Disruption of Cationic/Anionic Viscoelastic Surfactant Micellar Networks by Hydrocarbon as a Basis of Enhanced Fracturing Fluids Clean-Up
Abstract
1. Introduction
2. Materials and Methods
2.1. Materials
2.2. Samples Preparation
2.3. Rheometry
2.4. Small-Angle Neutron Scattering (SANS)
2.5. Cryogenic Transmission Electron Microscopy (Cryo-TEM)
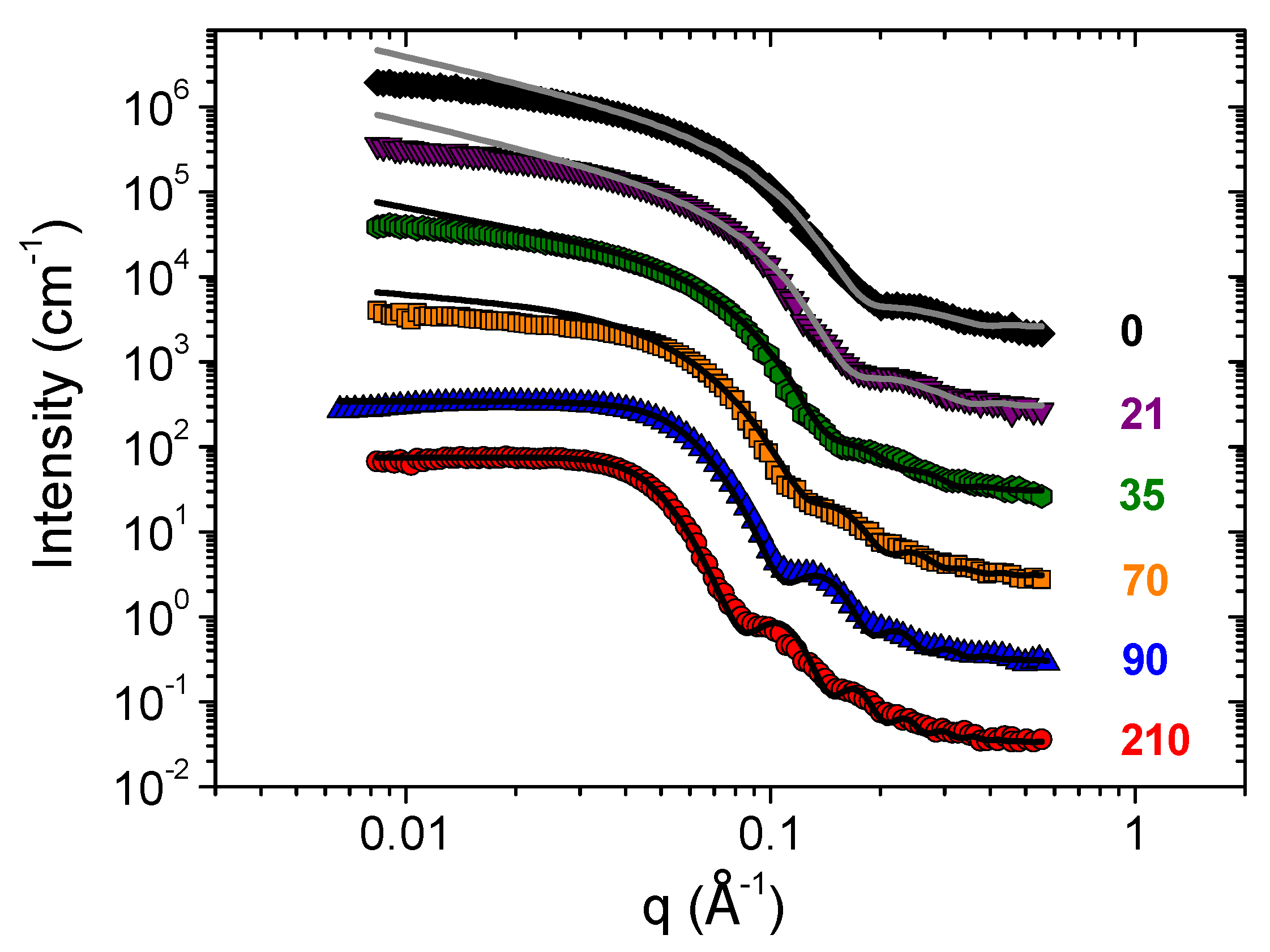
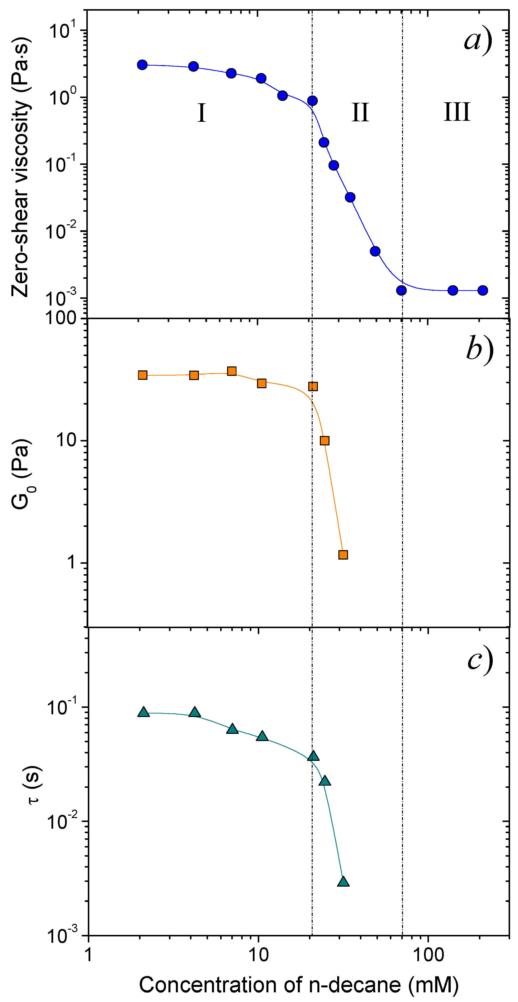
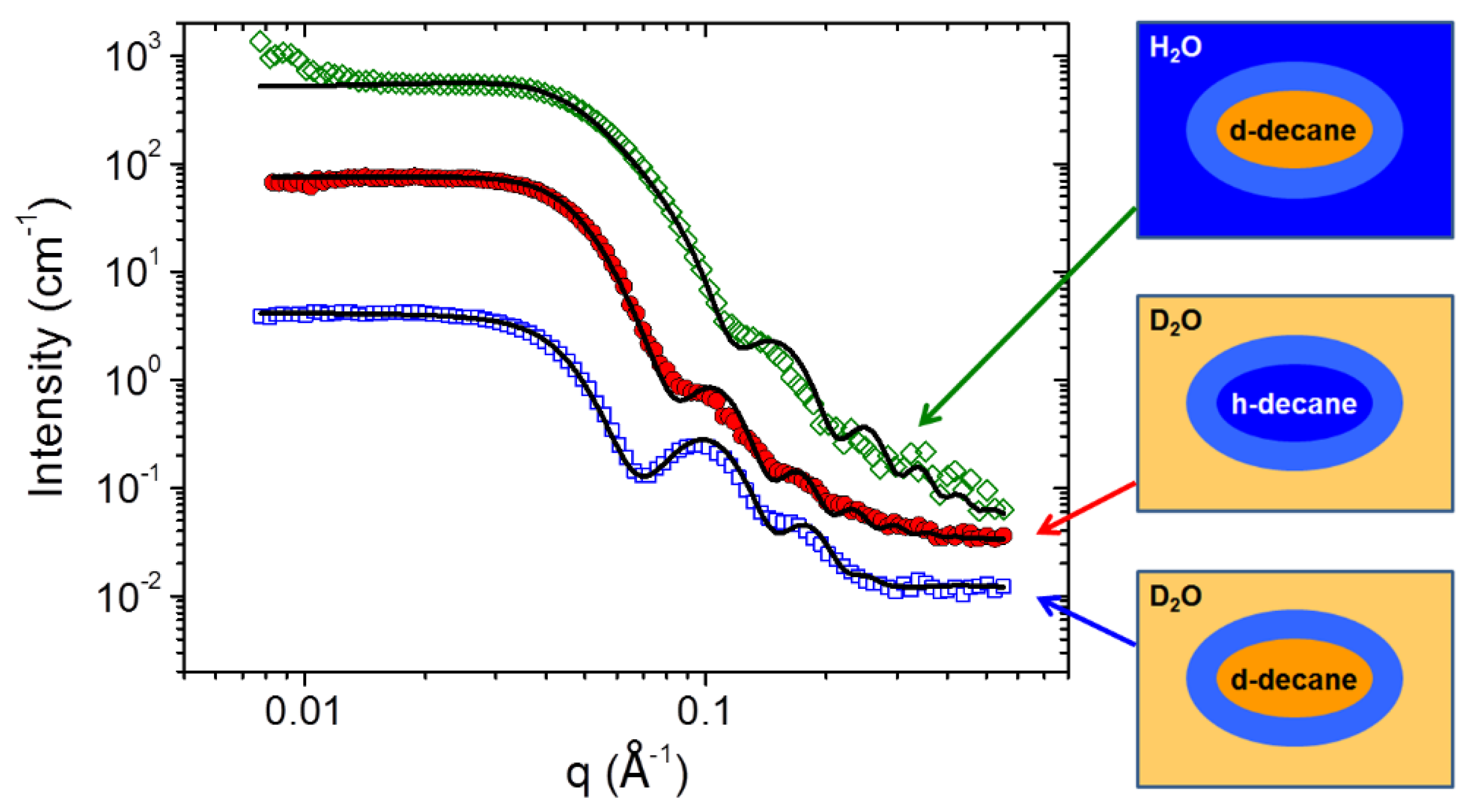
3. Results and Discussion
3.1. Before the Addition of n-Decane
3.2. After the Addition of n-Decane
3.2.1. Oil-Swollen Micellar Network
3.2.2. Breakage of the Micellar Network
3.2.3. Ellipsoidal Microemulsion
4. Conclusions
Author Contributions
Funding
Acknowledgments
Conflicts of Interest
Abbreviations
| EOR | enhanced oil recovery |
| WLM | wormlike micelle |
| C8TAB | n-octyltrimethylammonium bromide |
| SANS | small-angle neutron scattering |
| cryo-TEM | cryogenic transmission electron microscopy |
References
- Feng, Y.; Chu, Z.; Dreiss, C.A. Smart Wormlike Micelles: Design, Characteristics and Applications; Springer: Heidelberg, Germany, 2015. [Google Scholar] [CrossRef]
- Dreiss, C.A.; Feng, Y. Wormlike Micelles: Advances in Systems, Characterisation and Applications; The Royal Society of Chemistry: London, UK, 2017. [Google Scholar]
- Dreiss, C.A. Wormlike micelles: Where do we stand? Recent developments, linear rheology and scattering techniques. Soft Matter 2007, 3, 956–970. [Google Scholar] [CrossRef] [PubMed]
- Sharma, H.; Dormidontova, E.E. Polymer-threaded and polymer-wrapped wormlike micelle solutions: Molecular dynamics simulations. Macromolecules 2019, 52, 7016–7027. [Google Scholar] [CrossRef]
- Rehage, H.; Hoffmann, H. Viscoelastic surfactant solutions: Model systems for rheological research. Mol. Phys. 1991, 74, 933–973. [Google Scholar] [CrossRef]
- Magid, L.J.; Han, Z.; Li, Z.; Butler, P.D. Tuning the contour lengths and persistence lengths of cationic micelles: The role of electrostatics and specific ion binding. J. Phys. Chem. B 2000, 104, 6717–6727. [Google Scholar] [CrossRef]
- Raghavan, S.R.; Kaler, E.W. Highly viscoelastic wormlike micellar solutions formed by cationic surfactants with long unsaturated tails. Langmuir 2001, 17, 300–306. [Google Scholar] [CrossRef]
