Automated Graphic Divergent Thinking Assessment: A Multimodal Machine Learning Approach
Abstract
1. Introduction
1.1. Divergent Thinking Tests
1.2. DT Scoring Method
1.3. Deep Learning and Multimodality
2. Methods
2.1. Design and Participants
2.2. Annotation
2.3. Manual Scoring
- If all three raters agreed on the score, that score was taken as the image’s rating.
- If two out of three raters were in agreement, and the third rater’s score differed by more than 2 points from the other two (e.g., 0, 0, 3), the score of the two raters who agreed was taken as the image’s rating.
- If the three raters all disagreed or the differences were minor, the average score of the three raters was taken as the novelty score.
2.4. Model Construction
2.4.1. Feature Extraction and Fusion
Text Feature Extraction
Image Feature Extraction
Multimodal Feature Fusion
2.4.2. Model Training
2.4.3. Model Validation
3. Results
3.1. Inter-Rater Reliability and Scoring Scheme Validity
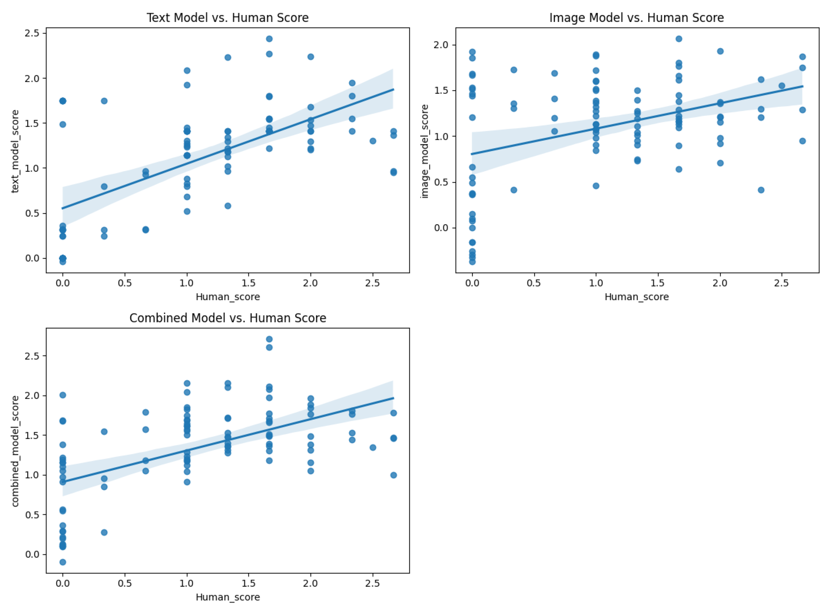
3.2. Automated Scoring Model Performance
- TEXT: text_model_epochs32_v1.keras achieved an MSE of 0.428 and a Pearson correlation of r = 0.910.
- IMG: img_model_epochs34_v0.keras yielded an MSE of 0.558 and r = 0.915.
- COMB: comb_model_epochs36_v2.keras outperformed others with an MSE of 0.350 and r = 0.946.
