Biosynthesis of Silver Nanoparticles Produced Using Geobacillus spp. Bacteria
Abstract
1. Introduction
2. Materials and Methods
2.1. Source of Microorganisms
2.2. Extracellular Synthesis of Silver Nanoparticles
2.3. Nitrate Reductase Assay
2.4. Characterization of Silver Nanoparticles
2.5. NADH Assay
3. Results
3.1. Extracellular Biosynthesis and Characterization of Obtained Silver Nanoparticles
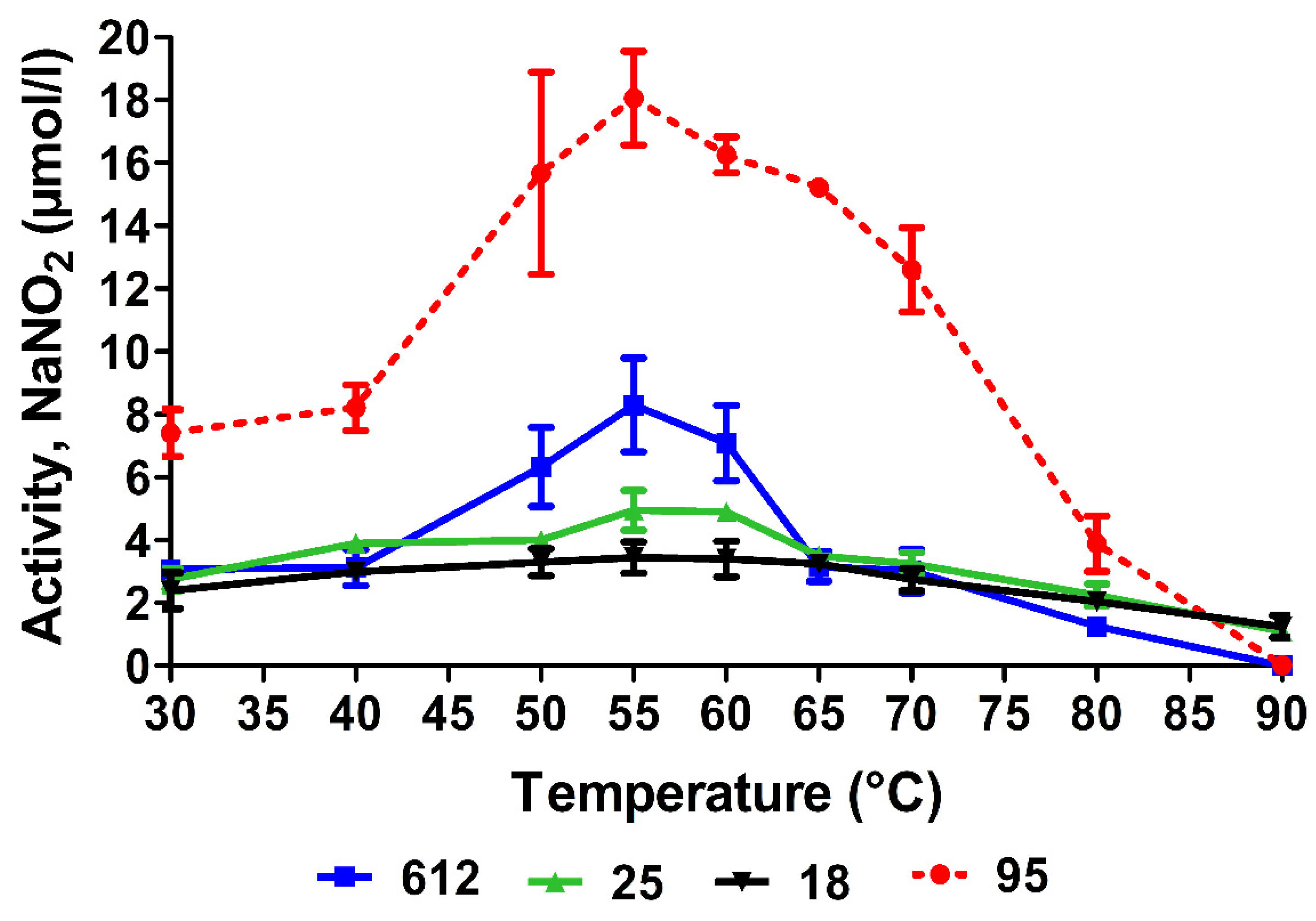
3.2. Nitrate Reductase Activity
4. Discussion
5. Conclusions
Supplementary Materials
Author Contributions
Funding
Data Availability Statement
Acknowledgments
Conflicts of Interest
References
- Iravani, S.; Korbekandi, H.; Mirmohammadi, S.V.; Zolfaghari, B. Synthesis of Silver Nanoparticles: Chemical, Physical and Biological Methods. Res. Pharm. Sci. 2014, 9, 385–406. [Google Scholar] [PubMed]
- Usui, H.; Shimizu, Y.; Sasaki, T.; Koshizaki, N. Photoluminescence of ZnO Nanoparticles Prepared by Laser Ablation in Different Surfactant Solutions. J. Phys. Chem. B 2005, 109, 120–124. [Google Scholar] [CrossRef] [PubMed]
- Li, G.; He, D.; Qian, Y.; Guan, B.; Gao, S.; Cui, Y.; Yokoyama, K.; Wang, L. Fungus-Mediated Green Synthesis of Silver Nanoparticles Using Aspergillus terreus. Int. J. Mol. Sci. 2012, 13, 466–476. [Google Scholar] [CrossRef]
- Deepak, V.; Umamaheshwaran, P.S.; Guhan, K.; Nanthini, R.A.; Krithiga, B.; Jaithoon, N.M.H.; Gurunathan, S. Synthesis of Gold and Silver Nanoparticles Using Purified URAK. Colloids Surf. B Biointerfaces 2011, 86, 353–358. [Google Scholar] [CrossRef]
- Singh, R.; Wagh, P.; Wadhwani, S.; Gaidhani, S.; Kumbhar, A.; Bellare, J.; Chopade, B.A. Synthesis, Optimization, and Characterization of Silver Nanoparticles from Acinetobacter calcoaceticus and Their Enhanced Antibacterial Activity When Combined with Antibiotics. Int. J. Nanomed. 2013, 8, 4277–4290. [Google Scholar] [CrossRef]
- Pourjavadi, A.; Soleyman, R. Novel Silver Nano-Wedges for Killing Microorganisms. Mater. Res. Bull. 2011, 46, 1860–1865. [Google Scholar] [CrossRef]
- Garibo, D.; Borbón-Nuñez, H.A.; de León, J.N.D.; García Mendoza, E.; Estrada, I.; Toledano-Magaña, Y.; Tiznado, H.; Ovalle-Marroquin, M.; Soto-Ramos, A.G.; Blanco, A.; et al. Green Synthesis of Silver Nanoparticles Using Lysiloma acapulcensis Exhibit High-Antimicrobial Activity. Sci. Rep. 2020, 10, 12805. [Google Scholar] [CrossRef]
- Shelar, G.B.; Chavan, A.M. Myco-Synthesis of Silver Nanoparticles from Trichoderma harzianum and Its Impact on Germination Status of Oil Seed. Biolife 2015, 3, 109–113. [Google Scholar]
- Wang, C.; Kim, Y.J.; Singh, P.; Mathiyalagan, R.; Jin, Y.; Yang, D.C. Green Synthesis of Silver Nanoparticles by Bacillus methylotrophicus, and Their Antimicrobial Activity. Artif. Cells Nanomed. Biotechnol. 2016, 44, 1127–1132. [Google Scholar] [CrossRef]