- Oikonomou, E.; Bokias, G.; Kallitsis, J.K.; Iliopoulos, I. Formation of hybrid wormlike micelles upon mixing cetyl trimethylammonium bromide with poly(methyl methacrylate-co-sodium styrene sulfonate) copolymers in aqueous solution. Langmuir 2011, 27, 5054–5061. [Google Scholar] [CrossRef]
- Kwiatkowski, A.L.; Molchanov, V.S.; Orekhov, A.S.; Vasiliev, A.L.; Philippova, O.E. Impact of salt co- and counterions on rheological properties and structure of wormlike micellar solutions. J. Phys. Chem. B 2016, 120, 12547–12556. [Google Scholar] [CrossRef]
- Kume, G.; Gallotti, M.; Nunes, G. Review on anionic/cationic surfactant mixtures. J. Surfactants Deterg. 2008, 11, 1–11. [Google Scholar] [CrossRef]
- Koehler, R.D.; Raghavan, S.R.; Kaler, E.W. Microstructure and dynamics of wormlike micellar solutions formed by mixing cationic and anionic surfactants. J. Phys. Chem. B 2000, 104, 11035–11044. [Google Scholar] [CrossRef]
- Raghavan, S.R.; Fritz, G.; Kaler, E.W. Wormlike micelles formed by synergistic self-assembly in mixtures of anionic and cationic surfactants. Langmuir 2002, 18, 3797–3803. [Google Scholar] [CrossRef]
- Ziserman, L.; Abezgauz, L.; Ramon, O.; Raghavan, S.R.; Danino, D. Origins of the viscosity peak in wormlike micellar solutions. 1. Mixed catanionic surfactants. A cryo-transmission electron microscopy study. Langmuir 2009, 25, 10483–10489. [Google Scholar] [CrossRef] [PubMed]
- Koshy, P.; Verma, G.; Aswal, V.K.; Venkatesh, M.; Hassan, P.A. Viscoelastic fluids originated from enhanced solubility of sodium laurate in cetyl trimethyl ammonium bromide micelles through cooperative self-assembly. J. Phys. Chem. B 2010, 114, 10462–10470. [Google Scholar] [CrossRef] [PubMed]
- Bhattacharjee, J.; Aswal, V.K.; Hassan, P.A.; Pamu, R.; Narayanan, J.; Bellare, J. Structural evolution in catanionic mixtures of cetylpyridinium chloride and sodium deoxycholate. Soft Matter 2012, 8, 10130–10140. [Google Scholar] [CrossRef]
- Bergström, L.M.; Skoglund, S.; Edwards, K.; Eriksson, J.; Grillo, I. Self-assembly in mixtures of an anionic and a cationic surfactant: A comparison between small-angle neutron scattering and cryo-transmission electron microscopy. Langmuir 2013, 29, 11834–11848. [Google Scholar] [CrossRef] [PubMed]
- Wang, P.; Tan, J.; Pei, S.; Wang, J.; Zhang, Y.; Sun, X.; Zhang, J. Dual effects of cationic surfactant on the wormlike micelle formation of catanionic surfactants mixtures: An experiment and simulation study. Colloids Surf. A 2017, 529, 222–229. [Google Scholar] [CrossRef]
