Abstract
Recently, artificial intelligence (AI) has been adopted in a number of Internet of Things (IoT) application systems to enhance intelligence. We have developed a ready-made server with rich built-in functions to collect, process, display, analyze, and store data from various IoT devices, the SEMAR (Smart Environmental Monitoring and Analytics in Real-Time) IoT application server platform, in which various AI techniques have been implemented to enhance its capabilities. In this paper, we present an application of SEMAR to a drone-based wall inspection system using an object detection AI model called You Only Look Once (YOLO). This system aims to detect wall cracks at high places using images taken via a camera on a flying drone. An edge computing device is installed to control the drone, sending the taken images through the Kafka system, storing them with the drone flight data, and sending the data to SEMAR. The images are analyzed via YOLO through SEMAR. For evaluations, we implemented the system using Ryze Tello for the drone and Raspberry Pi for the edge, and we evaluated the detection accuracy. The preliminary experiment results confirmed the effectiveness of the proposal.
1. Introduction
Nowadays, the Internet of Things (IoT) has gained significant interest from both industrial and academic communities. With emerging device and networking technologies, IoT enables seamless interactions between the physical world and the digital world through the Internet [1]. It handles a variety of sensor devices and network connections across multiple domains [2]. As infrastructures for IoT application systems become ubiquitous, their success depends on abilities to collect, manage, and analyze data. Since an IoT application system needs to process a large volume of data in real time, efficient data handling is critical in designing and implementing it.
To enhance the capability of an IoT application system, artificial intelligence (AI) has been integrated [3,4]. AI has significantly gained popularity with its capabilities of processing a large volume of data with high accuracy. AI allows a system for learning data that can be operated autonomously and make intelligent decisions like human behaviors [5,6]. AI makes advanced sensor data analysis feasible by identifying data patterns, extracting valuable information, and making rapid decisions based on it [7]. These advantages will significantly enhance the potential of AI integrations across various IoT applications.
One potential application of this AI integration in an IoT application system is a building wall inspection system using drones. Due to their versatility, drones can expand the coverage area for wall monitoring. With the AI integration, it is expected that drones can autonomously fly and detect structural defects such as cracks in buildings.
Previously, we developed an IoT application server platform called Smart Environmental Monitoring and Analytics in Real-Time (SEMAR). SEMAR is equipped with rich built-in functions for collecting, processing, displaying, analyzing, and storing data from various IoT devices [8]. Some functions are used for data analytics, aggregations, communications, and synchronizations in Big Data environments.
Moreover, SEMAR allows the addition of new plug-in functions through the Representational State Transfer Application Programming Interface (REST API) to access sensor data. In addition, AI models have been reviewed so that they can be implemented in SEMAR to enhance its capabilities [9]. Our review results show that AI capabilities can be implemented in an IoT platform through services such as AI Model Management, Real-Time AI, and Batch AI services.
Although SEMAR provides a robust platform for a lot of IoT application systems, the current implementation lacks functional supports for handling real-time processing with large amounts of data. This capability is essential for IoT applications such as drone-based surveillance systems.
In this paper, we present an application of SEMAR to a drone-based wall inspection system using an object detection AI model called You Only Look Once (YOLO) [10,11]. For this application, we trained the YOLO model and uploaded it to the SEMAR server through the function for AI Model Management. In our preliminary implementation, this system was designed to find wall cracks at high places using images taken via a camera on a flying drone. An edge computing device was installed to control the drone, transmit the images using the Kafka communication protocol from the drone to the edge, save them with the drone flight data in the edge, and also send the data to the SEMAR server. On the server, the Real-Time AI function continuously analyzes the stored images from the edge to detect cracks through an offline YOLO model. It stores the results in the database and can visualize them through user interfaces.
For evaluations of the proposal, we implemented the prototype system using Ryze Tello for the drone and Raspberry Pi for the edge, and we conducted experiments by running it to detect cracks at the #2 Engineering Building at Okayama University, Japan. Additionally, we compared performances between two data communication protocols, Kafka and RabbitMQ, in terms of efficiency and resource usage. Our experimental results confirmed the effectiveness of the implemented prototype system.
The rest of this paper is organized as follows: Section 2 presents related works. Section 3 briefly reviews our previous works on SEMAR. Section 4 presents the implementation of the AI functions in SEMAR. Section 5 presents the application of a drone-based wall crack detection system to SEMAR. Section 6 evaluates the application. Finally, Section 7 concludes this paper with a discussion of future works.
2. Related Works
In this section, we briefly present an overview of related works in the literature.
In [12], Munawar et al. reviewed methodologies for crack detection using image processing and machine learning approaches. Their findings indicate that the performance of image processing techniques is influenced by factors such as image resolution, illumination, and noise levels. Meanwhile, machine learning approaches have shown promising results, depending on the size of the dataset and the availability of computational resources. Furthermore, the authors highlighted that a key challenge in crack detection research lies in the development of systems capable of real-time detection.
In [13], Ali et al. highlighted the potential of deep learning methods for crack detection applications. They identified several key parameters to consider, including databases, processing hardware and software, network architecture, and balanced image datasets. The implementation of deep learning methods presents significant challenges due to the need for large amounts of memory and efficient processing devices. To address these challenges, it is necessary to optimize computational resources and algorithms to enable practical applications. For this purpose, our approach performs the detection process in the cloud server environment.
