Fabrication of Poly (Trans-3-(3-Pyridyl)Acrylic Acid)/Multi—Walled Carbon Nanotubes Membrane for Electrochemically Simultaneously Detecting Catechol and Hydroquinone
Abstract
1. Introduction
2. Results and Discussion
2.1. SEM Characterization of PPAA-MWCNTs
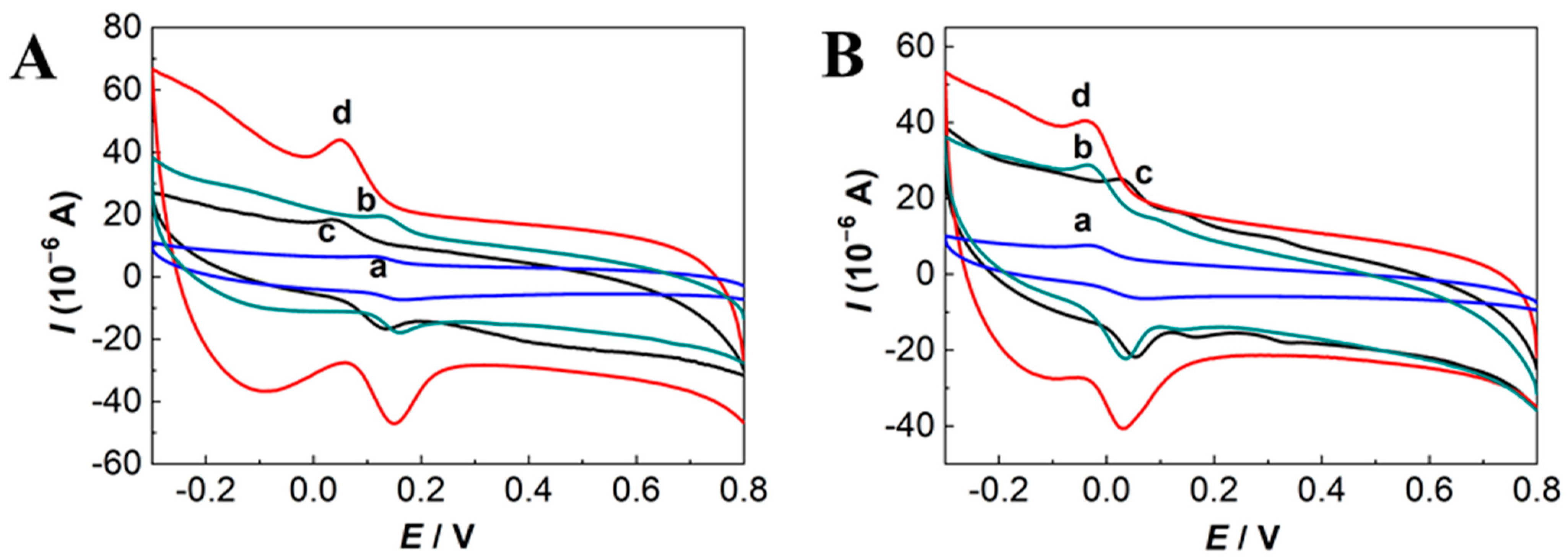
2.2. Electrochemical Behaviors of CC and HQ on the PPAA-MWCNTs/GCE Surface
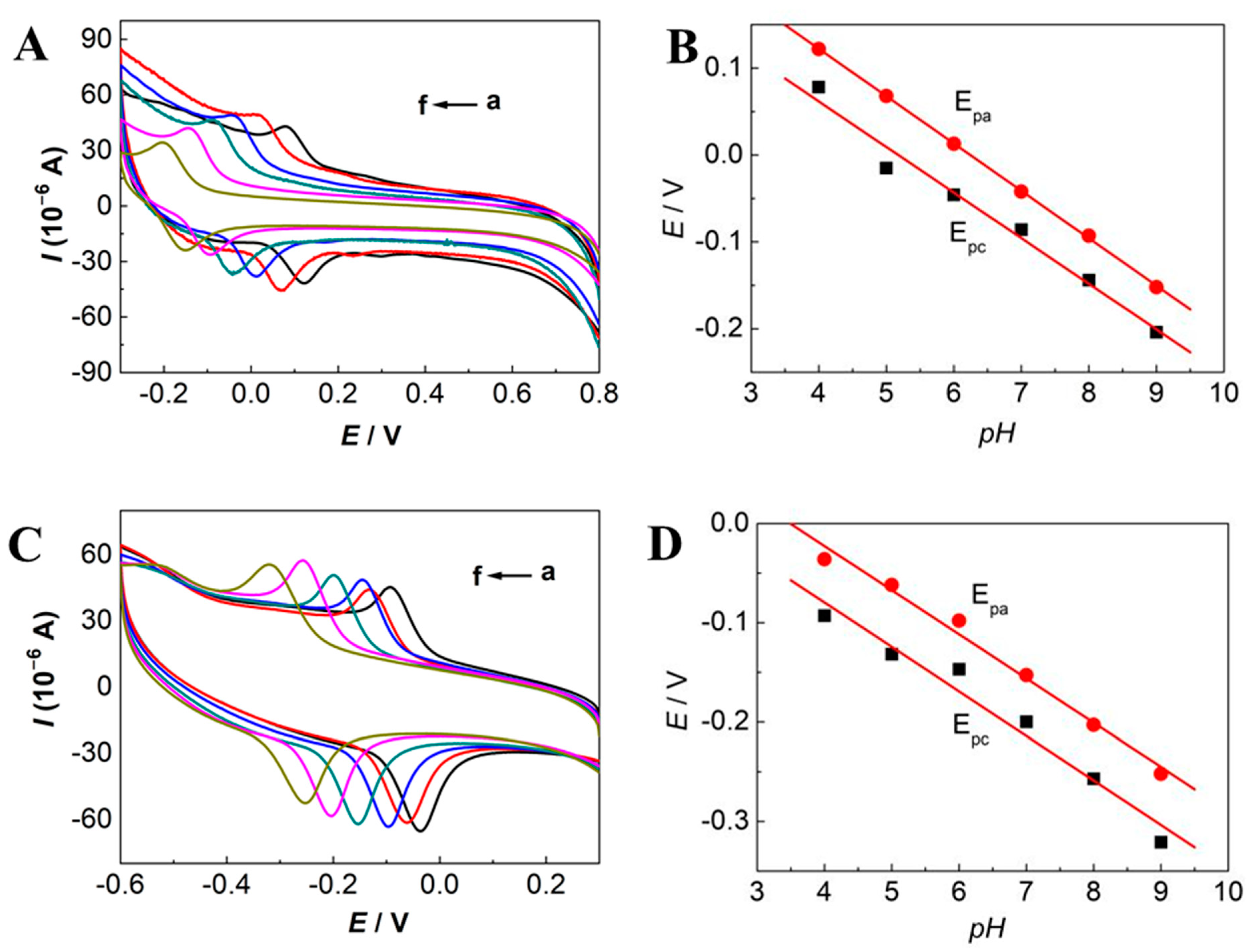
2.3. Effect of Scan Rate and pH
2.4. Simultaneous Detection of HQ and CC
2.5. The Stability and Reproducibility
2.6. The Real Samples Assay
3. Materials and Methods
3.1. Chemicals and Apparatus
3.2. The Preparation of PPAA-MWCNTs Membrane
4. Conclusions
Author Contributions
Funding
Institutional Review Board Statement
Data Availability Statement
Conflicts of Interest
References
- Wang, H.L.; Hu, Q.Q.; Meng, Y.; Jin, Z.; Fang, Z.L.; Fu, Q.R.; Gao, W.H.; Xu, L.; Song, Y.B.; Lu, F.S. Efficient detection of hazardous catechol and hydroquinone with MOF-rGO modified carbon paste electrode. J. Hazard Mater. 2018, 353, 151–157. [Google Scholar] [CrossRef] [PubMed]
- Hirakawa, K.; Oikawa, S.; Hiraku, Y.; Hirosawa, I.; Kawanishi, S. Catechol and hydroquinone have different redox properties responsible for their differential DNA-damaging ability. Chem. Res. Toxicol. 2002, 15, 76–82. [Google Scholar] [CrossRef]
- Anku, W.W.; Mamo, M.A.; Govender, P.P. Phenolic compounds in water: Sources, reactivity, toxicity and treatment methods. Phenolic Compd. Nat. Sources Importance Appl. 2017, 419–443. [Google Scholar] [CrossRef]
- Jiang, D.F.; Pang, J.; You, Q.N.; Liu, T.; Chu, Z.Y.; Jin, W.Q. Simultaneous biosensing of catechol and hydroquinone via a truncated cube-shaped Au/PBA nanocomposite. Biosens. Bioelectron. 2019, 124–125, 260–267. [Google Scholar] [CrossRef]
- Zhao, Y.; Yang, J.; Wu, Y.; Huang, B.; Xu, L.; Yang, J.; Liang, B.; Han, L. Construction of bacterial laccase displayed on the microbial surface for ultrasensitive biosensing of phenolic pollutants with nanohybrids-enhanced performance. J. Hazard. Mater. 2023, 452, 131265. [Google Scholar] [CrossRef] [PubMed]
