Nutrient Fluxes from the Kamchatka and Penzhina Rivers and Their Impact on Coastal Ecosystems on Both Sides of the Kamchatka Peninsula
Abstract
1. Introduction
2. Materials and Methods
2.1. General Physical and Geographical Characteristics of the Areas Under Study
2.2. Water Regime of the Rivers Under Study
2.3. Characteristics of Kamchatka Gulf as Well as Penzhina Bay and Shelikhov Gulf
2.4. Sampling in the Kamchatka River and Penzhina River
2.5. Sampling in Kamchatka Gulf, Penzhina Bay and Shelikhov Gulf
2.6. Sampling of Fresh Volcanic Ash and Subsequent Experiment on Releasing Nutrients from Ash
2.7. Laboratory Analysis
2.8. Estimations of Water Discharges and Nutrient Fluxes
2.9. Satellite Remote Sensing Data for Chl-a
2.10. Software
3. Results
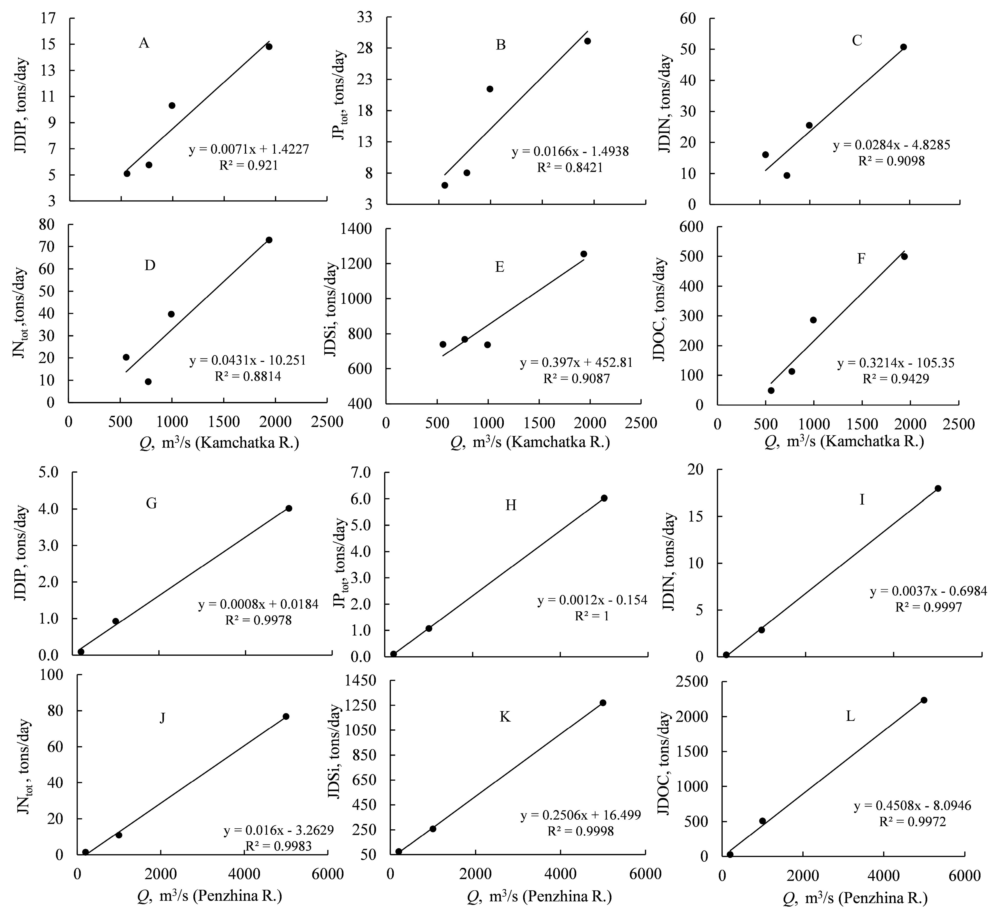
3.1. Seasonal Variability of Concentrations and Fluxes of Nutrients with the Runoff of the Kamchatka and Penzhina Rivers
3.2. The Scale of Influence of River Runoff in Receiving Basins After the Passage of Spring and Summer Flooding
3.3. Nutrients in the River-Estuary-Deep Water Continuum After Flooding
3.4. Experiment on Releasing Nutrients from Fresh Ash of Shiveluch Volcano
3.5. Chl-a Concentration According to Satellite Data
3.6. Species and Biomass of Zooplankton in Receiving Basins After the Passage of Spring and Summer Flooding
4. Discussion
4.1. Nutrient Sources for the Kamchatka and Penzhina Rivers and Their Receiving Basins
4.2. Molar Ratios of Inorganic Forms of Nutrients and Potential Impact of River Runoff on Coastal Ecosystems of the Kamchatka Peninsula
4.3. Impact of Climate Change on Seasonal Dynamics of Nutrient Fluxes and Ecology of Coastal Marine Waters of the Kamchatka Peninsula in the East and West
5. Conclusions
Supplementary Materials
Author Contributions
Funding
Data Availability Statement
Acknowledgments
Conflicts of Interest
References
- Jickells, T.D. Nutrient biogeochemistry of the coastal zone. Science 1998, 281, 217–222. [Google Scholar] [CrossRef]
- Meybeck, M. Carbon, nitrogen, and phosphorus transport by world rivers. Am. J. Sci. 1982, 282, 401–450. [Google Scholar] [CrossRef]
- Beusen, A.H.W.; Doelman, J.C.; Van Beek, L.P.H.; Van Puijenbroek, P.J.T.M.; Mogollón, J.M.; Van Grinsven, H.J.M.; Stehfest, E.; Van Vuuren, D.P.; Bouwman, A.F. Exploring river nitrogen and phosphorus loading and export to global coastal waters in the Shared Socio-economic pathways. Glob. Environ. Change 2022, 72, 102426. [Google Scholar] [CrossRef]
- Reddy, S.K.K.; Gupta, H.; Gandla, V.K.; Reddy, D.V.; Kurakalva, R.M.; Kumar, D. Nutrient dynamics in small west-flowing tropical mountainous rivers of India. Appl. Geochem. 2024, 169, 106035. [Google Scholar] [CrossRef]
- Zhang, P.; Ruan, H.; Dai, P.; Zhao, L.; Zhang, J. Spatiotemporal river flux and composition of nutrients affecting adjacent coastal water quality in Hainan Island, China. J. Hydrol. 2020, 591, 125293. [Google Scholar] [CrossRef]
