AICpred: Machine Learning-Based Prediction of Potential Anti-Inflammatory Compounds Targeting TLR4-MyD88 Binding Mechanism
Abstract
1. Introduction
2. Materials and Methods
2.1. Methods
2.2. Dataset Extraction
2.3. Descriptors Computation
2.4. Data Pre-Processing and Feature Selection
2.5. Model Training
2.6. Model Evaluation and Validation
2.7. Applicability Domain Analysis
- … number of compounds;
- … number of molecular descriptors;
- Standardized descriptor for compound from the training or test set;
- Actual descriptor for the compound from the training or test set;
- Mean value for the descriptor from the training compounds only;
- Standard deviation of the descriptor from training compounds only.
2.8. Web Server Development
2.9. Screening of COVID-19-Induced CS Inhibitors
3. Results
3.1. Data Pre-Processing
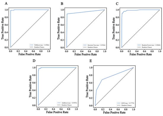
3.2. Model Development and Evaluation
3.3. Validation with Known Inhibitors of TLR4
3.4. Results of Applicability Domain Analysis
3.5. Model Deployment
3.6. Evaluating COVID-19-Induced CS Inhibitors
4. Discussion
5. Conclusions
Supplementary Materials
Author Contributions
Funding
Institutional Review Board Statement
Informed Consent Statement
Data Availability Statement
Acknowledgments
Conflicts of Interest
List of Abbreviations
| Abbreviation | Definition |
| AdaBoost | Adaptive boosting |
| AUC | Area under the curve |
| AUROC | Area under the receiver operating characteristic |
| BTK | Bruton’s tyrosine kinase |
| COVID-19 | coronavirus disease 2019 |
| CS | Cytokine storm |
| DAMPs | damage-associated molecular patterns |
| FN | False negative |
| FP | False positive |
| IC50 | half-maximal inhibitory concentration |
| JAK | Janus kinase |
| KNN | k-nearest neighbours |
| MCC | Matthew’s correlation coefficient |
| ML | Machine Learning |
| NF-κB | Nuclear Factor-kappa B |
| NLRP3 | Nod-like receptor family pyrin domain-containing 3 |
| PAMPs | pathogen-associated molecular patterns |
| QSAR | Quantitative structure-activity relationship |
| SARS-CoV-2 | Severe Acute Respiratory Syndrome Coronavirus 2 |
| SMILES | Simplified Molecular Input Line Entry System |
| SMOTE | Synthetic minority oversampling technique |
| TLR4 | Toll-like receptor 4 |
| TN | True negative |
| TP | True positive |
| XGBoost | eXtreme gradient boosting |
References
- Molteni, M.; Gemma, S.; Rossetti, C. The Role of Toll-Like Receptor 4 in Infectious and Noninfectious Inflammation. Mediat. Inflamm. 2016, 2016, 6978936. [Google Scholar] [CrossRef] [PubMed]
- Coondoo, A. Cytokines in Dermatology—A Basic Overview. Indian J. Dermatol. 2011, 56, 368–374. [Google Scholar] [CrossRef] [PubMed]
- Wilson, M.S.; Metink-Kane, M.M. Cytokines, Inflammation and Pain. Bone 2012, 23, 1–7. [Google Scholar] [CrossRef]
- Tang, L.; Yin, Z.; Hu, Y.; Mei, H. Controlling Cytokine Storm Is Vital in COVID-19. Front. Immunol. 2020, 11, 570993. [Google Scholar] [CrossRef] [PubMed]
- Vardhana, S.A.; Wolchok, J.D. The Many Faces of the Anti-COVID Immune Response. J. Exp. Med. 2020, 217, e20200678. [Google Scholar] [CrossRef] [PubMed]
- Chousterman, B.G.; Swirski, F.K.; Weber, G.F. Cytokine Storm and Sepsis Disease Pathogenesis. Semin. Immunopathol. 2017, 39, 517–528. [Google Scholar] [CrossRef] [PubMed]
- Takeuchi, O.; Akira, S. MyD88 as a Bottle Neck in Toll/IL-1 Signaling. In Toll-like Receptor Family Members and Their Ligands; Beutler, B., Wagner, H., Eds.; Springer: Berlin/Heidelberg, Germany, 2002; pp. 155–164. ISBN 978-3-642-59430-4. [Google Scholar]
- Ohnishi, H.; Tochio, H.; Kato, Z.; Orii, K.E.; Li, A.; Kimura, T.; Hiroaki, H.; Kondo, N.; Shirakawa, M. Structural Basis for the Multiple Interactions of the MyD88 TIR Domain in TLR4 Signaling. Proc. Natl. Acad. Sci. USA 2009, 106, 10260–10265. [Google Scholar] [CrossRef] [PubMed]
