Computational Methods for Charge Density Waves in 2D Materials
Abstract
1. Introduction
2. Computational Techniques and Methods
3. Computational Results in Atomic and Band Structures
3.1. TaS2 Structure
3.2. TaSe2 Structure
4. Theory-Driven Results in Raman Modes
4.1. Phonon Behavior in TaS2
4.2. Phonon Behavior in TaSe2
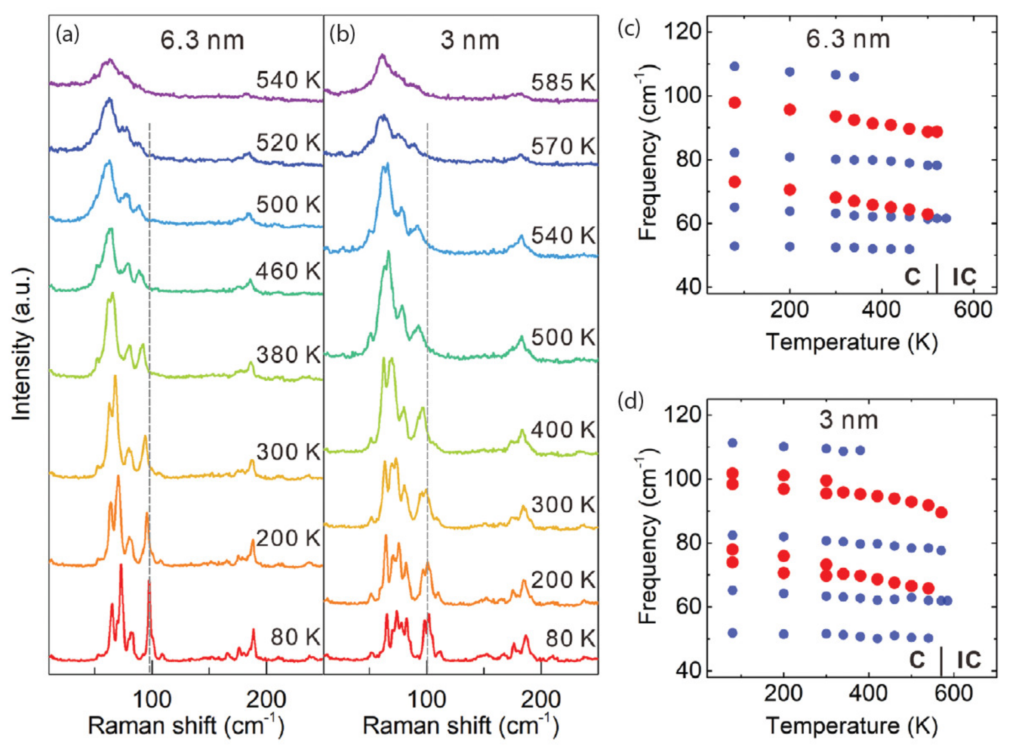
5. Effects of Confinement and Dimensionality
5.1. Confinement and Dimensionality in TaS2
5.2. Confinement and Dimensionality in TaSe2
6. Future Outlook and Conclusions
Author Contributions
Funding
Data Availability Statement
Acknowledgments
Conflicts of Interest
References
- Chhowalla, M.; Jena, D.; Zhang, H. Two-dimensional semiconductors for transistors. Nat. Rev. Mater. 2016, 1, 16052. [Google Scholar] [CrossRef]
- Mannix, A.J.; Kiraly, B.; Hersam, M.C.; Guisinger, N.P. Synthesis and chemistry of elemental 2D materials. Nat. Rev. Chem. 2017, 1, 0014. [Google Scholar] [CrossRef]
- Novoselov, K.S.; Geim, A.K.; Morozov, S.; Jiang, D.; Katsnelson, M.I.; Grigorieva, I.; Dubonos, S.; Firsov, A.A. Two-dimensional gas of massless Dirac fermions in graphene. Nature 2005, 438, 197. [Google Scholar] [CrossRef] [PubMed]
- Novoselov, K.S.; Geim, A.K.; Morozov, S.; Jiang, D.; Zhang, Y.; Dubonos, S.V.; Grigorieva, I.; Firsov, A.A. Electric field effect in atomically thin carbon films. Science 2004, 306, 666–669. [Google Scholar] [CrossRef]
- Fröhlich, H. On the theory of superconductivity: The one-dimensional case. Proc. R. Soc. Lond. A 1954, 223, 296–305. [Google Scholar]
- Thorne, R.E. Charge-density-wave conductors. Phys. Today 1996, 49, 42–48. [Google Scholar] [CrossRef]
- Liu, G.; Debnath, B.; Pope, T.R.; Salguero, T.T.; Lake, R.K.; Baladin, A.A. A charge-density-wave oscillator based on an integrated tantalum disulfide–boron nitride–graphene device operating at room temperature. Nat. Nanotechnol. 2016, 11, 845–850. [Google Scholar] [CrossRef]
- Gruner, G. Density Waves in Solids; Perseus Publishing: New York, NY, USA, 2000. [Google Scholar]
- Wilson, J.A.; Di Salvo, F.J.; Mahajan, S. Charge-density waves and superlattices in the metallic layered transition metal dichalcogenides. Adv. Phys. 1975, 24, 2. [Google Scholar] [CrossRef]
- Wilson, J.A.; Yoffe, A.D. The transition metal dichalcogenides discussion and interpretation of the observed optical, electrical and structural properties. Adv. Phys. 1969, 18, 73. [Google Scholar] [CrossRef]
- Sipos, B.; Kusmartseva, A.F.; Akrap, A.; Berger, H.; Forró, L.; Tutis, E. From Mott state to superconductivity in 1T-TaS2. Nat. Mater. 2008, 7, 960. [Google Scholar] [CrossRef]
- McMillan, W.L. Theory of discommensurations and the commensurate-incommensurate charge-density-wave phase transition. Phys. Rev. B 1976, 14, 1496. [Google Scholar] [CrossRef]
- Rice, T.M.; Scott, G.K. New mechanism for a charge-density-wave instability. Phys. Rev. Lett. 1975, 35, 120. [Google Scholar] [CrossRef]
- Hirsch, J.E. Charge-density-wave to spin-density-wave transition in the extended Hubbard model. Phys. Rev. Lett. 1984, 53, 2327. [Google Scholar] [CrossRef]
- Tucker, J.R.; Lyons, W.G.; Gammie, G. Theory of charge-density-wave dynamics. Phys. Rev. B 1988, 38, 1148. [Google Scholar] [CrossRef] [PubMed]
- Efetov, K.B.; Larkin, A.I. Charge-density wave in a random potential. Sov. Phys. JETP 1977, 45, 2350–2361. [Google Scholar]
- Sugai, S. Lattice vibrations in the charge-density-wave states of layered transition metal dichalcogenides. Phys. Status Solidi B Basic Res. 1985, 129, 13–39. [Google Scholar] [CrossRef]
- Zettl, A.; Grüner, G. Charge-density-wave dynamics in TaS3. Phys. Rev. B 1982, 25, 2081. [Google Scholar] [CrossRef]
- Stoffel, N.G.; Kevan, S.D.; Smith, N.V. Experimental band structure of 1T-TiSe2 in the normal and charge-density-wave phases. Phys. Rev. B 1985, 31, 8049. [Google Scholar] [CrossRef]
- Jacobs, A.E.; Walker, M.B. Phenomenological theory of charge-density-wave states in trigonal-prismatic, transition-metal dichalcogenides. Phys. Rev. B 1980, 21, 4132. [Google Scholar] [CrossRef]
- Thompson, A.H.; Zettl, A.; Grüner, G. Charge-Density-Wave Transport in TaS3. Phys. Rev. Lett. 1981, 47, 64. [Google Scholar] [CrossRef]
- Grüner, G.; Zawadowski, A.; Chaikin, P.M. Nonlinear conductivity and noise due to charge-density-wave depinning in NbSe3. Phys. Rev. Lett. 1981, 46, 511. [Google Scholar] [CrossRef]
- Monceau, P.; Richard, J.; Renard, M. Interference Effects of the Charge-Density-Wave Motion in NbSe3. Phys. Rev. Lett. 1980, 45, 43. [Google Scholar] [CrossRef]
- Su, W.P.; Schrieffer, J.R. Fractionally charged excitations in charge-density-wave systems with commensurability 3. Phys. Rev. Lett. 1981, 46, 738. [Google Scholar] [CrossRef]
