Dielectric Relaxation Spectroscopy and Synergy Effects in Epoxy/MWCNT/Ni@C Composites
Abstract
1. Introduction
2. Materials and Methods
3. Results
3.1. Sample Characterization
3.2. Dielectric/Electric Properties of Mono-Filled Ni@C/Epoxy Composites
3.2.1. Room-Temperature Region
3.2.2. Temperature-Dependent Properties and Relaxation Time Distributions
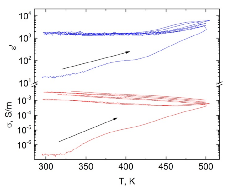
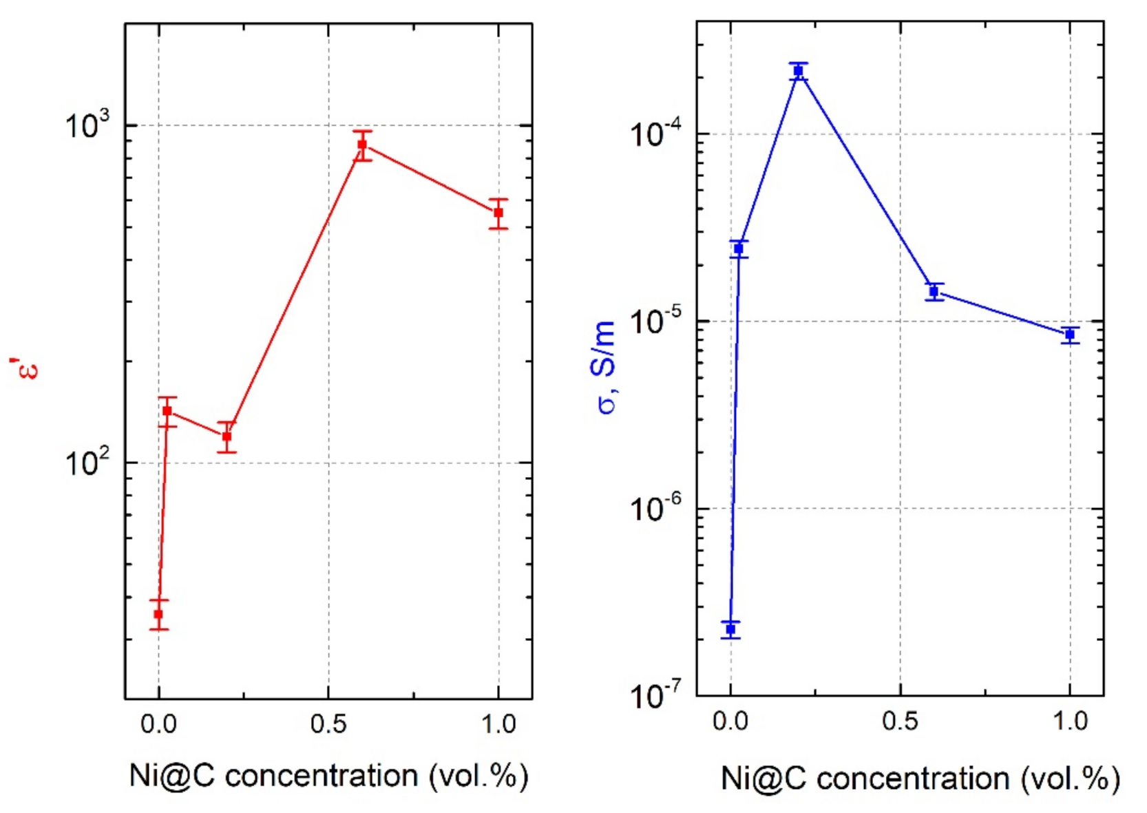
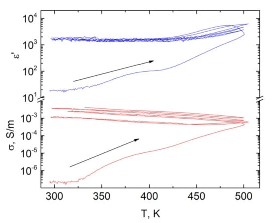
3.3. Hybrid Ni@C/MWCNTs/Epoxy Composites
3.3.1. Room-Temperature Properties
3.3.2. Temperature-Dependent Properties and Relaxation Time Distributions
4. Discussion and Conclusions
Author Contributions
Funding
Institutional Review Board Statement
Informed Consent Statement
Data Availability Statement
Acknowledgments
Conflicts of Interest
References
- Rahman, A.; Ali, I.; Al Zahrani, S.M.; Eleithy, R.H. A review of the applications of nanocarbon polymer composites. Nano 2011, 6, 185–203. [Google Scholar] [CrossRef]
- Zhang, W.; Dehghani-Sanij, A.A.; Blackburn, R.S. Carbon Based Conductive Polymer Composites. J. Mater. Sci. 2007, 42, 3408–3418. [Google Scholar] [CrossRef]
- Pötschke, P.; Dudkin, S.M.; Alig, I. Dielectric Spectroscopy on Melt Processed Polycarbonate—Multiwalled Carbon Nanotube Composites. Polymer 2003, 44, 5023–5030. [Google Scholar] [CrossRef]
- Kirkpatrick, S. Percolation and Conduction. Rev. Mod. Phys. 1973, 45, 574–588. [Google Scholar] [CrossRef]
- Kostarelos, K. The Long and Short of Carbon Nanotube Toxicity. Nat. Biotechnol. 2008, 26, 774–776. [Google Scholar] [CrossRef] [PubMed]
- Chen, J.; Du, X.C.; Zhang, W.B.; Yang, J.H.; Zhang, N.; Huang, T.; Wang, Y. Synergistic Effect of Carbon Nanotubes and Carbon Black on Electrical Conductivity of PA6/ABS Blend. Compos. Sci. Technol. 2013, 81, 1–8. [Google Scholar] [CrossRef]
- Sumfleth, J.; Adroher, X.C.; Schulte, K. Synergistic Effects in Network Formation and Electrical Properties of Hybrid Epoxy Nanocomposites Containing Multi-Wall Carbon Nanotubes and Carbon Black. J. Mater. Sci. 2009, 44, 3241–3247. [Google Scholar] [CrossRef]