- Fan, S.L.; Zhang, L.K.; Lin, J.M. Post-column detection of benzenediols and 1,2,4-benzenetriol based on acidic potassium permanganate chemiluminescence. Talanta 2006, 68, 646–652. [Google Scholar] [CrossRef]
- Daniel, D.; do Lago, C.L. Determination of Multiclass Pesticides Residues in Corn by QuEChERS and Capillary Electrophoresis Tandem Mass Spectrometry. Food Anal. Method 2019, 12, 1684–1692. [Google Scholar] [CrossRef]
- Lourenco, E.L.B.; Ferreira, A.; Pinto, E.; Yonamine, M.; Farsky, S.H.P. On-fiber derivatization of SPME extracts of phenol, hydroquinone and catechol with GC-MS detection. Chromatographia 2006, 63, 175–179. [Google Scholar] [CrossRef]
- Zhao, X.E.; Zuo, Y.N.; Xia, Y.H.; Sun, J.; Zhu, S.Y.; Xu, G.B. Multifunctional NH2-Cu-MOF based ratiometric fluorescence assay for discriminating catechol from its isomers. Sens. Actuators B Chem. 2022, 371, 132548. [Google Scholar] [CrossRef]
- Zhu, Y.; Kang, K.; Jia, J.; Wang, S.; Wang, J. Insights into the enhanced electrochemical sensing behavior of hydroquinone and catechol simultaneously enabled by ultrafine layer CoP-NiCoP heterostructure on graphene frameworks. Nanoscale 2023, 15, 9823–9834. [Google Scholar] [CrossRef]
- Zuo, J.B.; Shen, Y.L.; Wang, L.Y.; Yang, Q.; Cao, Z.; Song, H.O.; Ye, Z.W.; Zhang, S.P. Flexible electrochemical sensor constructed using an active copper center instead of unstable molybdenum carbide for simultaneous detection of toxic catechol and hydroquinone. Microchem. J. 2023, 187, 108443. [Google Scholar] [CrossRef]
- Movahed, V.; Arshadi, L.; Ghanavati, M.; Nejad, E.M.; Mohagheghzadeh, Z.; Rezaei, M. Simultaneous electrochemical detection of antioxidants Hydroquinone, Mono-Tert-butyl hydroquinone and catechol in food and polymer samples using ZnO@MnO2-rGO nanocomposite as sensing layer. Food Chem. 2023, 403, 134286. [Google Scholar] [CrossRef] [PubMed]
- Liu, G.Y.; Liu, J.; Pan, P.; Wang, Z.Y.; Yang, Z.C.; Wei, J.; Li, P.; Cao, S.X.; Shen, H.D.; Zhou, J.; et al. Electrochemical sensor based on laser-induced preparation of MnOx/rGO composites for simultaneous recognition of hydroquinone and catechol. Microchem. J. 2023, 185, 108234. [Google Scholar] [CrossRef]