- Grüner, G.; Zettl, A. Charge density wave conduction: A novel collective transport phenomenon in solids. Phys. Rep. 1985, 119, 117–232. [Google Scholar] [CrossRef]
- Tsutsumi, K.; Takagaki, T.; Yamamoto, M.; Shiozaki, Y.; Ido, M.; Sambongi, T.; Yamaya, K.; Abe, Y. Direct Electron-Diffraction Evidence of Charge-Density-Wave Formation in NbSe3. Phys. Rev. Lett. 1977, 39, 1675. [Google Scholar] [CrossRef]
- Bak, P.; Mukamel, D.; Villain, J.; Wentowska, K. Commensurate-incommensurate transitions in rare-gas monolayers adsorbed on graphite and in layered charge-density-wave systems. Phys. Rev. B 1979, 19, 1610. [Google Scholar] [CrossRef]
- Chen, C.H.; Gibson, J.M.; Fleming, R.M. Direct Observation of Charge-Density-Wave Discommensurations and Dislocations in 2H-TaSe2. Phys. Rev. Lett. 1981, 47, 723. [Google Scholar] [CrossRef]
- Moncton, D.E.; Axe, J.D.; DiSalvo, F.J. Neutron scattering study of the charge-density wave transitions in 2H-TaSe2 and 2H-NbSe2. Phys. Rev. B 1977, 16, 801. [Google Scholar] [CrossRef]
- Fukuyama, H.; Lee, P.A. Dynamics of the charge-density wave, Impurity pinning in a single chain. Phys. Rev. B 1978, 17, 535. [Google Scholar] [CrossRef]
- Harper, J.M.; Geballe, T.H.; DiSalvo, F.J. Thermal properties of layered transition-metal dichalcogenides at charge-density-wave transitions. Phys. Rev. B 1977, 15, 2943. [Google Scholar] [CrossRef]
- Yoshioka, D.; Fukuyama, H. Charge density wave state of two-dimensional electrons in strong magnetic fields. J. Phys. Soc. Jpn. 1979, 47, 394–402. [Google Scholar] [CrossRef]
- Yoshioka, D.; Lee, P.A. Ground-state energy of a two-dimensional charge-density-wave state in a strong magnetic field. Phys. Rev. B 1983, 27, 4986. [Google Scholar] [CrossRef]
- Scalettar, R.T.; Bickers, N.E.; Scalapino, D.J. Competition of pairing and Peierls–charge-density-wave correlations in a two-dimensional electron-phonon model. Phys. Rev. B 1989, 40, 197. [Google Scholar] [CrossRef]
- Carpinelli, J.M.; Weitering, H.H.; Plummer, E.W.; Stumpf, R. Direct observation of a surface charge density wave. Nature 1996, 381, 398–400. [Google Scholar] [CrossRef]
- Koulakov, A.A.; Fogler, M.M.; Shklovskii, B.I. Charge density wave in two-dimensional electron liquid in weak magnetic field. Phys. Rev. Lett. 1996, 76, 499. [Google Scholar] [CrossRef] [PubMed]
- Hill, H.M.; Rigosi, A.F.; Krylyuk, S.; Tian, J.; Nguyen, N.V.; Davydov, A.V.; Newell, D.B.; Hight Walker, A.R. Comprehensive optical characterization of atomically thin NbSe2. Phys. Rev. B 2018, 98, 165109. [Google Scholar] [CrossRef] [PubMed]
- Whangbo, M.H.; Canadell, E.; Foury, P.; Pouget, J.P. Hidden Fermi surface nesting and charge density wave instability in low-dimensional metals. Science 1991, 252, 96–98. [Google Scholar] [CrossRef] [PubMed]
- Snow, C.S.; Karpus, J.F.; Cooper, S.L.; Kidd, T.E.; Chiang, T.C. Quantum Melting of the Charge-Density-Wave State in 1T-TiSe2. Phys. Rev. Lett. 2003, 91, 136402. [Google Scholar] [CrossRef]
- Thomson, R.E.; Burk, B.; Zettl, A.; Clarke, J. Scanning tunneling microscopy of the charge-density-wave structure in 1T-TaS 2. Phys. Rev. B 1994, 49, 16899. [Google Scholar] [CrossRef]
- Rossnagel, K.; Rotenberg, E.; Koh, H.; Smith, N.; Kipp, L. Fermi surface, charge-density-wave gap, and kinks in 2HTaSe2. Phys. Rev. B 2005, 72, 121103. [Google Scholar] [CrossRef]
- Valla, T.; Fedorov, A.V.; Johnson, P.D.; Xue, J.; Smith, K.E.; Di Salvo, F.J. Charge-density-wave-induced modifications to the quasiparticle self-energy in 2HTaSe2. Phys. Rev. Lett. 2000, 85, 4759. [Google Scholar] [CrossRef]
- Gweon, G.H.; Denlinger, J.D.; Clack, J.A.; Allen, J.W.; Olson, C.G.; DiMasi, E.; Aronson, M.C.; Foran, B.; Lee, S. Direct observation of complete Fermi surface, imperfect nesting, and gap anisotropy in the high-temperature incommensurate charge-density-wave compound SmTe3. Phys. Rev. Lett. 1998, 81, 886. [Google Scholar] [CrossRef]
- Shen, D.W.; Xie, B.P.; Zhao, J.F.; Yang, L.X.; Fang, L.; Shi, J.; He, R.H.; Lu, D.H.; Wen, H.H.; Feng, D.L. Novel mechanism of a charge density wave in a transition metal dichalcogenide. Phys. Rev. Lett. 2007, 99, 216404. [Google Scholar] [CrossRef] [PubMed]
- Johannes, M.D.; Mazin, I.I.; Howells, C.A. Fermi-surface nesting and the origin of the charge-density wave in NbSe2. Phys. Rev. B 2006, 73, 205102. [Google Scholar] [CrossRef]
- Calandra, M.; Mazin, I.I.; Mauri, F. Effect of dimensionality on the charge-density wave in few-layer 2HNbSe2. Phys. Rev. B 2009, 80, 241108. [Google Scholar] [CrossRef]
- Ge, Y.; Liu, A.Y. Effect of dimensionality and spin-orbit coupling on charge-density-wave transition in 2HTaSe2. Phys. Rev. B 2012, 86, 104101. [Google Scholar] [CrossRef]
- Head-Marsden, K.; Flick, J.; Ciccarino, C.J.; Narang, P. Quantum Information and Algorithms for Correlated Quantum Matter. Chem. Rev. 2020, 121, 3061–3120. [Google Scholar] [CrossRef] [PubMed]
