Structural Descriptors and Antioxidant Activity Markers of 4-[4-(2-Aminoethoxy)benzyl]aniline
Abstract
1. Introduction
- –
- Antioxidant activity of the ABA during brain ischemia by determination of LPO markers in brain tissue and the level of neurological deficit.
- –
- Appropriate models of ABA for the investigation of its molecular structure features and properties, as well as structural descriptors by DFT methods.
- –
- To evaluate the effect of the synthetic thyronamine analogue ABA on the severity of acute cerebral ischemia and its potential involvement in the regulation of antioxidant defense systems.
- –
- To rationalize the structural models ABA for computations by DFT methods;
- –
- To calculate descriptors of different levels for further ABA investigations.
2. Materials and Methods
2.1. Synthesis of 4-[4-(2-Aminoethoxy)benzyl]aniline
2.2. Bioactivity of 4-[4-(2-Aminoethoxy)benzyl]aniline
2.2.1. Experimental Animals
2.2.2. Oxidative Stress Assessment in the Acute Cerebral Ischemia Model
2.2.3. Assessment of Neurological Deficits
2.2.4. Laboratory Tests
2.2.5. Statistical Analysis
2.3. DFT Calculations
2.4. Descriptors Calculations
Intermolecular Interactions Descriptors
3. Results and Discussion
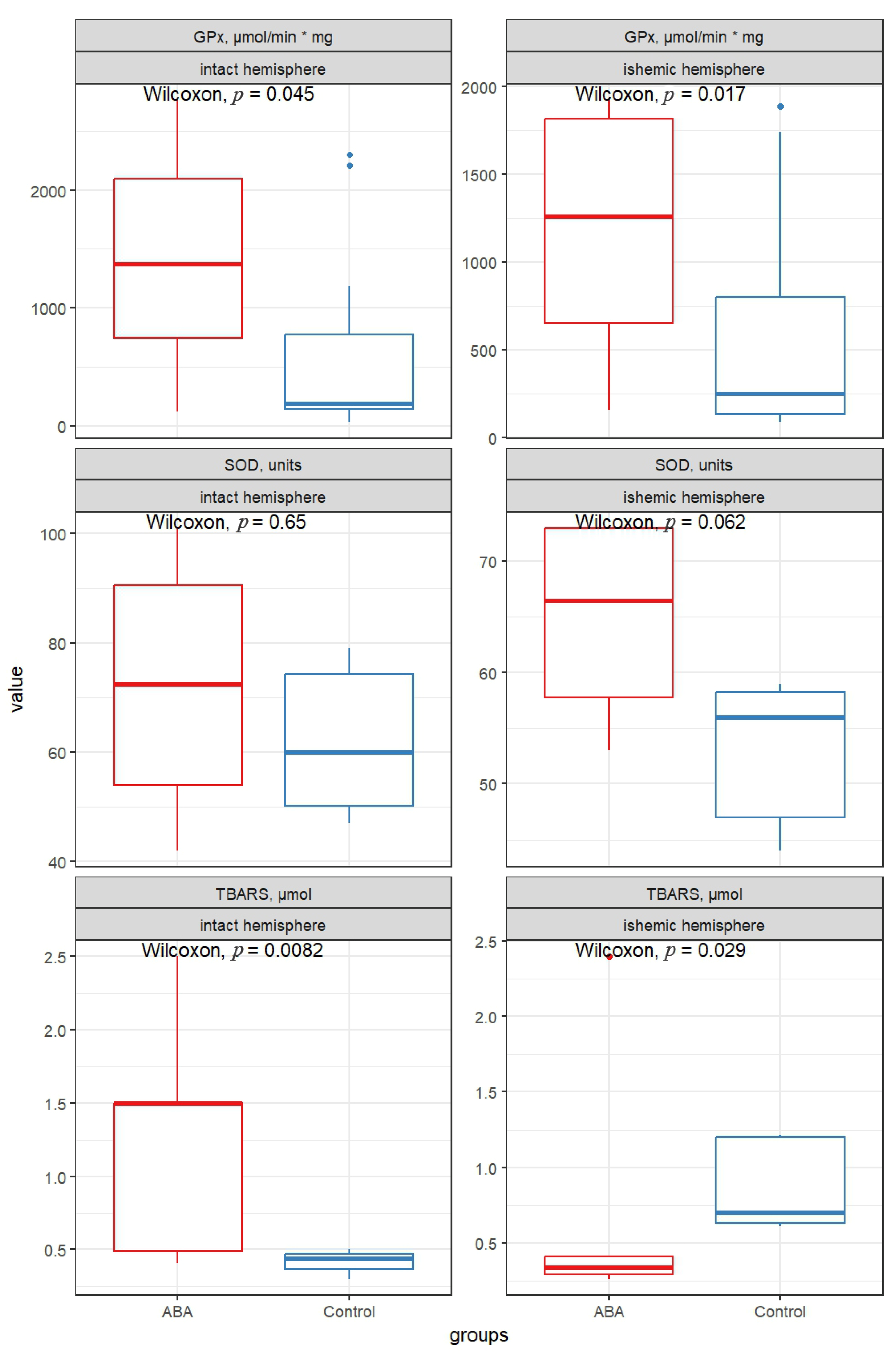
3.1. Markers of the ABA Antioxidant Activity in the Model of Acute Cerebral Ischemia
3.2. Effect of ABA Administration on the Indicators of Neurological Deficit in an Experimental Model of Acute Cerebral Ischemia
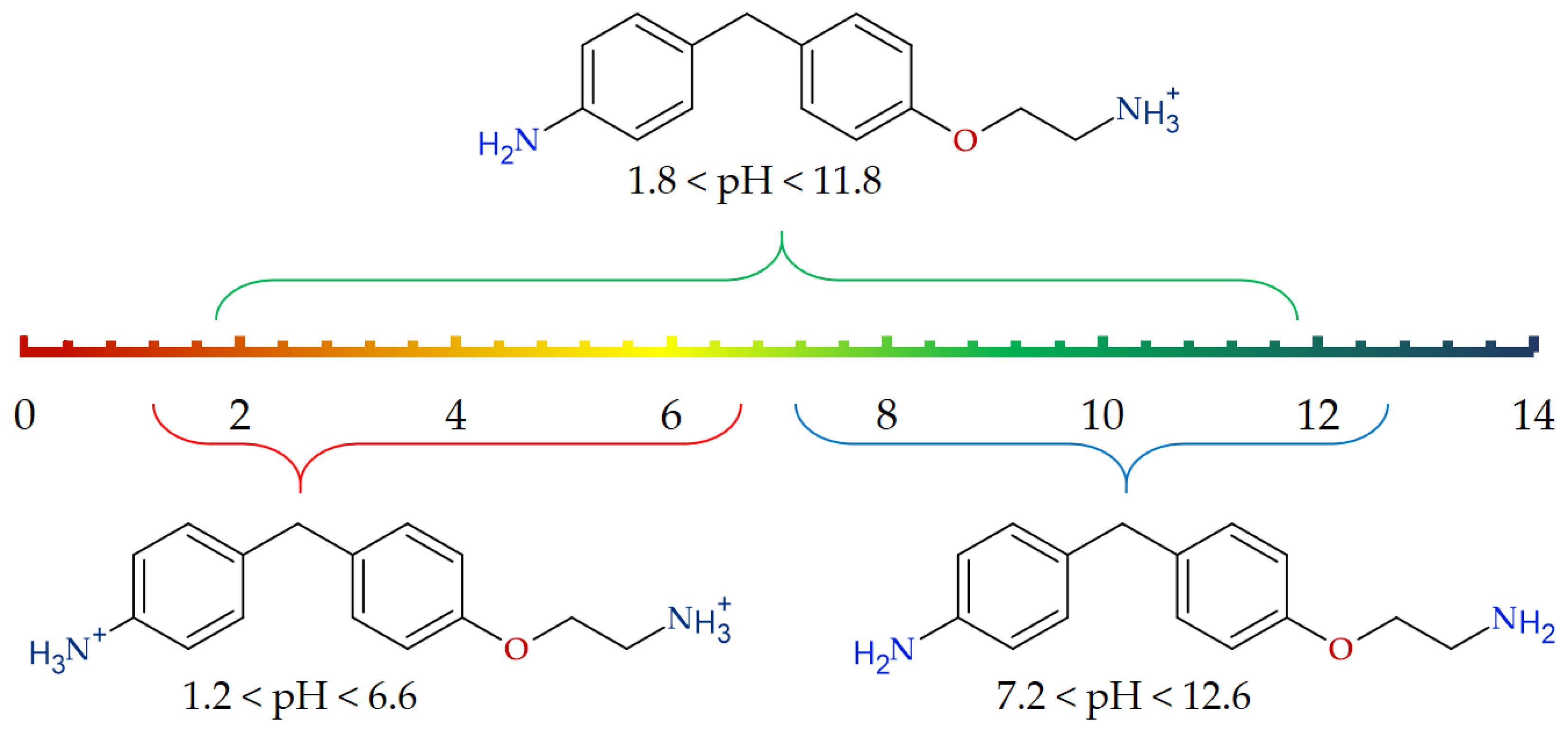
3.3. Chemical Species Distribution for the ABA at Different pH Levels
3.4. Structural Models of the ABA for DFT Calculations
3.5. Descriptors for the ABA
3.6. Descriptors of Intermolecular Interactions: H-Bonds Formation and Interaction with Reactive Oxygen Species
- –