- Kranauskaite, I.; Macutkevic, J.; Banys, J.; Talik, E.; Kuznetsov, V.; Nunn, N.; Shenderova, O. Synergy Effects in the Electrical Conductivity Behavior of Onion-like Carbon and Multiwalled Carbon Nanotubes Composites: Electrical Conductivity Behavior of OLC/CNT Composites. Phys. Status Solidi 2015, 252, 1799–1803. [Google Scholar] [CrossRef]
- Shuba, M.V.; Yuko, D.I.; Gorokhov, G.; Meisak, D.; Bychanok, D.S.; Kuzhir, P.P.; Maksimenko, S.A.; Angelova, P.; Ivanov, E.; Kotsilkova, R. Frequency and Density Dependencies of the Electromagnetic Parameters of Carbon Nanotube and Graphene Nanoplatelet Based Composites in the Microwave and Terahertz Ranges. Mater. Res. Express 2019, 6, 095050. [Google Scholar] [CrossRef]
- Kazakova, M.A.; Korovin, E.Y.; Moseenkov, S.I.; Kachalov, A.S.; Sergeenko, D.I.; Shuvaev, A.V.; Kuznetsov, V.L.; Suslyaev, V.I. Electromagnetic Parameters of Composite Materials Based on Polyethylene and Multi-Walled Carbon Nanotubes Modified by Iron Oxide Nanoparticles. Russ. J. Appl. Chem. 2018, 91, 1994–2002. [Google Scholar] [CrossRef]
- Kazakova, M.A.; Moseenkov, S.I.; Golubtsov, G.V.; Korovin, E.Y.; Ishchenko, A.V.; Selyutin, A.G.; Zavorin, A.V.; Zhuravlev, V.A.; Suslyaev, V.I.; Kuznetsov, V.L. Structural and Electromagnetic Properties of Fe2Co-Multi-Walled Carbon Nanotubes-Polystyrene Based Composite. J. Alloys Compd. 2020, 844, 156107. [Google Scholar] [CrossRef]
- Wen, F.; Zhang, F.; Liu, Z. Investigation on Microwave Absorption Properties for Multiwalled Carbon Nanotubes/Fe/Co/Ni Nanopowders as Lightweight Absorbers. J. Phys. Chem. 2011, 115, 14025–14030. [Google Scholar] [CrossRef]
- Lin, H.; Zhu, H.; Guo, H.; Yu, L. Investigation of the Microwave-Absorbing Properties of Fe-Filled Carbon Nanotubes. Mater. Lett. 2007, 61, 3547–3550. [Google Scholar] [CrossRef]
- Che, R.C.; Peng, L.M.; Duan, X.F.; Chen, Q.; Liang, X.L. Microwave Absorption Enhancement and Complex Permittivity and Permeability of Fe Encapsulated within Carbon Nanotubes. Adv. Mater. 2004, 16, 401–405. [Google Scholar] [CrossRef]
- Andreev, A.S.; Kazakova, M.A.; Ishchenko, A.V.; Selyutin, A.G.; Lapina, O.B.; Kuznetsov, V.L.; de Lacaillerie, J.B.D.E. Magnetic and Dielectric Properties of Carbon Nanotubes with Embedded Cobalt Nanoparticles. Carbon 2017, 114, 39–49. [Google Scholar] [CrossRef]