- Tishchenko, P.Y.; Tishchenko, P.P.; Lobanov, V.B.; Mikhaylik, T.A.; Sergeev, A.F.; Semkin, P.Y.; Shvetsova, M.G. Impact of the transboundary Razdolnaya and Tumannaya Rivers on deoxygenation of the Peter the Great Bay (Sea of Japan). Estuar. Coast. Shelf Sci. 2020, 239, 106731. [Google Scholar] [CrossRef]
- Zhang, J.; Du, Y.N.; Zhang, G.S.; Chang, Y.; Zhou, Y.C.; Zhang, Z.F.; Wu, Y.; Chen, J.W.; Zhang, A.Y.; Zhu, Z.Y.; et al. Increases in the seaward river flux of nutrients driven by human migration and land-use changes in the tide-influenced delta. Sci. Total Environ. 2021, 761, 144501. [Google Scholar] [CrossRef]
- Zhang, S.; Zhang, H. Anthropogenic impact on long-term riverine CODMn, BOD, and nutrient flux variation in the Pearl River Delta. Sci. Total Environ. 2023, 859, 160197. [Google Scholar] [CrossRef]
- Wu, W.; Zhai, F.; Liu, Z.; Liu, C.; Gu, Y.; Li, P. The spatial and seasonal variability of nutrient status in the seaward rivers of China shaped by the human activities. Ecol. Indic. 2023, 157, 111223. [Google Scholar] [CrossRef]
- Zhang, J.; Zhang, G.; Du, Y.; Zhang, A.; Chang, Y.; Zhou, Y.; Zhu, Z.; Wu, Y.; Zhang, Z.; Liu, S. From the water sources of the Tibetan Plateau to the ocean: State of nutrients in the Changjiang linked to land use changes and climate variability. Sci. China Earth Sci. 2022, 65, 2127–2174. [Google Scholar] [CrossRef]
- Nixon, S.F. Coastal marine eutrophication: A definition, social causes, and future concerns. Ophelia 1995, 41, 199–219. [Google Scholar] [CrossRef]
- Andersen, J.H.; Schlüter, L.; Ertebjerg, G. Coastal eutrophication: Recent developments in definitions and implications for monitoring strategies. J. Plan. Res. 2006, 28, 621–628. [Google Scholar] [CrossRef]
- Tishchenko, P.Y.; Lobanov, V.B.; Tishchenko, P.P.; Semkin, P.Y.; Sergeev, A.F.; Anisimova, E.V.; Barabanshchikov, Y.A.; Melnikov, V.V.; Ryumina, A.A.; Sagalaev, S.G.; et al. Hydrochemical Study of Academy Bay (Sea of Okhotsk). Oceanology 2022, 62, 80–92. [Google Scholar] [CrossRef]
- Zhang, J.; Tishchenko, P.Y.; Jiang, Z.J.; Semkin, P.Y.; Tishchenko, P.P.; Zheng, W.; Lobanov, V.B.; Sergeev, A.F.; Jiang, S. Diverse nature of the seasonally coastal eutrophication dominated by oceanic nutrients: An eco-system based analysis characterized by salmon migration and aquaculture. Mar. Pollut. Bull. 2023, 193, 115150. [Google Scholar] [CrossRef]
- Browning, T.J.; Stone, K.; Bouman, H.A.; Mather, T.A.; Pyle, D.M.; Moore, M.C.; Martinez-Vicente, V. Volcanic ash supply to the surface ocean—Remote sensing of biological responses and their wider biogeochemical significance. Front. Mar. Sci. 2015, 2, 14. [Google Scholar] [CrossRef]