- Shibaev, A.V.; Abrashitova, K.A.; Kuklin, A.I.; Orekhov, A.S.; Vasiliev, A.V.; Iliopoulos, I.; Philippova, O.E. Viscoelastic synergy and microstructure formation in aqueous mixtures of nonionic hydrophilic polymer and charged wormlike surfactant micelles. Macromolecules 2017, 50, 339–348. [Google Scholar] [CrossRef]
- Shibaev, A.V.; Philippova, O.E. Viscoelastic properties of new mixed wormlike micelles formed by a fatty acid salt and alkylpyridinium surfactant. Nanosyst. Phys. Chem. Math. 2017, 8, 732–739. [Google Scholar] [CrossRef][Green Version]
- Zhai, Z.; Yan, X.; Xu, J.; Song, Z.; Shang, S.; Rao, X. Phase behavior and aggregation in a catanionic system dominated by an anionic surfactant containing a large rigid group. Chem. A Eur. J. 2018, 24, 9033–9040. [Google Scholar] [CrossRef]
- Shibaev, A.V.; Makarov, A.V.; Kuklin, A.I.; Iliopoulos, I.; Philippova, O.E. Role of charge of micellar worms in modulating structure and rheological properties of their mixtures with nonionic polymer. Macromolecules 2018, 51, 213–221. [Google Scholar] [CrossRef]
- Sato, T.; Acharya, D.P.; Kaneko, M.; Aramaki, K.; Singh, Y.; Ishitobi, M.; Kunieda, H. Oil-induced structural change of wormlike micelles in sugar surfactant systems. J. Dispers. Sci. Technol. 2006, 27, 611–616. [Google Scholar] [CrossRef]
- Molchanov, V.S.; Philippova, O.E.; Khokhlov, A.R.; Kovalev, Y.A.; Kuklin, A.I. Self-assembled networks highly responsive to hydrocarbons. Langmuir 2007, 23, 105–111. [Google Scholar] [CrossRef] [PubMed]
- Shibaev, A.V.; Tamm, M.V.; Molchanov, V.S.; Rogachev, A.V.; Kuklin, A.I.; Dormidontova, E.E.; Philippova, O.E. How a viscoelastic solution of wormlike micelles transforms into a microemulsion upon absorption of hydrocarbon: New insight. Langmuir 2014, 30, 3705–3714. [Google Scholar] [CrossRef] [PubMed]
- Shibaev, A.V.; Kuklin, A.I.; Philippova, O.E. Different responsiveness to hydrocarbons of linear and branched anionic/cationic-mixed wormlike surfactant micelles. Colloid Polym. Sci. 2019, 297, 351–362. [Google Scholar] [CrossRef]
- Cui, W.; Yan, J.; Yang, J.; Wang, Y.; Wang, X. Effect of hydrocarbon structure on viscosity reduction of long chain viscoelastic surfactant. J. Mol. Liq. 2020, 311, 113197. [Google Scholar] [CrossRef]