- Wen, B.; Wang, X.; Zhang, Y. Ultrathin and Anisotropic Polyvinyl Butyral/Ni-Graphite/Short-Cut Carbon Fibre Film with High Electromagnetic Shielding Performance. Compos. Sci. Technol. 2019, 169, 127–134. [Google Scholar] [CrossRef]
- Zhan, Y.; Wang, J.; Zhang, K.; Li, Y.; Meng, Y.; Yan, N.; Wei, W.; Peng, F.; Xia, H. Fabrication of a Flexible Electromagnetic Interference Shielding Fe3O4@reduced Graphene Oxide/Natural Rubber Composite with Segregated Network. Chem. Eng. J. 2018, 344, 184–193. [Google Scholar] [CrossRef]
- Zhao, B.; Deng, J.; Zhang, R.; Liang, L.; Fan, B.; Bai, Z.; Shao, G.; Park, C.B. Recent advances on the electromagnetic wave absorption properties of Ni based materials. Eng. Sci. 2018, 3, 5–40. [Google Scholar] [CrossRef]
- Zhang, X.F.; Dong, X.L.; Huang, H.; Liu, Y.Y.; Wang, W.N.; Zhu, X.G.; Lv, B.; Lei, J.P.; Lee, C.J. Microwave Absorption Properties of the Carbon-Coated Nickel Nanocapsules. Appl. Phys. Lett. 2006, 89, 053115. [Google Scholar] [CrossRef]
- Plyushch, A.; Macutkevic, J.; Banys, J.; Kuzhir, P.; Kalanda, N.; Petrov, A.; Silvestre, C.; Uimin, M.; Yermakov, A.; Shenderova, O. Carbon-Coated Nickel Nanoparticles: Effect on the Magnetic and Electric Properties of Composite Materials. Coatings 2018, 8, 165. [Google Scholar] [CrossRef]
- Palaimiene, E.; Macutkevic, J.; Banys, J.; Selskis, A.; Fierro, V.; Celzard, A.; Schaefer, S.; Shenderova, O. Ultra-low percolation threshold in epoxy resin-onion-like carbon composites. Appl. Phys. Lett. 2018, 113, 033105. [Google Scholar] [CrossRef]
- Deng, H.; Lin, L.; Ji, M.Z.; Zhang, S.M.; Yang, M.B.; Fu, Q. Progress on morphological control of conductive network in conductive polymer composites and the use as electroactive multifunctional materials. Prog. Polym. Sci. 2014, 39, 627–655. [Google Scholar] [CrossRef]
- Okotrub, A.V.; Bulusheva, L.G.; Kudashov, A.G.; Belavin, V.V.; Komogortsev, S.V. Arrays of Carbon Nanotubes Aligned Perpendicular to the Substrate Surface: Anisotropy of Structure and Properties. Nanotechnol. Russ. 2008, 3, 191–200. [Google Scholar] [CrossRef]
- US Research Nanomaterials, Inc. Available online: https://www.us-nano.com/inc/sdetail/171 (accessed on 23 February 2021).