- Wilson, S.T.; Hawco, N.J.; Armbrust, E.V.; Barone, B.; Björkman, K.M.; Boysen, A.K.; Burgos, M.; Burrell, T.J.; Casey, J.R.; Delong, E.F.; et al. Karl Kīlauea lava fuels phytoplankton bloom in the North Pacific Ocean. Science 2019, 365, 1040–1044. [Google Scholar] [CrossRef]
- Barone, B.; Letelier, R.M.; Rubin, K.H.; Karl, D.M. Satellite detection of a massive phytoplankton bloom following the 2022 submarine eruption of the Hunga Tonga–Hunga Haʻapai volcano. Geophys. Res. Lett. 2022, 49, e2022GL099293. [Google Scholar] [CrossRef]
- Duggen, S.; Olgun, N.; Croot, P.; Hoffmann, L.; Dietze, H.; Delmelle, P.; Teschner, C. The role of airborne volcanic ash for the surface ocean biogeochemical iron-cycle: A review. Biogeosciences 2010, 7, 827–844. [Google Scholar] [CrossRef]
- Hoffmann, L.J.; Breitbarth, E.; Ardelan, M.V.; Duggen, S.; Olgun, N.; Hassellov, M.; Wangberg, S.-A. Influence of trace metal release from volcanic ash on growth of Thalassiosira pseudonana and Emiliania huxleyi. Mar. Chem. 2012, 132, 28–33. [Google Scholar] [CrossRef]
- Bisson, K.M.; Gassó, S.; Mahowald, N.; Wagner, S.; Koffman, B.; Carn, S.A.; Deutsch, S.; Gazel, E.; Kramer, S.; Krotkov, N. Observing ocean ecosystem responses to volcanic ash. Remote Sens. Environ. 2023, 296, 113749. [Google Scholar] [CrossRef]
- Hydrogeology of the USSR. Volume XXIX. Kamchatka, Kuril and Commander Islands. 1972. 364p. Available online: http://repo.kscnet.ru/2724/ (accessed on 1 November 2024). (In Russian).
- Jones, V.; Solomina, O. The geography of Kamchatka. Glob. Planet Chang. 2015, 134, 3–9. [Google Scholar] [CrossRef]
- Catalog of Volcanoes of Kamchatka, Novograblenov, P.T.; Glavnauka, Izv. Gos. geogr. ob. L.; Moscow, Russia, 1932. Volume 64. p. 99. Available online: http://repo.kscnet.ru/78/1/catalogue_volcane.pdf (accessed on 1 November 2024). (In Russian).
- Galeczka, I.; Sigurdsson, G.; Eiriksdottir, E.S.; Oelkers, E.H.; Gislason, S.R. The chemical composition of rivers and snow affected by the 2014/2015 Bárðarbunga eruption, Iceland. J. Volcanol. Geotherm. Res. 2016, 316, 101–119. [Google Scholar] [CrossRef]
- Vas’kovskii, M.G. (Ed.) Resursy Poverkhnostnykh vod SSSR (USSR Surface Water Resources); Kamchatka (Kamchatka); Gidrometeoizdat: Leningrad, Russia, 1973; Volume 20, Available online: https://z-lib.io/book/16375452 (accessed on 1 November 2024). (In Russian)
- Zdanovich, V.C. (Ed.) Resursy Poverkhnostnykh vod SSSR (USSR Surface Water Resources); Kamchatka (Kamchatka); Gidrometeoizdat: Leningrad, Russia, 1977; Volume 20, Available online: https://bigenc.ru/b/kamchatka-8d072a (accessed on 1 November 2024). (In Russian)
- Agafonova, K.G. Hydrochemical Regime of Kamchatka Rivers. Questions of the Geography of Kamchatka. 2. Kamchatka Department of the Geographical Society of the USSR. 1964, pp. 46–55. Available online: https://www.knigakamchatka.ru/periodical/geografii/voprosy-geografii-kamchatki-1964-2.html (accessed on 1 November 2024). (In Russian).