- Kabiraj, A.; Mahapatra, S. Machine-Intelligence-Driven High-Throughput Prediction of 2D Charge Density Wave Phases. J. Phys. Chem. Lett. 2020, 11, 6291–6298. [Google Scholar] [CrossRef]
- Ugeda, M.M.; Bradley, A.J.; Zhang, Y.; Onishi, S.; Chen, Y.; Ruan, W.; Ojeda-Aristizabal, C.; Ryu, H.; Edmonds, M.T.; Tsai, H.-Z. Characterization of collective ground states in single-layer NbSe2. Nat. Phys. 2016, 12, 92. [Google Scholar] [CrossRef]
- Xi, X.; Wang, Z.; Zhao, W.; Park, J.-H.; Law, K.T.; Berger, H.; Forró, L.; Shan, J.; Mak, K.F. Ising pairing in superconducting NbSe2 atomic layers. Nat. Phys. 2016, 12, 139. [Google Scholar] [CrossRef]
- Xi, X.; Zhao, L.; Wang, Z.; Berger, H.; Forró, L.; Shan, J.; Mak, K.F. Strongly enhanced charge-density-wave order in monolayer NbSe2. Nat. Nanotechnol. 2015, 10, 765. [Google Scholar] [CrossRef] [PubMed]
- Soumyanarayanan, A.; Yee, M.M.; He, Y.; Van Wezel, J.; Rahn, D.J.; Rossnagel, K.; Hudson, E.W.; Norman, M.R.; Hoffman, J.E. Quantum phase transition from triangular to stripe charge order in NbSe2. Proc. Natl. Acad. Sci. USA 2013, 110, 1623–1627. [Google Scholar] [CrossRef] [PubMed]
- Weber, F.; Rosenkranz, S.; Castellan, J.-P.; Osborn, R.; Hott, R.; Heid, R.; Bohnen, K.-P.; Egami, T.; Said, A.; Reznik, D. Extended Phonon Collapse and the Origin of the Charge-Density Wave in 2HNbSe2. Phys. Rev. Lett. 2011, 107, 107403. [Google Scholar] [CrossRef]
- Bianco, R.; Errea, I.; Monacelli, L.; Calandra, M.; Mauri, F. Quantum enhancement of charge density wave in NbS2 in the two-dimensional limit. Nano Lett. 2019, 19, 3098–3103. [Google Scholar] [CrossRef] [PubMed]
- Heil, C.; Poncé, S.; Lambert, H.; Schlipf, M.; Margine, E.R.; Giustino, F. Origin of superconductivity and latent charge density wave in NbS 2. Phys. Rev. Lett. 2017, 119, 087003. [Google Scholar] [CrossRef]
- Leroux, M.; Le Tacon, M.; Calandra, M.; Cario, L.; Measson, M.A.; Diener, P.; Borrissenko, E.; Bosak, A.; Rodiere, P. Anharmonic suppression of charge density waves in 2H-NbS2. Phys. Rev. B 2012, 86, 155125. [Google Scholar] [CrossRef]
- Leroux, M.; Cario, L.; Bosak, A.; Rodiere, P. Traces of charge density waves in NbS2. Phys. Rev. B 2018, 97, 195140. [Google Scholar] [CrossRef]
- Tresca, C.; Calandra, M. Charge density wave and spin 1/2 insulating state in single layer 1T-NbS2. 2D Mater. 2019, 6, 035041. [Google Scholar] [CrossRef]
- Cudazzo, P.; Müller, E.; Habenicht, C.; Gatti, M.; Berger, H.; Knupfer, M.; Rubio, A.; Huotari, S. Negative plasmon dispersion in 2HNbS2 beyond the charge-density-wave interpretation. New J. Phys. 2016, 18, 103050. [Google Scholar] [CrossRef]
- Dolui, K.; Sanvito, S. Dimensionality-driven phonon softening and incipient charge density wave instability in TiS2. Europhys. Lett. 2016, 115, 47001. [Google Scholar] [CrossRef]
- Mottas, M.L.; Jaouen, T.; Hildebrand, B.; Rumo, M.; Vanini, F.; Razzoli, E.; Giannini, E.; Barreteau, C.; Bowler, D.R.; Monney, C.; et al. Semimetal-to-semiconductor transition and charge-density-wave suppression in 1T−TiSe2−x−Sx single crystals. Phys. Rev. B 2019, 99, 155103. [Google Scholar] [CrossRef]
- Thompson, A.H. Electron-Electron Scattering in Ti S 2. Phys. Rev. Lett. 1975, 35, 1786. [Google Scholar] [CrossRef]
- Krogel, J.T.; Yuk, S.F.; Kent, P.R.; Cooper, V.R. Perspectives on van der Waals Density Functionals: The Case of TiS2. J. Phys. Chem. A 2020, 124, 9867–9876. [Google Scholar] [CrossRef] [PubMed]
- Pandey, C.; Ahmed, G.; Sharma, R.; Sharma, Y. Ab initio study of anisotropic properties in isomorphic TiX2 (X = S, Se, Te). Int. J. Quantum Chem. 2021, 121, e26575. [Google Scholar] [CrossRef]
- Van Wezel, J.; Nahai-Williamson, P.; Saxena, S.S. Exciton-phonon-driven charge density wave in TiSe2. Phys. Rev. B 2010, 81, 165109. [Google Scholar] [CrossRef]
- May, M.M.; Brabetz, C.; Janowitz, C.; Manzke, R. Charge-Density-Wave Phase of 1T−TiSe2: The Influence of Conduction Band Population. Phys. Rev. Lett. 2011, 107, 176405. [Google Scholar] [CrossRef]
- Titov, A.N.; Kuznetsov, M.V.; Razinkin, A.S. On the nature of state with a charge-density wave in TiSe2 from data of scanning tunneling microscopy. Phys. Solid State 2011, 53, 1073–1077. [Google Scholar] [CrossRef]
- Knowles, P.; Yang, B.; Muramatsu, T.; Moulding, O.; Buhot, J.; Sayers, C.J.; Da Como, E.; Friedemann, S. Fermi surface reconstruction and electron dynamics at the charge-density-wave transition in TiSe2. Phys. Rev. Lett. 2020, 124, 167602. [Google Scholar] [CrossRef]
- Bussmann-Holder, A.; Büttner, H. Charge-density-wave formation in TiSe2 driven by an incipient antiferroelectric instability. J. Phys. Condens. Matter 2002, 14, 7973. [Google Scholar] [CrossRef]