- Otari, S.V.; Patil, R.M.; Ghosh, S.J.; Thorat, N.D.; Pawar, S.H. Intracellular Synthesis of Silver Nanoparticle by Actinobacteria and Its Antimicrobial Activity. Spectrochim. Acta-A Mol. Biomol. Spectrosc. 2015, 136, 1175–1180. [Google Scholar] [CrossRef]
- Moazeni, M.; Shahverdi, A.R.; Nabili, M.; Noorbakhsh, F.; Rezaie, S. Green Synthesis of Silver Nanoparticles: The reasons for and against Aspergillus parasiticus. Summer 2014, 1, 267–275. [Google Scholar]
- McMullan, G.; Christie, J.M.; Rahman, T.J.; Banat, I.M.; Ternan, N.G.; Marchant, R. Habitat, Applications and Genomics of the Aerobic, Thermophilic Genus Geobacillus. Biochem. Soc. Trans. 2004, 32, 214–217. [Google Scholar] [CrossRef]
- Correa-Llantén, D.N.; Muñoz-Ibacache, S.A.; Castro, M.E.; Muñoz, P.A.; Blamey, J.M. Gold Nanoparticles Synthesized by Geobacillus sp. Strain ID17 a Thermophilic Bacterium Isolated from Deception Island, Antarctica. Microb. Cell Factories 2013, 12, 75. [Google Scholar] [CrossRef] [PubMed]
- Ghasemi, S.M.; Dormanesh, B.; Abari, A.H.; Aliasghari, A.; Farahnejad, Z. Comparative Characterization of Silver Nanoparticles Synthesized by Spore Extract of Bacillus subtilis and Geobacillus stearothermophilus. Nanomed. J. 2018, 5, 46–51. [Google Scholar] [CrossRef]
- Mohammed Fayaz, A.; Girilal, M.; Rahman, M.; Venkatesan, R.; Kalaichelvan, P.T. Biosynthesis of Silver and Gold Nanoparticles Using Thermophilic Bacterium Geobacillus Stearothermophilus. Process Biochem. 2011, 46, 1958–1962. [Google Scholar] [CrossRef]
- Youssif, A.M.; Soliman, N.A.; Sabry, S.A.; Ghozlan, H.A. Biosynthesis, Characterization And Application Of Silver Nanoparticles By Geobacillus thermodenitrificans Az1 As Antimicrobial, Antibiofilm And Dye Catalyist. Asian J. Microbiol. Biotech. Environ. Sci. 2020, 22, 50–56. [Google Scholar]
- Rigoldi, F.; Donini, S.; Redaelli, A.; Parisini, E.; Gautieri, A. Review: Engineering of Thermostable Enzymes for Industrial Applications. APL Bioeng. 2018, 2, 011501. [Google Scholar] [CrossRef]
- André, S.; Zuber, F.; Remize, F. Thermophilic Spore-Forming Bacteria Isolated from Spoiled Canned Food and Their Heat Resistance. Results of a French Ten-Year Survey. Int. J. Food Microbiol. 2013, 165, 134–143. [Google Scholar] [CrossRef]
- Malunavicius, V.; Druteika, G.; Sadauskas, M.; Veteikyte, A.; Matijosyte, I.; Lastauskiene, E.; Gegeckas, A.; Gudiukaite, R. Usage of GD-95 and GD-66 Lipases as Fusion Partners Leading to Improved Chimeric Enzyme LipGD95-GD66. Int. J. Biol. Macromol. 2018, 118, 1594–1603. [Google Scholar] [CrossRef]
- Tian, Y.; Luo, J.; Wang, H.; Zaki, H.E.M.; Yu, S.; Wang, X.; Ahmed, T.; Shahid, M.S.; Yan, C.; Chen, J.; et al. Bioinspired Green Synthesis of Silver Nanoparticles Using Three Plant Extracts and Their Antibacterial Activity against Rice Bacterial Leaf Blight Pathogen Xanthomonas oryzae Pv. Oryzae. Plants 2022, 11, 2892. [Google Scholar] [CrossRef]