- Semkin, P.Y.; Pavlova, G.Y.; Gorin, S.L.; Koltunov, A.M.; Lepskaya, E.V.; Ulanova, O.A.; Shkirnikova, E.M.; Shvetsova, M.G.; Xu, Y.; Jiang, S.; et al. Seasonal Variations of Nutrient and Organic Carbon Concentrations in the Kamchatka and Avacha Rivers, Kamchatka Peninsula, in 2023. Water Resour. 2025, 52, 117–128. [Google Scholar]
- Semkin, P.Y.; Pavlova, G.Y.; Lobanov, V.B.; Barabanshchikov, Y.A.; Kukla, S.P.; Sagalaev, S.G.; Shvetsova, M.G.; Shkirnikova, E.M.; Tishchenko, P.Y.; Tibenko, E.Y.; et al. Nutrient Flux under the Influence of Melt Water Runoff from Volcanic Territories and Ecosystem Response of Vilyuchinskaya and Avachinskaya Bays in Southeastern Kamchatka. J. Mar. Sci. Eng. 2023, 11, 1299. [Google Scholar] [CrossRef]
- Semkin, P.Y.; Baigubekov, K.R.; Barabanshchikov, Y.A.; Gorin, S.L.; Koltunov, A.M.; Sagalaev, S.G.; Ulanova, O.A.; Tishchenko, P.Y.; Shvetsova, M.G.; Shkirnikova, E.M.; et al. The Carbonate System of Penzhina Bay and the Shelikhov Gulf in the Sea of Okhotsk during Extreme Tides in Summer. J. Mar. Sci. Eng. 2024, 12, 517. [Google Scholar] [CrossRef]
- Baturin, G.N.; Zaitseva, L.V.; Manevich, T.M. Geochemistry of volcanic ash from the Iceland and Kamchatka volcanoes. Dokl. Earth Sci. 2012, 443, 396–400. [Google Scholar] [CrossRef]
- Naboko, S.I. Volcanic Exhalations and Their Reaction Products, Trudy Laboratorii Vulkanologii (Trans. Labor. Volcanol.); Vlodavets, V.I., Ed.; Izd. Akad. Nauk SSSR: Moscow, Russia, 1959; Volume 16. (In Russian) [Google Scholar]
- Piip, B.I. Eruption of Avacha Sopka in 1945. Bull. Volcano 1953, 6–23. Available online: http://repo.kscnet.ru/1558/ (accessed on 1 March 2024). (In Russian).
- Zakharikhina, L.V.; Litvinenko, Y.S. Volkanism and geochemistry of soil–vegetation cover of Kamchatka. Vulkanol. Seismol. 2019, 4, 40–51. (In Russian) [Google Scholar] [CrossRef]
- Fukumoto, S.; Sugiyama, S.; Hata, S.; Saito, J.; Shiraiwa, T.; Mitsudera, H. Glacier mass change on the Kamchatka Peninsula, Russia, from 2000 to 2016. J. Glaciol. 2023, 69, 237–250. [Google Scholar] [CrossRef]
- Korneva, I.A.; Toropov, P.A.; Muraviev, A.Y.; Aleshina, M.A. Climatic factors affecting Kamchatka glacier recession. Int. J. Clim. 2024, 44, 345–369. [Google Scholar] [CrossRef]
- Nishioka, J.; Obata, H. Dissolved iron distribution in the western and central subarctic Pacific: HNLC water formation and biogeochemical processes. Limnol. Oceanogr. 2017, 62, 2004–2022. [Google Scholar] [CrossRef]
- Nishioka, J.; Obata, H.; Ogawa, H.; Ono, K.; Yamashita, Y.; Lee, K.; Takeda, S.; Yasuda, I. Subpolar marginal seas fuel the North Pacific through the intermediate water at the termination of the global ocean circulation. Proc. Natl. Acad. Sci. USA 2020, 117, 12665–12673. [Google Scholar] [CrossRef] [PubMed]
- Nishioka, J.; Hirawake, T.; Nomura, D.; Yamashita, Y.; Ono, K.; Murayama, A.; Shcherbinin, A.; Volkov, Y.N.; Mitsudera, H.; Ebuchi, N.; et al. Iron and nutrient dynamics along the East Kamchatka Current, western Bering Sea Basin and Gulf of Anadyr. Prog. Oceanogr. 2021, 198, 102662. [Google Scholar] [CrossRef]
- Konovalova, G.V. “Red tides” off Eastern Kamchatka Kamch. Institute of Ecology and Nature Management, Far Eastern Branch of the Russian Academy of Sciences, Kamch; Regional Committee for Nature Protection; Kamshat: Petropavlovsk-Kamchatsky, Russia, 1995; 56p. [Google Scholar]
- Orlova, T.Y.; Aleksanin, A.I.; Lepskaya, E.V.; Efimova, K.V.; Selina, M.S.; Morozova, T.V.; Stonik, I.V.; Kachur, V.A.; Karpenko, A.A.; Vinnikov, K.A.; et al. A massive bloom of Karenia species (Dinophyceae) off the Kamchatka coast, Russia, in the fall of 2020. Harmful Algae 2022, 120, 102337. [Google Scholar] [CrossRef]