- Rohde, G.; Rohwer, T.; Stange, A.; Sohrt, C.; Hanff, K.; Yang, L.X.; Kipp, L.; Rossnagel, K.; Bauer, M. Does the excitation wavelength affect the ultrafast quenching dynamics of the charge-density wave in 1T-TiSe2? J. Electron Spectrosc. Relat. Phenom. 2014, 195, 244–248. [Google Scholar] [CrossRef]
- Mulazzi, M.; Chainani, A.; Katayama, N.; Eguchi, R.; Matsunami, M.; Ohashi, H.; Senba, Y.; Nohara, M.; Uchida, M.; Takagi, H.; et al. Absence of nesting in the charge-density-wave system 1T-VS2 as seen by photoelectron spectroscopy. Phys. Rev. B 2010, 82, 075130. [Google Scholar] [CrossRef]
- Gauzzi, A.; Sellam, A.; Rousse, G.; Klein, Y.; Taverna, D.; Giura, P.; Calandra, M.; Loupias, G.; Gozzo, F.; Gilioli, E.; et al. Possible phase separation and weak localization in the absence of a charge-density wave in single-phase 1T-VS2. Phys. Rev. B 2014, 89, 235125. [Google Scholar] [CrossRef]
- Kim, H.J.; Choi, B.K.; Lee, I.H.; Kim, M.J.; Chun, S.H.; Jozwiak, C.; Bostwick, A.; Rotenberg, E.; Chang, Y.J. Electronic structure and charge-density wave transition in monolayer VS2. Curr. Appl. Phys. 2021, 30, 8–13. [Google Scholar] [CrossRef]
- Van Efferen, C.; Berges, J.; Hall, J.; van Loon, E.; Kraus, S.; Schobert, A.; Wekking, T.; Huttmann, F.; Plaar, E.; Rothenbach, N.; et al. A full gap above the Fermi level: The charge density wave of monolayer VS2. arXiv 2021, arXiv:2101.01140. [Google Scholar] [CrossRef] [PubMed]
- Isaacs, E.B.; Marianetti, C.A. Electronic correlations in monolayer VS2. Phys. Rev. B 2016, 94, 035120. [Google Scholar] [CrossRef]
- Yang, J.; Wang, W.; Liu, Y.; Du, H.; Ning, W.; Zheng, G.; Jin, C.; Han, Y.; Wang, N.; Yang, Z. Thickness dependence of the charge-density-wave transition temperature in VSe2. Appl. Phys. Lett. 2014, 105, 063109. [Google Scholar] [CrossRef]
- Feng, J.; Biswas, D.; Rajan, A.; Watson, M.D.; Mazzola, F.; Clark, O.J.; Underwood, K.; Markovic, I.; McLaren, M.; Hunter, A. Electronic Structure and Enhanced Charge-Density Wave Order of Monolayer VSe2. Nano Lett. 2018, 18, 4493–4499. [Google Scholar] [CrossRef]
- Coelho, P.M.; Nguyen Cong, K.; Bonilla, M.; Kolekar, S.; Phan, M.H.; Avila, J.; Asensio, M.C.; Oleynik, I.I.; Batzill, M. Charge density wave state suppresses ferromagnetic ordering in VSe2 monolayers. J. Phys. Chem. C 2019, 123, 14089–14096. [Google Scholar] [CrossRef]
- Fumega, A.O.; Gobbi, M.; Dreher, P.; Wan, W.; Gonzalez-Orellana, C.; Peña-Diaz, M.; Rogero, C.; Herrero-Martín, J.; Gargiani, P.; Ilyn, M.; et al. Absence of ferromagnetism in VSe2 caused by its charge density wave phase. J. Phys. Chem. C 2019, 123, 27802–27810. [Google Scholar] [CrossRef]
- Duvjir, G.; Choi, B.K.; Ly, T.T.; Lam, N.H.; Jang, K.; Dang, D.D.; Chang, Y.J.; Kim, J. Multiple charge density wave phases of monolayer VSe2 manifested by graphene substrates. Nanotechnology 2021, 32, 364002. [Google Scholar] [CrossRef]
- Yan, J.-A.; Cruz, M.A.D.; Cook, B.; Varga, K. Structural, electronic and vibrational properties of few-layer 2Hand 1T-TaSe2. Sci. Rep. 2015, 5, 16646. [Google Scholar] [CrossRef] [PubMed]
- Hohenberg, P.; Kohn, W. Inhomogeneous electron gas. Phys. Rev. 1964, 136, B864. [Google Scholar] [CrossRef]
- Kohn, W.; Sham, L.J. Self-consistent equations including exchange and correlation effects. Phys. Rev. 1965, 140, A1133. [Google Scholar] [CrossRef]
- Motizuki, K.; Suzuki, N.; Yoshida, Y.; Takaoka, Y. Role of electron-lattice interaction in lattice dynamics and lattice instability of 1T-TiSe2. Solid State Commun. 1981, 40, 995–998. [Google Scholar] [CrossRef]
- Giannozzi, P.; Baroni, S.; Bonini, N.; Calandra, M.; Car, R.; Cavazzoni, C.; Ceresoli, D.; Chiarotti, G.L.; Cococcioni, M.; Dabo, I.; et al. QUANTUM ESPRESSO: A modular and open-source software project for quantum simulations of materials. J. Phys. Condens. Matter 2009, 21, 395502. [Google Scholar] [CrossRef]
- Giannozzi, O.P.; Andreussi, T.; Brumme, O.; Bunau, M.; Buongiorno Nardelli, M.; Calandra, R.; Car, C.; Cavazzoni, D.; Ceresoli, M.; Cococcioni, N.; et al. Advanced capabilities for materials modelling with Quantum ESPRESSO. J. Phys. Condens. Matter 2017, 29, 465901. [Google Scholar] [CrossRef]
- Giannozzi, O.P.; Baseggio, P.; Bonfà, D.; Brunato, R.; Car, I.; Carnimeo, C.; Cavazzoni, S.; de Gironcoli, P.; Delugas, F.; Ferrari Ruffino, A.; et al. QUANTUM ESPRESSO: A modular and open-source software project for quantum simulations of materials. J. Chem. Phys. 2020, 152, 154105. [Google Scholar] [CrossRef]
- Perdew, J.P.; Wang, Y. Accurate and simple analytic representation of the electron-gas correlation energy. Phys. Rev. B 1992, 45, 13244. [Google Scholar] [CrossRef]
- Fuchs, M.; Scheffler, M. Ab initio pseudopotentials for electronic structure calculations of poly-atomic systems using density-functional theory. Comput. Phys. Commun. 1999, 119, 67–98. [Google Scholar] [CrossRef]