- Experimental study of the ABA antioxidant activity in the reactions with ROS;
- –
- Study of the ABA reactivity in the reactions with ROS by DFT methods.
4. Conclusions
Supplementary Materials
Author Contributions
Funding
Institutional Review Board Statement
Informed Consent Statement
Data Availability Statement
Acknowledgments
Conflicts of Interest
Abbreviations
| ABA | 4-[4-(2-Aminoethoxy)benzyl]aniline |
| AIF | Apoptosis-Inducing Factor |
| BDE | Bond Dissociation Energy |
| CAT | Catalase |
| DMSO | Dimethyl Sulfoxide |
| DTNB | 5,5′-Dithiobis-2-nitrobenzoic Acid |
| DFT | Density Functional Theory |
| Ebind | Binding Energy |
| EA | Electron Affinity |
| ELISA | Enzyme-Linked Immuno Sorbent Assay |
| GCRDs | Global Chemical Reactivity Descriptors |
| GIAO | Gauge-Independent Atomic Orbital method |
| IE | Ionization Energy |
| IR | Infra Red |
| IS | Ischemic Stroke |
| LPO | Lipid Peroxidation |
| MDA | Malondialdehyde |
| mNSS | Modified Neurological Severity Scores |
| NADPH | Nicotinamide Adenine Dinucleotide Phosphate |
| NGB | Neuroglobin |
| NMR | Nuclear Magnetic Resonance |
| Nrf2 | Nuclear Factor Erythroid 2-related Factor 2 |
| OS | Oxidative Stress |
| PARP1 | Poly(ADP-ribose) Polymerase 1 |
| PCM | Polarizable Continuum Model |
| RCCA | Right Common Carotid Artery |
| ROS | Reactive Oxygen Species |
| TBA | Thiobarbituric Acid |
| TMS | Tetramethylsilane |
| TBARS | Products Actively Reacting with Thiobarbituric Acid |
| T0AM | Thyronamine |
| T1AM | 3-Iodothyronamine |
| ZPC | Zero-point Energy Correction |
References
- Kamal, F.Z.; Lefter, R.; Jaber, H.; Balmus, I.-M.; Ciobica, A.; Iordache, A.-C. The Role of Potential Oxidative Biomarkers in the Prognosis of Acute Ischemic Stroke and the Exploration of Antioxidants as Possible Preventive and Treatment Options. Int. J. Mol. Sci. 2023, 24, 6389. [Google Scholar] [CrossRef] [PubMed]
