Catalytic Conversion of n-C7 Asphaltenes and Resins II into Hydrogen Using CeO2-Based Nanocatalysts
Abstract
1. Introduction
2. Materials and Methods
2.1. Materials
2.2. Methods
2.2.1. Asphaltenes and Resins Characterization
2.2.2. Adsorption Experiments
2.2.3. Steam Catalytic Gasification of Resins II and n-C7 Asphaltenes
3. Results
3.1. Resins II and n-C7 Asphaltenes Characterization
3.2. Adsorption Isotherms
3.3. Thermogravimetric Experiments.
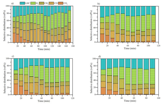
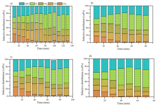
3.4. Analysis of Gaseous Profiles during Steam Gasification
3.4.1. Effect of Nanocatalyst Chemical Nature
3.4.2. Effect of R:A Ratio
3.4.3. Effect of Temperature
4. Conclusions
Supplementary Materials
Author Contributions
Funding
Acknowledgments
Conflicts of Interest
References
- Holladay, J.D.; Hu, J.; King, D.L.; Wang, Y. An overview of hydrogen production technologies. Catal. Today 2009, 139, 244–260. [Google Scholar] [CrossRef]
- Navarro, R.M.; Pena, M.; Fierro, J. Hydrogen production reactions from carbon feedstocks: Fossil fuels and biomass. Chem. Rev. 2007, 107, 3952–3991. [Google Scholar] [CrossRef]
- Ni, M.; Leung, D.Y.; Leung, M.K.; Sumathy, K. An overview of hydrogen production from biomass. Fuel Process. Technol. 2006, 87, 461–472. [Google Scholar] [CrossRef]
- Muradov, N. How to produce hydrogen from fossil fuels without CO2 emission. Int. J. Hydrogen Energy 1993, 18, 211–215. [Google Scholar] [CrossRef]
- Seyitoglu, S.; Dincer, I.; Kilicarslan, A. Energy and exergy analyses of hydrogen production by coal gasification. Int. J. Hydrogen Energy 2017, 42, 2592–2600. [Google Scholar] [CrossRef]
- Blok, K.; Williams, R.; Katofsky, R.; Hendriks, C.A. Hydrogen production from natural gas, sequestration of recovered CO2 in depleted gas wells and enhanced natural gas recovery. Energy 1997, 22, 161–168. [Google Scholar] [CrossRef]
- Medina, O.E.; Olmos, C.; Lopera, S.H.; Cortés, F.B.; Franco, C.A. Nanotechnology Applied to Thermal Enhanced Oil Recovery Processes: A Review. Energies 2019, 12, 4671. [Google Scholar] [CrossRef]
- Santos, R.; Loh, W.; Bannwart, A.; Trevisan, O. An overview of heavy oil properties and its recovery and transportation methods. Braz. J. Chem. Eng. 2014, 31, 571–590. [Google Scholar] [CrossRef]
- Guo, K.; Li, H.; Yu, Z. In-situ heavy and extra-heavy oil recovery: A review. Fuel 2016, 185, 886–902. [Google Scholar] [CrossRef]
- Curtis, C.; Kopper, R.; Decoster, E.; Guzmán-Garcia, A.; Huggins, C.; Knauer, L.; Minner, M.; Kupsch, N.; Linares, L.M.; Rough, H. Heavy-oil reservoirs. Oilfield Rev. 2002, 14, 30–51. [Google Scholar]
- Rahimi, P.M.; Gentzis, T. The chemistry of bitumen and heavy oil processing. In Practical Advances in Petroleum Processing; Hsu, C.S., Robinson, P.R., Eds.; Springer: Berlin/Heidelberg, Germany, 2006; pp. 597–634. [Google Scholar]
