Linked with Root Exudate Profiles and Microflora Recruitment. Sci. Total Environ. 2024, 916, 170205. [Google Scholar] [CrossRef]






Disclaimer/Publisher’s Note: The statements, opinions and data contained in all publications are solely those of the individual author(s) and contributor(s) and not of MDPI and/or the editor(s). MDPI and/or the editor(s) disclaim responsibility for any injury to people or property resulting from any ideas, methods, instructions or products referred to in the content. |
© 2024 by the authors. Licensee MDPI, Basel, Switzerland. This article is an open access article distributed under the terms and conditions of the Creative Commons Attribution (CC BY) license (https://creativecommons.org/licenses/by/4.0/).
Share and Cite
Xie, W.; Peng, C.; Wang, W.; Chen, X.; Tan, J.; Zhang, W. Combined Toxicity of Multi-Walled Carbon Nanotubes and Cu2+ on the Growth of Ryegrass: Effect of Surface Modification, Dose, and Exposure Time Pattern. Nanomaterials 2024, 14, 1746. https://doi.org/10.3390/nano14211746
Xie W, Peng C, Wang W, Chen X, Tan J, Zhang W. Combined Toxicity of Multi-Walled Carbon Nanotubes and Cu2+ on the Growth of Ryegrass: Effect of Surface Modification, Dose, and Exposure Time Pattern. Nanomaterials. 2024; 14(21):1746. https://doi.org/10.3390/nano14211746
Chicago/Turabian StyleXie, Wenwen, Cheng Peng, Weiping Wang, Xiaoyi Chen, Jiaqi Tan, and Wei Zhang. 2024. "Combined Toxicity of Multi-Walled Carbon Nanotubes and Cu2+ on the Growth of Ryegrass: Effect of Surface Modification, Dose, and Exposure Time Pattern" Nanomaterials 14, no. 21: 1746. https://doi.org/10.3390/nano14211746
APA StyleXie, W., Peng, C., Wang, W., Chen, X., Tan, J., & Zhang, W. (2024). Combined Toxicity of Multi-Walled Carbon Nanotubes and Cu2+ on the Growth of Ryegrass: Effect of Surface Modification, Dose, and Exposure Time Pattern. Nanomaterials, 14(21), 1746. https://doi.org/10.3390/nano14211746