- Liu, T.; Zhang, L.; Joo, D.; Sun, S.C. NF-ΚB Signaling in Inflammation. Signal Transduct. Target. Ther. 2017, 2, 17023. [Google Scholar] [CrossRef] [PubMed]
- Cicchese, J.M.; Evans, S.; Hult, C.; Joslyn, L.R.; Wessler, T.; Millar, J.A.; Marino, S.; Cilfone, N.A.; Mattila, J.T.; Linderman, J.J.; et al. Dynamic Balance of Pro- and Anti-Inflammatory Signals Controls Disease and Limits Pathology. Immunol. Rev. 2018, 285, 147–167. [Google Scholar] [CrossRef] [PubMed]
- Newton, K.; Dixit, V.M. Signaling in Innate Immunity and Inflammation. Cold Spring Harb. Perspect. Biol. 2012, 4, a006049. [Google Scholar] [CrossRef]
- Pal, R.; Chaudhary, M.J. Pharmacotherapeutics for Cytokine Storm in COVID-19. In Stem Cells; Verma, Y.K., Satija, N.K., Raghav, P.K., Tyagi, N., Kumar, S., Eds.; Academic Press: Cambridge, MA, USA, 2024; pp. 101–125. ISBN 978-0-323-95545-4. [Google Scholar]
- Avbelj, M.; Horvat, S.; Jerala, R. The Role of Intermediary Domain of MyD88 in Cell Activation and Therapeutic Inhibition of TLRs. J. Immunol. 2011, 187, 2394–2404. [Google Scholar] [CrossRef] [PubMed]
- Zhang, Y.; Liang, X.; Bao, X.; Xiao, W.; Chen, G. Toll-like Receptor 4 (TLR4) Inhibitors: Current Research and Prospective. Eur. J. Med. Chem. 2022, 235, 114291. [Google Scholar] [CrossRef] [PubMed]
- Khan, M.F.; Rashid, R.B.; Rashid, M.A. Identification of Natural Compounds with Analgesic and Antiinflammatory Properties Using Machine Learning and Molecular Docking Studies. Lett. Drug Des. Discov. 2021, 19, 256–262. [Google Scholar] [CrossRef]
- Noordhuis, M.G.; Eijsink, J.J.H.; Roossink, F.; de Graeff, P.; Pras, E.; Schuuring, E.; Wisman, G.B.A.; de Bock, G.H.; van der Zee, A.G.J. Prognostic Cell Biological Markers in Cervical Cancer Patients Primarily Treated With (Chemo)Radiation: A Systematic Review. Int. J. Radiat. Oncol.*Biol.*Phys. 2011, 79, 325–334. [Google Scholar] [CrossRef]
- Alotaibi, F.; Attique, M.; Khan, Y.D. AntiFlamPred: An Anti-Inflammatory Peptide Predictor for Drug Selection Strategies. Comput. Mater. Contin. 2021, 69, 1039–1055. [Google Scholar] [CrossRef]
- Xu, Y.; Zhang, S.; Zhu, F.; Liang, Y. A Deep Learning Model for Anti-Inflammatory Peptides Identification Based on Deep Variational Autoencoder and Contrastive Learning. Sci. Rep. 2024, 14, 18451. [Google Scholar] [CrossRef] [PubMed]
- Zhu, Z.; Rahman, Z.; Aamir, M.; Shah, S.Z.A.; Hamid, S.; Bilawal, A.; Li, S.; Ishfaq, M. Insight into TLR4 Receptor Inhibitory Activity via QSAR for the Treatment of Mycoplasma Pneumonia Disease. RSC Adv. 2023, 13, 2057–2069. [Google Scholar] [CrossRef] [PubMed]
- Zdrazil, B.; Felix, E.; Hunter, F.; Manners, E.J.; Blackshaw, J.; Corbett, S.; de Veij, M.; Ioannidis, H.; Lopez, D.M.; Mosquera, J.F.; et al. The ChEMBL Database in 2023: A Drug Discovery Platform Spanning Multiple Bioactivity Data Types and Time Periods. Nucleic Acids Res. 2024, 52, D1180–D1192. [Google Scholar] [CrossRef]
- Kaushik, D.; Bhandari, R.; Kuhad, A. TLR4 as a Therapeutic Target for Respiratory and Neurological Complications of SARS-CoV-2. Expert Opin. Ther. Targets 2021, 25, 491–508. [Google Scholar] [CrossRef] [PubMed]
- Aboudounya, M.M.; Holt, M.R.; Heads, R.J. SARS-CoV-2 Spike S1 Glycoprotein Is a TLR4 Agonist, Upregulates ACE2 Expression and Induces pro-Inflammatory M1 Macrophage Polarisation. bioRxiv 2021. [Google Scholar] [CrossRef]
- Shirato, K.; Kizaki, T. SARS-CoV-2 Spike Protein S1 Subunit Induces pro-Inflammatory Responses via Toll-like Receptor 4 Signaling in Murine and Human Macrophages. Heliyon 2021, 7, e06187. [Google Scholar] [CrossRef] [PubMed]
- Zhao, Y.; Kuang, M.; Li, J.; Zhu, L.; Jia, Z.; Guo, X.; Hu, Y.; Kong, J.; Yin, H.; Wang, X.; et al. SARS-CoV-2 Spike Protein Interacts with and Activates TLR41. Cell Res. 2021, 31, 818–820. [Google Scholar] [CrossRef] [PubMed]