- Chase, B.; Chmilowski, W.; Marcinew, R.; Mitchell, C.; Dang, Y.; Krauss, D.; Nelson, E.; Lantz, T.; Parham, C.; Plummer, J. Clear fracturing fluids for increased well productivity. Oilfield Rev. 1997, 9, 20–33. [Google Scholar]
- Maitland, G.C. Oil and gas production. Curr. Opin. Colloid Interface Sci. 2000, 5, 301–311. [Google Scholar] [CrossRef]
- Kefi, S.; Lee, J.; Pope, T.L.; Sullivan, P.; Nelson, E.; Hernandez, A.N.; Olsen, T.; Parlar, M.; Powers, B.; Roy, A.; et al. Expanding applications for viscoelastic surfactants. Oilfield Rev. 2004, 16, 10–23. [Google Scholar]
- Philippova, O.E.; Khokhlov, A.R. Smart polymers for oil production. Pet. Chem. 2010, 50, 266–270. [Google Scholar] [CrossRef]
- Fogang, L.T.; Sultan, A.S.; Kamal, M.S. Understanding viscosity reduction of a long-tail sulfobetaine viscoelastic surfactant by organic compounds. RSC Adv. 2018, 8, 4455–4463. [Google Scholar] [CrossRef]
- Zhao, J.; Fan, J.; Mao, J.; Yang, X.; Zhang, H.; Zhang, W. High performance clean fracturing fluid using a new tri-cationic surfactant. Polymers 2018, 10, 535. [Google Scholar] [CrossRef]
- Gong, L.; Liao, G.; Luan, H.; Chen, Q.; Nie, X.; Liu, D.; Feng, Y. Oil solubilization in sodium dodecylbenzenesulfonate micelles: New insights into surfactant enhanced oil recovery. J. Colloid Interface Sci. 2020, 569, 219–228. [Google Scholar] [CrossRef] [PubMed]
- Franco, C.A.; Giraldo, L.J.; Candela, C.H.; Bernal, K.M.; Villamil, F.; Montes, D.; Lopera, S.H.; Franco, C.A.; Cortés, F.B. Design and tuning of nanofluids applied to chemical enhanced oil recovery based on the surfactant-nanoparticle-brine interaction: From laboratory experiments to oil field application. Nanomaterials 2020, 10, 1579. [Google Scholar] [CrossRef] [PubMed]
- Kang, W.; Mushi, S.J.; Yang, H.; Wang, P.; Hou, X. Development of smart viscoelastic surfactants and its applications in fracturing fluid: A review. J. Pet. Sci. Eng. 2020, 190, 107107. [Google Scholar] [CrossRef]
- Barati, R.; Liang, J.-T. A review of fracturing fluid systems used for hydraulic fracturing of oil and gas wells. J. Appl. Polym. Sci. 2014, 131, 40735. [Google Scholar] [CrossRef]
- Afifi, H.; Karlsson, G.; Heenan, R.K.; Dreiss, C.A. Solubilization of oils or addition of monoglycerides drives the formation of wormlike micelles with an elliptical cross-section in cholesterol-based surfactants: A study by rheology, SANS, and cryo-TEM. Langmuir 2011, 27, 7480–7492. [Google Scholar] [CrossRef] [PubMed]