- Chuenjitt, S.; Kongsuwan, A.; Phua, C.H.; Saichanapan, J.; Soleh, A.; Saisahas, K.; Samoson, K.; Wangchuk, S.; Promsuwan, K.; Limbut, W. A poly(neutral red)/porous graphene modified electrode for a voltammetric hydroquinone sensor. Electrochim. Acta 2022, 434, 141272. [Google Scholar] [CrossRef]
- Zhang, H.J.; Zou, X.; Chen, W.Y.; Sun, Q.; Gao, E.Q. A Cu-functionalized MOF and multi-walled carbon nanotube composite modified electrode for the simultaneous determination of hydroquinone and catechol. Anal. Methods-UK 2022, 14, 3961–3969. [Google Scholar] [CrossRef]
- Unnikrishnan, B.; Ru, P.L.; Chen, S.M. Electrochemically synthesized Pt-MnO2 composite particles for simultaneous determination of catechol and hydroquinone. Sens. Actuators B Chem. 2012, 169, 235–242. [Google Scholar] [CrossRef]
- Zhang, H.Q.; Huang, Y.H.; Hu, S.R.; Huang, Q.T.; Wei, C.; Zhang, W.X.; Yang, W.Z.; Dong, P.H.; Hao, A.Y. Self-assembly of graphitic carbon nitride nanosheets-carbon nanotube composite for electrochemical simultaneous determination of catechol and hydroquinone. Electrochim. Acta 2015, 176, 28–35. [Google Scholar] [CrossRef]
- Huang, Y.H.; Chen, J.H.; Sun, X.; Su, Z.B.; Xing, H.T.; Hu, S.R.; Weng, W.; Guo, H.X.; Wu, W.B.; He, Y.S. One-pot hydrothermal synthesis carbon nanocages-reduced graphene oxide composites for simultaneous electrochemical detection of catechol and hydroquinone. Sens. Actuators B Chem. 2015, 212, 165–173. [Google Scholar] [CrossRef]
- Rajkumar, C.; Thirumalraj, B.; Chen, S.M.; Veerakumar, P.; Lin, K.C. Voltammetric determination of catechol and hydroquinone using nitrogen-doped multiwalled carbon nanotubes modified with nickel nanoparticles. Microchim. Acta 2018, 185, 395. [Google Scholar] [CrossRef]
- Iijima, S. Helical microtubules of graphite carbon. Nature 1991, 354, 56–58. [Google Scholar] [CrossRef]