- Ma, Z.; Li, X.; Fan, R.L.Y.; Yang, K.Y.; Ng, C.S.H.; Lau, R.W.H.; Wong, R.H.L.; Ng, K.K.; Wang, C.C.; Ye, P.; et al. A Human Pluripotent Stem Cell-Based Model of SARS-CoV-2 Infection Reveals an ACE2-Independent Inflammatory Activation of Vascular Endothelial Cells through TLR4. Stem Cell Rep. 2022, 17, 538–555. [Google Scholar] [CrossRef] [PubMed]
- Davronova, R.; Adilovab, F. A Comparative Analysis of the Ensemble Methods for Drug Design. AIP Conf. Proc. 2020, 2365, 030001. [Google Scholar] [CrossRef]
- Rosas-Jimenez, J.G.; Garcia-Revilla, M.A.; Madariaga-Mazon, A.; Martinez-Mayorga, K. Predictive Global Models of Cruzain Inhibitors with Large Chemical Coverage. ACS Omega 2021, 6, 6722–6735. [Google Scholar] [CrossRef] [PubMed]
- Song, Y.Y.; Lu, Y. Decision Tree Methods: Applications for Classification and Prediction. Shanghai Arch. Psychiatry 2015, 27, 130. [Google Scholar] [CrossRef] [PubMed]
- Reddy, A.S.; Kumar, S.; Garg, R. Hybrid-Genetic Algorithm Based Descriptor Optimization and QSAR Models for Predicting the Biological Activity of Tipranavir Analogs for HIV Protease Inhibition. J. Mol. Graph. Model. 2010, 28, 852–862. [Google Scholar] [CrossRef] [PubMed]
- Yu, B.; Qiu, W.; Chen, C.; Ma, A.; Jiang, J.; Zhou, H.; Ma, Q. SubMito-XGBoost: Predicting Protein Submitochondrial Localization by Fusing Multiple Feature Information and EXtreme Gradient Boosting. Bioinformatics 2020, 36, 1074–1081. [Google Scholar] [CrossRef] [PubMed]
- Ding, Y.; Zhu, H.; Chen, R.; Li, R. An Efficient AdaBoost Algorithm with the Multiple Thresholds Classification. Appl. Sci. 2022, 12, 5872. [Google Scholar] [CrossRef]
- Noviandy, T.R.; Idroes, G.M.; Hardi, I. Machine Learning Approach to Predict AXL Kinase Inhibitor Activity for Cancer Drug Discovery Using XGBoost and Bayesian Optimization. J. Soft Comput. Data Min. 2024, 5, 46–56. [Google Scholar] [CrossRef]
- Robles, J.; Sotelo, F.; Rojas, C.; Hurtado, J.; Lopez, J. Performance Analysis of XGBoost Models with Ultrafast Shape Recognition Descriptors in Ligand-Based Virtual Screening. ACM Int. Conf. Proc. Ser. 2021, 7, 8–14. [Google Scholar] [CrossRef]
- Wu, Z.; Zhu, M.; Kang, Y.; Leung, E.L.H.; Lei, T.; Shen, C.; Jiang, D.; Wang, Z.; Cao, D.; Hou, T. Do We Need Different Machine Learning Algorithms for QSAR Modeling? A Comprehensive Assessment of 16 Machine Learning Algorithms on 14 QSAR Data Sets. Brief. Bioinform. 2021, 22, bbaa321. [Google Scholar] [CrossRef] [PubMed]
- Liu, J.-J.; Liu, J.-C. Permeability Predictions for Tight Sandstone Reservoir Using Explainable Machine Learning and Particle Swarm Optimization. Geofluids 2022, 2022, 2263329. [Google Scholar] [CrossRef]
- Bharti, D.R.; Lynn, A.M. QSAR Based Predictive Modeling for Anti-Malarial Molecules. Bioinformation 2017, 13, 154. [Google Scholar] [CrossRef] [PubMed]
- Darnag, R.; Minaoui, B.; Fakir, M. QSAR Models for Prediction Study of HIV Protease Inhibitors Using Support Vector Machines, Neural Networks and Multiple Linear Regression. Arab. J. Chem. 2017, 10, S600–S608. [Google Scholar] [CrossRef]
- Nalepa, J.; Kawulok, M. Selecting Training Sets for Support Vector Machines: A Review. Artif. Intell. Rev. 2018, 52, 857–900. [Google Scholar] [CrossRef]
- Liu, C.; Wang, W.; Wang, M.; Lv, F.; Konan, M. An Efficient Instance Selection Algorithm to Reconstruct Training Set for Support Vector Machine. Knowl. Based Syst. 2017, 116, 58–73. [Google Scholar] [CrossRef]
- Cervantes, J.; García Lamont, F.; López-Chau, A.; Rodríguez Mazahua, L.; Sergio Ruíz, J. Data Selection Based on Decision Tree for SVM Classification on Large Data Sets. Appl. Soft Comput. 2015, 37, 787–798. [Google Scholar] [CrossRef]
- Grinsztajn, L.; Oyallon, E.; Varoquaux, G. Why Do Tree-Based Models Still Outperform Deep Learning on Typical Tabular Data? Adv. Neural Inf. Process. Syst. 2022, 35, 507–520. [Google Scholar]