- Shibaev, A.V.; Molchanov, V.S.; Philippova, O.E. Rheological behavior of oil-swollen wormlike surfactant micelles. J. Phys. Chem. B 2015, 119, 15938–15946. [Google Scholar] [CrossRef] [PubMed]
- Philippova, O.E.; Molchanov, V.S. Polymer-surfactant networks highly responsive to hydrocarbons. Macromol. Symp. 2010, 291, 137–143. [Google Scholar] [CrossRef]
- Campbell, C.S. Elastic granular flows of ellipsoidal particles. Phys. Fluids 2011, 23, 013306. [Google Scholar] [CrossRef]
- He, K.; Xu, L. Unique mixtures of anionic/cationic surfactants: A new approach to enhance surfactant performance in liquids-rich shale reservoirs. SPE Prod. Oper. 2018, 33, SPE-184515-PA. [Google Scholar] [CrossRef]
- Baruah, A.; Shekhawat, D.S.; Pathak, A.K.; Ojha, K. Experimental investigation of rheological properties in zwitterionic-anionic mixed-surfactant based fracturing fluids. J. Pet. Sci. Eng. 2016, 146, 340–349. [Google Scholar] [CrossRef]
- Zhang, L.; Kang, W.; Xu, D.; Feng, H.; Zhang, P.; Li, Z.; Lu, Y.; Wu, H. The rheological characteristics for the mixtures of cationic surfactant and anionic-nonionic surfactants: The role of ethylene oxide moieties. RSC Adv. 2017, 7, 13032–13040. [Google Scholar] [CrossRef]
- Li, Y.; Zhang, W.; Kong, B.; Puerto, M.; Bao, X.; Sha, O.; Shen, Z.; Yang, Y.; Liu, Y.; Gu, S.; et al. Mixtures of anionic/cationic surfactants: A new approach for enhanced oil recovery in low-salinity, high-temperature sandstone reservoir. SPE J. 2016, 21, SPE-169051-PA. [Google Scholar] [CrossRef]
- Philippova, O.E.; Shibaev, A.V.; Muravlev, D.A.; Mityuk, D.Y. Structure and rheology of solutions and gels of stiff polyelectrolyte at high salt concentration. Macromolecules 2016, 49, 6031–6040. [Google Scholar] [CrossRef]
- Soloviev, A.G.; Solovjeva, T.M.; Ivankov, O.I.; Soloviev, D.V.; Rogachev, A.V.; Kuklin, A.I. SAS program for two-detector system: Seamless curve from both detectors. J. Phys. Conf. Ser. 2017, 848, 012020. [Google Scholar] [CrossRef]
- Andreeva, A.S.; Philippova, O.E.; Khokhlov, A.R.; Islamov, A.K.; Kuklin, A.I. Effect of the mobility of charged units on the microphase separation in amphiphilic polyelectrolyte hydrogels. Langmuir 2005, 21, 1216–1222. [Google Scholar] [CrossRef]