- Sasaoka, K.; Saitoh, S.; Asanuma, I.; Imai, K.; Honda, M.; Nojiri, Y.; Saino, T. Temporal and spatial variability of chlorophyll-a in the western subarctic Pacific determined from satellite and ship observations from 1997 to 1999. Deep Sea Res. Part II Top. Stud. Oceanog. 2002, 49, 5557–5576. [Google Scholar] [CrossRef]
- Waga, H.; Fujiwara, A.; Hirawake, T.; Suzuki, K.; Yoshida, K.; Abe, H.; Nomura, D. Primary productivity and phytoplankton community structure in surface waters of the western subarctic Pacific and the Bering Sea during summer with reference to bloom stages. Prog. Oceanogr. 2022, 201, 102738. [Google Scholar] [CrossRef]
- Batischeva, N.A. Composition and distribution of zooplankton on the southeast coast of Kamchatka in spring 2006. Issled. Vodn. Biol. Resur. Kamchat. Sev. Zap. Chasti Tikhogo Okeana 2008, 11, 42–46. (In Russian) [Google Scholar]
- Maksimenkov, V.V.; Maksimenkova, O.V. Composition, structure and abundance of zooplankton in the coastal waters of West Kamchatka in 2005. Issled. Vodn. Biol. Resur. Kamchat. Sev. Zap. Chasti Tikhogo Okeana 2008, 10, 20–25. (In Russian) [Google Scholar]
- Koval, M.V.; Maximenkov, V.V. Some data about the oceanic Zooplankton in the area around the Commander Island. Issled. Vodn. Biol. Resur. Kamchat. Sev. Zap. Chasti Tikhogo Okeana 2010, 17, 5–11. (In Russian) [Google Scholar]
- Wassmann, P.; Reigstad, M.; Haug, T.; Rudels, B.; Carroll, M.L.; Hop, H.; Gabrielsen, G.W.; Falk-Petersen, S.; Denisenko, S.G.; Arashkevich, E.; et al. Food webs and carbon flux in the Barents Sea. Prog. Oceanogr. 2006, 71, 232–287. [Google Scholar] [CrossRef]
- Ruping, G.; Chen, H.; Chen, T.; Zang, Y.; Wang, W.; Zhuang, Y.; Liu, G. Geographical patterns of mesozooplankton functional diversity in the northwestern Pacific. Prog. Oceanogr. 2024, 221, 103195. [Google Scholar] [CrossRef]
- Richardson, T.L.; Jackson, G.A. Small phytoplankton and carbon export from the surface ocean. Science 2007, 315, 838–840. [Google Scholar] [CrossRef]
- Muravyev, Y.D.; Shiraiwa, T.; Yamaguchi, S.; Matsumoto, T.; Nishimura, K.; Koshima, S.; Ovsyannikov, A.A. Mass balance of glacier in condition of maritime climate—Koryto glacier in Kamchatka, Russia. In Cryospheric Studies in Kamchatka; Institute of Low Temperature Science Hokkaido University: Sapporo, Japan, 1999; Volume II, pp. 51–61. [Google Scholar]
- Vlodavets, V.I.; Piip, B.I. Catalog of active volcanoes of Kamchatka. Byull. Vulkanolog. Stantsii 1957, 25, 5–95. (In Russian) [Google Scholar]
- Koval, M.V.; Tepnin, O.B.; Gorin, S.L.; Fadeev, E.S.; Zikunova, O.M.; Lepskaya, E.V.; Shubkin, S.V.; Rudakova, S.L.; Pilganchuk, O.A.; Gorodovskaya, S.B. Factors determining spawning run dynamics and current state of Sockeye Salmon Oncorhynchus Nerka resources in the Kamchatka River. Issled. Vodn. Biol. Resur. Kamchat. Sev. Zap. Chasti Tikhogo Okeana 2020, 57, 20–25. (In Russian) [Google Scholar] [CrossRef]
- Gorin, S.L.; Koval, M.V.; Sazonov, A.A.; Terskii, P.N. Modern hydrological regime of the lower stream of the Penzhina River and the first data on hydrological processes in its estuaries according to the expedition of 2014. Issled. Vodn. Biol. Resur. Kamchat. Sev. Zap. Chasti Tikhogo Okeana 2015, 37, 33–52. [Google Scholar]
- Locia of the Sea of Okhotsk. No. 2. In Northern Part of the Sea; Publishing House of the UNGS of the USSR Navy: Leningrad, Russia, 1960; p. 200. (In Russian)
- Grasshoff, K.; Ehrhard, M.; Kremling, K. Methods of Seawater Analysis; Verlag Chemie: Weinheim, Germany, 1983; p. 419. Available online: https://scholar.google.com/scholar_lookup?title=Methods+of+Seawater+Analysis&author=Grasshoff,+K.&author=Ehrhard,+M.&author=Kremling,+K.&publication_year=1983 (accessed on 5 December 2024).