In [14], Su et al. evaluated the performance of the YOLO algorithm for vehicle-based crack detection in civil infrastructures. The research employed a vehicle-mounted camera and edge computing devices to predict cracks in real time. The system aims to improve road safety by reducing the risk of accidents caused by undetected cracks and improving overall driving conditions. The authors highlighted the feasibility of the YOLO model in providing accurate and rapid crack detection.
In [15], Yu et al. proposed the use of YOLOv4 object detection models for the detection of bridge cracks using drones. The model was tailored to detect cracks in concrete structures, and it addressed the challenge of unbalanced positive and negative samples. To ensure suitability for real-time applications, the authors implemented several optimizations to improve both detection speed and performance.
In [16], Jung et al. presented the implementation of the YOLO model for object detection in drone images. The model was trained on a diverse dataset of drone images captured under different environmental conditions. This ensures robustness in various scenarios. However, the proposed system was not evaluated in a real-world environment. As a result, important aspects, such as data communication performance and the efficiency of the object detection process in practical applications, have not been evaluated.
In [17], Zhang introduced object detection algorithms for drone-captured images using the YOLO model. The authors improved the model by modifying its network structure. This improvement successfully addressed the challenges of detecting drone-captured images, including small targets, different scales, and complex backgrounds.
In [18], Kucukayan et al. proposed an indoor human detection system by integrating the YOLO algorithm with drone technology. Developed for Industry 4.0 applications, the system allows drones to monitor specific rooms or areas and detect small objects during surveillance. The approach relies on advanced image processing and AI algorithms to efficiently extract useful information from images. The study evaluated single-stage detectors such as the YOLO series. The results proved that the UAV-based object detection system applying YOLOv7 performs well for real-time applications on edge devices. It demonstrated that the model can effectively detect small objects, even at a resolution of 416 × 416, making it suitable for limited-resource environments.
In [19], Patel et al. analyzed the performance of data communication services for video streaming applications in cyber–physical systems. These services were designed to transfer video frames from the source to a cloud server and then to the end user. The experimental results showed that both RabbitMQ and Kafka communication protocols are suitable for this use case. Kafka was able to send video frames as JSON objects to multiple consumers while maintaining the order of messages. On the other hand, RabbitMQ ensured message delivery but did not preserve the order, resulting in lower fault tolerance compared to Kafka. To address this limitation, additional methods are required to effectively manage the order of messages.
In [20], Liao et al. proposed a drone-based marine trash detection system that used the YOLO model for efficient trash detection. The system worked by collecting aerial images of coastal areas. The drone was equipped with an embedded system to perform trash detection using the YOLO model. The detection results were transmitted to a server via a Kafka communication service and stored in a database. Although this approach shares similarities with our proposed system, our system provides a more versatile and dynamic solution by allowing users to flexibly manage the AI model, supporting not only YOLO but also various other object detection techniques based on their specific requirements.
In [21], Karpiuk et al. implemented Kafka communication to support near-real-time image analysis. Kafka was utilized to facilitate the data flow across a cluster of nodes. This approach reduced the risk of data loss and ensured fault tolerance, even under heavy workloads. The authors highlighted key parameters for achieving optimal performance in real-world scenarios, such as image resolution, image complexity, computational resources, hardware constraints, and network latency.
3. Review of SEMAR IoT Application Server Platform
In this section, we review the SEMAR IoT application server platform.
3.1. System Overview
We have developed an IoT application server platform for integrating independent IoT application systems called SEMAR [8]. Figure 1 shows the system overview of SEMAR. It offers rich built-in functions for data analysis, processing, communications, synchronization, and visualization help deployments of IoT application systems. The functions in SEMAR are grouped into data input, data processing, and data output components, which are managed via the management system.
Figure 1.
Design Overview of SEMAR IoT application server platform.
3.2. Data Communications
Through MQTT and HTTP-POST communication protocols, the data input group accepts the receipt of data from IoT devices in the JavaScript Object Notation (JSON) format. When SEMAR receives data, the data aggregator function converts them into a consumable format, extracts the necessary information, and stores the result in the MongoDB database [22]. The data processing group provides the data filter and data synchronization functions. The data filter function reduces noise and inaccuracy in data using digital filtering techniques. The data synchronization function integrates the data from different resources into a single data record. The data output group prepares the web-based user interface to visualize the data. These functions can be used without modifying their source codes. Additionally, the REST API service is provided to facilitate data sharing and integration with plug-in functions or other systems, using HTTP POST communications in the JSON format.
3.3. Edge Device Framework
In [23], we introduced the edge device framework to enhance device utilizations by allowing the remote configuration of the edge through SEMAR under the device management function. It allows the creation, updating, and deletion of the edge configuration file by accessing the functions through the user interface.
4. Implementation of AI Functions in SEMAR
In this section, we present an implementation of AI functions in SEMAR.
4.1. Implementation Overview
Figure 2 illustrates the system overview of implementations of AI functions in SEMAR. The system consists of AI Model Management, Real-Time AI, and Batch AI functions. The system allows users to generate AI models outside the environment of the SEMAR platform using collected sensor data as datasets. The AI Model Management function manages the AI models generated by users for deployments in the system. The Real-Time AI function provides a data processing capability using AI in real-time scenarios. The Batch AI function allows data processing using existing data in the database through AI models. In addition, by integrating the Edge Device Framework [23], AI models can also be implemented on edge computing devices.
Figure 2.
Design overview of AI techniques in SEMAR IoT application server platform.