- Gulcin, İ. Antioxidants: A comprehensive review. Arch. Toxicol. 2025, 99, 1893–1997. [Google Scholar] [CrossRef] [PubMed]
- Park, J.H.; Lee, T.K.; Kim, D.W.; Ahn, J.H.; Lee, C.H.; Kim, J.D.; Shin, M.C.; Cho, J.H.; Lee, J.C.; Won, M.H.; et al. Astaxanthin Confers a Significant Attenuation of Hippocampal Neuronal Loss Induced by Severe Ischemia-Reperfusion Injury in Gerbils by Reducing Oxidative Stress. Mar. Drugs 2022, 20, 267. [Google Scholar] [CrossRef] [PubMed]
- Wang, X.; Li, H.; Wang, G.; He, Z.; Cui, X.; Song, F.; Li, J.; Zhang, L. Therapeutic and preventive effects of astaxanthin in ischemic stroke. Front. Nutr. 2024, 11, 1441062. [Google Scholar] [CrossRef]
- Sugawara, T.; Lewén, A.; Gasche, Y.; Yu, F.; Chan, P.H. Overexpression of SOD1 protects vulnerable motor neurons after spinal cord injury by attenuating mitochondrial Cytochrome C release. FASEB J. 2002, 16, 1997–1999. [Google Scholar] [CrossRef]
- Keller, J.N.; Kindy, M.S.; Holtsberg, F.W.; St Clair, D.K.; Yen, H.C.; Germeyer, A.; Steiner, S.M.; Bruce-Keller, A.J.; Hutchins, J.B.; Mattson, M.P. Mitochondrial manganese superoxide dismutase prevents neural apoptosis and reduces ischemic brain injury: Suppression of peroxynitrite production, lipid peroxidation, and mitochondrial dysfunction. J. Neurosci. Off. J. Soc. Neurosci. 1998, 18, 687–697. [Google Scholar] [CrossRef] [PubMed]
- Jurcau, A.; Simion, A. Oxidative Stress in the Pathogenesis of Alzheimer’s Disease and Cerebrovascular Disease with Therapeutic Implications. CNS Neurol. Disord. Drug Targets 2020, 19, 94–108. [Google Scholar] [CrossRef]
- Paul, S.; Candelario-Jalil, E. Emerging neuroprotective strategies for the treatment of ischemic stroke: An overview of clinical and preclinical studies. Exp. Neurol. 2021, 335, 113518. [Google Scholar] [CrossRef]