- Artikulnyi, O.P.; Shibaev, A.V.; Avdeev, M.M.; Ivankov, O.I.; Bulavin, L.A.; Petrenko, V.I.; Philippova, O.E. Structural investigations of poly(ethylene glycol)-dodecylbenzenesulfonic acid complexes in aqueous solutions. J. Mol. Liq. 2020, 308, 113045. [Google Scholar] [CrossRef]
- Berret, J.-F. Rheology of wormlike micelles: Equilibrium properties and shear banding transitions. In Molecular Gels; Weiss, R.G., Terech, P., Eds.; Springer: Dordrecht, The Netherlands, 2006; pp. 667–720. [Google Scholar] [CrossRef]
- Shibaev, A.V.; Ospennikov, A.S.; Kuklin, A.I.; Arkharova, N.A.; Orekhov, A.S.; Philippova, O.E. Structure, rheological and responsive properties of a new mixed viscoelastic surfactant system. Colloids Surf. A Physicochem. Eng. Asp. 2020, 586, 124284. [Google Scholar] [CrossRef]
- Flood, C.; Dreiss, C.A.; Croce, V.; Cosgrove, T.; Karlsson, G. Wormlike micelles mediated by polyelectrolyte. Langmuir 2005, 21, 7646–7652. [Google Scholar] [CrossRef]
- Rogers, S.A.; Calabrese, M.A.; Wagner, N.J. Rheology of branched wormlike micelles. Curr. Opin. Colloid Interface Sci. 2014, 19, 530–535. [Google Scholar] [CrossRef]
- Koshy, P.; Aswal, V.K.; Venkatesh, M.; Hassan, P.A. Unusual scaling in the rheology of branched wormlike micelles formed by cetyltrimethylammonium bromide and sodium oleate. J. Phys. Chem. B 2011, 115, 10817–10825. [Google Scholar] [CrossRef]
- Bernheim-Groswasser, A.; Tlusty, T.; Safran, S.A.; Talmon, Y. Direct observation of phase separation in microemulsion networks. Langmuir 1999, 15, 5448–5453. [Google Scholar] [CrossRef]
- Boom, R.M. Emulsions: Principles and preparation. In Food Materials Science; Aguilera, J.M., Lillford, P.J., Eds.; Springer: New York, NY, USA, 2008. [Google Scholar] [CrossRef]
- Gervits, L.L.; Shibaev, A.V.; Gulyaev, M.V.; Molchanov, V.S.; Anisimov, N.V.; Pirogov, Y.A.; Khokhlov, A.R.; Philippova, O.E. A facile method of preparation of polymer-stabilized perfluorocarbon nanoparticles with enhanced contrast for molecular magnetic resonance imaging. BioNanoScience 2017, 7, 456–463. [Google Scholar] [CrossRef]
- Ruckenstein, E. The origin of thermodynamic stability of microemulsions. Chem. Phys. Lett. 1978, 57, 517–521. [Google Scholar] [CrossRef]
- McClements, D.J. Nanoemulsions versus microemulsions: Terminology, differences, and similarities. Soft Matter 2012, 8, 1719–1729. [Google Scholar] [CrossRef]
- Najjar, R. Microemulsions—An Introduction to Properties and Applications; InTech: Shanghai, China, 2012. [Google Scholar]