- Zaki, A.; Aziz, M.N.; Ahmad, R.; Ahamad, I.; Ali, M.S.; Yasin, D.; Afzal, B.; Ali, S.M.; Chopra, A.; Hadda, V.; et al. Synthesis, Purification and Characterization of Plectonema Derived AgNPs with Elucidation of the Role of Protein in Nanoparticle Stabilization. RSC Adv. 2022, 12, 2497–2510. [Google Scholar] [CrossRef] [PubMed]
- Saleh, M.N.; Khoman Alwan, S. Bio-Synthesis of Silver Nanoparticles from Bacteria Klebsiella pneumonia: Their Characterization and Antibacterial Studies. J. Phys. Conf. Ser. 2020, 1664, 012115. [Google Scholar] [CrossRef]
- Harley, S.M. Use of a Simple, Colorimetric Assay to Demonstrate Conditions for Induction of Nitrate Reductase in Plants. Am. Biol. Teach. 1993, 55, 161–164. [Google Scholar] [CrossRef]
- Vallar, S.; Houivet, D.; Fallah, J.E.; Kervadec, D.; Haussonne, J.-M. Oxide Slurries Stability and Powders Dispersion: Optimization with Zeta Potential and Rheological Measurements. J. Eur. Ceram. Soc. 1999, 19, 1017–1021. [Google Scholar] [CrossRef]
- Kumar, S.A.; Abyaneh, M.K.; Gosavi, S.W.; Kulkarni, S.K.; Pasricha, R.; Ahmad, A.; Khan, M.I. Nitrate Reductase-Mediated Synthesis of Silver Nanoparticles from AgNO 3. Biotechnol. Lett. 2007, 29, 439–445. [Google Scholar] [CrossRef] [PubMed]
- Henglein, A. Physicochemical Properties of Small Metal Particles in Solution: “Microelectrode” Reactions, Chemisorption, Composite Metal Particles, and the Atom-to-Metal Transition. J. Phys. Chem. 1993, 97, 5457–5471. [Google Scholar] [CrossRef]
- Sastry, M.; Mayya, K.S.; Bandyopadhyay, K. PH Dependent Changes in the Optical Properties of Carboxylic Acid Derivatized Silver Colloidal Particles. Colloids Surf. A Physicochem. Eng. Asp. 1997, 127, 221–228. [Google Scholar] [CrossRef]
- Patil, V.; Sastry, M. Electrostatically Controlled Diffusion of Carboxylic Acid Derivatized Q-State CdS Nanoparticles in Thermally Evaporated Fatty Amine Films. J. Chem. Soc.-Faraday Trans. 1997, 93, 4347–4353. [Google Scholar] [CrossRef]
- Austin, L.A.; MacKey, M.A.; Dreaden, E.C.; El-Sayed, M.A. The Optical, Photothermal, and Facile Surface Chemical Properties of Gold and Silver Nanoparticles in Biodiagnostics, Therapy, and Drug Delivery. Arch. Toxicol. 2014, 88, 1391–1417. [Google Scholar] [CrossRef]
- Bhainsa, K.C.; D’Souza, S.F. Extracellular Biosynthesis of Silver Nanoparticles Using the Fungus Aspergillus fumigatus. Colloids Surf. B Biointerfaces 2006, 47, 160–164. [Google Scholar] [CrossRef]
- Elbeshehy, E.K.F.; Elazzazy, A.M.; Aggelis, G. Silver Nanoparticles Synthesis Mediated by New Isolates of Bacillus spp., Nanoparticle Characterization and Their Activity against Bean Yellow Mosaic Virus and Human Pathogens. Front. Microbiol. 2015, 6, 453. [Google Scholar] [CrossRef]