4.2. AI Model Management
The implementation of an AI model requires a structured approach. It includes defining goals, collecting datasets, building models, and deploying them. SEMAR should be designed to facilitate the integration of AI models into applications. Then, we implement the AI Model Management function to manage, add, remove, and deploy AI models through the interface.
This function allows the generation of AI models outside of SEMAR. First, a user accesses to sensor data stored in SEMAR and downloads it for the data training process of the AI model. Then, the generated AI model is uploaded to SEMAR through the interface. Here, it is necessary to specify the model information, such as the name, version, inputs, outputs, and type of AI model. Once the AI model is registered, the function stores it in storage.
4.3. Real-Time and Batch AI Processing
Two services are considered to perform data processing using an AI model, namely the Real-Time AI service and the Batch AI service.
4.3.1. Real-Time AI Processing
The Real-Time AI service is designed for IoT applications that require immediate AI processing. It connects the IoT cloud gateway and the data aggregator to enable efficient data stream processing. When the IoT cloud gateway receives data, the data aggregator verifies the data format in standards such as JPEG, WAV, text, or numeric. It then sends the data to the Real-Time AI service through the Kafka communication protocol for image frames or audio data. Finally, the processed results are stored in the database.
4.3.2. Batch AI Processing
The Batch AI service is designed to process AI tasks on existing data stored in the system. This service can handle large datasets that cannot be processed in real-time scenarios. Unlike Real-Time AI services that process data automatically, for this service, it is necessary to manually select specific data that will be processed through the user interface and select the appropriate AI model to perform processing. The platform systematically applies the AI model to the selected data, produces the results, and saves them in the database. By incorporating the Real-Time AI and Batch AI services, SEMAR provides flexible solutions for both immediate processing and post-processing tasks.
4.4. Implementation in Edge Device
In [23], we proposed an extension of SEMAR to the edge device framework. This framework allows the remote configuration of the edge device from the server. The framework offers capabilities for connecting to multiple IoT sensors with standardized formats for data processing and providing various output mechanisms for utilizing the collected data.
In this study, we enhance the data processing component by integrating lightweight AI models on edge devices. Figure 2 shows the process of obtaining the AI model from the SEMAR server through HTTP-POST communication. Then, the main service of the framework reads the AI model and initiates the collection of sensor data. After the sensor data are received, the framework will process the AI model.
5. Application for Drone-Based Wall Inspection
In this section, we present the application of SEMAR with the AI implementation to a drone-based wall inspection system.
5.1. System Overview
Figure 3 illustrates the system overview of the application for the drone-based wall inspection. The IoT gateway using the Kafka communication protocol, the Real-Time AI function for wall crack detections, data storage, and user interfaces are implemented in SEMAR.
Figure 3.
System overview of drone-based wall inspection system.
We built the system based on a microservices architecture [24] to simplify the processes involved in software development and operation. This approach divides the system into independent small services. Docker [25] was used to package each service and its dependencies into Docker containers. It can prevent compatibility issues between different environments, as Docker containers contain all the necessary dependencies to run the service. It also allows us to scale the system more easily, as each service can be deployed and managed independently.
5.2. Drones and Edge Devices
Flying drones collect the image data around the target building. Edge devices are placed around the building to control the drones and receive data from them. A mesh network is implemented for connecting the drones flying around the field. A drone transmits the flight data and images to an edge device through UDP communication over a Wi-Fi connection. Once an edge device receives data, it resizes the image frames into pixels and sends them to the SEMAR server over ethernet connections.
5.3. Communication Protocol
Previously, the IoT gateway only supported MQTT and HTTP-POST communication protocols for receiving sensor data. However, these protocols are limited in the amount of data that they can transfer. To handle large data, we adopt the Kafka [26] and RabbitMQ [27] protocols in the IoT Gateway. Kafka is the communication protocol designed for image streaming applications [28]. Like MQTT, each message in Kafka is identified by a topic. A Kafka broker receives messages from producers and distributes them to consumers by the topic. For this purpose, the Confluent Kafka is utilized in this research.
One key strength of Kafka is its scalability. It is able to scale by adding more brokers to the cluster, allowing it to handle large amounts of data from multiple producers and consumers. In addition, it provides disk-based retention to ensure that messages are reliably stored for a set period of time. Thus, it prevents data loss due to system problems. With these features, Kafka is well suited to managing large data streams and supporting near-real-time processing, which is essential for applications such as image analysis and streaming.
RabbitMQ is an open-source message broker that acts as middleware for various applications. This service is built in the Erlang programming language, and it implements the Advanced Message Queuing Protocol (AMQP) for reliable message delivery and asynchronous communication. A RabbitMQ broker operates with two primary components, including Exchanges and Queues. Exchanges are responsible for determining how messages are routed and distributed, and they receive messages from producers and forward them to one or more queues according to routing rules. Queues act as buffers to temporarily store messages until consumers are ready to receive them.
Each message in RabbitMQ is identified by a routing key, which helps the exchange decide how to route the message to the matching queue based on its type and routing rules. This allows for flexible message routing. In addition, RabbitMQ is designed with routing flexibility, clustering, and message tracking capabilities. This provides a reliable and scalable solution, particularly for distributed systems where different components need to communicate asynchronously.
The data aggregator for the Kafka and RabbitMQ communication protocols is also implemented. It receives the flight data and the captured images from an edge device. Then, it transmits them into the Real-Time AI function and data storage. It visualizes the results of the Real-Time AI AI function in the user interface.
