Towards Wireless Detection of Surface Modification of Silicon Nanowires by an RF Approach
Abstract
1. Introduction
2. Classical Methods for Surface Analysis
3. Radiofrequency Approach
3.1. Principle of the Radar Approach
3.2. Extraction of the Physical Parameters
4. Fabrication Methods of Nanowires
4.1. Experimental Part
4.1.1. Synthesis of Silicon Nanowires
4.1.2. Silicon Nanowires Functionalization
4.2. Results and Discussion
4.2.1. Characterization of SiO-SiNWs
4.2.2. Octadecyltrichlorosilane-Modified Silicon Nanowires (SiNWs-OTS)
4.2.3. Formation of Azide- and Pyrene-Terminated Silicon Nanowires Surfaces
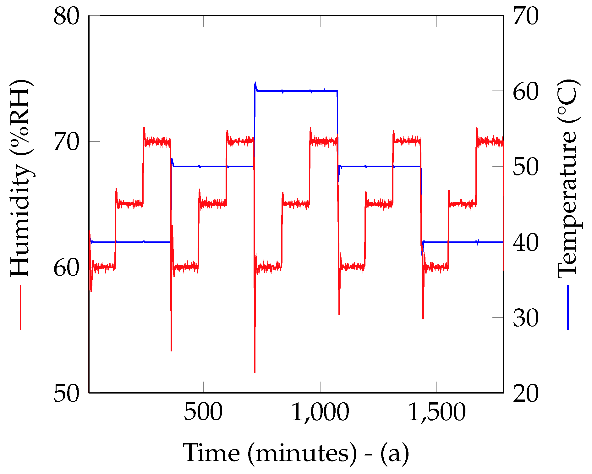
5. Measurements
5.1. Results and Analysis
5.2. Discussion on the Possibility of Using These Doped Nanowires as Sensors
6. Conclusions
Author Contributions
Funding
Institutional Review Board Statement
Informed Consent Statement
Acknowledgments
Conflicts of Interest
References
- Luo, L.; Jie, J.; Zhang, W.; He, Z.; Wang, J.; Yuan, G.; Zhang, W.; Wu, L.C.M.; Lee, S.T. Silicon nanowire sensors for Hg2+ and Cd2+ ions. Appl. Phys. Lett. 2009, 94, 193101. [Google Scholar] [CrossRef]
- Zhou, X.; Hu, J.; Li, C.; Ma, D.; Lee, C.; Lee, S. Silicon nanowires as chemical sensors. Chem. Phys. Lett. 2003, 369, 220–224. [Google Scholar] [CrossRef]
- Shao, M.; Ma, D.D.D.; Lee, S.T. Silicon nanowires–synthesis, properties, and applications. Eur. J. Inorg. Chem. 2010, 2010, 4264–4278. [Google Scholar] [CrossRef]
- Ahoulou, S.; Perret, E.; Nedelec, J.M. Functionalization and characterization of silicon nanowires for sensing applications: A review. Nanomaterials 2021, 11, 999. [Google Scholar] [CrossRef] [PubMed]
- Chen, W.; Yao, H.; Tzang, C.H.; Zhu, J.; Yang, M.; Lee, S.T. Silicon nanowires for high-sensitivity glucose detection. Appl. Phys. Lett. 2006, 88, 213104. [Google Scholar] [CrossRef]
- Coffinier, Y.; Boukherroub, R. Surface modification of semiconducting silicon nanowires for biosensing applications. In Semiconducting Silicon Nanowires for Biomedical Applications; Elsevier: Amsterdam, The Netherlands, 2014; pp. 26–61. [Google Scholar]
- Vena, A.; Perret, E.; Kaddour, D.; Baron, T. Toward a reliable chipless RFID humidity sensor tag based on silicon nanowires. IEEE Trans. Microw. Theory Tech. 2016, 64, 2977–2985. [Google Scholar] [CrossRef]
- Wang, B.; Haick, H. Effect of functional groups on the sensing properties of silicon nanowires toward volatile compounds. ACS Appl. Mater. Interfaces 2013, 5, 2289–2299. [Google Scholar] [CrossRef]
- Miyoshi, K. Surface characterization techniques: An overview. Mech. Tribol. Mater. Charact. Applications. Part 2002, 2, 1–46. [Google Scholar]
- Gillberg, G. Polymer surface characterization: An overview. J. Adhes. 1987, 21, 129–154. [Google Scholar] [CrossRef]
- Dwight, D.W.; Fabish, T.J.; Thomas, H.R. Photon, Electron, and Ion Probes of Polymer Structure and Properties; American Chemical Society: Washington, DC, USA, 1981. [Google Scholar]