- Hahm, M.G.; Lee, J.H.; Hart, A.H.; Song, S.M.; Nam, J.; Jung, H.Y.; Hashim, D.P.; Li, B.; Narayanan, T.N.; Park, C.D.; et al. Carbon nanotube core graphitic shell hybrid fibers. ACS Nano 2013, 7, 10971. [Google Scholar] [CrossRef]
- Kausar, A. Advances in polymer-anchored carbon nanotube foam: A review. Polym. Plast. Technol. Mater. 2019, 58, 1965–1978. [Google Scholar] [CrossRef]
- Han, T.; Nag, A.; Mukhopadhyay, S.C.; Xu, Y.Z. Carbon nanotubes and its gas-sensing applications: A review. Sens. Actuators A Phys. 2019, 291, 107–143. [Google Scholar] [CrossRef]
- Lepak-Kuc, S.; Milowska, K.Z.; Boncel, S.; Szybowicz, M.; Dychalska, A.; Jozwik, I.; Koziol, K.K.; Jakubowska, M.; Lekawa-Raus, A. Highly Conductive Doped Hybrid Carbon Nanotube-Graphene Wires. ACS Appl. Mater. Inter. 2019, 11, 33207–33220. [Google Scholar] [CrossRef]
- Karimi-Maleh, H.; Beitollahi, H.; Kumar, P.S.; Tajik, S.; Jahani, P.M.; Karimi, F.; Karaman, C.; Vasseghian, Y.; Baghayeri, M.; Rouhi, J.; et al. Recent advances in carbon nanomaterials-based electrochemical sensors for food azo dyes detection. Food Chem. Toxicol. 2022, 164, 112961. [Google Scholar] [CrossRef] [PubMed]
- Shetti, N.P.; Nayak, D.S.; Malode, S.J.; Kakarla, R.R.; Shukla, S.S.; Aminabhavi, T.M. Sensors based on ruthenium-doped TiO2 nanoparticles loaded into multi-walled carbon nanotubes for the detection of flufenamic acid and mefenamic acid. Anal. Chim. Acta 2019, 1051, 58–72. [Google Scholar] [CrossRef] [PubMed]
- Chetankumar, K.; Swamy, B.E.K.; Sharma, S.C. Poly (benzoguanamine) modified sensor for catechol in presence of hydroquinone: A voltammetric study. J. Electroanal. Chem. 2019, 849, 113365. [Google Scholar] [CrossRef]
- Yang, T.; Zhang, W.; Du, M.; Jiao, K. A PDDA/poly(2,6-pyridinedicarboxylic acid)-CNTs composite film DNA electrochemical sensor and its application for the detection of specific sequences related to PAT gene and NOS gene. Talanta 2008, 75, 987–994. [Google Scholar] [CrossRef]
- Kausar, A.; Rafique, I.; Muhammad, B. Electromagnetic Interference Shielding of Polymer/Nanodiamond, Polymer/Carbon Nanotube, and Polymer/Nanodiamond-Carbon Nanotube Nanobifiller Composite: A Review. Polym.-Plast. Technol. Eng. 2017, 56, 347–363. [Google Scholar] [CrossRef]