- Hamedi Shokrlu, Y.; Babadagli, T. Kinetics of the in-situ upgrading of heavy oil by nickel nanoparticle catalysts and its effect on cyclic-steam-stimulation recovery factor. SPE Reserv. Eval. Eng. 2014, 17, 355–364. [Google Scholar] [CrossRef]
- Terry, R.E. Enhanced oil recovery. Encycl. Phys. Sci. Technol. 2001, 18, 503–518. [Google Scholar]
- Alvarado, V.; Manrique, E. Enhanced oil recovery: An update review. Energies 2010, 3, 1529–1575. [Google Scholar] [CrossRef]
- Thomas, S. Enhanced oil recovery—An overview. Oil Gas Sci. Technol. Rev. L’IFP 2008, 63, 9–19. [Google Scholar] [CrossRef]
- Zhang, T.; Davidson, D.; Bryant, S.L.; Huh, C. Nanoparticle-stabilized emulsions for applications in enhanced oil recovery. In Proceedings of the SPE Improved Oil Recovery Symposium, Tulsa, OK, USA, 24–28 April 2010. [Google Scholar]
- Speight, J. Petroleum Asphaltenes-Part 1: Asphaltenes, resins and the structure of petroleum. Oil Gas Sci. Technol. 2004, 59, 467–477. [Google Scholar] [CrossRef]
- Franco, C.A.; Lozano, M.M.; Acevedo, S.; Nassar, N.N.; Cortés, F.B. Effects of resin I on Asphaltene adsorption onto nanoparticles: A novel method for obtaining asphaltenes/resin isotherms. Energy Fuels 2015, 30, 264–272. [Google Scholar] [CrossRef]
- Ali, S. Current status of steam injection as a heavy oil recovery method. J. Can. Pet. Technol. 1974, 13. [Google Scholar] [CrossRef]
- Medina, O.E.; Hurtado, Y.; Caro-Velez, C.; Cortés, F.B.; Riazi, M.; Lopera, S.H.; Franco, C.A. Improvement of Steam Injection Processes through Nanotechnology: An Approach through In Situ Upgrading and Foam Injection. Energies 2019, 12, 4633. [Google Scholar] [CrossRef]
- Shin, H.; Polikar, M. Review of reservoir parameters to optimize SAGD and Fast-SAGD operating conditions. J. Can. Pet. Technol. 2007, 46. [Google Scholar] [CrossRef]
- Melcon, S. Oil Recovery by In Situ Combustion. 1965. Available online: https://patents.google.com/patent/US3360041 (accessed on 29 March 2021).
- Sun, X.; Zhang, Y.; Chen, G.; Gai, Z. Application of nanoparticles in enhanced oil recovery: A critical review of recent progress. Energies 2017, 10, 345. [Google Scholar] [CrossRef]
- Nassar, N.N.; Hassan, A.; Pereira-Almao, P. Application of nanotechnology for heavy oil upgrading: Catalytic steam gasification/cracking of asphaltenes. Energy Fuels 2011, 25, 1566–1570. [Google Scholar] [CrossRef]
- Ogolo, N.; Olafuyi, O.; Onyekonwu, M. Enhanced oil recovery using nanoparticles. In Proceedings of the SPE Saudi Arabia Section Technical Symposium and Exhibition, Al-Khobar, Saudi Arabia, 8–11 April 2012. [Google Scholar]
- Agista, M.N.; Guo, K.; Yu, Z. A State-of-the-Art Review of Nanoparticles Application in Petroleum with a Focus on Enhanced Oil Recovery. Appl. Sci. 2018, 8, 871. [Google Scholar] [CrossRef]
- Hashemi, R.; Nassar, N.N.; Almao, P.P. Nanoparticle technology for heavy oil in-situ upgrading and recovery enhancement: Opportunities and challenges. Appl. Energy 2014, 133, 374–387. [Google Scholar] [CrossRef]