- Chen, T.; Guestrin, C. XGBoost: A Scalable Tree Boosting System. In Proceedings of the 22nd ACM SIGKDD International Conference on Knowledge Discovery and Data Mining, San Francisco, CA, USA, 13–17 August 2016. [Google Scholar] [CrossRef]
- Genuer, R.; Poggi, J.M.; Tuleau-Malot, C.; Villa-Vialaneix, N. Random Forests for Big Data. Big Data Res. 2017, 9, 28–46. [Google Scholar] [CrossRef]
- Adams, J.; Agyenkwa-Mawuli, K.; Agyapong, O.; Wilson, M.D.; Kwofie, S.K. EBOLApred: A Machine Learning-Based Web Application for Predicting Cell Entry Inhibitors of the Ebola Virus. Comput. Biol. Chem. 2022, 101, 107766. [Google Scholar] [CrossRef]
- Wu, X.; Gong, J.; Ren, S.; Tan, F.; Wang, Y.; Zhao, H. A Machine Learning-Based QSAR Model Reveals Important Molecular Features for Understanding the Potential Inhibition Mechanism of Ionic Liquids to Acetylcholinesterase. Sci. Total Environ. 2024, 915, 169974. [Google Scholar] [CrossRef]
- Wang, Y.; Xiao, J.; Suzek, T.O.; Zhang, J.; Wang, J.; Bryant, S.H. PubChem: A Public Information System for Analyzing Bioactivities of Small Molecules. Nucleic Acids Res. 2009, 37, W623–W633. [Google Scholar] [CrossRef]
- Ii, M.; Matsunaga, N.; Hazeki, K.; Nakamura, K.; Takashima, K.; Seya, T.; Hazeki, O.; Kitazaki, T.; Iizawa, Y. A Novel Cyclohexene Derivative, Ethyl (6R)-6-[N-(2-Chloro-4-Fluorophenyl)Sulfamoyl]Cyclohex-1-Ene-1-Carboxylate (TAK-242), Selectively Inhibits Toll-Like Receptor 4-Mediated Cytokine Production through Suppression of Intracellular Signaling. Mol. Pharmacol. 2006, 69, 1288–1295. [Google Scholar] [CrossRef] [PubMed]
- Nakamura, M.; Shimizu, Y.; Sato, Y.; Miyazaki, Y.; Satoh, T.; Mizuno, M.; Kato, Y.; Hosaka, Y.; Furusako, S. Toll-like Receptor 4 Signal Transduction Inhibitor, M62812, Suppresses Endothelial Cell and Leukocyte Activation and Prevents Lethal Septic Shock in Mice. Eur. J. Pharmacol. 2007, 569, 237–243. [Google Scholar] [CrossRef] [PubMed]
- Švajger, U.; Brus, B.; Turk, S.; Sova, M.; Hodnik, V.; Anderluh, G.; Gobec, S. Novel Toll-like Receptor 4 (TLR4) Antagonists Identified by Structure- and Ligand-Based Virtual Screening. Eur. J. Med. Chem. 2013, 70, 393–399. [Google Scholar] [CrossRef]
- Wang, X.; Zhang, Y.; Peng, Y.; Hutchinson, M.R.; Rice, K.C.; Yin, H.; Watkins, L.R. Pharmacological Characterization of the Opioid Inactive Isomers (+)-Naltrexone and (+)-Naloxone as Antagonists of Toll-like Receptor 4. Br. J. Pharmacol. 2016, 173, 856–869. [Google Scholar] [CrossRef]
- Lee, H.K.; Brown, S.J.; Rosen, H.; Tobias, P.S. Application of β-Lactamase Enzyme Complementation to the High-Throughput Screening of Toll-like Receptor Signaling Inhibitors. Mol. Pharmacol. 2007, 72, 868–875. [Google Scholar] [CrossRef]
- Lee, H.-K.; Dunzendorfer, S.; Tobias, P.S. Cytoplasmic Domain-Mediated Dimerizations of Toll-like Receptor 4 Observed by β-Lactamase Enzyme Fragment Complementation. J. Biol. Chem. 2004, 279, 10564–10574. [Google Scholar] [CrossRef] [PubMed]
- Hong, H.; Xie, Q.; Ge, W.; Qian, F.; Fang, H.; Shi, L.; Su, Z.; Perkins, R.; Tong, W. Mold2, Molecular Descriptors from 2D Structures for Chemoinformatics and Toxicoinformatics. J. Chem. Inf. Model. 2008, 48, 1337–1344. [Google Scholar] [CrossRef]
- Kwofie, S.K.; Agyenkwa-Mawuli, K.; Adams, J.; Anteh, P.; Agyapong, O.; Wilson, M.D. Deep Neural Networks Predict Inhibitors of Schistosoma Mansoni Thioredoxin Glutathione Reductase (SmTGR). J. Comput. Biophys. Chem. 2022, 21, 237–247. [Google Scholar] [CrossRef]
- Bajusz, D.; Rácz, A.; Héberger, K. Chemical Data Formats, Fingerprints, and Other Molecular Descriptions for Database Analysis and Searching. Compr. Med. Chem. III 2017, 3–8, 329–378. [Google Scholar] [CrossRef]
- Mold2 News and Publications|FDA. Available online: https://www.fda.gov/science-research/mold2/mold2-news-and-publications (accessed on 7 September 2024).