- Troullier, N.; Martins, J.L. Efficient pseudopotentials for plane-wave calculations. Phys. Rev. B 1991, 43, 1993. [Google Scholar] [CrossRef]
- Rydberg, H.; Dion, M.; Jacobson, N.; Schröder, E.; Hyldgaard, P.; Simak, S.; Langreth, D.C.; Lundqvist, B.I. Van der Waals density functional for layered structures. Phys. Rev. Lett. 2003, 91, 126402. [Google Scholar] [CrossRef]
- Thonhauser, T.; Cooper, V.R.; Li, S.; Puzder, A.; Hyldgaard, P.; Langreth, D.C. Van der Waals density functional: Self-consistent potential and the nature of the van der Waals bond. Phys. Rev. B 2007, 76, 125112. [Google Scholar] [CrossRef]
- Berland, K.; Cooper, V.R.; Lee, K.; Schröder, E.; Thonhauser, T.; Hyldgaard, P.; Lundqvist, B.I. van der Waals forces in density functional theory: A review of the vdW-DF method. Rep. Prog. Phys. 2015, 78, 066501. [Google Scholar] [CrossRef]
- Berland, K.; Arter, C.A.; Cooper, V.R.; Lee, K.; Lundqvist, B.I.; Schröder, E.; Thonhauser, T.; Hyldgaard, P. van der Waals density functionals built upon the electron-gas tradition: Facing the challenge of competing interactions. J. Chem. Phys. 2014, 140, 18A539. [Google Scholar] [CrossRef] [PubMed]
- Garrity, K.F.; Chowdhury, S.; Tavazza, F.M. Topological surface states of MnBi2Te4 at finite temperatures and at domain walls. Phys. Rev. Mater. 2021, 5, 024207. [Google Scholar] [CrossRef]
- Feldman, J.L.; Vold, C.L.; Skelton, E.F.; Yu, S.C.; Spain, I.L. X-ray diffraction studies and thermal and elastic properties of 2H-TaSe2. Phys. Rev. B 1978, 18, 5820. [Google Scholar] [CrossRef]
- Givens, F.L.; Fredericks, G.E. Thermal expansion op NbSe2 and TaS2. J. Phys. Chem. Solids 1977, 38, 1363–1365. [Google Scholar] [CrossRef]
- Janner, T.; Janssen, P.; de Wolff, M. Incommensurate Crystals: A New Phase in Solid State Physics. Europhys. News 1982, 13, 1. [Google Scholar] [CrossRef][Green Version]
- Perdew, J.P.; Zunger, A. Self-interaction correction to density-functional approximations for many-electron systems. Phys. Rev. B 1981, 23, 5048. [Google Scholar] [CrossRef]
- Rappe, A.M.; Rabe, K.M.; Kaxiras, E.; Joannopoulos, J. Optimized pseudopotentials. Phys. Rev. B 1990, 41, 1227. [Google Scholar] [CrossRef]
- Grinberg, I.; Ramer, N.J.; Rappe, A.M. Transferable relativistic Dirac-slater pseudopotentials. Phys. Rev. B 2000, 62, 2311. [Google Scholar] [CrossRef]
- Vanderbilt, D. Soft self-consistent pseudopotentials in a generalized eigenvalue formalism. Phys. Rev. B 1990, 41, 7892. [Google Scholar] [CrossRef]
- Kresse, G.; Joubert, D. From ultrasoft pseudopotentials to the projector augmented-wave method. Phys. Rev. B 1999, 59, 1758. [Google Scholar] [CrossRef]
- Mermin, N.D. Thermal properties of the inhomogeneous electron gas. Phys. Rev. 1965, 137, A1441. [Google Scholar] [CrossRef]
- Kohn, W. Image of the Fermi Surface in the Vibration Spectrum of a Metal. Phys. Rev. Lett. 1959, 2, 393. [Google Scholar] [CrossRef]
- Duong, D.L.; Burghard, M.; Schön, J.C. Ab initio computation of the transition temperature of the charge density wave transition in TiSe2. Phys. Rev. B 2015, 92, 245131. [Google Scholar] [CrossRef]
- Hill, H.M.; Chowdhury, S.; Simpson, J.R.; Rigosi, A.F.; Newell, D.B.; Berger, H.; Tavazza, F.; Walker, A.R.H. Phonon origin and lattice evolution in charge density wave states. Phys. Rev. B 2019, 99, 174110. [Google Scholar] [CrossRef] [PubMed]
- Joshi, J.; Hill, H.M.; Chowdhury, S.; Malliakas, C.D.; Tavazza, F.; Chatterjee, U.; Walker, A.R.H.; Vora, P.M. Short-range charge density wave order in 2H−TaS2. Phys. Rev. B 2019, 99, 245144. [Google Scholar] [CrossRef]
- Hajiyev, P.; Cong, C.; Qiu, C.; Yu, T. Contrast and Raman spectroscopy study of single-and few-layered charge density wave material: 2H-TaSe2. Sci. Rep. 2013, 3, 1–6. [Google Scholar] [CrossRef] [PubMed]
- Reshak, A.H.; Auluck, S. Full-potential calculations of the electronic and optical properties for 1T and 2H phases of TaS2 and TaSe2. Phys. B Condens. Matter 2005, 358, 158–165. [Google Scholar] [CrossRef]
- Blaha, P.; Schwartz, K.; Sorantin, P.; Trickey, S.B. Full-potential, linearized augmented plane wave programs for crystalline systems. Comput. Phys. Commun. 1990, 59, 399. [Google Scholar] [CrossRef]
- Guo, G.Y.; Liang, W.Y. Electronic structures of intercalation complexes of the layered compound 2HTaS2. J. Phys. C Solid State Phys. 1987, 20, 4315. [Google Scholar] [CrossRef]
- Lazar, P.; Martincová, J.; Otyepka, M. Structure, dynamical stability, and electronic properties of phases in TaS 2 from a high-level quantum mechanical calculation. Phys. Rev. B 2015, 92, 224104. [Google Scholar] [CrossRef]