- Zhong, C.; Yin, C.; Niu, G.; Ning, L.; Pan, J. MicroRNA miR-497 is closely associated with poor prognosis in patients with cerebral ischemic stroke. Bioengineered 2021, 12, 2851–2862. [Google Scholar] [CrossRef]
- Raevsky, O.A. Molecular structure descriptors in the computer-aided design of biologically active compounds. Russ. Chem. Rev. 1999, 68, 505–524. [Google Scholar] [CrossRef]
- Vijayaraj, R.; Subramanian, V.; Chattaraj, P.K. Comparison of Global Reactivity Descriptors Calculated Using Various Density Functionals: A QSAR Perspective. J. Chem. Theory Comput. 2009, 5, 2744–2753. [Google Scholar] [CrossRef] [PubMed]
- Chiellini, G.; Nesi, G.; Digiacomo, M.; Malvasi, R.; Espinoza, S.; Sabatini, M.; Frascarelli, S.; Laurino, A.; Cichero, E.; Macchia, M.; et al. Design, Synthesis, and Evaluation of Thyronamine Analogues as Novel Potent Mouse Trace Amine Associated Receptor 1 (mTAAR1) Agonists. J. Med. Chem. 2015, 58, 5096–5107. [Google Scholar] [CrossRef]
- Eresko, A.B.; Raksha, E.V.; Filimonov, D.A.; Muratov, A.V.; Voitash, A.A.; Trubnikova, N.N. Structural Analogues of Thyronamines. Experimental and DFT-Calculated 1H NMR Chemical Shifts of 4-[4-(2-Aminoethoxy)benzyl]aniline. Rus. J. Org. Chem. 2024, 60, 1654–1662. [Google Scholar] [CrossRef]
- Schaar, K.L.; Brenneman, M.M.; Savitz, S.I. Functional assessments in the rodent stroke model. Exp. Trans. Stroke Med. 2010, 2, 13. [Google Scholar] [CrossRef] [PubMed]
- Neese, F.; Wennmohs, F.; Becker, U.; Riplinger, C. The ORCA quantum chemistry program package. J. Chem. Phys. 2020, 152, 224108. [Google Scholar] [CrossRef]
- Becke, A.D. Density-Functional Thermochemistry. III. The Role of Exact Exchange. J. Chem. Phys. 1993, 98, 5648–5652. [Google Scholar] [CrossRef]