3.3. Comparison of Automated Scoring with Human Rating
4. Discussion
4.1. Model Performance Analysis and the Advantages of Multimodality
4.1.1. Enhancing Novelty Scoring Through Semantic Features
4.1.2. Strengths and Challenges of Multimodality
4.2. Theoretical and Practical Significance
4.3. Limitations and Prospects
5. Conclusions
Author Contributions
Funding
Institutional Review Board Statement
Informed Consent Statement
Data Availability Statement
Acknowledgments
Conflicts of Interest
References
- Acar, Selcuk, and Mark A. Runco. 2014. Assessing Associative Distance Among Ideas Elicited by Tests of Divergent Thinking. Creativity Research Journal 26: 229–38. [Google Scholar] [CrossRef]
- Acar, Selcuk, and Mark A. Runco. 2017. Latency predicts category switch in divergent thinking. Psychology of Aesthetics, Creativity, and the Arts 11: 43–51. [Google Scholar] [CrossRef]
- Acar, Selcuk, and Mark A. Runco. 2019. Divergent thinking: New methods, recent research, and extended theory. Psychology of Aesthetics, Creativity, and the Arts 13: 153–58. [Google Scholar] [CrossRef]
- Acar, Selcuk, Peter Organisciak, and Denis Dumas. 2024. Automated Scoring of Figural Tests of Creativity with Computer Vision. The Journal of Creative Behavior 59: e677. [Google Scholar] [CrossRef]
- Altemeyer, Boris. 2019. Making the business case for AI in HR: Two case studies. Strategic HR Review 18: 66–70. [Google Scholar] [CrossRef]
- Baer, John. 2011. How Divergent Thinking Tests Mislead Us: Are the Torrance Tests Still Relevant in the 21st Century? The Division 10 Debate. Psychology of Aesthetics, Creativity, and the Arts 5: 309–13. [Google Scholar] [CrossRef]
- Beaty, Roger E., and Dan R. Johnson. 2021. Automating creativity assessment with SemDis: An open platform for computing semantic distance. Behavioral Research 53: 757–80. [Google Scholar] [CrossRef]
- Benedek, Mathias, Caterina Mühlmann, Emanuel Jauk, and Aljoscha C. Neubauer. 2013. Assessment of Divergent Thinking by Means of the Subjective Top-Scoring Method: Effects of the Number of Top-Ideas and Time-on-Task on Reliability and Validity. Psychology of Aesthetics, Creativity, and the Arts 7: 341–49. [Google Scholar] [CrossRef] [PubMed]
- Bringsjord, Selmer. 2011. Psychometric artificial intelligence. Journal of Experimental & Theoretical Artificial Intelligence 23: 271–77. [Google Scholar] [CrossRef]
- Buczak, Philip, He Huang, Boris Forthmann, and Philipp Doebler. 2022. The Machines Take Over: A Comparison of Various Supervised Learning Approaches for Automated Scoring of Divergent Thinking Tasks. The Journal of Creative Behavior 56: 133–46. [Google Scholar] [CrossRef]
- Clark, Philip. M., and Herbert L. Mirels. 1970. Fluency as a pervasive element in the measurement of creativity. Journal of Educational Measurement 7: 83–86. [Google Scholar] [CrossRef]
- Cramond, Bonnie. 1993. The Torrance Tests of Creative Thinking: From design through establishment of predictive validity. In Beyond Terman: Contemporary Longitudinal Studies of Giftedness and Talent. Edited by Rena Faye Subotnik and Karen D. Arnold. Norwood: Ablex, pp. 229–254. [Google Scholar]
- Cropley, David H., and Rebecca L. Marrone. 2022. Automated scoring of figural creativity using a convolutional neural network. Psychology of Aesthetics, Creativity, and the Arts 16: 77–86. [Google Scholar] [CrossRef]
- Cropley, David H., Caroline Theurer, A. C. Sven Mathijssen, and Rebecca L. Marrone. 2024. Fit-for-purpose creativity assessment: Automatic scoring of the Test of Creative Thinking—Drawing Production (TCT-DP). Creativity Research Journal, 1–16. [Google Scholar] [CrossRef]