- Fan, C.; Chen, M.; Wang, X.; Wang, J.; Huang, B. A Review on Data Preprocessing Techniques Toward Efficient and Reliable Knowledge Discovery from Building Operational Data. Front. Energy Res. 2021, 9, 652801. [Google Scholar] [CrossRef]
- Dy, J.G.; Brodley, C.E. Feature Selection for Unsupervised Learning. J. Mach. Learn. Res. 2004, 5, 845–889. [Google Scholar]
- Korkmaz, S. Deep Learning-Based Imbalanced Data Classification for Drug Discovery. J. Chem. Inf. Model. 2020, 60, 4180–4190. [Google Scholar] [CrossRef] [PubMed]
- Blagus, R.; Lusa, L. SMOTE for High-Dimensional Class-Imbalanced Data. BMC Bioinform. 2013, 14, 106. [Google Scholar] [CrossRef]
- Dubey, R.; Zhou, J.; Wang, Y.; Thompson, P.M.; Ye, J. Analysis of Sampling Techniques for Imbalanced Data: An N = 648 ADNI Study. Neuroimage 2014, 87, 220–241. [Google Scholar] [CrossRef]
- Breiman, L. Random Forests. Mach. Learn. 2001, 45, 5–32. [Google Scholar] [CrossRef]
- Schapire, R.E. The Boosting Approach to Machine Learning: An Overview. In Nonlinear Estimation and Classification; Springer: New York, NY, USA, 2003. [Google Scholar]
- Zhang, Z. Introduction to Machine Learning: K-Nearest Neighbors. Ann. Transl. Med. 2016, 4, 218. [Google Scholar] [CrossRef]
- Steurer, M.; Hill, R.J.; Pfeifer, N. Metrics for Evaluating the Performance of Machine Learning Based Automated Valuation Models. J. Prop. Res. 2021, 38, 99–129. [Google Scholar] [CrossRef]
- Haixiang, G.; Yijing, L.; Shang, J.; Mingyun, G.; Yuanyue, H.; Bing, G. Learning from Class-Imbalanced Data: Review of Methods and Applications. Expert Syst. Appl. 2017, 73, 220–239. [Google Scholar] [CrossRef]
- García, V.; Mollineda, R.A.; Sánchez, J.S. Index of Balanced Accuracy: A Performance Measure for Skewed Class Distributions. Lecture Notes in Computer Science. In Proceedings of the Iberian Conference on Pattern Recognition and Image Analysis, Póvoa de Varzim, Portugal, 10–12 June 2009; Volume 5524, pp. 441–448. [Google Scholar] [CrossRef]
- Binkhonain, M.; Zhao, L. A Review of Machine Learning Algorithms for Identification and Classification of Non-Functional Requirements. Expert Syst. Appl. X 2019, 1, 100001. [Google Scholar] [CrossRef]
- Lipton, Z.C.; Elkan, C.; Narayanaswamy, B. Thresholding Classifiers to Maximize F1 Score. arXiv 2014, arXiv:1402.1892. [Google Scholar]
- Chicco, D.; Jurman, G. The Advantages of the Matthews Correlation Coefficient (MCC) over F1 Score and Accuracy in Binary Classification Evaluation. BMC Genom. 2020, 21, 6. [Google Scholar] [CrossRef]
- Sousa, L.; Suter, F.; Goldman, A.; Sakellariou, R.; Sinnen, O. Lecture Notes in Computer Science (Including Subseries Lecture Notes in Artificial Intelligence and Lecture Notes in Bioinformatics): Introduction. Lecture Notes in Computer Science. In Proceedings of the European Conference on Parallel Processing, Bordeaux, France, 29 August–2 September 2011; Volume 6852, p. 154. [Google Scholar] [CrossRef]
- Kar, S.; Roy, K.; Leszczynski, J. Applicability Domain: A Step toward Confident Predictions and Decidability for QSAR Modeling. In Methods in Molecular Biology; Humana Press Inc.: Totowa, NJ, USA, 2018; Volume 1800, pp. 141–169. [Google Scholar]
- Hanser, T.; Barber, C.; Marchaland, J.F.; Werner, S. Applicability Domain: Towards a More Formal Definition. SAR QSAR Environ. Res. 2016, 27, 893–909. [Google Scholar] [CrossRef]
- Roy, K.; Kar, S.; Ambure, P. On a Simple Approach for Determining Applicability Domain of QSAR Models. Chemom. Intell. Lab. Syst. 2015, 145, 22–29. [Google Scholar] [CrossRef]
- Relan, K. Deploying Flask Applications BT. In Building REST APIs with Flask: Create Python Web Services with MySQL; Relan, K., Ed.; Apress: Berkeley, CA, USA, 2019; pp. 159–182. ISBN 978-1-4842-5022-8. [Google Scholar]
- Gasston, P. The Modern Web: Multi-Device Web Development with HTML5, CSS3, and JavaScript; No Starch Press: San Francisco, CA, USA, 2013. [Google Scholar]