- Lee, C.; Yang, W.; Parr, R.G. Development of the Colle-Salvetti Correlation-Energy Formula into a Functional of the Electron Density. Phys. Rev. B 1988, 37, 785–789. [Google Scholar] [CrossRef]
- Lee, T.J.; Taylor, P.R. A diagnostic for determining the quality of single-reference electron correlation methods. Int. J. Quantum Chem. 1989, 36, 199–207. [Google Scholar] [CrossRef]
- Medvedev, M.G.; Bushmarinov, I.S.; Sun, J.; Perdew, J.P.; Lyssenko, K.A. Density functional theory is straying from the path toward the exact functional. Science 2017, 355, 49–52. [Google Scholar] [CrossRef] [PubMed]
- Nolasco, M.M.; Vaz, P.D.; Serrano, R.A.F.; Martins, J.T.; Araújo, C.F.; Ribeiro-Claro, P. Computational spectroscopy for crystalline materials: From structure to properties. CrystEngComm 2025, 27, 4231–4242. [Google Scholar] [CrossRef]
- Wolinski, K.; Hilton, J.F.; Pulay, P. Efficient implementation of the gauge-independent atomic orbital method for NMR chemical shift calculations. J. Am. Chem. Soc. 1990, 112, 8251–8260. [Google Scholar] [CrossRef]
- Muller, P. Glossary of terms used in physical organic chemistry (IUPAC Recommendations 1994). Pure Appl. Chem. 1994, 66, 1077–1184. [Google Scholar] [CrossRef]
- Grimme, S.; Ehrlich, S.; Goerigk, L. Effect of the damping function in dispersion corrected density functional theory. J. Comput. Chem. 2011, 32, 1456–1465. [Google Scholar] [CrossRef] [PubMed]
- Grimme, S.; Antony, J.; Ehrlich, S.; Krieg, H. A consistent and accurate ab initio parametrization of density functional dispersion correction (DFT-D) for the 94 elements H-Pu. J. Chem. Phys. 2010, 132, 154104. [Google Scholar] [CrossRef] [PubMed]
- MarvinSketch 14.7.14.0. Available online: http://www.chemaxon.com (accessed on 10 February 2026).