- Martincová, J.; Otyepka, M.; Lazar, P. Atomic-Scale Edge Morphology, Stability, and Oxidation of Single-Layer 2H-TaS2. ChemPlusChem 2020, 85, 2557–2564. [Google Scholar] [CrossRef]
- Hinsche, N.F.; Thygesen, K.S. Electron–phonon interaction and transport properties of metallic bulk and monolayer transition metal dichalcogenide TaS2. 2D Mater. 2017, 5, 015009. [Google Scholar] [CrossRef]
- Dion, M.; Rydberg, H.; Schröder, E.; Langreth, D.C.; Lundqvist, B.I. Van der Waals density functional for general geometries. Phys. Rev. Lett. 2004, 92, 246401. [Google Scholar] [CrossRef]
- Sanders, C.E.; Dendzik, M.; Ngankeu, A.S.; Eich, A.; Bruix, A.; Bianchi, M.; Miwa, J.A.; Hammer, B.; Khajetoorians, A.A.; Hofmann, P. Crystalline and electronic structure of single-layer TaS 2. Phys. Rev. B 2016, 94, 081404. [Google Scholar] [CrossRef]
- Cain, J.D.; Oh, S.; Azizi, A.; Stonemeyer, S.; Dogan, M.; Thiel, M.; Ercius, P.; Cohen, M.L.; Zettl, A. Ultranarrow TaS2 Nanoribbons. Nano Lett. 2021, 21, 3211–3217. [Google Scholar] [CrossRef]
- Smith, N.V.; Kevan, S.D.; DiSalvo, F.J. Band structures of the layer compounds 1T-TaS2 and 2HTaSe2 in the presence of commensurate charge-density waves. J. Phys. C Solid State Phys. 1985, 18, 3175. [Google Scholar] [CrossRef]
- Campagnoli, G.; Gustinetti, A.; Stella, A.; Tosatti, E. Optical response, band structure, plasmons, and charge density waves in 2HTaSe2. Phys. B Condens. Matter 1980, 99, 271–275. [Google Scholar] [CrossRef]
- Woolley, A.M.; Wexler, G. Band structures and Fermi surfaces for 1T-TaS2, 1T-TaSe2 and 1T-VSe2. J. Phys. C Solid State Phys. 1977, 10, 2601. [Google Scholar] [CrossRef]
- Giambattista, B.; Slough, C.G.; McNairy, W.W.; Coleman, R.V. Scanning tunneling microscopy of atoms and charge-density waves in 1T-TaS 2, 1T-TaSe2, and 1T-VSe2. Phys. Rev. B 1990, 41, 10082. [Google Scholar] [CrossRef] [PubMed]
- Motizuki, K.; Ando, E. Theoretical Study of Lattice Instability and Lattice Dynamics of 2HTaSe2 and 2HNbSe2. I. Electron-Lattice Interaction and Generalized Electronic Susceptibility. J. Phys. Soc. Jpn. 1983, 52, 2849–2857. [Google Scholar] [CrossRef]
- Myron, H.W.; Freeman, A.J. Electronic structure and Fermi-surface-related instabilities in 1T−T a S 2 and 1T−TaSe2. Phys. Rev. B 1975, 11, 2735. [Google Scholar] [CrossRef]
- Wertheim, G.K.; DiSalvo, F.J.; Chiang, S. Sign and amplitude of charge density waves in 1T−TaS2 and TaSe2. Phys. Lett. A 1975, 54, 304–306. [Google Scholar] [CrossRef]
- Samnakay, R.; Wickramaratne, D.; Pope, T.R.; Lake, R.K.; Salguero, T.T.; Balandin, A.A. Zone-folded phonons and the commensurate–incommensurate charge-density-wave transition in 1T-TaSe2 thin films. Nano Lett. 2015, 15, 2965–2973. [Google Scholar] [CrossRef]
- Ge, Y.; Liu, A.Y. First-principles investigation of the charge-density-wave instability in 1T-TaSe2. Phys. Rev. B 2010, 82, 155133. [Google Scholar] [CrossRef]
- Albertini, O.R.; Liu, A.Y.; Calandra, M. Effect of electron doping on lattice instabilities in single-layer 1H-TaS2. Phys. Rev. B 2017, 95, 235121. [Google Scholar] [CrossRef]
- Ryu, H.; Chen, Y.; Kim, H.; Tsai, H.Z.; Tang, S.; Jiang, J.; Liou, F.; Kahn, S.; Jia, C.; Omrani, A.A.; et al. Persistent charge-density-wave order in single-layer TaSe2. Nano Lett. 2018, 18, 689–694. [Google Scholar] [CrossRef]
- Hill, H.M.; Rigosi, A.F.; Chowdhury, S.; Yang, Y.; Nguyen, N.V.; Tavazza, F.; Elmquist, R.E.; Newell, D.B.; Walker, A.R.H. Probing the dielectric response of the interfacial buffer layer in epitaxial graphene via optical spectroscopy. Phys. Rev. B 2017, 96, 195437. [Google Scholar] [CrossRef]
- Park, J.W.; Yeom, H.W. Atomic structures and electronic correlation of monolayer 1T-TaSe2. arXiv 2020, arXiv:2008.05702. [Google Scholar]
- Albertini, O.R.; Zhao, R.; McCann, R.L.; Feng, S.; Terrones, M.; Freericks, J.K.; Robinson, J.A.; Liu, A.Y. Zone-center phonons of bulk, few-layer, and monolayer 1T−TaS 2: Detection of commensurate charge density wave phase through Raman scattering. Phys. Rev. B 2016, 93, 2141. [Google Scholar] [CrossRef]
- Hall, J.; Ehlen, N.; Berges, J.; van Loon, E.; van Efferen, C.; Murray, C.; Rosner, M.; Li, J.; Senkovskiy, B.V.; Hell, M.; et al. Environmental control of charge density wave order in monolayer 2HTaS2. ACS Nano 2019, 13, 10210–10220. [Google Scholar] [CrossRef]
- Lefcochilos-Fogelquist, H.M.; Albertini, O.R.; Liu, A.Y. Substrate-Induced Suppression of Charge Density Wave Phase in Monolayer 1H-TaS2 on Au(111). Phys. Rev. B 2019, 99, 174113. [Google Scholar] [CrossRef]
- Mijin, S.D.; Baum, A.; Bekaert, J.; Šolajić, A.; Pešić, J.; Liu, Y.; He, G.; Milošević, M.V.; Petrovic, C.; Popović, Z.V.; et al. Probing charge density wave phases and the Mott transition in 1T− TaS 2 by inelastic light scattering. Phys. Rev. B 2021, 103, 245133. [Google Scholar] [CrossRef]