- Erokhin, A.V.; Lokteva, E.S.; Yermakov, A.Y.; Boukhvalov, D.W.; Maslakov, K.I.; Golubina, E.V.; Uimin, M.A. Phenylacetylene Hydrogenation on Fe@C and Ni@C Core–Shell Nanoparticles: About Intrinsic Activity of Graphene-like Carbon Layer in H2 Activation. Carbon 2014, 74, 291–301. [Google Scholar] [CrossRef]
- Tsurin, V.A.; Yermakov, A.Y.; Uimin, M.A.; Mysik, A.A.; Shchegoleva, N.N.; Gaviko, V.S.; Maikov, V.V. Synthesis, Structure, and Magnetic Properties of Iron and Nickel Nanoparticles Encapsulated into Carbon. Phys. Solid State 2014, 56, 287–301. [Google Scholar] [CrossRef]
- Meisak, D.; Macutkevic, J.; Plyushch, A.; Kuzhir, P.; Selskis, A.; Banys, J. Dielectric Relaxation in the Hybrid Epoxy/MWCNT/MnFe2O4 Composites. Polymers 2020, 12, 697. [Google Scholar] [CrossRef] [PubMed]
- Bertasius, P.; Meisak, D.; Macutkevic, J.; Kuzhir, P.; Selskis, A.; Volnyanko, E.; Banys, J. Fine Tuning of Electrical Transport and Dielectric Properties of Epoxy/Carbon Nanotubes Composites via Magnesium Oxide Additives. Polymers 2019, 11, 2044. [Google Scholar] [CrossRef]
- Grigas, J. Microwave Dielectric Spectroscopy of Ferroelectrics and Related Materials; Routledge: Abingdon, UK, 2019. [Google Scholar]
- Meisak, D.; Macutkevic, J.; Selskis, A.; Banys, J.; Kuzhir, P. Dielectric properties and electrical percolation in MnFe2O4/epoxy resin composites. Phys. Status Solidi 2020, 217, 1900526. [Google Scholar] [CrossRef]
- Macutkevic, J.; Kuzhir, P.; Paddubskaya, A.; Maksimenko, S.; Banys, J.; Celzard, A.; Fierro, V.; Bistarelli, S.; Cataldo, A.; Micciulla, F. Electrical transport in carbon black-epoxy resin composites at different temperatures. J. Appl. Phys. 2013, 114, 033707. [Google Scholar] [CrossRef]
- Macutkevic, J.; Banys, J.; Matulis, A. Determination of the distribution of relaxation times from dielectric spectra. Nonlinear Anal. 2004, 9, 75–88. [Google Scholar] [CrossRef]
- Macutkevic, J.; Banys, J.; Bussmann-Holder, A.; Bishop, A.R. Origin of polar nanoregions in relaxor ferroelectrics: Nonlinearity, discrete breather formation, charge transfer. Phys. Rev. 2011, 83, 184301. [Google Scholar] [CrossRef]
- Zhou, T.; Wang, X.; Wang, T. Cure reaction of multi-walled carbon nanotubes/diglycidyl ether of bispenol A/2-ethyl-4-methylimidazole (MWCNTs/DGEBA/EMI-2,4) nanocomposites effect of carboxylic functionalization of MWCNTs. Polym. Int. 2009, 58, 445–452. [Google Scholar] [CrossRef]
- Sheng, P.; Sichel, E.K.; Gittleman, J.K. Fluctuation-induced tunneling conduction in carbon-polyvinylchloride composites. Phys. Rev. Lett. 1978, 40, 1197. [Google Scholar] [CrossRef]
















| Sample | Before Annealing | |||
|---|---|---|---|---|
| σ0, S/m | Error | EA/kB, K | Error | |
| 10 vol.% Ni@C | 2.9 × 109 | 1.8 × 109 | 14,314 | 315 |