- John, M.S.; Nagoth, J.A.; Ramasamy, K.P.; Mancini, A.; Giuli, G.; Miceli, C.; Pucciarelli, S. Synthesis of Bioactive Silver Nanoparticles Using New Bacterial Strains from an Antarctic Consortium. Mar. Drugs 2022, 20, 558. [Google Scholar] [CrossRef]
- Elamawi, R.M.; Al-Harbi, R.E.; Hendi, A.A. Biosynthesis and Characterization of Silver Nanoparticles Using Trichoderma longibrachiatum and Their Effect on Phytopathogenic Fungi. Egypt. J. Biol. Pest Control. 2018, 28, 28. [Google Scholar] [CrossRef]
- Alsamhary, K.I. Eco-Friendly Synthesis of Silver Nanoparticles by Bacillus subtilis and Their Antibacterial Activity. Saudi J. Biol. Sci. 2020, 27, 2185–2191. [Google Scholar] [CrossRef] [PubMed]
- Singh, H.; Du, J.; Singh, P.; Yi, T.H. Extracellular Synthesis of Silver Nanoparticles by Pseudomonas sp. THG-LS1.4 and Their Antimicrobial Application. J. Pharm. Anal. 2018, 8, 258–264. [Google Scholar] [CrossRef]
- Romano, I.; Vitiello, G.; Gallucci, N.; Di Girolamo, R.; Cattaneo, A.; Poli, A.; Di Donato, P. Extremophilic Microorganisms for the Green Synthesis of Antibacterial Nanoparticles. Microorganisms 2022, 10, 1885. [Google Scholar] [CrossRef] [PubMed]
- Deljou, A.; Goudarzi, S. Green Extracellular Synthesis of the Silver Nanoparticles Using Thermophilic Bacillus sp. AZ1 and Its Antimicrobial Activity Against Several Human Pathogenetic Bacteria. Iran J. Biotechnol. 2016, 14, 25–32. [Google Scholar] [CrossRef] [PubMed]
- Shankar, A.; Kumar, V.; Kaushik, N.K.; Kumar, A.; Malik, V.; Singh, D.; Singh, B. Sporotrichum thermophile Culture Extract-Mediated Greener Synthesis of Silver Nanoparticles: Eco-Friendly Functional Group Transformation and Anti-Bacterial Study. Curr. Res. Green Sustain. Chem. 2020, 3, 100029. [Google Scholar] [CrossRef]
- Calderón-Jiménez, B.; Johnson, M.E.; Montoro Bustos, A.R.; Murphy, K.E.; Winchester, M.R.; Vega Baudrit, J.R. Silver Nanoparticles: Technological Advances, Societal Impacts, and Metrological Challenges. Front. Chem. 2017, 5, 6. [Google Scholar] [CrossRef]
- Abou El-Nour, K.M.M.; Eftaiha, A.; Al-Warthan, A.; Ammar, R.A.A. Synthesis and Applications of Silver Nanoparticles. Arab. J. Chem. 2010, 3, 135–140. [Google Scholar] [CrossRef]
- Xu, L.; Wang, Y.-Y.; Huang, J.; Chen, C.-Y.; Wang, Z.-X.; Xie, H. Silver Nanoparticles: Synthesis, Medical Applications and Biosafety. Theranostics 2020, 10, 8996–9031. [Google Scholar] [CrossRef]
- Zhang, X.-F.; Liu, Z.-G.; Shen, W.; Gurunathan, S. Silver Nanoparticles: Synthesis, Characterization, Properties, Applications, and Therapeutic Approaches. IJMS 2016, 17, 1534. [Google Scholar] [CrossRef]
- Mukherjee, K.; Gupta, R.; Kumar, G.; Kumari, S.; Biswas, S.; Padmanabhan, P. Synthesis of Silver Nanoparticles by Bacillus clausii and Computational Profiling of Nitrate Reductase Enzyme Involved in Production. J. Genet. Eng. Biotechnol. 2018, 16, 527–536. [Google Scholar] [CrossRef]