- Moroshkin, K.V. Water Masses of the Sea of Okhotsk; Nauka: Moscow, Russia, 1966. (In Russian) [Google Scholar]
- Chester, R.; Jickells, T. The Transport of Material to The Oceans: The Fuvial Pathway; Marine Geochemistry John Wiley & Sons, Ltd.: Chichester, UK, 2012. [Google Scholar] [CrossRef]
- Yuan, L.; Hans, K. Nitrogen speciation in mantle and crustal fluids. Geochim. Cosmochim. Acta 2014, 129, 13–32. [Google Scholar] [CrossRef]
- Pinti, D.L.; Hashizume, K. Early Life Record from Nitrogen Isotopes. In Earliest Life on Earth: Habitats, Environments and Methods of Detection; Golding, S., Glikson, M., Eds.; Springer: Dordrecht, The Netherlands, 2011. [Google Scholar] [CrossRef]
- Bluth, G.J.S.; Kump, L.R. Lithologic and climatologic controls of river chemistry. Geochim. Cosmochim. Acta 1994, 85, 2341–2359. [Google Scholar] [CrossRef]
- Chemtob, S.M.; Rossman, G.R.; Young, E.D.; Ziegler, K.; Moynier, F.; Eiler, J.M.; Hurowitz, J.A. Silicon isotope systematics of acidic weathering of fresh basalts, Kilauea Volcano, Hawai’i. Geochim. Cosmochim. Acta 2015, 169, 63–81. [Google Scholar] [CrossRef]
- Bernard, C.Y.; Dürr, H.H.; Heinze, C.; Segschneider, J.; Maier-Reimer, E. Contribution of riverine nutrients to the silicon biogeochemistry of the global ocean—A model study. Biogeosciences 2011, 8, 551–564. [Google Scholar] [CrossRef]
- Semkin, P.Y.; Tishchenko, P.Y.; Pavlova, G.Y.; Sagalaev, S.G.; Tishchenko, P.P.; Khodorenko, N.D.; Shkirnikova, E.M.; Shvetsova, M.G. Effect of river runoff on the hydrochemical characteristics of water in Udskaya Bay and Nikolaya Bay (the Sea of Okhotsk) in summer. Oceanology 2021, 61, 338–350. [Google Scholar] [CrossRef]
- Tishchenko, P.Y.; Semkin, P.Y.; Pavlova, G.Y.; Tishchenko, P.P.; Lobanov, V.B.; Marjash, A.A.; Mikhailik, T.A.; Sagalaev, S.G.; Sergeev, A.F.; Tibenko, E.Y.; et al. Hydrochemistry of the Tumen River estuary, Sea of Japan. Oceanology 2018, 58, 175–186. [Google Scholar] [CrossRef]
- Semkin, P.Y.; Tishchenko, P.Y.; Khodorenko, N.D.; Zvalinskii, V.I.; Mikhailik, T.A.; Sagalaev, S.G.; Stepanova, V.I.; Tishchenko, P.P.; Shvetsova, M.G.; Shkirnikova, E.M. Production-destruction processes in estuaries of the rivers of Artemovka and Shkotovka (Usuri Bay) in summer. Water Res. 2015, 42, 352–361. [Google Scholar] [CrossRef]
- Ganey, G.Q.; Loso, M.G.; Burgess, A.B.; Dial, R.J. The role of microbes in snowmelt and radiative forcing on an Alaskan icefield. Nat. Geosci. 2017, 10, 754–759. [Google Scholar] [CrossRef]
- Sarthou, G.; Timmermanns, K.R.; Blain, S.; Tréguer, P. Growth physiology and fate of diatoms in the ocean: A review. J. Sea Res. 2005, 53, 25–42. [Google Scholar] [CrossRef]
- Medina, M.; Kaplan, D.; Milbrandt, E.C.; Tomasko, D.; Huffaker, R.; Angelini, C. Nitrogen-enriched discharges from a highly managed watershed intensify red tide (Karenia brevis) blooms in southwest Florida. Sci. Total Environ. 2022, 827, 154149. [Google Scholar] [CrossRef]
- Martin, J.H.; Fitzwater, S.E. Iron deficiency limits phytoplankton growth in the north-east Pacific subarctic. Nature 1988, 331, 341–343. [Google Scholar] [CrossRef]