5.4. Real-Time AI Functions for Wall Crack Detection
According to [9], the YOLO algorithm has gained popularity for its efficiency in real-time or near-real-time scenarios. Therefore, we leveraged the YOLO algorithm for object detection in the Real-Time AI function. For this purpose, the YOLO model was trained using the open-source crack datasets [29]. Then, it was uploaded to the SEMAR server, and it was deployed in the Real-Time AI function to perform crack detection.
The purpose of this IoT application system is to continuously detect cracks within images captured via drones, which is achieved through two processes, as shown in Figure 4. The first process receives the image frames from the data aggregator and organizes them into a sequence queue. The second process performs the object detection on each image frame using the trained YOLO model. When a cracked object is detected in an image, the system stores the results in the data storage. Both processes are performed in parallel, ensuring that the functions continue to receive data without interruption. This approach aims to reduce processing time by enabling continuous data flow.
Figure 4.
Flow of Real-Time AI function for detecting wall cracks.
5.5. Data Storage and User Interface
For the flight data, the data aggregator retrieves the information from the IoT gateway and stores it in a MongoDB database. The image frames are saved in the data storage. The user interface displays the crack detection results and the flight data.
6. Evaluation
In this section, we evaluate the application of the SEMAR IoT application platform to the drone-based wall inspection system.
6.1. Experimental Scenario
In this study, we evaluated the performance of communication protocols and the wall crack detection process. First, we compared the performance of Kafka and RabbitMQ in transmitting image frames in various conditions. The experiments focused on investigating the transmission time and system resource utilization, including CPU and memory (RAM) usage, while transmitting data from the drone at different frame rates. These parameters were selected to assess the efficiency and stability of communication protocol services in managing image data transmission under different scenarios, ranging from low to high frame rates.
For this purpose, the preliminary experiments were conducted in the #2 Engineering Building of Okayama University. We utilized Ryze Tello for the drone and Raspberry Pi for the edge device. The Ryze Tello drone flew inside this building to capture wall images and sent them to the edge device. The edge device converted the image into pixels and sent it into the SEMAR server through communication protocols at 1, 2, 4, 10, and 12 frames per second (FPS). Table 1 presents the server specification in the experiments.
Table 1.
Device and software specifications for SEMAR server.
In order to retrieve information about server resources, Prometheus was used with Node Exporter as its key component [30,31]. Node Exporter collects data on various server resources, including CPU usage, memory, and disk and network activity. Then, it transmits these data to Prometheus as an interface to visualize the data.
The second experiment aimed to evaluate the performance of the wall crack detection model. In this study, we employed the YOLOv7 object detection algorithm to identify wall cracks in images captured via drones. The YOLOv7 model consists of three main components, including the backbone network, the bottleneck layer, and the detection network [32]. The backbone network primarily performs feature extraction. It is composed of standard convolutional layers, max-pooling layers, and Extended Efficient Layer Aggregation Network (ELAN) modules to generate rich feature maps. The bottleneck layer refines these extracted features to improve the object detection performance. Finally, the detection network acts as a classifier and regressor, providing the final predictions including the bounding box coordinates, class probabilities, and confidence scores for the detected objects. To ensure consistency in feature extractions, each image in the dataset was resized to pixels. This resizing not only standardizes the input dimensions for the model but also reduces the computational complexity. Thus, it allows for more efficient processing during both training and detection (recognition).
The standard evaluation of a YOLOv7 model is measured by the values of recall, precision, F1-score, and mean average precision (mAP) [33]. In this study, we used these metrics to evaluate the performance of the YOLOv7 model in detecting cracks in images. Recall represents the performance of the model to detect all the relevant objects in the validation image. Precision refers to the ability of the model to identify the proportion of detected objects that are correct over the ground truth. The F1-score evaluates the first harmonic mean between recall and precision. The mAP metric captures the accuracy and coverage of the object detection bounding box.
In the object detection context, the intersection over union (IoU) is used to validate the detected objects against the ground truth objects [34]. This method identifies a detected object as a correct one if the IoU between the detected object’s bounding box and the ground truth bounding box meets a specified threshold (). In this study, we considered a threshold of .