- Forthmann, Boris, Sue Hyeon, Paek Denis Dumas, Baptiste Barbot, and Heinz Holling. 2020. Scrutinizing the basis of originality in divergent thinking tests: On the measurement precision of response propensity estimates. British Journal of Educational Psychology 90: 683–99. [Google Scholar] [CrossRef]
- Guilford, Joy Paul. 1967. The Nature of Human Intelligence. London: McGraw-Hill. [Google Scholar]
- Hussein, Mohamed Abdellatif, Hesham Hassan, and Mohammad Nassef. 2019. Automated language essay scoring systems: A literature review. PeerJ Computer Science 5: e208. [Google Scholar]
- Kim, Kyung Hee. 2006. Can We Trust Creativity Tests? A Review of the Torrance Tests of Creative Thinking (TTCT). Creativity Research Journal 18: 3–14. [Google Scholar] [CrossRef]
- LaVoie, Noelle, James Parker, Peter J. Legree, Sharon Ardison, and Robert N. Kilcullen. 2019. Using Latent Semantic Analysis to Score Short Answer Constructed Responses: Automated Scoring of The Consequences Test. Educational and Psychological Measurement 80: 399–414. [Google Scholar] [CrossRef]
- Mastria, Serena, Sergio Agnoli, Marco Zanon, Selcuk Acar, Mark A. Runco, and Giovanni Emanuele Corazza. 2021. Clustering and switching in divergent thinking: Neurophysiological correlates underlying flexibility during idea generation. Neuropsychologia 158: 107890. [Google Scholar] [CrossRef]
- Millar, Garnet. W. 2002. The Torrance Kids at Mid-Life. Westport: Ablex. [Google Scholar]
- Mujtaba, Dena F., and Nihar R. Mahapatra. 2021. Multi-Task Deep Neural Networks for Multimodal Personality Trait Prediction. Paper presented at 2021 International Conference on Computational Science and Computational Intelligence (CSCI), Las Vegas, NV, USA, December 15–17; pp. 13–91. [Google Scholar] [CrossRef]
- Nusbaum, Emily C., and Paul J. Silvia. 2011. Are intelligence and creativity really so different?: Fluid intelligence, executive processes, and strategy use in divergent thinking. Intelligence 39: 36–45. [Google Scholar]
- Organisciak, Peter, Selcuk Acar, Denis Dumas, and Kelly Berthiaume. 2023. Beyond semantic distance: Automated scoring of divergent thinking greatly improves with large language models. Thinking Skills and Creativity 49: 101356. [Google Scholar] [CrossRef]
- Patterson, John D., Baptisete Barbot, James Lloyd-Cox, and Roger E. Beaty. 2024. AuDrA: An automated drawing assessment platform for evaluating creativity. Behavior Research Methods 56: 3619–36. [Google Scholar] [CrossRef]
- Paul, Elliot Samuel, and Scott Barry Kaufman. 2014. The Philosophy of Creativity: New Essays. Oxford: Oxford University Press. [Google Scholar]
- Plucker, Jonathan A. 1999. Is the proof in the pudding? Reanalyses of Torrance’s (1958 to present) longitudinal data. Creativity Research Journal 12: 103–14. [Google Scholar]
- Plucker, Jonathan A., Meihua Qian, and Shujuan Wang. 2011. Is Originality in the Eye of the Beholder? Comparison of Scoring Techniques in the Assessment of Divergent Thinking. The Journal of Creative Behavior 45: 1–22. [Google Scholar] [CrossRef]
- Plucker, Jonathan A., Meihua Qian, and Stephanie L. Schmalensee. 2014. Is What You See What You Really Get? Comparison of Scoring Techniques in the Assessment of Real-World Divergent Thinking. Creativity Research Journal 26: 135–43. [Google Scholar] [CrossRef]
- Reiter-Palmon, Roni, Boris Forthmann, and Baptiste Barbot. 2019. Scoring divergent thinking tests: A review and systematic framework. Psychology of Aesthetics, Creativity, and the Arts 13: 144–52. [Google Scholar] [CrossRef]
- Runco, Mark A. 2008. Commentary: Divergent Thinking Is Not Synonymous With Creativity. Psychology of Aesthetics, Creativity, and the Arts 2: 93–96. [Google Scholar] [CrossRef]
- Runco, Mark A., Selcuk Acar, and Nur Cayirdag. 2014. A closer look at the creativity gap and why students are less creative at school than outside of school. Thinking Skills and Creativity 11: 67–75. [Google Scholar]