- Cheraghian, G.; Hendraningrat, L. A review on applications of nanotechnology in the enhanced oil recovery part B: Effects of nanoparticles on flooding. Int. Nano Lett. 2016, 6, 129–138. [Google Scholar] [CrossRef]
- Ariza, F.; Andrés, C. Synthesis and Application of Supported Metallic and Multi-Metallic Oxides Nanoparticles for In-Situ Upgrading and Inhibition of Formation Damage. Ph.D. Thesis, Universidad Nacional de Colombia-Sede Medellín, Medellín, Colombia, 2015. [Google Scholar]
- Nassar, N.N.; Hassan, A.; Pereira-Almao, P. Metal oxide nanoparticles for asphaltene adsorption and oxidation. Energy Fuels 2011, 25, 1017–1023. [Google Scholar] [CrossRef]
- Hosseinpour, N.; Khodadadi, A.A.; Bahramian, A.; Mortazavi, Y. Asphaltene adsorption onto acidic/basic metal oxide nanoparticles toward in situ upgrading of reservoir oils by nanotechnology. Langmuir 2013, 29, 14135–14146. [Google Scholar] [CrossRef]
- Kazemzadeh, Y.; Eshraghi, S.E.; Kazemi, K.; Sourani, S.; Mehrabi, M.; Ahmadi, Y. Behavior of asphaltene adsorption onto the metal oxide nanoparticle surface and its effect on heavy oil recovery. Ind. Eng. Chem. Res. 2015, 54, 233–239. [Google Scholar] [CrossRef]
- Zheng, X.; Li, Y.; Zhang, L.; Shen, L.; Xiao, Y.; Zhang, Y.; Au, C.; Jiang, L. Insight into the effect of morphology on catalytic performance of porous CeO2 nanocrystals for H2S selective oxidation. Appl. Catal. B Environ. 2019, 252, 98–110. [Google Scholar] [CrossRef]
- Maciel, C.G.; de Freitas Silva, T.; Hirooka, M.I.; Belgacem, M.N.; Assaf, J.M. Effect of nature of ceria support in CuO/CeO2 catalyst for PROX-CO reaction. Fuel 2012, 97, 245–252. [Google Scholar] [CrossRef]
- Eaimsumang, S.; Wongkasemjit, S.; Pongstabodee, S.; Smith, S.M.; Ratanawilai, S.; Chollacoop, N.; Luengnaruemitchai, A. Effect of synthesis time on morphology of CeO2 nanoparticles and Au/CeO2 and their activity in oxidative steam reforming of methanol. J. Rare Earths 2019, 37, 819–828. [Google Scholar] [CrossRef]
- Razeghi, A.; Khodadadi, A.; Ziaei-Azad, H.; Mortazavi, Y. Activity enhancement of Cu-doped ceria by reductive regeneration of CuO–CeO2 catalyst for preferential oxidation of CO in H2-rich streams. Chem. Eng. J. 2010, 164, 214–220. [Google Scholar] [CrossRef]
- Franco, C.A.; Montoya, T.; Nassar, N.N.; Cortés, F.B. Nioand pdo supported on fumed silica nanoparticles for adsorption and catalytic steam gasification of colombian c7asphaltenes. In Handbook on Oil Production Research; Nova Science Publishers: Hauppauge, NY, USA, 2014. [Google Scholar]
- Medina, O.E.; Gallego, J.; Arias-Madrid, D.; Cortés, F.B.; Franco, C.A. Optimization of the Load of Transition Metal Oxides (Fe2O3, Co3O4, NiO and/or PdO) onto CeO2 Nanoparticles in Catalytic Steam Decomposition of n-C7 Asphaltenes at Low Temperatures. Nanomaterials 2019, 9, 401. [Google Scholar] [CrossRef] [PubMed]
- Cardona Rojas, L. Efecto de Nanopartículas en Procesos con Inyección de Vapor a Diferentes Calidades. Master‘s Thesis, Universidad Nacional de Colombia-Sede Medellín, Medellín, Colombia, 2018. [Google Scholar]