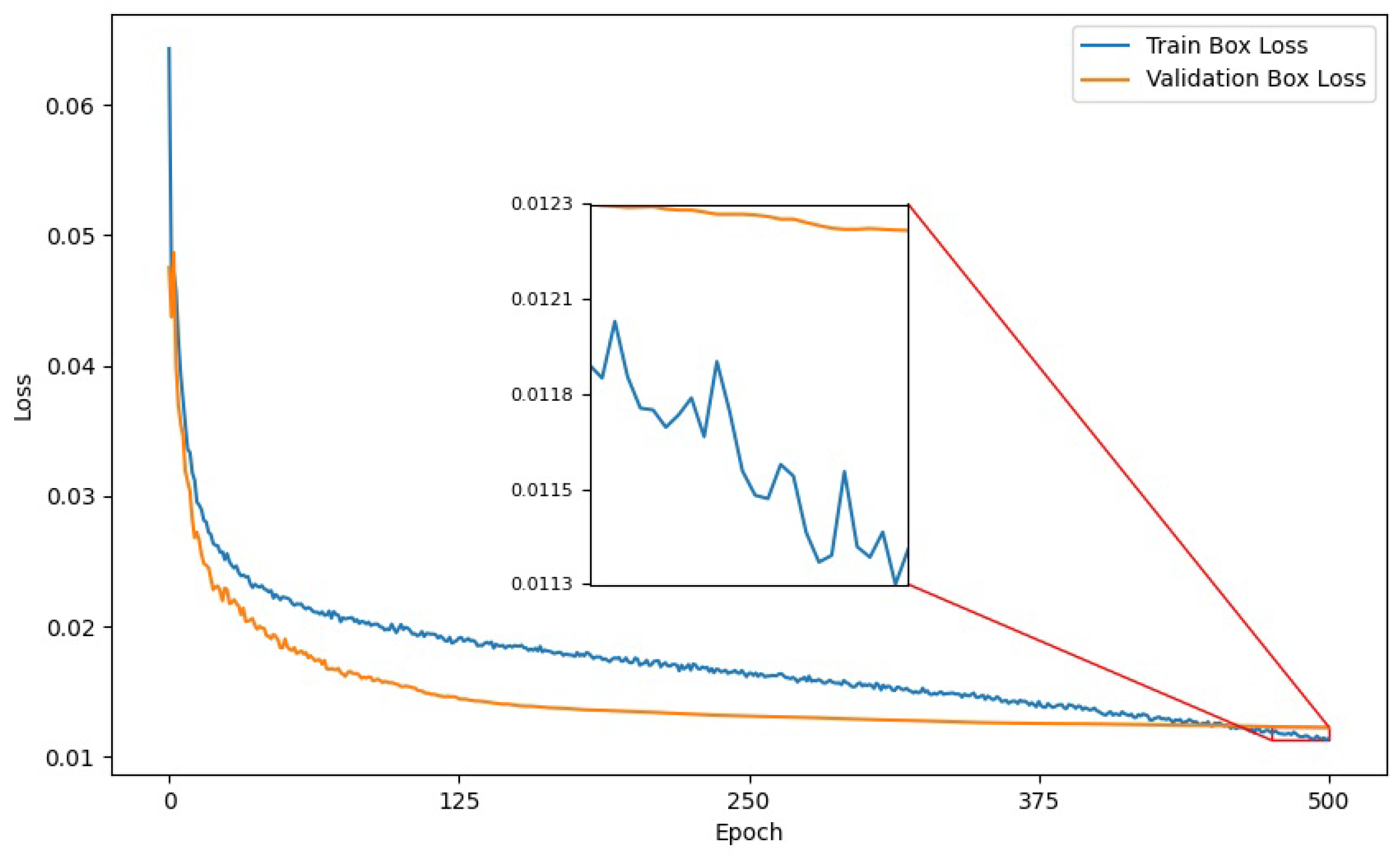
To further evaluate the model’s performance, we also validated it by applying the Box Loss validation method [35]. This method measures the difference in location and size between the detected bounding box and the ground truth bounding box. It offers an important indication of how well the model can accurately locate cracks in images captured via the drone. We used a dataset consisting of 5704 crack images for training and 1427 images for validation, and we trained the model for 500 epochs.
In addition, we also measured the time required for the model to detect cracks in drone-captured images. After training the model, we uploaded it to the SEMAR server and deployed it in the Real-Time function of the server for continuous crack detections. After experiments, we measured the average inference time by using the time between one instance of image reception from the communication service at the model and the detection result output.
6.2. Communication Protocol Results
Figure 5 shows the average time that the Kafka and RabbitMQ communication protocols needed to transmit the image frames from the edge device to the SEMAR server until the server received the final ones. It shows that Kafka and RabbitMQ achieve quite similar performances at any rate. In both protocols, the required processing and transmission time becomes longer as the rate increases. At , the average transmission time increases significantly compared at , at which Kafka required s, and RabbitMQ required slightly longer at s. This finding demonstrates that Kafka performs slightly better at this medium workload.
Figure 5.
Comparison of average total transmission time at different .
Figure 6 illustrates the analysis of RAM usage at different levels for the Kafka and RabbitMQ communication protocols. The results show that Kafka consistently consumes significantly more RAM than RabbitMQ, with differences up to GB. This is due to the architecture of Kafka, which is built on the Java Virtual Machine (JVM) and consequently requires more memory resources to operate.
Figure 6.
Average RAM use of Kafka and RabbitMQ communication protocols.
An analysis of the CPU usage was also conducted during the experiments. Figure 7 presents the usage rate of each CPU core at the rates of 1, 2, 5, 10, and 12. The results obtained at , , and indicate that the CPU usage rate for the Kafka and RabbitMQ communication protocols are similar. However, the results at and show that the CPU usage rate for Kafka is slightly lower compared to RabbitMQ. This indicates that Kafka demands lower processing power at higher frame rates and offers stronger features and durability than RabbitMQ. Its efficient performance at higher frame rates demonstrates the better scalability and responsiveness of Kafka, making it more suited for applications requiring frequent data transmissions.
Figure 7.
Comparison of average CPU usage rate for communication protocols.
6.3. Wall Crack Detection Results
Next, we assessed wall crack detection results. First, the YOLO model was evaluated by using standard four metrics for object detection evaluations. The metrics consist of recall, precision, F1-score, and mAP. To calculate these metrics, the results of true positives, false negatives, and false positives are necessary. True positives represent the correctly detected objects that passed the validation process based on the IoU threshold with the ground truth. False negatives represent the ground truth objects that were not detected. False positives refer to the objects that were incorrectly detected.