- Alahnomi, R.A.; Zakaria, Z.; Yussof, Z.M.; Althuwayb, A.A.; Alhegazi, A.; Alsariera, H.; Rahman, N.A. Review of recent microwave planar resonator-based sensors: Techniques of complex permittivity extraction, applications, open challenges and future research directions. Sensors 2021, 21, 2267. [Google Scholar] [CrossRef]
- Krupka, J. Frequency domain complex permittivity measurements at microwave frequencies. Meas. Sci. Technol. 2006, 17, R55. [Google Scholar] [CrossRef]
- Nicolson, A.; Ross, G. Measurement of the intrinsic properties of materials by time-domain techniques. IEEE Trans. Instrum. Meas. 1970, 19, 377–382. [Google Scholar] [CrossRef]
- Baker-Jarvis, J.; Vanzura, E.J.; Kissick, W.A. Improved technique for determining complex permittivity with the transmission/reflection method. IEEE Trans. Microw. Theory Tech. 1990, 38, 1096–1103. [Google Scholar] [CrossRef]
- Perret, E. Permittivity characterization based on Radar Cross measurements. In Proceedings of the 2016 IEEE URSI International Symposium on Electromagnetic Theory (EMTS), Espoo, Finland, 14–18 August 2016; pp. 457–460. [Google Scholar]
- Vena, A.; Perret, E.; Tedjini, S. Design rules for chipless RFID tags based on multiple scatterers. Ann. Telecommun.-Ann. Des Telecommun. 2013, 68, 361–374. [Google Scholar] [CrossRef]
- Requena, F.; Barbot, N.; Kaddour, D.; Perret, E. Combined Temperature and Humidity Chipless RFID Sensor. IEEE Sens. J. 2022, 22, 16098–16110. [Google Scholar] [CrossRef]
- Requena, F.; Gilch, M.; Barbot, N.; Kaddour, D.; Siragusa, R.; Costa, F.; Genovesi, S.; Perret, E. Thermal Modeling of Resonant Scatterers and Reflectometry Approach for Remote Temperature Sensing. IEEE Trans. Microw. Theory Tech. 2021, 69, 4720–4734. [Google Scholar] [CrossRef]
- Chen, E.; Chou, S.Y. Characteristics of coplanar transmission lines on multilayer substrates: Modeling and experiments. IEEE Trans. Microw. Theory Tech. 1997, 45, 939–945. [Google Scholar] [CrossRef]
- Hwang, N.M.; Cheong, W.S.; Yoon, D.Y.; Kim, D.Y. Growth of silicon nanowires by chemical vapor deposition: Approach by charged cluster model. J. Cryst. Growth 2000, 218, 33–39. [Google Scholar] [CrossRef]
- Schmidt, V.; Senz, S.; Gösele, U. Diameter-dependent growth direction of epitaxial silicon nanowires. Nano Lett. 2005, 5, 931–935. [Google Scholar] [CrossRef]
- Schmohl, A.; Khan, A.; Hess, P. Functionalization of oxidized silicon surfaces with methyl groups and their characterization. Superlattices Microstruct. 2004, 36, 113–121. [Google Scholar] [CrossRef]
- Etienne, M.; Goux, A.; Sibottier, E.; Walcarius, A. Oriented mesoporous organosilica films on electrode: A new class of nanomaterials for sensing. J. Nanosci. Nanotechnol. 2009, 9, 2398–2406. [Google Scholar] [CrossRef] [PubMed]
- Bashouti, M.Y.; Stelzner, T.; Christiansen, S.; Haick, H. Covalent attachment of alkyl functionality to 50 nm silicon nanowires through a chlorination/alkylation process. J. Phys. Chem. C 2009, 113, 14823–14828. [Google Scholar] [CrossRef]
- Srinivasan, U.; Houston, M.R.; Howe, R.T.; Maboudian, R. Alkyltrichlorosilane-based self-assembled monolayer films for stiction reduction in silicon micromachines. J. Microelectromechanical Syst. 1998, 7, 252–260. [Google Scholar] [CrossRef]