- Peterson, D.; Damsky, W.; King, B. The Use of Janus Kinase Inhibitors in the Time of Severe Acute Respiratory Syndrome Coronavirus 2 (SARS-CoV-2). J. Am. Acad. Dermatol. 2020, 82, e223. [Google Scholar] [CrossRef] [PubMed]
- Zhang, W.; Qin, C.; Fei, Y.; Shen, M.; Zhou, Y.; Zhang, Y.; Zeng, X.; Zhang, S. Anti-Inflammatory and Immune Therapy in Severe Coronavirus Disease 2019 (COVID-19) Patients: An Update. Clin. Immunol. 2022, 239, 109022. [Google Scholar] [CrossRef] [PubMed]
- Rodrigues, T.S.; de Sá, K.S.G.; Ishimoto, A.Y.; Becerra, A.; Oliveira, S.; Almeida, L.; Gonçalves, A.V.; Perucello, D.B.; Andrade, W.A.; Castro, R.; et al. Inflammasomes Are Activated in Response to SARS-CoV-2 Infection and Are Associated with COVID-19 Severity in Patients. J. Exp. Med. 2021, 218, e20201707. [Google Scholar] [CrossRef]
- Kalil, A.C.; Patterson, T.F.; Mehta, A.K.; Tomashek, K.M.; Wolfe, C.R.; Ghazaryan, V.; Marconi, V.C.; Ruiz-Palacios, G.M.; Hsieh, L.; Kline, S.; et al. Baricitinib plus Remdesivir for Hospitalized Adults with COVID-19. N. Engl. J. Med. 2021, 384, 795–807. [Google Scholar] [CrossRef] [PubMed]
- Singh, D.; Bogus, M.; Moskalenko, V.; Lord, R.; Moran, E.J.; Crater, G.D.; Bourdet, D.L.; Pfeifer, N.D.; Woo, J.; Kaufman, E.; et al. A Phase 2 Multiple Ascending Dose Study of the Inhaled Pan-JAK Inhibitor Nezulcitinib (TD-0903) in Severe COVID-19. Eur. Respir. J. 2021, 58, 2100673. [Google Scholar] [CrossRef] [PubMed]
- Treon, S.P.; Castillo, J.J.; Skarbnik, A.P.; Soumerai, J.D.; Ghobrial, I.M.; Guerrera, M.L.; Meid, K.; Yang, G. The BTK Inhibitor Ibrutinib May Protect against Pulmonary Injury in COVID-19–Infected Patients. Blood 2020, 135, 1912–1915. [Google Scholar] [CrossRef] [PubMed]
- Roschewski, M.; Lionakis, M.S.; Sharman, J.P.; Roswarski, J.; Goy, A.; Monticelli, M.A.; Roshon, M.; Wrzesinski, S.H.; Desai, J.V.; Zarakas, M.A.; et al. Inhibition of Bruton Tyrosine Kinase in Patients with Severe COVID-19. Sci. Immunol. 2020, 5, 110. [Google Scholar] [CrossRef]
- Zeng, J.; Xie, X.; Feng, X.L.; Xu, L.; Han, J.B.; Yu, D.; Zou, Q.C.; Liu, Q.; Li, X.; Ma, G.; et al. Specific Inhibition of the NLRP3 Inflammasome Suppresses Immune Overactivation and Alleviates COVID-19 like Pathology in Mice. EBioMedicine 2022, 75, 103803. [Google Scholar] [CrossRef] [PubMed]
- Reddy, H.; Javvaji, C.K.; Malali, S.; Kumar, S.; Acharya, S.; Toshniwal, S. Navigating the Cytokine Storm: A Comprehensive Review of Chemokines and Cytokines in Sepsis. Cureus 2024, 16, e54275. [Google Scholar] [CrossRef] [PubMed]
- Ganganwar, V. An Overview of Classification Algorithms for Imbalanced Datasets. Int. J. Emerg. Technol. Adv. Eng. 2012, 2, 42–47. [Google Scholar]
- Ghorbani, R.; Ghousi, R. Comparing Different Resampling Methods in Predicting Students’ Performance Using Machine Learning Techniques. IEEE Access 2020, 8, 67899–67911. [Google Scholar] [CrossRef]
- Cai, J.; Luo, J.; Wang, S.; Yang, S. Feature Selection in Machine Learning: A New Perspective. Neurocomputing 2018, 300, 70–79. [Google Scholar] [CrossRef]
- Tanha, J.; Abdi, Y.; Samadi, N.; Razzaghi, N.; Asadpour, M. Boosting Methods for Multi-Class Imbalanced Data Classification: An Experimental Review. J. Big Data 2020, 7, 70. [Google Scholar] [CrossRef]
- Sharma, G. Pros and Cons of Different Sampling Techniques. Int. J. Appl. Res. 2017, 3, 749–752. [Google Scholar]
- Rout, N.; Mishra, D.; Mallick, M.K. An Advance Extended Binomial GLMBoost Ensemble Method with Synthetic Minority Over-Sampling Technique for Handling Imbalanced Datasets. Int. J. Electr. Comput. Eng. 2023, 13, 4357–4368. [Google Scholar] [CrossRef]
- Wang, S.; Yao, X. Diversity Analysis on Imbalanced Data Sets by Using Ensemble Models. In Proceedings of the 2009 IEEE Symposium on Computational Intelligence and Data Mining, CIDM 2009—Proceedings, Nashville, TN, USA, 30 March–2 April 2009; pp. 324–331. [Google Scholar] [CrossRef]