- Cardona, L.; Arias-Madrid, D.; Cortés, F.; Lopera, S.; Franco, C. Heavy oil upgrading and enhanced recovery in a steam injection process assisted by NiO-and PdO-Functionalized SiO2 nanoparticulated catalysts. Catalysts 2018, 8, 132. [Google Scholar] [CrossRef]
- Delannoy, L.; El Hassan, N.; Musi, A.; Le To, N.N.; Krafft, J.-M.; Louis, C. Preparation of supported gold nanoparticles by a modified incipient wetness impregnation method. J. Phys. Chem. B 2006, 110, 22471–22478. [Google Scholar] [CrossRef]
- Medina, O.E.; Gallego, J.; Restrepo, L.G.; Cortés, F.B.; Franco, C.A. Influence of the Ce4+/Ce3+ Redox-couple on the cyclic regeneration for adsorptive and catalytic performance of NiO-PdO/CeO2±δ nanoparticles for n-C7 asphaltene steam gasification. Nanomaterials 2019, 9, 734. [Google Scholar] [CrossRef]
- Sellers-Antón, B.; Bailón-García, E.; Cardenas-Arenas, A.; Davó-Quiñonero, A.; Lozano-Castelló, D.; Bueno-López, A. Enhancement of the Generation and Transfer of Active Oxygen in Ni/CeO2 Catalysts for Soot Combustion by Controlling the Ni–Ceria Contact and the Three-Dimensional Structure. Environ. Sci. Technol. 2020, 54, 2439–2447. [Google Scholar] [CrossRef]
- Wrobel, G.; Sohier, M.; D’Huysser, A.; Bonnelle, J.; Marcq, J. Hydrogenation catalysts based on nickel and rare earth oxides: Part II: XRD, electron microscopy and XPS studies of the cerium-nickel-oxygen-hydrogen system. Appl. Catal. A Gen. 1993, 101, 73–93. [Google Scholar] [CrossRef]
- Wang, X.; Chen, J.; Zeng, J.; Wang, Q.; Li, Z.; Qin, R.; Wu, C.; Xie, Z.; Zheng, L. The synergy between atomically dispersed Pd and cerium oxide for enhanced catalytic properties. Nanoscale 2017, 9, 6643–6648. [Google Scholar] [CrossRef] [PubMed]
- Ancheyta, J.; Centeno, G.; Trejo, F.; Marroquin, G.; Garcia, J.; Tenorio, E.; Torres, A. Extraction and characterization of asphaltenes from different crude oils and solvents. Energy Fuels 2002, 16, 1121–1127. [Google Scholar] [CrossRef]
- López, D.; Giraldo, L.J.; Salazar, J.P.; Zapata, D.M.; Ortega, D.C.; Franco, C.A.; Cortés, F.B. Metal Oxide Nanoparticles Supported on Macro-Mesoporous Aluminosilicates for Catalytic Steam Gasification of Heavy Oil Fractions for On-Site Upgrading. Catalysts 2017, 7, 319. [Google Scholar] [CrossRef]
- Nadkarni, R.; Nadkarni, R. Guide to ASTM Test Methods for the Analysis of Petroleum Products and Lubricants; ASTM International West Conshohocken: Conshohocken, PA, USA, 2007. [Google Scholar]
- Medina, O.E.; Gallego, J.; Nassar, N.N.; Acevedo, S.A.; Cortés, F.B.; Franco, C.A. Thermo-Oxidative Decomposition Behaviors of Different Sources of n-C7 Asphaltenes at High-Pressure Conditions. Energy Fuels 2020, 34, 8740–8758. [Google Scholar] [CrossRef]
- Standard Test Method for Softening Point of Bitumen (Ring-and-Ball Apparatus). 2006. Available online: https://www.astm.org/Standards/D36.htm (accessed on 29 March 2021).