- Vitagliano, V.; D’Errico, G.; Ortona, O.; Paduano, L. Isothermal diffusion and intradiffusion in surfactant solutions. In Handbook of Surfaces and Interfaces of Materials; Academic Press: New York, NY, USA, 2001; Volume 1, pp. 545–611. [Google Scholar] [CrossRef]
- Pitzalis, P.; Angelico, R.; Soderman, O.; Monduzzi, M.A. Structural investigation of CaAOT/Water/Oil microemulsions. Langmuir 2000, 16, 442–450. [Google Scholar] [CrossRef]
- Billman, J.F.; Kaler, E.W. Structure and phase behavior in four-component nonionic microemulsions. Langmuir 1991, 7, 1609–1617. [Google Scholar] [CrossRef]
- Nydn, M.; Sderman, O.; Hansson, P. Microemulsions in the didodecyldimethylammonium sulfate (bromide)/hydrocarbon/water system. Microstructure and specific counterion effects. Langmuir 2001, 17, 6794–6803. [Google Scholar] [CrossRef]
- Torrealba, V.A.; Hoteit, H.; Johns, R.T. Description of micellar radii for phase behavior and viscosity modeling of aqueous surfactant solutions and microemulsions. Langmuir 2018, 34, 15327–15334. [Google Scholar] [CrossRef]
- Pirhadi, S.; Amani, A. Molecular dynamics simulation of self‑assembly in a nanoemulsion system. Chem. Pap. 2020, 74, 2443–2448. [Google Scholar] [CrossRef]
- Bhattacharjee, K. Importance of surface energy in nanoemulsion. In Nanoemulsions—Properties, Fabrications and Applications; Koh, K.S., Wong, V.L., Eds.; InTechOpen: London, UK, 2019. [Google Scholar] [CrossRef]
- Tagavifar, M.; Xu, K.; Jang, S.H.; Balhoff, M.T.; Pope, G.A. Spontaneous and flow-driven interfacial phase change: Dynamics of microemulsion formation at the pore scale. Langmuir 2017, 33, 13077–13086. [Google Scholar] [CrossRef]
- Lawrence, M.J.; Rees, G.D. Microemulsion-based media as novel drug delivery systems. Adv. Drug Deliv. Rev. 2012, 64, 175–193. [Google Scholar] [CrossRef]
- Pletneva, V.A.; Molchanov, V.S.; Philippova, O.E. Viscoelasticity of smart fluids based on wormlike surfactant micelles and oppositely charged magnetic particles. Langmuir 2015, 31, 110–119. [Google Scholar] [CrossRef] [PubMed]
- Philippova, O.E.; Molchanov, V.S. Enhanced rheological properties and performance of viscoelastic surfactant fluids with embedded nanoparticles. Curr. Opin. Colloid Interface Sci. 2019, 43, 52–62. [Google Scholar] [CrossRef]






| N-Decane, mM | Elliptical Cylinder | Ellipsoidal Microemulsion Droplet | |||||