- Perdew, J.P.; Chevary, J.A.; Vosko, S.H.; Jackson, K.A.; Pederson, M.R.; Singh, D.J.; Fiolhais, C. Atoms, molecules, solids, and surfaces: Applications of the generalized gradient approximation for exchange and correlation. Phys. Rev. B 1992, 46, 6671. [Google Scholar] [CrossRef]
- Chakraborty, B.; Matte, H.R.; Sood, A.K.; Rao, C.N.R. Layer-dependent resonant Raman scattering of a few layer MoS2. J. Raman Spectrosc. 2013, 44, 92–96. [Google Scholar] [CrossRef]
- Livneh, T.; Spanier, J.E. A comprehensive multiphonon spectral analysis in MoS2. 2D Mater. 2015, 2, 035003. [Google Scholar] [CrossRef]
- Carvalho, B.R.; Wang, Y.; Mignuzzi, S.; Roy, D.; Terrones, M.; Fantini, C.; Crespi, V.H.; Malard, L.M.; Pimenta, M.A. Intervalley scattering by acoustic phonons in two-dimensional MoS2 revealed by double-resonance Raman spectroscopy. Nat. Commun. 2017, 8, 1–8. [Google Scholar] [CrossRef] [PubMed]
- Sekine, T.; Uchinokura, K.; Nakashizu, T.; Matsuura, E.; Yoshizaki, R. Dispersive Raman mode of layered compound 2HMoS2 under the resonant condition. J. Phys. Soc. Jpn. 1984, 53, 811–818. [Google Scholar] [CrossRef]
- Klein, M.V. Theory of two-phonon Raman scattering in transition metals and compounds. Phys. Rev. B 1981, 24, 4208. [Google Scholar] [CrossRef]
- Kawabata, A. Green Function Theory of Raman Scattering. J. Phys. Soc. Jpn. 1971, 30, 68–85. [Google Scholar] [CrossRef]
- Venezuela, P.; Lazzeri, M.; Mauri, F. Theory of double-resonant Raman spectra in graphene: Intensity and line shape of defect-induced and two-phonon bands. Phys. Rev. B 2011, 84, 035433. [Google Scholar] [CrossRef]
- Motizuki, K.; Kimura, K.; Suzuki, N. Theoretical Study of Lattice Instability and Lattice Dynamics of 2HTaSe2 and 2HNbSe2 II. Lattice Dynamics and Phonon Anomalies. J. Phys. Soc. Jpn. 1984, 53, 1078–1086. [Google Scholar] [CrossRef]
- Nakashizu, T.; Sekine, T.; Uchinokura, K.; Matsuura, E. Raman study of charge-density-wave phase transitions in 4Hb-TaSe2. J. Phys. Soc. Jpn. 1986, 55, 672–682. [Google Scholar] [CrossRef]
- Lee, P.A.; Rice, T.M.; Anderson, P.W. Conductivity from charge or spin density waves. Solid State Commun. 1993, 88, 1001–1007. [Google Scholar] [CrossRef]
- Chowdhury, S.; Simpson, J.R.; Einstein, T.L.; Walker, A.R.H. Strain-controlled magnetic and optical properties of monolayer 2H−TaSe2. Phys. Rev. Mater. 2019, 3, 084004. [Google Scholar] [CrossRef]
- Wang, H.; Chen, Y.; Zhu, C.; Wang, X.; Zhang, H.; Tsang, S.H.; Li, H.; Lin, J.; Yu, T.; Liu, Z.; et al. Synthesis of Atomically Thin 1T-TaSe2 with a Strongly Enhanced Charge-Density-Wave Order. Adv. Funct. Mater. 2020, 30, 2001903. [Google Scholar] [CrossRef]
- Dobal, P.S.; Dixit, A.; Katiyar, R.S.; Yu, Z.; Guo, R.; Bhalla, A.S. Micro-Raman scattering and dielectric investigations of phase transition behavior in the BaTiO3-BaZrO3 system. J. Appl. Phys. 2001, 89, 8085. [Google Scholar] [CrossRef]
- Yoshida, M.; Zhang, Y.; Ye, J.; Suzuki, R.; Imai, Y.; Kimura, S.; Fujiwara, A.; Iwasa, Y. Controlling charge-density-wave states in nano-thick crystals of 1T-TaS 2. Sci. Rep. 2014, 4, 7302. [Google Scholar] [CrossRef]
- Yamada, K.; Souma, S.; Yamauchi, K.; Shimamura, N.; Sugawara, K.; Trang, C.X.; Oguchi, T.; Ueno, K.; Takahashi, T.; Sato, T. Ultrathin Bismuth Film on 1T-TaS2: Structural Transition and Charge-Density-Wave Proximity Effect. Nano Lett. 2018, 18, 3235–3240. [Google Scholar] [CrossRef] [PubMed]
- Yang, Y.; Fang, S.; Fatemi, V.; Ruhman, J.; Navarro-Moratalla, E.; Watanabe, K.; Taniguchi, T.; Kaxiras, E.; Jarillo-Herrero, P. Enhanced superconductivity upon weakening of charge density wave transport in 2H-TaS 2 in the two-dimensional limit. Phys. Rev. B 2018, 98, 035203. [Google Scholar] [CrossRef]
- Neto, A.C. Charge density wave, superconductivity, and anomalous metallic behavior in 2D transition metal dichalcogenides. Phys. Rev. Lett. 2001, 86, 4382. [Google Scholar] [CrossRef] [PubMed]
- Koley, S.; Mohanta, N.; Taraphder, A. Charge density wave and superconductivity in transition metal dichalcogenides. Eur. Phys. J. B 2020, 93, 1–8. [Google Scholar] [CrossRef]
- Ishiguro, Y.; Bogdanov, K.; Kodama, N.; Ogiba, M.; Ohno, T.; Baranov, A.; Takai, K. Layer Number Dependence of Charge Density Wave Phase Transition Between Nearly-Commensurate and Incommensurate Phases in 1T-TaS2. J. Phys. Chem. C 2020, 124, 27176–27184. [Google Scholar] [CrossRef]
- Kühn, D.; Müller, M.; Sorgenfrei, F.; Giangrisostomi, E.; Jay, R.M.; Ovsyannikov, R.; Mårtensson, N.; Sánchez-Portal, D.; Föhlisch, A. Directional sub-femtosecond charge transfer dynamics and the dimensionality of 1T-TaS 2. Sci. Rep. 2019, 9, 1–9. [Google Scholar] [CrossRef] [PubMed]