- Vaidyanathan, R.; Gopalram, S.; Kalishwaralal, K.; Deepak, V.; Pandian, S.R.K.; Gurunathan, S. Enhanced Silver Nanoparticle Synthesis by Optimization of Nitrate Reductase Activity. Colloids Surf. B Biointerfaces 2010, 75, 335–341. [Google Scholar] [CrossRef] [PubMed]
- Maduraiveeran, G.; Ramaraj, R. Enhanced Sensing of Mercuric Ions Based on Dinucleotide-Functionalized Silver Nanoparticles. Anal. Methods 2016, 8, 7966–7971. [Google Scholar] [CrossRef]
- Hietzschold, S.; Walter, A.; Davis, C.; Taylor, A.A.; Sepunaru, L. Does Nitrate Reductase Play a Role in Silver Nanoparticle Synthesis? Evidence for NADPH as the Sole Reducing Agent. ACS Sustain. Chem. Eng. 2019, 7, 8070–8076. [Google Scholar] [CrossRef]
- Lin, I.W.S.; Lok, C.N.; Che, C.M. Biosynthesis of Silver Nanoparticles from Silver(i) Reduction by the Periplasmic Nitrate Reductase c-Type Cytochrome Subunit NapC in a Silver-Resistant E. coli. Chem. Sci. 2014, 5, 3144–3150. [Google Scholar] [CrossRef]
- Khodashenas, B. Nitrate Reductase Enzyme in Escherichia coli and Its Relationship with the Synthesis of Silver Nano Particles. J. Res. Sci. Eng. Technol. 2019, 3, 26–32. [Google Scholar] [CrossRef]
- Khodashenas, B.; Ghorbani, H.R. Optimisation of Nitrate Reductase Enzyme Activity to Synthesise Silver Nanoparticles. IET Nanobiotechnology 2016, 10, 158–161. [Google Scholar] [CrossRef]
- Muthukrishnan, L.; Chellappa, M.; Nanda, A. Bio-Engineering and Cellular Imaging of Silver Nanoparticles as Weaponry against Multidrug Resistant Human Pathogens. J. Photochem. Photobiol. B Biol. 2019, 194, 119–127. [Google Scholar] [CrossRef]
- Oza, G.; Pandey, S.; Shah, R.; Sharon, M. Extracellular Fabrication of Silver Nanoparticles Using Pseudomonas aeruginosa and Its Antimicrobial Assay. Pelagia Res. Libr. Adv. Appl. Sci. Res. 2012, 3, 1776–1783. [Google Scholar]
- Ali, J.; Hameed, A.; Ahmed, S.; Ali, M.I.; Zainab, S.; Ali, N. Role of Catalytic Protein and Stabilising Agents in the Transformation of Ag Ions to Nanoparticles by Pseudomonas aeruginosa. IET Nanobiotechnol. 2016, 10, 295–300. [Google Scholar] [CrossRef]
- Sparacino-Watkins, C.; Stolz, J.F.; Basu, P. Nitrate and Periplasmic Nitrate Reductases. Chem. Soc. Rev. 2014, 43, 676–706. [Google Scholar] [CrossRef] [PubMed]
- Shanab, S.; Essa, A.; Shalaby, E. Bioremoval Capacity of Three Heavy Metals by Some Microalgae Species (Egyptian Isolates). Plant Signal. Behav. 2012, 7, 392–399. [Google Scholar] [CrossRef] [PubMed]
- Masindi, V.; Muedi, K.L. Environmental Contamination by Heavy Metals. In Heavy Metals; InTech: London, UK, 2018. [Google Scholar]
- Jain, A.; Agarwal, M. Synthesising Zero Valent Iron Supported on Alumina for Removal of Arsenic from Drinking Water. Interdiscip. Environ. Rev. 2017, 18, 108–123. [Google Scholar] [CrossRef]