| 15 vol.% Ni@C | 3.8 × 1012 | 2.0 × 1012 | 13,886 | 259 |
| 25 vol.% Ni@C | 2.7 × 105 | 1.1 × 105 | 7579 | 202 |
| 30 vol.% Ni@C | 2.2 × 106 | 0.6 × 106 | 7436 | 127 |
| Pure epoxy | 1.3 × 104 | 0.4 × 104 | 11,363 | 165 |
| Sample | Before Annealing | After Annealing | ||||||
|---|---|---|---|---|---|---|---|---|
| σ0, S/m | EA/kB, K | σ0, S/m | EA/kB, K | |||||
| Value | Error | Value | Error | Value | Error | Value | Error | |
| 0.09 vol.% MWCNT | 4.1 × 102 | 1.5 × 101 | 9213 | 18 | 5.1 × 102 | 9.9 × 101 | 9284 | 101 |
| 0.09 vol.% MWCNT + 0.025 vol.% Ni@C | 4.8 × 10−4 | 3.5 × 10−5 | 1532 | 35 | 5.7 × 10−4 | 1.3 × 10−5 | 1527 | 10 |
| 0.09 vol.% MWCNT + 0.2 vol.% Ni@C | 1.8 × 10−1 | 0.7 × 10−2 | 3302 | 19 | 4.7 × 10−3 | 1.3 × 10−4 | 1308 | 12 |
| 0.09 vol.% MWCNT + 0.6 vol.% Ni@C | 2.3 × 101 | 2.0 × 101 | 8049 | 450 | 4.0 × 10−3 | 2.9 × 10−4 | 3601 | 35 |
| 0.09 vol.% MWCNT + 1 vol.% Ni@C | 1.9 × 105 | 1.5 × 105 | 12,634 | 393 | 7.1 × 10−3 | 4.4 × 10−4 | 3887 | 30 |
| Sample | σ0, S/m | T1, K | T0, K | T1/T0 | |||
|---|---|---|---|---|---|---|---|
| Value | Error | Value | Error | Value | Error | ||
| 0.09 vol.% MWCNT + 0.025 vol.% Ni@C | 1.8 × 10−5 | 5.2 × 10−8 | 28.1 | 0.6 | 17.7 | 1.1 | 1.6 |
| 0.09 vol.% MWCNT + 0.2 vol.% Ni@C | 2.5 × 10−4 | 7.1 × 10−7 | 28.1 | 0.5 | 4.5 | 0.7 | 6.2 |
| 0.09 vol.% MWCNT + 0.6 vol.% Ni@C | 2.2 × 10−6 | 9.2 × 10−9 | 24.6 | 0.6 | 2.7 | 0.8 | 9.1 |
| 0.09 vol.% MWCNT + 1 vol.% Ni@C | 2.7 × 10−6 | 3.4 × 10−9 | 18.5 | 0.2 | 3.8 | 0.5 | 4.9 |
Publisher’s Note: MDPI stays neutral with regard to jurisdictional claims in published maps and institutional affiliations. |
© 2021 by the authors. Licensee MDPI, Basel, Switzerland. This article is an open access article distributed under the terms and conditions of the Creative Commons Attribution (CC BY) license (http://creativecommons.org/licenses/by/4.0/).
Share and Cite
Meisak, D.; Macutkevic, J.; Selskis, A.; Kuzhir, P.; Banys, J. Dielectric Relaxation Spectroscopy and Synergy Effects in Epoxy/MWCNT/Ni@C Composites. Nanomaterials 2021, 11, 555. https://doi.org/10.3390/nano11020555
Meisak D, Macutkevic J, Selskis A, Kuzhir P, Banys J. Dielectric Relaxation Spectroscopy and Synergy Effects in Epoxy/MWCNT/Ni@C Composites. Nanomaterials. 2021; 11(2):555. https://doi.org/10.3390/nano11020555
Chicago/Turabian StyleMeisak, Darya, Jan Macutkevic, Algirdas Selskis, Polina Kuzhir, and Juras Banys. 2021. "Dielectric Relaxation Spectroscopy and Synergy Effects in Epoxy/MWCNT/Ni@C Composites" Nanomaterials 11, no. 2: 555. https://doi.org/10.3390/nano11020555
APA StyleMeisak, D., Macutkevic, J., Selskis, A., Kuzhir, P., & Banys, J. (2021). Dielectric Relaxation Spectroscopy and Synergy Effects in Epoxy/MWCNT/Ni@C Composites. Nanomaterials, 11(2), 555. https://doi.org/10.3390/nano11020555