- Cao, Y.; Galoppini, E.; Reyes, P.I.; Lu, Y. Functionalization of nanostructured ZnO films by copper-free click reaction. Langmuir 2013, 29, 7768–7775. [Google Scholar] [CrossRef]
- Demko, Z.P.; Sharpless, K.B. A click chemistry approach to tetrazoles by Huisgen 1, 3-dipolar cycloaddition: Synthesis of 5-sulfonyl tetrazoles from azides and sulfonyl cyanides. Angew. Chem. Int. Ed. 2002, 41, 2110–2113. [Google Scholar] [CrossRef]
- Abdelhameed, M.; Martir, D.R.; Chen, S.; Xu, W.Z.; Oyeneye, O.O.; Chakrabarti, S.; Zysman-Colman, E.; Charpentier, P.A. Tuning the optical properties of silicon quantum dots via surface functionalization with conjugated aromatic fluorophores. Sci. Rep. 2018, 8, 1–10. [Google Scholar] [CrossRef]
- Chandran, S.P.; Hotha, S.; Prasad, B. Tunable surface modification of silica nanoparticles through’click’chemistry. Curr. Sci. 2008, 95, 1327–1333. [Google Scholar]
- Gouget-Laemmel, A.; Yang, J.; Lodhi, M.; Siriwardena, A.; Aureau, D.; Boukherroub, R.; Chazalviel, J.N.; Ozanam, F.; Szunerits, S. Functionalization of azide-terminated silicon surfaces with glycans using click chemistry: XPS and FTIR study. J. Phys. Chem. C 2013, 117, 368–375. [Google Scholar] [CrossRef]
- Vilà, N.; Ghanbaja, J.; Walcarius, A. Clickable bifunctional and vertically aligned mesoporous silica films. Adv. Mater. Interfaces 2016, 3, 1500440. [Google Scholar] [CrossRef]
- Amin, E.M.; Karmakar, N. Development of a chipless RFID temperature sensor using cascaded spiral resonators. In Proceedings of the SENSORS, 2011 IEEE, Limerick, Ireland, 28–31 October 2011; pp. 554–557. [Google Scholar]
- Thai, T.T.; Chebila, F.; Mehdi, J.M.; Pons, P.; Aubert, H.; DeJean, G.R.; Tentzeris, M.M.; Plana, R. Design and development of a millimetre-wave novel passive ultrasensitive temperature transducer for remote sensing and identification. In Proceedings of the IEEE 40th European Microwave Conference., Paris, France, 28–30 September 2010; pp. 45–48. [Google Scholar]
- Amin, E.M.; Bhuiyan, M.S.; Karmakar, N.C.; Winther-Jensen, B. Development of a low cost printable chipless RFID humidity sensor. IEEE Sens. J. 2013, 14, 140–149. [Google Scholar] [CrossRef]













| Main Information | Technique | Types of Specimen | Main Features | Depth of Analysis |
|---|---|---|---|---|
| Elemental composition and chemical state | Infrared spectroscopy (IR) | Solid, liquid or gas | High scan speed, high sensitivity, nondestructive technique, unsuitable for sample containing water | 10 nm to several micrometer |
| Energy-dispersive X-ray (EDX) | Ultrahigh vacuum compatible solids | High detector’s efficiency, ease of use, able to scan areas (∼1 mm2) and single spots, destructive analysis | 0.02 to 1 µm | |
| Photoelectron spectroscopy (XPS) | Ultrahigh vacuum (UHV), compatible solids | Can detect almost all elements, most used technique, effective at identifying surface contaminants, samples must be compatible with high-vacuum environment | From 5 to 10 nm | |