- Zhang, Y.Z.; Zhang, K.Y.; Ma, H.Y. Electrochemical DNA biosensor based on silver nanoparticles/poly(3-(3-pyridyl) acrylic acid)/carbon nanotubes modified electrode. Anal. Biochem. 2009, 387, 13–19. [Google Scholar] [CrossRef]
- Tashkhourian, J.; Daneshi, M.; Nami-Ana, F.; Behbahani, M.; Bagheri, A. Simultaneous determination of hydroquinone and catechol at gold nanoparticles mesoporous silica modified carbon paste electrode. J. Hazard Mater. 2016, 318, 117–124. [Google Scholar] [CrossRef] [PubMed]
- Song, Y.W.; Zhao, M.G.; Wang, X.T.; Qu, H.Y.; Liu, Y.; Chen, S.G. Simultaneous electrochemical determination of catechol and hydroquinone in seawater using Co3O4/MWCNTs/GCE. Mater. Chem. Phys. 2019, 234, 217–223. [Google Scholar] [CrossRef]
- Song, Y.H.; Yang, T.; Zhou, X.F.; Zheng, H.T.; Suye, S. A microsensor for hydroquinone and catechol based on a poly(3,4-ethylenedioxythiophene) modified carbon fiber electrode. Anal. Methods 2016, 8, 886–892. [Google Scholar] [CrossRef]
- Li, J.; Xia, J.F.; Zhang, F.F.; Wang, Z.H.; Liu, Q.Y. An electrochemical sensor based on copper-based metal-organic frameworks-graphene composites for determination of dihydroxybenzene isomers in water. Talanta 2018, 181, 80–86. [Google Scholar] [CrossRef] [PubMed]
Modified Electrode | pH | Linear Range (CC:10−6 mol/L) | Detection Limit 10−6 mol/L | Linear Range (HQ:10−6 mol/L) | Detection Limit 10−6 mol/L | Ref. |
---|---|---|---|---|---|---|
ML-101(Cr)-rGO-CPE | 7.5 | 10–1400 | 4.10 | 4–1000 | 0.66 | [1] |
Co3O4/MWCNTs/GCE | 8.0 | 10–700 | 8.50 | 10–800 | 5.60 | [32] |
Poly(3,4ethylenedioxythiophene)/CFE | 7.0 | 0.53–86 | 0.42 | 0.52–4900 | 1.60 | [33] |
Cu-MOFGN/GCE | 7.0 | 1–1000 | 0.59 | 1.0–1000 | 0.33 | [34] |
PPAA-MWCNTs/GCE | 7.0 | 1.0–100 | 0.32 | 1.0–100 | 0.20 | This work |
No. | HQ Added (10−6 mol/L) | Found (10−6 mol/L) | Recovery (%) | CC Added (10−6 mol/L) | Found (10−6 mol/L) | Recovery (%) |
---|---|---|---|---|---|---|