- Bojórquez, C.; Frías Espericueta, M.G.; Voltolina, D. Removal of Cadmium and Lead by Adapted Strains of Pseudomonas aeruginosa and Enterobacter cloacae. Rev. Int. Contam. Ambient. 2016, 32, 407–412. [Google Scholar] [CrossRef]
- Gupta, A.; Joia, J.; Sood, A.; Sood, R.; Sidhu, C.; Kaur, G. Microbes as Potential Tool for Remediation of Heavy Metals: A Review. J. Microb. Biochem. Technol. 2016, 8, 364–372. [Google Scholar] [CrossRef]
- Lee, Y.S.; Park, W. Current Challenges and Future Directions for Bacterial Self-Healing Concrete. Appl. Microbiol. Biotechnol. 2018, 102, 3059–3070. [Google Scholar] [CrossRef] [PubMed]
- Seifan, M.; Ebrahiminezhad, A.; Ghasemi, Y.; Samani, A.K.; Berenjian, A. The Role of Magnetic Iron Oxide Nanoparticles in the Bacterially Induced Calcium Carbonate Precipitation. Appl. Microbiol. Biotechnol. 2018, 102, 3595–3606. [Google Scholar] [CrossRef]






| Tested Strain of Geobacillus spp. | Zeta Potential Values (mV) |
|---|---|
| 18 | −26.6 ± 0.5 |
| 25 | −31.3 ± 0.8 |
| 95 | −25.7 ± 0.8 |
| 612 | −27.4 ± 0.6 |
Disclaimer/Publisher’s Note: The statements, opinions and data contained in all publications are solely those of the individual author(s) and contributor(s) and not of MDPI and/or the editor(s). MDPI and/or the editor(s) disclaim responsibility for any injury to people or property resulting from any ideas, methods, instructions or products referred to in the content. |
© 2023 by the authors. Licensee MDPI, Basel, Switzerland. This article is an open access article distributed under the terms and conditions of the Creative Commons Attribution (CC BY) license (https://creativecommons.org/licenses/by/4.0/).
Share and Cite
Cekuolyte, K.; Gudiukaite, R.; Klimkevicius, V.; Mazrimaite, V.; Maneikis, A.; Lastauskiene, E. Biosynthesis of Silver Nanoparticles Produced Using Geobacillus spp. Bacteria. Nanomaterials 2023, 13, 702. https://doi.org/10.3390/nano13040702
Cekuolyte K, Gudiukaite R, Klimkevicius V, Mazrimaite V, Maneikis A, Lastauskiene E. Biosynthesis of Silver Nanoparticles Produced Using Geobacillus spp. Bacteria. Nanomaterials. 2023; 13(4):702. https://doi.org/10.3390/nano13040702
Chicago/Turabian StyleCekuolyte, Kotryna, Renata Gudiukaite, Vaidas Klimkevicius, Veronika Mazrimaite, Andrius Maneikis, and Egle Lastauskiene. 2023. "Biosynthesis of Silver Nanoparticles Produced Using Geobacillus spp. Bacteria" Nanomaterials 13, no. 4: 702. https://doi.org/10.3390/nano13040702
APA StyleCekuolyte, K., Gudiukaite, R., Klimkevicius, V., Mazrimaite, V., Maneikis, A., & Lastauskiene, E. (2023). Biosynthesis of Silver Nanoparticles Produced Using Geobacillus spp. Bacteria. Nanomaterials, 13(4), 702. https://doi.org/10.3390/nano13040702