- Srisongkram, T.; Khamtang, P.; Weerapreeyakul, N. Prediction of KRASG12C Inhibitors Using Conjoint Fingerprint and Machine Learning-Based QSAR Models. J. Mol. Graph. Model. 2023, 122, 108466. [Google Scholar] [CrossRef] [PubMed]
- Idakwo, G.; Thangapandian, S.; Luttrell, J.; Li, Y.; Wang, N.; Zhou, Z.; Hong, H.; Yang, B.; Zhang, C.; Gong, P. Structure–Activity Relationship-Based Chemical Classification of Highly Imbalanced Tox21 Datasets. J. Cheminform. 2020, 12, 66. [Google Scholar] [CrossRef]
- Song, J.; Xu, Z.; Cao, L.; Wang, M.; Hou, Y.; Li, K. The Discovery of New Drug-Target Interactions for Breast Cancer Treatment. Molecules 2021, 26, 7474. [Google Scholar] [CrossRef] [PubMed]
- Doğuç, Ö.; Silahtaroğlu, G.; Canbolat, Z.N.; Hambarde, K.; Yiğitbaşı, A.A.; Gökay, H.; Yılmaz, M. Diagnosis of COVID-19 Via Patient Breath Data Using Artificial Intelligence. Emerg. Sci. J. 2023, 7, 105–113. [Google Scholar] [CrossRef]
- Kumari, C.; Abulaish, M.; Subbarao, N. Using SMOTE to Deal with Class-Imbalance Problem in Bioactivity Data to Predict MTOR Inhibitors. SN Comput. Sci. 2020, 1, 150. [Google Scholar] [CrossRef]
- Dhall, A.; Patiyal, S.; Sharma, N.; Devi, N.L.; Raghava, G.P.S. Computer-Aided Prediction of Inhibitors against STAT3 for Managing COVID-19 Associated Cytokine Storm. Comput. Biol. Med. 2021, 137, 104780. [Google Scholar] [CrossRef] [PubMed]
- Erlina, L.; Paramita, R.I.; Kusuma, W.A.; Fadilah, F.; Tedjo, A.; Pratomo, I.P.; Ramadhanti, N.S.; Nasution, A.K.; Surado, F.K. Virtual Screening of Indonesian Herbal Compounds as COVID-19 Supportive Therapy: Machine Learning and Pharmacophore Modeling Approaches. BMC Complement. Med. Ther. 2022, 22, 207. [Google Scholar] [CrossRef]
- Mathea, M.; Klingspohn, W.; Baumann, K. Chemoinformatic Classification Methods and Their Applicability Domain. Mol. Inform. 2016, 35, 160–180. [Google Scholar] [CrossRef]
- Lu, Y.C.; Yeh, W.C.; Ohashi, P.S. LPS/TLR4 Signal Transduction Pathway. Cytokine 2008, 42, 145–151. [Google Scholar] [CrossRef] [PubMed]
- Heo, S.; Safder, U.; Yoo, C. Deep Learning Driven QSAR Model for Environmental Toxicology: Effects of Endocrine Disrupting Chemicals on Human Health. Environ. Pollut. 2019, 253, 29–38. [Google Scholar] [CrossRef] [PubMed]
- Gini, G.; Zanoli, F. Machine Learning and Deep Learning Methods in Ecotoxicological QSAR Modeling. In Ecotoxicological QSARs; Roy, K., Ed.; Springer: New York, NY, USA, 2020; pp. 111–149. ISBN 978-1-0716-0150-1. [Google Scholar]
- Yu, L.; Xue, L.; Liu, F.; Li, Y.; Jing, R.; Luo, J. The Applications of Deep Learning Algorithms on in Silico Druggable Proteins Identification. J. Adv. Res. 2022, 41, 219–231. [Google Scholar] [CrossRef]
- Li, G.; Zhao, B.; Su, X.; Yang, Y.; Hu, P.; Zhou, X.; Hu, L. Discovering Consensus Regions for Interpretable Identification of RNA N6-Methyladenosine Modification Sites via Graph Contrastive Clustering. IEEE J. Biomed. Health Inform. 2024, 28, 2362–2372. [Google Scholar] [CrossRef] [PubMed]
- Kwon, S.; Bae, H.; Jo, J.; Yoon, S. Comprehensive Ensemble in QSAR Prediction for Drug Discovery. BMC Bioinform. 2019, 20, 521. [Google Scholar] [CrossRef]
- Serra, A.; Önlü, S.; Coretto, P.; Greco, D. An Integrated Quantitative Structure and Mechanism of Action-Activity Relationship Model of Human Serum Albumin Binding. J. Cheminform. 2019, 11, 38. [Google Scholar] [CrossRef] [PubMed]
- Wu, L.; Liu, Z.; Auerbach, S.; Huang, R.; Chen, M.; McEuen, K.; Xu, J.; Fang, H.; Tong, W. Integrating Drug’s Mode of Action into Quantitative Structure-Activity Relationships for Improved Prediction of Drug-Induced Liver Injury. J. Chem. Inf. Model. 2017, 57, 1000–1006. [Google Scholar] [CrossRef] [PubMed]







| Metrics | Mathematical Definition | Interpretation |
|---|---|---|
| Accuracy | 1—Perfect 0—Poor | |
| Recall | 1—Perfect 0—Poor | |
| Precision | 1—Perfect 0—Poor | |
| F1 score | 1—Perfect 0—Poor | |
| Balanced accuracy | 1—Perfect 0—Poor | |
| MCC | +1—Perfect −1—Poor |
| Known Inhibitor | IC50 | Reference |
|---|---|---|
| Resatorvid/TAK-242 | 11 to 33 nM | [47] |