|---|---|---|---|---|---|---|---|
| Fraction in the Mixture, % | Equatorial Radius Req, Å | Polar Radius Rpol, Å | Fraction in the Mixture, % | Equatorial Radius of Core Req, Å | Polar Radius of Core Rpol, Å | Thickness of Shell, Å | |
| 0 | 100 | 17 | 26.3 | - | - | - | - |
| 21 | 100 | 19 | 28.5 | - | - | - | - |
| 35 | 70 | 20 | 30 | 30 | 14 | 42 | 18 |
| 70 | 30 | 20 | 29 | 70 | 17 | 51 | 18 |
| 90 | - | - | - | 100 | 21 | 63 | 18 |
| 210 | - | - | - | 100 | 33 | 76 | 18 |
| Solvent | Hydrocarbon | Equatorial Radius of Core Req, Å | Polar Radius of Core Rpol, Å | Thickness of Shell, Å |
|---|---|---|---|---|
| H2O | d-decane | 35 | 77 | 18 |
| D2O | h-decane | 33 | 76 | 18 |
| D2O | d-decane | 29 | 73 | 20 |
Publisher’s Note: MDPI stays neutral with regard to jurisdictional claims in published maps and institutional affiliations. |
© 2020 by the authors. Licensee MDPI, Basel, Switzerland. This article is an open access article distributed under the terms and conditions of the Creative Commons Attribution (CC BY) license (http://creativecommons.org/licenses/by/4.0/).
Share and Cite
Shibaev, A.V.; Aleshina, A.L.; Arkharova, N.A.; Orekhov, A.S.; Kuklin, A.I.; Philippova, O.E. Disruption of Cationic/Anionic Viscoelastic Surfactant Micellar Networks by Hydrocarbon as a Basis of Enhanced Fracturing Fluids Clean-Up. Nanomaterials 2020, 10, 2353. https://doi.org/10.3390/nano10122353
Shibaev AV, Aleshina AL, Arkharova NA, Orekhov AS, Kuklin AI, Philippova OE. Disruption of Cationic/Anionic Viscoelastic Surfactant Micellar Networks by Hydrocarbon as a Basis of Enhanced Fracturing Fluids Clean-Up. Nanomaterials. 2020; 10(12):2353. https://doi.org/10.3390/nano10122353
Chicago/Turabian StyleShibaev, Andrey V., Anna L. Aleshina, Natalya A. Arkharova, Anton S. Orekhov, Alexander I. Kuklin, and Olga E. Philippova. 2020. "Disruption of Cationic/Anionic Viscoelastic Surfactant Micellar Networks by Hydrocarbon as a Basis of Enhanced Fracturing Fluids Clean-Up" Nanomaterials 10, no. 12: 2353. https://doi.org/10.3390/nano10122353
APA StyleShibaev, A. V., Aleshina, A. L., Arkharova, N. A., Orekhov, A. S., Kuklin, A. I., & Philippova, O. E. (2020). Disruption of Cationic/Anionic Viscoelastic Surfactant Micellar Networks by Hydrocarbon as a Basis of Enhanced Fracturing Fluids Clean-Up. Nanomaterials, 10(12), 2353. https://doi.org/10.3390/nano10122353