- Talu, O.; Meunier, F. Adsorption of associating molecules in micropores and application to water on carbon. AIChE J. 1996, 42, 809–819. [Google Scholar] [CrossRef]
- Franco, C.A.; Zabala, R.D.; Zapata, J.; Mora, E.; Botero, O.; Candela, C.; Castillo, A. Inhibited gas stimulation to mitigate condensate banking and maximize recovery in cupiagua field. SPE Prod. Oper. 2013, 28, 154–167. [Google Scholar] [CrossRef]
- Nassar, N.N.; Hassan, A.; Luna, G.; Pereira-Almao, P. Kinetics of the catalytic thermo-oxidation of asphaltenes at isothermal conditions on different metal oxide nanoparticle surfaces. Catal. Today 2013, 207, 127–132. [Google Scholar] [CrossRef]
- Medina Erao, O.E.; Gallego, J.; Olmos, C.M.; Chen, X.; Cortés, F.B.; Franco, C.A. Effect of Multifunctional Nanocatalysts on n-C7 Asphaltene Adsorption and Subsequent Oxidation under High Pressure Conditions. Energy Fuels 2020, 34, 6261–6278. [Google Scholar] [CrossRef]
- Moghtaderi, B. Effects of controlling parameters on production of hydrogen by catalytic steam gasification of biomass at low temperatures. Fuel 2007, 86, 2422–2430. [Google Scholar] [CrossRef]
- Lozano, M.M.; Franco, C.A.; Acevedo, S.A.; Nassar, N.N.; Cortés, F.B. Effects of resin I on the catalytic oxidation of n-C7 asphaltenes in the presence of silica-based nanoparticles. RSC Adv. 2016, 6, 74630–74642. [Google Scholar] [CrossRef]
- Rakhmatullin, I.; Efimov, S.; Tyurin, V.; Al-Muntaser, A.; Klimovitskii, A.; Varfolomeev, M.; Klochkov, V. Application of high resolution NMR (1H and 13C) and FTIR spectroscopy for characterization of light and heavy crude oils. J. Pet. Sci. Eng. 2018, 168, 256–262. [Google Scholar] [CrossRef]
- Schneider, P. Adsorption isotherms of microporous-mesoporous solids revisited. Appl. Catal. A Gen. 1995, 129, 157–165. [Google Scholar] [CrossRef]
- Bates, M.K.; Jia, Q.; Doan, H.; Liang, W.; Mukerjee, S. Charge-transfer effects in Ni–Fe and Ni–Fe–Co mixed-metal oxides for the alkaline oxygen evolution reaction. ACS Catal. 2015, 6, 155–161. [Google Scholar] [CrossRef]
- Dong, Y.-B.; Jin, G.-X.; Smith, M.D.; Huang, R.-Q.; Tang, B.; zur Loye, H.-C. [Ag2(C33H26N2O2)(H2O)2(SO3CF3) 2]⊙ 0.5C6H6: A Luminescent Supramolecular Silver (I) Complex Based on Metal-Carbon and Metal-Heteroatom Interactions. Inorg. Chem. 2002, 41, 4909–4914. [Google Scholar] [CrossRef] [PubMed]
- Ignasiak, T.; Kemp-Jones, A.; Strausz, O. The molecular structure of Athabasca asphaltene. Cleavage of the carbon-sulfur bonds by radical ion electron transfer reactions. J. Org. Chem. 1977, 42, 312–320. [Google Scholar] [CrossRef]
- Arias-Madrid, D.; Medina, O.E.; Gallego, J.; Acevedo, S.; Correa-Espinal, A.A.; Cortés, F.B.; Franco, C.A. NiO, Fe2O3, and MoO3 Supported over SiO2 Nanocatalysts for Asphaltene Adsorption and Catalytic Decomposition: Optimization through a Simplex–Centroid Mixture Design of Experiments. Catalysts 2020, 10, 569. [Google Scholar] [CrossRef]
- Leon, O.; Rogel, E.; Espidel, J.; Torres, G. Asphaltenes: Structural characterization, self-association, and stability behavior. Energy Fuels 2000, 14, 6–10. [Google Scholar] [CrossRef]