| Morphology and imaging | Transmission electron microscope (TEM) or scanning electron microscopy (SEM) | Ultrahigh vacuum compatible solids | Powerful magnification, high-quality images, very expensive and laborious sample preparation | From few nanometers to micrometers |
| Scanning tunneling microscope (STM) | All | Three-dimensional profile of surface, operate in large range of temperature (from 0 K to a few hundred degrees Celsius), versatile technique (can be used in air, UHV and water), fragile and expensive, do not work with insulators | <0.03 to 0.05 nm | |
| Atomic force microscope (AFM) | All | Does not require vacuum and any special treatments; 2D image, 3D surface profile, high resolution, slow scanning rate, single-scan image size (order of micrometers) | <0.03 to 0.05 nm | |
| Permittivity | Radio frequency | Planar surface, flat smooth films, conductors and semiconductors | Nondestructive method, noncontact measurement, wide analysis surface (several centimeters), does not require a clean room. | — |
| Measure n° | () | () |
|---|---|---|
| 1 | 3.026 | 2.106 |
| 2 | 2.999 | 2.280 |
| 3 | 3.015 | 2.030 |
| 4 | 3.148 | 1.987 |
| 5 | 3.069 | 1.966 |
| 6 | 3.051 | 1.904 |
| 7 | 2.938 | 2.400 |
| 8 | 3.012 | 2.164 |
| 9 | 3.003 | 2.266 |
| 10 | 3.074 | 2.074 |
| () | () | () | () | |
|---|---|---|---|---|
| No nanowires | 3.033 | 2.118 | 5.619 | 15.821 |
| SiNWs-py | 3.283 | 2.276 | 17.94 | 11.890 |
| Pentacene functionalized | 1.471 | 1.145 | 10.65 | 39.31 |
| SiNWs-N3 | 2.770 | 1.173 | 2.881 | 7.359 |
| SiNWs-OTS | 7.733 | 2.842 | 21.761 | 18.213 |
| Pure nanowires | 5.076 | 2.914 | 44.762 | 7.415 |
Publisher’s Note: MDPI stays neutral with regard to jurisdictional claims in published maps and institutional affiliations. |
© 2022 by the authors. Licensee MDPI, Basel, Switzerland. This article is an open access article distributed under the terms and conditions of the Creative Commons Attribution (CC BY) license (https://creativecommons.org/licenses/by/4.0/).
Share and Cite
Requena, F.; Ahoulou, S.; Barbot, N.; Kaddour, D.; Nedelec, J.-M.; Baron, T.; Perret, E. Towards Wireless Detection of Surface Modification of Silicon Nanowires by an RF Approach. Nanomaterials 2022, 12, 4237. https://doi.org/10.3390/nano12234237
Requena F, Ahoulou S, Barbot N, Kaddour D, Nedelec J-M, Baron T, Perret E. Towards Wireless Detection of Surface Modification of Silicon Nanowires by an RF Approach. Nanomaterials. 2022; 12(23):4237. https://doi.org/10.3390/nano12234237
Chicago/Turabian StyleRequena, Florian, Samuel Ahoulou, Nicolas Barbot, Darine Kaddour, Jean-Marie Nedelec, Thierry Baron, and Etienne Perret. 2022. "Towards Wireless Detection of Surface Modification of Silicon Nanowires by an RF Approach" Nanomaterials 12, no. 23: 4237. https://doi.org/10.3390/nano12234237
APA StyleRequena, F., Ahoulou, S., Barbot, N., Kaddour, D., Nedelec, J.-M., Baron, T., & Perret, E. (2022). Towards Wireless Detection of Surface Modification of Silicon Nanowires by an RF Approach. Nanomaterials, 12(23), 4237. https://doi.org/10.3390/nano12234237