| M62812 | 7 µM | [48] |
| ZINC25778142 | 16.6 µM | [49] |
| (+)-Naloxone | 105.5 µM | [50] |
| (+)-Naltrexone | 94.4 µM | [50] |
| Inhibitor | Target | PubChem CID | Reference |
|---|---|---|---|
| Baricitinib | JAK1 and JAK2 | 44205240 | [80] |
| Nezulcitinib | All JAK isoforms | 146421275 | [81] |
| Ibrutinib | BTK | 24821094 | [82] |
| Acalabrutinib | BTK | 71226662 | [83] |
| MCC950 | NLRP3 | 9910393 | [84] |
| Model | Process | Accuracy | Balanced Accuracy | Precision | Recall | F1 Score | AUROC | MCC |
|---|---|---|---|---|---|---|---|---|
| Random Forest | CV | 0.972 | 0.787 | 1.000 | 0.573 | 0.723 | 0.971 | 0.743 |
| Test | 0.968 | 0.770 | 0.975 | 0.542 | 0.696 | 0.987 | 0.714 | |
| Decision Trees | CV | 0.981 | 0.939 | 0.839 | 0.891 | 0.863 | 0.939 | 0.854 |
| Test | 0.981 | 0.938 | 0.842 | 0.889 | 0.865 | 0.938 | 0.855 | |
| AdaBoost | CV | 0.987 | 0.921 | 0.958 | 0.845 | 0.897 | 0.983 | 0.893 |
| Test | 0.992 | 0.944 | 0.985 | 0.889 | 0.934 | 0.998 | 0.931 | |
| XGBoost | CV | 0.994 | 0.958 | 1.000 | 0.915 | 0.955 | 0.998 | 0.954 |
| Test | 0.994 | 0.958 | 1.000 | 0.917 | 0.957 | 0.999 | 0.955 | |
| KNN | CV | 0.942 | 0.604 | 0.685 | 0.215 | 0.323 | 0.757 | 0.360 |
| Test | 0.936 | 0.611 | 0.548 | 0.236 | 0.330 | 0.778 | 0.332 |
| Known Inhibitor | IC50 | Reference | XGBoost Prediction Probability |
|---|---|---|---|
| Resatorvid/TAK-242 | 11–33 nM | [47] | 0.830 |
| M62812 | 1–3 µg/mL | [48] | 0.983 |
| ZINC25778142 | 16.6 µM | [49] | 0.997 |
| (+)-Naloxone | 105.5 µM | [50] | 0.996 |
| (+)-Naltrexone | 94.4 µM | [50] | 0.996 |
| Inhibitor | XGBoost Prediction (Prediction Probability) | Within Applicability Domain |
|---|---|---|
| Baricitinib | Active (0.996) | Yes |
| Nezulcitinib | Active (0.994) | No |
| Ibrutinib | Active (0.995) | Yes |
| Acalabrutinib | Active (0.993) | Yes |
| MCC950 | Active (0.996) | Yes |
Disclaimer/Publisher’s Note: The statements, opinions and data contained in all publications are solely those of the individual author(s) and contributor(s) and not of MDPI and/or the editor(s). MDPI and/or the editor(s) disclaim responsibility for any injury to people or property resulting from any ideas, methods, instructions or products referred to in the content. |
© 2025 by the authors. Licensee MDPI, Basel, Switzerland. This article is an open access article distributed under the terms and conditions of the Creative Commons Attribution (CC BY) license (https://creativecommons.org/licenses/by/4.0/).
Share and Cite
Fry-Nartey, L.N.; Akafia, C.; Nkonu, U.S.; Baiden, S.B.; Dorvi, I.N.; Agyenkwa-Mawuli, K.; Agyapong, O.; Hayford, C.F.; Wilson, M.D.; Miller, W.A., III; et al. AICpred: Machine Learning-Based Prediction of Potential Anti-Inflammatory Compounds Targeting TLR4-MyD88 Binding Mechanism. Information 2025, 16, 34. https://doi.org/10.3390/info16010034
Fry-Nartey LN, Akafia C, Nkonu US, Baiden SB, Dorvi IN, Agyenkwa-Mawuli K, Agyapong O, Hayford CF, Wilson MD, Miller WA III, et al. AICpred: Machine Learning-Based Prediction of Potential Anti-Inflammatory Compounds Targeting TLR4-MyD88 Binding Mechanism. Information. 2025; 16(1):34. https://doi.org/10.3390/info16010034
Chicago/Turabian StyleFry-Nartey, Lucindah N., Cyril Akafia, Ursula S. Nkonu, Spencer B. Baiden, Ignatus Nunana Dorvi, Kwasi Agyenkwa-Mawuli, Odame Agyapong, Claude Fiifi Hayford, Michael D. Wilson, Whelton A. Miller, III, and et al. 2025. "AICpred: Machine Learning-Based Prediction of Potential Anti-Inflammatory Compounds Targeting TLR4-MyD88 Binding Mechanism" Information 16, no. 1: 34. https://doi.org/10.3390/info16010034
APA StyleFry-Nartey, L. N., Akafia, C., Nkonu, U. S., Baiden, S. B., Dorvi, I. N., Agyenkwa-Mawuli, K., Agyapong, O., Hayford, C. F., Wilson, M. D., Miller, W. A., III, & Kwofie, S. K. (2025). AICpred: Machine Learning-Based Prediction of Potential Anti-Inflammatory Compounds Targeting TLR4-MyD88 Binding Mechanism. Information, 16(1), 34. https://doi.org/10.3390/info16010034