The calculation formulas for recall and precision are given as follows:
where , , and represent the number of true positive cracks, the number of false positive cracks, and the number of false negative cracks, respectively.
Then, the F1-score is calculated as follows:
Our evaluation results show that the adopted YOLO model correctly identified 1683 true positive cracks, 181 false negative ones, and 125 false positive ones from the 1427 validation images. Therefore, the precision of the model is , the recall is , and the F1-score is . These results indicate that the adopted YOLO model is reliable for this crack detection application with high accuracy and completeness. Furthermore, the mAP of this generated model is , which demonstrates that the model can accurately and consistently detect crack objects in given images.
Figure 8 shows the results of the Box Loss validation method obtained during the training process. It achieved for the final validation and for the training, respectively. These results indicate that the model performs well in both the training and validation phases. The small difference between the training and validation box losses indicates that this model can perform well for new images.
Figure 8.
Box Loss validation results of generated model.
To evaluate the proposed system, one Ryze Tello drone was controlled to capture images of wall cracks. Figure 9 illustrates a position of the drone while capturing the image of wall cracks during the experiment. The drone continuously transmitted the images to the edge computing device using Raspberry Pi. This edge device sent the data to the SEMAR server through the Kafka communication protocol.
Figure 9.
Photo of drone capturing image of wall cracks.
In the server, the Real-Time AI function analyzes the images transmitted from the edge device. When this function receives the images captured via the drone, it detects the cracks by applying the trained YOLO model to them. Finally, the data including the detecting results are stored in the data storage in the server. They can be visualized through a web browser for the user interface.
Figure 10 shows the user interface in a browser to show the captured image and the crack detection result. In the detection result image, the bounding box indicates the location of the detected crack, the crack is highlighted, and the class label (“crack”) and the confidence score () are denoted.
Figure 10.
User interface for detection of SEMAR server.
Figure 11 illustrates the computation time of the Real-Time AI function in detecting crack images, for which the average time was 857 ms. Therefore, the use of the YOLOv7 algorithm with the drone-captured images can be promising for wall drone-based inspection systems.
Figure 11.
Computation time of crack detection.
6.4. Comparison with Traditional Inspection Methods
To further support our evaluations, we compared our proposed system with traditional inspection methods, including manual visual inspections and conventional image processing techniques. The manual visual inspection method typically requires auxiliary tools, such as manned lifts and aerial platforms [36]. This approach is associated with a high cost, low efficiency, and significant risks, which can limit its dependability for building inspections [37]. In addition, the accuracy of this method can be compromised due to its reliance on the individual’s ability to detect wall cracks.
In contrast, conventional imaging techniques will offer higher efficiency and lower risks compared to a manual visual inspection method. They can include infrared (IR) image-based processing techniques. The IR image-based processing technique utilizes temperature differences to identify structural defects in various materials [38]. In [39], Rodríguez-Martín et al. utilized an IR camera to detect cracks with this geometric characterization and orientation. This camera can detect temperature differences on the surfaces of exterior walls, which can indicate the presence of cracks.
Furthermore, In [40], Ivan et al. presented an implementation of an IR camera for infrastructure inspections. The proposed system worked by capturing thermal images of a structure using an infrared camera, which can reveal temperature differences that may not be visible to the naked eye. Despite this advantage, the adopted technique is highly dependent on various external environmental factors, such as temperature and humidity. As a result, it often requires manual thresholding and segmentations to remove noise that may be present in thermal data.
Compared to these traditional methods, the drone-based wall inspection system will offer a more cost-effective and efficient approach. By using drones, it can eliminate the need for costly and hazardous equipment such as manned lifts. In addition, the integration of AI-based analysis enables automated and accurate crack detection, reducing the reliance on human judgments and minimizing errors.
7. Conclusions
This paper has presented an application of the SEMAR IoT application server platform to a drone-based wall inspection system using the YOLO model. It utilizes a flying drone to take images of wall cracks at high places in a building. An edge computing device is installed to control the drone, receive image frames from it, and send them along with the drone flight data to the SEMAR server through the communication protocol. The Real-Time AI function using the YOLO model detects cracks from the image frames continuously, for which the results are stored in the Mongo database and visualized through the user interface. A prototype system was implemented using Ryze Tello for the drone and Raspberry Pi for the edge computing device. The application and evaluation results validated the feasibility of the proposal.
In future works, we will continue to develop new functions and services in SEMAR, including other AI models, and apply it to various IoT application systems. Furthermore, we will implement multi-cluster and multi-node configurations to improve the efficiency of distributing image frames on the SEMAR server. This approach aims to optimize the performance of the messaging protocols.
Author Contributions
Conceptualization, Y.Y.F.P., R.H., N.F. and S.S. (Sritrusta Sukaridhoto); methodology, Y.Y.F.P., N. and R.H.; software, Y.Y.F.P., S.S. (Shunya Sakamaki) and N.; writing—original draft preparation, Y.Y.F.P.; writing—review and editing, N.F.; validation, Y.W.S. and A.A.R. All authors have read and agreed to the published version of the manuscript.
Funding
This research received no external funding.
Institutional Review Board Statement
Not applicable.
Informed Consent Statement
Not applicable.
Data Availability Statement
Data are contained within the article.
Acknowledgments
The authors thank the reviewers for their thorough reading and helpful comments.