- Silvia, Paul J., Beate P. Winterstein, John T. Willse, Christopher M. Barona, Joshua T. Cram, Karl I. Hess, Jenna L. Martinez, and Crystal A. Richard. 2008. Assessing creativity with divergent thinking tasks: Exploring the reliability and validity of new subjective scoring methods. Psychology of Aesthetics, Creativity, and the Arts 2: 68–85. [Google Scholar]
- Snyder, Allan, Jhon Mitchell, Terry Bossomaier, and Gerry Pallier. 2004. The creativity quotient: An objective scoring of ideational fluency. Creativity Research Journal 16: 415–20. [Google Scholar]
- Sung, Yao-Ting, Hao-Hsin Cheng, Hou-Chiang Tseng, Kuo-En Chang, and Shu-Yen Lin. 2024. Construction and validation of a computerized creativity assessment tool with automated scoring based on deep-learning techniques. Psychology of Aesthetics, Creativity, and the Arts 18: 493–509. [Google Scholar] [CrossRef]
- Torrance, E. Paul. 1972. Predictive validity of the Torrance tests of creative thinking. The Journal of Creative Behavior 6: 236–52. [Google Scholar] [CrossRef]
- Torrance, E. Paul. 1974. The Torrance Tests of Creative Thinking—Norms, Technical Manual Research Edition—Verbal Tests, Forms A and B—Figural Tests, Forms A and B. Princeton: Personnel Press. [Google Scholar]
- Torrance, E. Paul, and T. Wu. 1981. A comparative longitudinal study of the adult creative achievements of elementary school children identified as highly intelligent and as highly creative. Creative Child and Adult Quarterly 6: 71–76. [Google Scholar]
- Wang, Wei, Julie V. Dinh, Kisha S. Jones, Siddharth Upadhyay, and Jun Yang. 2022. Corporate Diversity Statements and Employees’ Online DEI Ratings: An Unsupervised Machine-Learning Text-Mining Analysis. Journal of Business and Psychology 38: 45–61. [Google Scholar]
- Yamada, Hiroyuki, and Alice Yu-Wen Tam. 1996. Prediction study of adult creative achievement: Torrance’s longitudinal study of creativity revisited. Journal of Creative Behavior 30: 144–49. [Google Scholar]












Disclaimer/Publisher’s Note: The statements, opinions and data contained in all publications are solely those of the individual author(s) and contributor(s) and not of MDPI and/or the editor(s). MDPI and/or the editor(s) disclaim responsibility for any injury to people or property resulting from any ideas, methods, instructions or products referred to in the content. |
© 2025 by the authors. Licensee MDPI, Basel, Switzerland. This article is an open access article distributed under the terms and conditions of the Creative Commons Attribution (CC BY) license (https://creativecommons.org/licenses/by/4.0/).
Share and Cite
Zhang, H.; Dong, H.; Wang, Y.; Zhang, X.; Yu, F.; Ren, B.; Xu, J. Automated Graphic Divergent Thinking Assessment: A Multimodal Machine Learning Approach. J. Intell. 2025, 13, 45. https://doi.org/10.3390/jintelligence13040045
Zhang H, Dong H, Wang Y, Zhang X, Yu F, Ren B, Xu J. Automated Graphic Divergent Thinking Assessment: A Multimodal Machine Learning Approach. Journal of Intelligence. 2025; 13(4):45. https://doi.org/10.3390/jintelligence13040045
Chicago/Turabian StyleZhang, Hezhi, Hang Dong, Ying Wang, Xinyu Zhang, Fan Yu, Bailin Ren, and Jianping Xu. 2025. "Automated Graphic Divergent Thinking Assessment: A Multimodal Machine Learning Approach" Journal of Intelligence 13, no. 4: 45. https://doi.org/10.3390/jintelligence13040045
APA StyleZhang, H., Dong, H., Wang, Y., Zhang, X., Yu, F., Ren, B., & Xu, J. (2025). Automated Graphic Divergent Thinking Assessment: A Multimodal Machine Learning Approach. Journal of Intelligence, 13(4), 45. https://doi.org/10.3390/jintelligence13040045