- Soler, J.M.; Artacho, E.; Gale, J.D.; García, A.; Junquera, J.; Ordejón, P.; Sánchez-Portal, D. The SIESTA method for ab initio order-N materials simulation. J. Phys. Condens. Matter 2002, 14, 2745. [Google Scholar] [CrossRef]
- Klimeš, J.; Bowler, D.R.; Michaelides, A. Chemical accuracy for the van der Waals density functional. J. Phys. Condens. Matter 2009, 22, 022201. [Google Scholar] [CrossRef]
- Sato, H.; Arita, M.; Utsumi, Y.; Mukaegawa, Y.; Sasaki, M.; Ohnishi, A.; Kitaura, M.; Namatame, H.; Taniguchi, M. Conduction-band electronic structure of 1T-TaS 2 revealed by angle-resolved inverse-photoemission spectroscopy. Phys. Rev. B 2014, 89, 155137. [Google Scholar] [CrossRef]
- Claessen, R.; Burandt, B.; Carstensen, H.; Skibowski, M. Conduction-band structure and charge-density waves in 1T-TaS 2. Phys. Rev. B 1990, 41, 8270. [Google Scholar] [CrossRef]
- Chowdhury, S.; Hill, H.M.; Rigosi, A.F.; Briggs, A.; Berger, H.; Newell, D.B.; Hight Walker, A.R.; Tavazza, F. Examining Experimental Raman Mode Behavior in Mono-and Bilayer 2HTaSe2 via Density Functional Theory: Implications for Quantum Information Science. ACS Appl. Nano Mater. 2021, 4, 1810–1816. [Google Scholar] [CrossRef] [PubMed]
- Chowdhury, S.; Rigosi, A.F.; Hill, H.M.; Briggs, A.; Newell, D.B.; Berger, H.; Hight Walker, A.R.; Tavazza, F. Influence of Dimensionality on the Charge Density Wave Phase of 2HTaSe2. arXiv 2020, arXiv:2005.11350. [Google Scholar]
- Yoshida, M.; Suzuki, R.; Zhang, Y.; Nakano, M.; Iwasa, Y. Memristive phase switching in two-dimensional 1T-TaS2 crystals. Sci. Adv. 2015, 1, e1500606. [Google Scholar] [CrossRef]
- Chen, P.; Chan, Y.H.; Fang, X.Y.; Zhang, Y.; Chou, M.Y.; Mo, S.K.; Hussain, Z.; Fedorov, A.V.; Chiang, T.C. Charge density wave transition in single-layer titanium diselenide. Nat. Commun. 2015, 6, 1–5. [Google Scholar] [CrossRef] [PubMed]
- Ji, S.; Grånäs, O.; Rossnagel, K.; Weissenrieder, J. Transient three-dimensional structural dynamics in 1T-TaSe2. Phys. Rev. B 2020, 101, 094303. [Google Scholar] [CrossRef]
- Dewhurst, K.; Sharma, S.; Nordström, L.; Cricchio, F.; Bultmark, F.; Granas, O.; Gross, H. Elk FP-LAPW Code. 2018. Available online: http://elk.sourceforge.net/ (accessed on 14 December 2021).
- Lin, D.; Li, S.; Wen, J.; Berger, H.; Forró, L.; Zhou, H.; Jia, S.; Taniguchi, T.; Watanabe, K.; Xi, X.; et al. Patterns and driving forces of dimensionality-dependent charge density waves in 2H-type transition metal dichalcogenides. Nat. Commun. 2020, 11, 1–9. [Google Scholar] [CrossRef]



















| Mode (cm−1) | Exp—4 K | 10 K | 30 K | 50 K | 60 K | 300 K |
|---|---|---|---|---|---|---|
| (shear)—Stressed | 26 | 30.7 | X | X | X | 32.8 |
| 2E2g (CDW)—Stressed | 51 | 48.8 | 46.6 | 44.6 | 42.8 | X |
| 1A1g (CDW)—Stressed | 79 | 76.0 | 67.6 | 63.0 | 62.6 | X |
| (shear)—Unstressed | 26 | 34.9 | 32.3 | 33.6 | 32.0 | 31.8 |
| 2E2g (CDW)—Unstressed | 51 | 42.4 | 42.2 | 39.1 | 38.1 | 36.1 |
| 1A1g (CDW)—Unstressed | 79 | 80.4 | 80.0 | 76.3 | 75.3 | 75.1 |
| Raman Modes | E1g | A1g | Average Error | ||
|---|---|---|---|---|---|
| Exp. (Reference [110]) | 136 | 210 | 210 | 239 | --- |
| GGA (PBE-Norm) | 147.0 | 206.3 | 206.3 | 237 | 5.1 |
| LDA (PZ-Norm) | 142.5 | 203.9 | 203.9 | 233 | 6.2 |
| GGA (PW) | 142 | 197 | 197 | 226 | 11.2 |
| LDA (PW) | 141.3 | 212.4 | 212.4 | 241.8 | 3.2 |
| GGA (PBE-Ultra) | 129.8 | 199.5 | 199.5 | 229.4 | 9.2 |
| LDA (PZ-Ultra) | 133.6 | 207.7 | 207.7 | 227.4 | 4.7 |
| GGA (PBE-PAW) | 125.1 | 198.9 | 198.9 | 230.2 | 10.5 |
Publisher’s Note: MDPI stays neutral with regard to jurisdictional claims in published maps and institutional affiliations. |
© 2022 by the authors. Licensee MDPI, Basel, Switzerland. This article is an open access article distributed under the terms and conditions of the Creative Commons Attribution (CC BY) license (https://creativecommons.org/licenses/by/4.0/).
Share and Cite
Chowdhury, S.; Rigosi, A.F.; Hill, H.M.; Vora, P.; Hight Walker, A.R.; Tavazza, F. Computational Methods for Charge Density Waves in 2D Materials. Nanomaterials 2022, 12, 504. https://doi.org/10.3390/nano12030504
Chowdhury S, Rigosi AF, Hill HM, Vora P, Hight Walker AR, Tavazza F. Computational Methods for Charge Density Waves in 2D Materials. Nanomaterials. 2022; 12(3):504. https://doi.org/10.3390/nano12030504
Chicago/Turabian StyleChowdhury, Sugata, Albert F. Rigosi, Heather M. Hill, Patrick Vora, Angela R. Hight Walker, and Francesca Tavazza. 2022. "Computational Methods for Charge Density Waves in 2D Materials" Nanomaterials 12, no. 3: 504. https://doi.org/10.3390/nano12030504
APA StyleChowdhury, S., Rigosi, A. F., Hill, H. M., Vora, P., Hight Walker, A. R., & Tavazza, F. (2022). Computational Methods for Charge Density Waves in 2D Materials. Nanomaterials, 12(3), 504. https://doi.org/10.3390/nano12030504