- Alvarez-Ramirez, F.; Ramirez-Jaramillo, E.; Ruiz-Morales, Y. Calculation of the interaction potential curve between asphaltene-asphaltene, asphaltene-resin, and resin-resin systems using density functional theory. Energy Fuels 2006, 20, 195–204. [Google Scholar] [CrossRef]
- Merino-Garcia, D.; Andersen, S.I. Thermodynamic characterization of asphaltene− resin interaction by microcalorimetry. Langmuir 2004, 20, 4559–4565. [Google Scholar] [CrossRef]
- Medina, O.E.; Caro-Vélez, C.; Gallego, J.; Cortés, F.B.; Lopera, S.H.; Franco, C.A. Upgrading of Extra-Heavy Crude Oils by Dispersed Injection of NiO–PdO/CeO2±δ Nanocatalyst-Based Nanofluids in the Steam. Nanomaterials 2019, 9, 175. [Google Scholar] [CrossRef]
- Alamolhoda, S.; Vitale, G.; Hassan, A.; Nassar, N.N.; Almao, P.P. Synergetic effects of cerium and nickel in Ce-Ni-MFI catalysts on low-temperature water-gas shift reaction. Fuel 2019, 237, 361–372. [Google Scholar] [CrossRef]
- Luo, M.-F.; Hou, Z.-Y.; Yuan, X.-X.; Zheng, X.-M. Characterization study of CeO2 supported Pd catalyst for low-temperature carbon monoxide oxidation. Catal. Lett. 1998, 50, 205–209. [Google Scholar] [CrossRef]
- Gradisher, L.; Dutcher, B.; Fan, M. Catalytic hydrogen production from fossil fuels via the water gas shift reaction. Appl. Energy 2015, 139, 335–349. [Google Scholar] [CrossRef]
- Coughlin, R.W.; Farooque, M. Hydrogen production from coal, water and electrons. Nature 1979, 279, 301–303. [Google Scholar] [CrossRef]
- Li, S.; Cheng, Y. Catalytic gasification of gas-coal char in CO2. Fuel 1995, 74, 456–458. [Google Scholar] [CrossRef]
- Hauserman, W.B. High-yield hydrogen production by catalytic gasification of coal or biomass. Int. J. Hydrogen Energy 1994, 19, 413–419. [Google Scholar] [CrossRef][Green Version]
- Alamolhoda, S.; Vitale, G.; Hassan, A.; Nassar, N.N.; Pereira Almao, P. Development and characterization of novel combinations of Ce-Ni-MFI solids for water gas shift reaction. Can. J. Chem. Eng. 2019, 97, 140–151. [Google Scholar] [CrossRef]
- Vignatti, C.I.; Avila, M.S.; Apesteguia, C.R.; Garetto, T.F. Study of the water-gas shift reaction over Pt supported on CeO2–ZrO2 mixed oxides. Catal. Today 2011, 171, 297–303. [Google Scholar] [CrossRef]
- De Oliveira Rocha, K.; Marques, C.M.P.; Bueno, J.M.C. Effect of Au doping of Ni/Al2O3 catalysts used in steam reforming of methane: Mechanism, apparent activation energy, and compensation effect. Chem. Eng. Sci. 2019, 207, 844–852. [Google Scholar] [CrossRef]
- Shido, T.; Iwasawa, Y. Reactant-promoted reaction mechanism for water-gas shift reaction on Rh-doped CeO2. J. Catal. 1993, 141, 71–81. [Google Scholar] [CrossRef]













| Sample | SBET ± 0.1 m2·g−1 | dp (nm ± 0.2 nm) | Dispersion (%) | ||||
|---|---|---|---|---|---|---|---|
| NiO | Co3O4 | Fe2O3 | PdO | Ni/Co/Fe | Pd | ||
| CeO2 | 67.0 | - | - | - | - | - | - |
| CeNi1Pd1 | 63.8 | 6.4 | - | - | 3.9 | 12.7 | 38.6 |
| CeFe1Pd1 | 64.1 | - | - | 5.4 | 6.9 | 11.2 | 12.8 |
| CeCo1Pd1 | 64.4 | - | 1.9 | - | 6.1 | 18.1 | 20.4 |