- Langmann, B. Volcanic Ash versus Mineral Dust: Atmospheric Processing and Environmental and Climate Impacts. Int. Sch. Res. Not. 2013, 2023, 245076. [Google Scholar] [CrossRef]
- Frogner, P.; Gislason, S.R.; Oskarsson, N. Fertilizing potential of volcanic ash in ocean surface water. Geology 2001, 29, 487–490. [Google Scholar] [CrossRef]
- Olgun, N.; Duggen, S.; Andronico, D.; Kutterolf, S.; Croot, P.L.; Giammanco, S.; Censi, P.; Randazzo, L. Possible impacts of volcanic ash emissions of Mount Etna on the primary productivity in the oligotrophic Mediterranean Sea: Results from nutrient-release experiments in seawater. Mar. Chem. 2013, 152, 32–42. [Google Scholar] [CrossRef]
- Longman, J.; Palmer, M.R.; Gernon, T.M.; Manners, H.R. The role of tephra in enhancing organic carbon preservation in marine sediments. Earth Sci. Rev. 2019, 192, 480–490. [Google Scholar] [CrossRef]
- Do, H.X.; Westra, S.; Leonard, M. A global-scale investigation of trends in annual maximum streamflow. J. Hydrol. 2017, 552, 28–43. [Google Scholar] [CrossRef]
- Chifflard, P.; Fasching, C.; Reiss, M.; Ditzel, L.; Boodoo, K.S. Dissolved and Particulate Organic Carbon in Icelandic Proglacial Streams: A First Estimate. Water 2019, 11, 748. [Google Scholar] [CrossRef]
- Flaathen, T.; Gislason, S. The effect of volcanic eruptions on the chemistry of surface waters: The 1991 and 2000 eruptions of Mt. Hekla, Iceland. J. Volc. Geoth. Res. 2007, 164, 293–316. [Google Scholar] [CrossRef]
- Frey, K.E.; McClelland, J.W. Impacts of permafrost degradation on arctic river biogeochemistry. Hydrol. Process 2009, 23, 169–182. [Google Scholar] [CrossRef]
- Moore, W.S. The subterranean estuary: A reaction zone of ground water and sea water. Mar. Chem. 1999, 65, 111–125. [Google Scholar] [CrossRef]
- Charkin, A.N.; Kosobokova, K.N.; Ershova, E.A.; Syomin, V.L.; Kolbasova, G.D.; Semkin, P.Y.; Leusov, A.E.; Dudarev, O.V.; Gulenko, T.A.; Yaroshchuk, E.I.; et al. A unique warm–water oasis in the Siberian Arctic’s Chaun Bay sustained by hydrothermal groundwater discharge. Commun. Earth Environ. 2024, 5, 393. [Google Scholar] [CrossRef]
- Deng, K.; Yang, S.; Guo, Y. A global temperature control of silicate weathering intensity. Nat. Commun. 2022, 13, 1781. [Google Scholar] [CrossRef]











| Station No. | N | E |
|---|---|---|
| 1 | 54°01.450′ | 157°50.940′ |
| 2 | 54°37.462′ | 158°27.781′ |
| 3 | 55°06.953′ | 159°03.951′ |
| 4 | 55°55.249′ | 159°40.740′ |
| 5 | 56°20.184′ | 160°50.476′ |
| 6 | 56°14.572′ | 162°29.508′ |
| Penzhina River (Kamenskoye settlement) | 62°27.900′ | 166°13.000′ |
| Parameter | FDIP | FPtot | FDIN | FNtot | FDSi | FDOC |
|---|---|---|---|---|---|---|
| Kamchatka River | 2705 | 4565 | 6980 | 9526 | 287,486 | 60,485 |
| Penzhina River | 264 | 330 | 1046 | 4694 | 86,766 | 142,294 |
| Period After Tephra Comes in Contact with Water | Type of Water | DIP | DSi | NO2 | NO3 | NH4 |
|---|---|---|---|---|---|---|
| 10 min | seawater with salinity of 34.06 psu | 3.56 | 7.01 | 0.18 | 1.34 | 8.78 |