- Orlowski, P.; Chappell, M.; Park, C.S.; Grau, V.; Payne, S. Modelling of pH dynamics in brain cells after stroke. Interface Focus 2011, 1, 408–416. [Google Scholar] [CrossRef]
- Zha, X.M.; Xiong, Z.G.; Simon, R.P. pH and proton-sensitive receptors in brain ischemia. J. Cereb. Blood Flow Metab. 2022, 42, 1349–1363. [Google Scholar] [CrossRef] [PubMed]
- Theparambil, S.M.; Hosford, P.S.; Ruminot, I.; Kopach, O.; Reynolds, J.R.; Sandoval, P.Y.; Rusakov, D.A.; Barros, L.F.; Gourine, A.V. Astrocytes regulate brain extracellular pH via a neuronal activity-dependent bicarbonate shuttle. Nat. Commun. 2020, 11, 5073. [Google Scholar] [CrossRef]
- Cichocka, M.; Kozub, J.; Urbanik, A. PH Measurements of the Brain Using Phosphorus Magnetic Resonance Spectroscopy ((31)PMRS) in Healthy Men—Comparison of Two Analysis Methods. Pol. J. Radiol. 2015, 80, 509–514. [Google Scholar] [CrossRef] [PubMed]
- Pignataro, G.; Simon, R.P.; Xiong, Z.G. Prolonged activation of ASIC1a and the time window for neuroprotection in cerebral ischaemia. Brain J. Neurol. 2007, 130, 151–158. [Google Scholar] [CrossRef] [PubMed]
- Eresko, A.B.; Raksha, E.V.; Filimonov, D.A.; Trubnikova, N.N.; Kisilenko, I.A.; Chudoba, D.M. Structural Analogues of Thyronamines: Some Aspects of the Structure and Bioactivity of 4-[4-(2-Aminoetoxy)benzyl]aniline. Chem. Proc. 2024, 16, 22. [Google Scholar] [CrossRef]
- Fleming, I. Molecular Orbitals and Organic Chemical Reactions; John Wiley & Sons: Hoboken, NJ, USA, 2009; ISBN 978-0-470-74659-2. [Google Scholar]
- Del Bene, J.E.; Jordan, M.J.T. Vibrational Spectroscopic and NMR Properties of Hydrogen-Bonded Complexes: Do They Tell Us the Same Thing? J. Am. Chem. Soc. 2000, 122, 4794–4797. [Google Scholar] [CrossRef]
- Tolstoy, P.M.; Tupikina, E.Y. IR and NMR Spectral Diagnostics of Hydrogen Bond Energy and Geometry. In Spectroscopy and Computation of Hydrogen-Bonded Systems; Wójcik, M.J., Ozaki, Y., Eds.; Wiley-VCH GmbH: Weinheim, Germany, 2002; pp. 345–407. [Google Scholar] [CrossRef]
- Gibson, E.K.; Winfield, J.M.; Muir, K.W.; Carr, R.H.; Eaglesham, A.; Gavezzotti, A.; Parker, S.F.; Lennon, D. A structural and spectroscopic investigation of the hydrochlorination of 4-benzylaniline: The interaction of anhydrous hydrogen chloride with chlorobenzene. Phys. Chem. Chem. Phys. 2009, 11, 288–297. [Google Scholar] [CrossRef] [PubMed]
- Gencarelli, M.; Lodovici, M.; Bellusci, L.; Raimondi, L.; Laurino, A. Redox Properties of 3-Iodothyronamine (T1AM) and 3-Iodothyroacetic Acid (TA1). Int. J. Mol. Sci. 2022, 23, 2718. [Google Scholar] [CrossRef]
- D’Alessandro, N.; Bianchi, G.; Fang, X.; Jin, F.; Schuchmann, H.-P.; von Sonntag, C. Reaction of superoxide with phenoxyl-type radicals. J. Chem. Soc. Perkin Trans. 2 2000, 9, 1862–1867. [Google Scholar] [CrossRef]
- Winterbourn, C.C.; Kettle, A.J. Radical-radical reactions of superoxide: A potential route to toxicity. Biochem. Biophys. Res. Commun. 2003, 305, 729–736. [Google Scholar] [CrossRef] [PubMed]
- Sakurai, Y.; Yamaguchi, S.; Yamashita, T.; Lu, Y.; Kuwabara, K.; Yamaguchi, T.; Miyake, Y.; Kanaori, K.; Watanabe, S.; Tajima, K. Mechanisms Associated with Superoxide Radical Scavenging Reactions Involving Phenolic Compounds Deduced Based on the Correlation between Oxidation Peak Potentials and Second-Order Rate Constants Determined Using Flow-Injection Spin-Trapping EPR Methods. J. Agric. Food Chem. 2024, 72, 16018–16031. [Google Scholar] [CrossRef] [PubMed]