Conflicts of Interest
The authors declare no conflicts of interest.
References
- Gubbi, J.; Buyya, R.; Marusic, S.; Palaniswami, M. Internet of things (IoT): A Vision, Architectural Elements, and Future Directions. Future Gener. Comput. Syst. 2013, 29, 1645–1660. [Google Scholar] [CrossRef]
- Stankovic, J.A. Research Directions for the Internet of Things. IEEE Internet Things J. 2014, 1, 3–9. [Google Scholar] [CrossRef]
- Alahi, M.E.; Sukkuea, A.; Tina, F.W.; Nag, A.; Kurdthongmee, W.; Suwannarat, K.; Mukhopadhyay, S.C. Integration of IoT-enabled technologies and Artificial Intelligence (AI) for Smart City Scenario: Recent advancements and future trends. Sensors 2023, 23, 5206. [Google Scholar] [CrossRef]
- Sharma, K.; Shivandu, S.K. Integrating Artificial Intelligence and internet of things (IoT) for enhanced crop monitoring and management in Precision Agriculture. Sens. Int. 2024, 5, 100292. [Google Scholar] [CrossRef]
- Duan, Y.; Edwards, J.S.; Dwivedi, Y.K. Artificial Intelligence for Decision Making in the Era of Big Data – Evolution, Challenges and Research Agenda. Int. J. Inf. Manag. 2019, 48, 63–71. [Google Scholar] [CrossRef]
- Belgaum, M.R.; Alansari, Z.; Musa, S.; Mansoor Alam, M.; Mazliham, M.S. Role of Artificial Intelligence in Cloud Computing, IoT and SDN: Reliability and Scalability Issues. Int. J. Electr. Comput. Eng. (IJECE) 2021, 11, 4458. [Google Scholar] [CrossRef]
- Saleem, T.J.; Chishti, M.A. Deep Learning for the Internet of Things: Potential Benefits and Use-cases. Digit. Commun. Netw. 2021, 7, 526–542. [Google Scholar] [CrossRef]
- Panduman, Y.Y.F.; Funabiki, N.; Puspitaningayu, P.; Kuribayashi, M.; Sukaridhoto, S.; Kao, W.-C. Design and Implementation of SEMAR IoT Server Platform with Applications. Sensors 2022, 22, 6436. [Google Scholar] [CrossRef] [PubMed]
- Panduman, Y.Y.; Funabiki, N.; Fajrianti, E.D.; Fang, S.; Sukaridhoto, S. A survey of AI techniques in IoT applications with use case investigations in the smart environmental monitoring and analytics in real-time IOT platform. Information 2024, 15, 153. [Google Scholar] [CrossRef]
- Zheng, G. YOLOX: Exceeding YOLO Series in 2021. arXiv 2021, arXiv:2107.08430v2. [Google Scholar] [CrossRef]
- Wang, C.Y.; Bochkovskiy, A.; Liao, H.Y.M. YOLOv7: Trainable bag-of-freebies sets new state-of-the-art for real-time object detectors. arXiv 2022, arXiv:2207.02696. [Google Scholar]
- Munawar, H.S.; Hammad, A.W.; Haddad, A.; Soares, C.A.; Waller, S.T. Image-based crack detection methods: A review. Infrastructures 2021, 6, 115. [Google Scholar] [CrossRef]
- Ali, R.; Chuah, J.H.; Talip, M.S.; Mokhtar, N.; Shoaib, M.A. Structural crack detection using deep convolutional neural networks. Autom. Constr. 2022, 133, 103989. [Google Scholar] [CrossRef]
- Su, P.; Han, H.; Liu, M.; Yang, T.; Liu, S. Mod-Yolo: Rethinking the Yolo Architecture at the level of feature information and applying it to crack detection. Expert Syst. Appl. 2024, 237, 121346. [Google Scholar] [CrossRef]
- Yu, Z.; Shen, Y.; Shen, C. A real-time detection approach for bridge cracks based on YOLOv4-FPM. Autom. Constr. 2021, 122, 103514. [Google Scholar] [CrossRef]
- Jung, H.-K.; Choi, G.-S. Improved Yolov5: Efficient object detection using drone images under various conditions. Appl. Sci. 2022, 12, 7255. [Google Scholar] [CrossRef]
- Zhang, Z. Drone-yolo: An efficient neural network method for target detection in drone images. Drones 2023, 7, 526. [Google Scholar] [CrossRef]
- Kucukayan, G.; Karacan, H. Yolo-IHD: Improved real-time human detection system for indoor drones. Sensors 2024, 24, 922. [Google Scholar] [CrossRef]
- Patel, U.; Tanwar, S.; Nair, A. Performance analysis of video on-demand and live video streaming using cloud based services. Scalable Comput. Pract. Exp. 2020, 21, 479–496. [Google Scholar] [CrossRef]
- Liao, Y.-H.; Juang, J.-G. Real-time UAV trash monitoring system. Appl. Sci. 2022, 12, 1838. [Google Scholar] [CrossRef]
- Karpiuk, N.; Klym, H.; Tkachuk, T. Usage of apache kafka for low-latency image processing. Electron. Inf. Technol. 2024, 26, 46–58. [Google Scholar] [CrossRef]
- MongoDB. Mongodb: The Application Data Platform. Available online: https://www.mongodb.com/ (accessed on 21 November 2024).