| Sample | O (%) | Ce (%) | Pd (%) | Ce3+ (%) | Oads (%) | Olatt (%) | Oads/Olatt | Pd2+ (%) | Pd0 (%) |
|---|---|---|---|---|---|---|---|---|---|
| CeO2 | 62.11 | 37.89 | - | 18.11 | 39.44 | 60.56 | 0.65 | - | - |
| CeNi1Pd1 | 58.21 | 39.79 | 0.99 | 32.92 | 38.21 | 61.79 | 0.61 | 51.22 | 48.78 |
| CeFe1Pd1 | 59.29 | 38.71 | 0.99 | 31.11 | 35.56 | 64.44 | 0.55 | 43.21 | 56.79 |
| CeCo1Pd1 | 59.71 | 38.29 | 0.99 | 29.43 | 31.43 | 68.57 | 0.45 | 38.55 | 61.45 |
| Fraction | C (wt%) | H (wt%) | O * (wt%) | N (wt%) | S (wt%) | H/C | |
|---|---|---|---|---|---|---|---|
| n-C7 Asphaltene | 81.7 | 7.8 | 3.6 | <0.5 | 6.6 | 1.14 | 907.3 |
| Resin I | 82.1 | 11.0 | <0.5 | <0.5 | 6.1 | 1.61 | 609.0 |
| Resin II | 80.0 | 9.1 | 3.2 | 1.1 | 6.6 | 1.36 | 957.0 |
| Sample | Peak | |||||||
|---|---|---|---|---|---|---|---|---|
| C1s | O1s | S2p | N1s | |||||
| Assignment | % | Assignment | % | Assignment | % | Assignment | % | |
| n-C7 Asphaltene | C–C, C–H | 77.4 | C–O–C, C–O | 76.4 | Thioether | 23.4 | Pyridines | 40.3 |
| C=O | 18.0 | COO– | 23.6 | Thiophene | 74.8 | Pyrrolic | 32.5 | |
| COO– | 4.6 | Sulfones | 1.8 | Amines | 27.3 | |||
| Resin II | C–C, C-H | 76.3 | C-O–C, C–O | 73.2 | Thioether | 49.5 | Pyridines | 63.1 |
| C=O | 8.6 | COO– | 26.8 | Thiophene | 25.2 | Pyrrolic | 22.6 | |
| COO– | 15.1 | Sulfones | 25.3 | Amines | 14.3 | |||
| Sample | 1H-NMR | 13C NMR | ||||
|---|---|---|---|---|---|---|
| Hα | Hβ | Hγ | Ha | Cal | Car | |
| n-C7 Asphaltene | 4.79 | 62.72 | 8.98 | 23.49 | 35.51 | 64.48 |
| Resin II | 18.09 | 53.86 | 17.36 | 10.69 | 60.96 | 39.04 |
Publisher’s Note: MDPI stays neutral with regard to jurisdictional claims in published maps and institutional affiliations. |
© 2021 by the authors. Licensee MDPI, Basel, Switzerland. This article is an open access article distributed under the terms and conditions of the Creative Commons Attribution (CC BY) license (https://creativecommons.org/licenses/by/4.0/).
Share and Cite
Medina, O.E.; Gallego, J.; Acevedo, S.; Riazi, M.; Ocampo-Pérez, R.; Cortés, F.B.; Franco, C.A. Catalytic Conversion of n-C7 Asphaltenes and Resins II into Hydrogen Using CeO2-Based Nanocatalysts. Nanomaterials 2021, 11, 1301. https://doi.org/10.3390/nano11051301
Medina OE, Gallego J, Acevedo S, Riazi M, Ocampo-Pérez R, Cortés FB, Franco CA. Catalytic Conversion of n-C7 Asphaltenes and Resins II into Hydrogen Using CeO2-Based Nanocatalysts. Nanomaterials. 2021; 11(5):1301. https://doi.org/10.3390/nano11051301
Chicago/Turabian StyleMedina, Oscar E., Jaime Gallego, Sócrates Acevedo, Masoud Riazi, Raúl Ocampo-Pérez, Farid B. Cortés, and Camilo A. Franco. 2021. "Catalytic Conversion of n-C7 Asphaltenes and Resins II into Hydrogen Using CeO2-Based Nanocatalysts" Nanomaterials 11, no. 5: 1301. https://doi.org/10.3390/nano11051301
APA StyleMedina, O. E., Gallego, J., Acevedo, S., Riazi, M., Ocampo-Pérez, R., Cortés, F. B., & Franco, C. A. (2021). Catalytic Conversion of n-C7 Asphaltenes and Resins II into Hydrogen Using CeO2-Based Nanocatalysts. Nanomaterials, 11(5), 1301. https://doi.org/10.3390/nano11051301