| 1 h | 3.79 | 12.34 | 0.24 | 1.37 | 8.71 | |
| 5 h | 5.96 | 30.53 | 0.09 | 1.38 | 8.39 | |
| 24 h | 8.19 | 76.57 | 0.12 | 1.03 | 8.84 | |
| 9 days | 7.67 | 107.09 | 0.09 | 1.24 | 10.62 | |
| background | 0.19 | 0.00 | 0.05 | 0.04 | 0.37 | |
| 10 min | Milli-Q | 22.46 | 5.58 | 0.12 | 1.06 | 10.91 |
| 1 h | 22.41 | 8.90 | 0.09 | 1.09 | 10.97 | |
| 5 h | 23.60 | 22.69 | 0.07 | 1.07 | 12.77 | |
| 24 h | 23.80 | 71.72 | 0.11 | 0.75 | 11.57 | |
| 9 days | 23.30 | 103.31 | 0.08 | 0.83 | 10.97 | |
| background | 0.00 | 0.17 | 0.02 | 0.12 | 0.18 |
| SiO2 | TiO2 | Al2O3 | Fe2O3 | MnO | MgO | CaO | Na2O | K2O | P2O5 | H2O | LOI | Σ |
|---|---|---|---|---|---|---|---|---|---|---|---|---|
| 63.6 | 0.45 | 16.11 | 4.30 | 0.08 | 3.06 | 4.77 | 4.71 | 1.37 | 0.19 | 0.44 | 0.70 | 99.77 |
Disclaimer/Publisher’s Note: The statements, opinions and data contained in all publications are solely those of the individual author(s) and contributor(s) and not of MDPI and/or the editor(s). MDPI and/or the editor(s) disclaim responsibility for any injury to people or property resulting from any ideas, methods, instructions or products referred to in the content. |
© 2025 by the authors. Licensee MDPI, Basel, Switzerland. This article is an open access article distributed under the terms and conditions of the Creative Commons Attribution (CC BY) license (https://creativecommons.org/licenses/by/4.0/).
Share and Cite
Semkin, P.; Pavlova, G.; Lobanov, V.; Baigubekov, K.; Barabanshchikov, Y.; Gorin, S.; Shvetsova, M.; Shkirnikova, E.; Ulanova, O.; Ryumina, A.; et al. Nutrient Fluxes from the Kamchatka and Penzhina Rivers and Their Impact on Coastal Ecosystems on Both Sides of the Kamchatka Peninsula. J. Mar. Sci. Eng. 2025, 13, 569. https://doi.org/10.3390/jmse13030569
Semkin P, Pavlova G, Lobanov V, Baigubekov K, Barabanshchikov Y, Gorin S, Shvetsova M, Shkirnikova E, Ulanova O, Ryumina A, et al. Nutrient Fluxes from the Kamchatka and Penzhina Rivers and Their Impact on Coastal Ecosystems on Both Sides of the Kamchatka Peninsula. Journal of Marine Science and Engineering. 2025; 13(3):569. https://doi.org/10.3390/jmse13030569
Chicago/Turabian StyleSemkin, Pavel, Galina Pavlova, Vyacheslav Lobanov, Kirill Baigubekov, Yuri Barabanshchikov, Sergey Gorin, Maria Shvetsova, Elena Shkirnikova, Olga Ulanova, Anna Ryumina, and et al. 2025. "Nutrient Fluxes from the Kamchatka and Penzhina Rivers and Their Impact on Coastal Ecosystems on Both Sides of the Kamchatka Peninsula" Journal of Marine Science and Engineering 13, no. 3: 569. https://doi.org/10.3390/jmse13030569
APA StyleSemkin, P., Pavlova, G., Lobanov, V., Baigubekov, K., Barabanshchikov, Y., Gorin, S., Shvetsova, M., Shkirnikova, E., Ulanova, O., Ryumina, A., Lepskaya, E., Fedorets, Y., Xu, Y., & Zhang, J. (2025). Nutrient Fluxes from the Kamchatka and Penzhina Rivers and Their Impact on Coastal Ecosystems on Both Sides of the Kamchatka Peninsula. Journal of Marine Science and Engineering, 13(3), 569. https://doi.org/10.3390/jmse13030569