1 | 5.00 | 4.82 | 97.00 | 5.00 | 4.76 | 95.20 |
2 | 10.00 | 9.73 | 97.30 | 10.00 | 9.85 | 98.50 |
Disclaimer/Publisher’s Note: The statements, opinions and data contained in all publications are solely those of the individual author(s) and contributor(s) and not of MDPI and/or the editor(s). MDPI and/or the editor(s) disclaim responsibility for any injury to people or property resulting from any ideas, methods, instructions or products referred to in the content. |
© 2023 by the authors. Licensee MDPI, Basel, Switzerland. This article is an open access article distributed under the terms and conditions of the Creative Commons Attribution (CC BY) license (https://creativecommons.org/licenses/by/4.0/).
Share and Cite
Luo, F.; Fan, S.; Sha, M.; Cheng, D.; Zhang, N.; Jiang, C.; Zhang, K.; Fang, W.; Ji, K. Fabrication of Poly (Trans-3-(3-Pyridyl)Acrylic Acid)/Multi—Walled Carbon Nanotubes Membrane for Electrochemically Simultaneously Detecting Catechol and Hydroquinone. Membranes 2023, 13, 657. https://doi.org/10.3390/membranes13070657
Luo F, Fan S, Sha M, Cheng D, Zhang N, Jiang C, Zhang K, Fang W, Ji K. Fabrication of Poly (Trans-3-(3-Pyridyl)Acrylic Acid)/Multi—Walled Carbon Nanotubes Membrane for Electrochemically Simultaneously Detecting Catechol and Hydroquinone. Membranes. 2023; 13(7):657. https://doi.org/10.3390/membranes13070657
Chicago/Turabian StyleLuo, Fabao, Shasha Fan, Maolin Sha, Deshun Cheng, Na Zhang, Chenxiao Jiang, Keying Zhang, Weiguang Fang, and Kunyu Ji. 2023. "Fabrication of Poly (Trans-3-(3-Pyridyl)Acrylic Acid)/Multi—Walled Carbon Nanotubes Membrane for Electrochemically Simultaneously Detecting Catechol and Hydroquinone" Membranes 13, no. 7: 657. https://doi.org/10.3390/membranes13070657
APA StyleLuo, F., Fan, S., Sha, M., Cheng, D., Zhang, N., Jiang, C., Zhang, K., Fang, W., & Ji, K. (2023). Fabrication of Poly (Trans-3-(3-Pyridyl)Acrylic Acid)/Multi—Walled Carbon Nanotubes Membrane for Electrochemically Simultaneously Detecting Catechol and Hydroquinone. Membranes, 13(7), 657. https://doi.org/10.3390/membranes13070657