- Panduman, Y.Y.F.; Funabiki, N.; Ito, S.; Husna, R.; Kuribayashi, M.; Okayasu, M.; Shimazu, J.; Sukaridhoto, S. An Edge Device Framework in SEMAR IoT Application Server Platform. Information 2023, 14, 312. [Google Scholar] [CrossRef]
- Bixio, L.; Delzanno, G.; Rebora, S.; Rulli, M. A flexible IoT stream processing architecture based on microservices. Information 2020, 11, 565. [Google Scholar] [CrossRef]
- Docker. Available online: https://docs.docker.com/get-started/get-docker/ (accessed on 21 November 2024).
- Kreps, J.; Narkhede, N.; Rao, J. Kafka: A distributed messaging system for log processing. In Proceedings of the 6th International Workshop on Networking Meets Databases, Athens, Greece, 12–16 June 2011; Volume 11, pp. 1–7. [Google Scholar]
- Dixit, S.; Madhu, M. Distributing messages using rabbitmq with advanced message exchanges. Int. J. Res. Stud. Comput. Sci. Eng. 2019, 6, 24–28. [Google Scholar]
- Htut, A.M.; Aswakul, C. Development of near real-time wireless image sequence streaming cloud using Apache Kafka for Road Traffic Monitoring Application. PLoS ONE 2022, 17, e0264923. [Google Scholar] [CrossRef]
- University, “Crack Instance Segmentation Dataset (V2) by University,” Roboflow. Available online: https://universe.roboflow.com/university-bswxt/crack-bphdr/dataset/2 (accessed on 22 February 2024).
- Yudha Erian Saputra, M.; Noprianto; Noor Arief, S.; Nur Wijayaningrum, V.; Syaifudin, Y.W. Real-time server monitoring and notification system with prometheus, Grafana, and telegram integration. In Proceedings of the 2024 ASU International Conference in Emerging Technologies for Sustainability and Intelligent Systems (ICETSIS), Manama, Bahrain, 28–29 January 2024; pp. 1808–1813. [Google Scholar] [CrossRef]
- Malhotra, R.; Bansal, A.; Kessentini, M. Deployment and performance monitoring of Docker based Federated Learning Framework for software defect prediction. Clust. Comput. 2024, 27, 6039–6057. [Google Scholar] [CrossRef]
- Zeng, Y.; Zhang, T.; He, W.; Zhang, Z. YOLOv7-UAV: An Unmanned Aerial Vehicle Image Object Detection Algorithm Based on Improved YOLOv7. Electronics 2023, 12, 3141. [Google Scholar] [CrossRef]
- Padilla, R.; Netto, S.L.; da Silva, E.A.B. A Survey on Performance Metrics for Object-Detection Algorithms. In Proceedings of the 2020 International Conference on Systems, Signals and Image Processing (IWSSIP), Niterói, Brazil, 1–3 July 2020; pp. 237–242. [Google Scholar]
- Borui, J.; Ruixuan, L.; Jiayuan, M.; Tete, X.; Yuning, J. Acquisition of Localization Confidence for Accurate Object Detection. In Proceedings of the European Conference on Computer Vision (ECCV), Munich, Germany, 8–14 September 2018; pp. 784–799. [Google Scholar] [CrossRef]
- Kasper-Eulaers, M.; Hahn, N.; Berger, S.; Sebulonsen, T.; Myrland; Kummervold, P.E. Short Communication: Detecting Heavy Goods Vehicles in Rest Areas in Winter Conditions Using YOLOv5. Algorithms 2021, 14, 114. [Google Scholar] [CrossRef]
- Vossoughi, H.; Siddiqui, R.I. Industrial rope access—An alternate means for inspection, maintenance, and repair of building facades and structures. In STP1444-EB Building Facade Maintenance, Repair, and Inspection; ASTM International: West Conshohocken, PA, USA, 2004. [Google Scholar]
- Jung, S.; Song, S.; Youn, P.; Myung, H. Multi-Layer Coverage Path Planner for Autonomous Structural Inspection of High-Rise Structures. In Proceedings of the 2018 IEEE/RSJ International Conference on Intelligent Robots and Systems (IROS), Madrid, Spain, 1–5 October 2018; pp. 1–9. [Google Scholar]
- Karpf, A.; Selig, M.; Alchaar, A.; Iskander, M. Detection of cracks in concrete using near-IR fluorescence imaging. Sci. Rep. 2023, 13, 18880. [Google Scholar] [CrossRef] [PubMed]
- Rodríguez-Martín, M.; Lagüela, S.; González-Aguilera, D.; Martínez, J. Thermographic test for the geometric characterization of cracks in welding using IR image rectification. Autom. Constr. 2016, 61, 58–65. [Google Scholar] [CrossRef]
- Ivan, G.; Susana, L.; Pedro, A. Infrared Thermography’s Application to Infrastructure Inspections. Infrastructures 2018, 3, 35. [Google Scholar] [CrossRef]
Disclaimer/Publisher’s Note: The statements, opinions and data contained in all publications are solely those of the individual author(s) and contributor(s) and not of MDPI and/or the editor(s). MDPI and/or the editor(s) disclaim responsibility for any injury to people or property resulting from any ideas, methods, instructions or products referred to in the content. |
© 2025 by the authors. Licensee MDPI, Basel, Switzerland. This article is an open access article distributed under the terms and conditions of the Creative Commons Attribution (CC BY) license (https://creativecommons.org/licenses/by/4.0/).