- Akimov, M.G.; Dudina, P.V.; Fomina-Ageeva, E.V.; Gretskaya, N.M.; Bosaya, A.A.; Tsetlin, V.I.; Bezuglov, V.V.; Rudakova, E.V.; Makhaeva, G.F.; Kagarlitsky, G.O.; et al. Neuroprotective and antioxidant activity of arachidonoyl choline, its bis-quaternized analogues and other acylcholines. Dokl. Biochem. Biophys. 2020, 491, 93–97. [Google Scholar] [CrossRef] [PubMed]
- Krugovov, D.A.; Mengele, E.A.; Kasaikina, O.T. Acetylcholine as a catalyst of hydroperoxide decomposition to free radicals. Russ. Chem. Bull. 2014, 63, 1837–1842. [Google Scholar] [CrossRef]
- Potapova, N.V.; Kasaikina, O.T.; Berezin, M.P. Supramolecular Catalysts for the Radical Destruction of Hydroperoxides Based on Choline Derivatives. Kinet. Catal. 2023, 64, 67–73. [Google Scholar] [CrossRef]
- Turovskij, N.A.; Berestneva, Y.V.; Raksha, E.V.; Zubritskij, M.Y.; Grebenyuk, S.A. NMR study of the complex formation between tert-butyl hydroperoxide and tetraalkylammonium bromides. Monatshefte Chem. 2014, 145, 1443–1448. [Google Scholar] [CrossRef]
- Turovskij, N.A.; Berestneva, Y.V.; Raksha, E.V.; Opeida, I.A.; Zubritskij, M.Y. Complex formation of hydroperoxides with Alk4NBr according to NMR spectroscopy data. Russ. Chem. Bull. 2014, 63, 1717–1721. [Google Scholar] [CrossRef]
- Turovskij, N.A.; Raksha, E.V.; Berestneva, Y.V. Chemically activated decomposition of arylalkyl hydroperoxides in the presence of tetraalkylammonium bromides. In Hydroperoxide Properties, Uses and Reactions; Aubin, V., Ed.; Nova Science Publishers Inc.: New York, NY, USA, 2020; Chapter 4; pp. 89–122. [Google Scholar]
- Navasardyan, M.A.; Bezzubov, S.I.; Medvedev, A.G.; Prikhodchenko, P.V.; Churakov, A.V. Novel peroxosolvates of tetraalkylammonium halides: The first case of layers containing hydrogen-bonded peroxide molecules. CrystEngComm 2022, 24, 38–42. [Google Scholar] [CrossRef]
- Giguère, P.A.; Liu, I.D. Kinetics of the thermal decomposition of hydrogen peroxide vapor. Can. J. Chem. 1957, 35, 283–293. [Google Scholar] [CrossRef]
- Brouwer, L.; Cobos, C.J.; Troe, J.; Dübal, H.-R.; Crim, F.F. Specific rate constants k(E,J) and product state distributions in simple bond fission reactions. II. Application to HOOH→OH+OH. J. Chem. Phys. 1987, 86, 6171–6182. [Google Scholar] [CrossRef]
- Busing, W.R.; Levy, H.A. Crystal and Molecular Structure of Hydrogen Peroxide: A Neutron-Diffraction Study. J. Chem. Phys. 1965, 42, 3054–3059. [Google Scholar] [CrossRef]
- Olson, W.B.; Hunt, R.H.; Young, B.W.; Maki, A.G.; Brault, J.W. Rotational constants of the lowest torsional component (0G) of the ground state and lowest torsional component (1G) of the first excited torsional state of hydrogen peroxide. J. Mol. Spectrosc. 1988, 127, 12–34. [Google Scholar] [CrossRef]
- Giguere, P.A.; Srinivasan, T.K.K. A Raman study of H2O2 and D2O2 vapor. J. Raman Spectrosc. 1974, 2, 125–132. [Google Scholar] [CrossRef]
- Camy-Peyret, C.; Flaud, J.-M.; Johns, J.W.C.; Noel, M. Torsion-vibration interaction in H2O2: First high-resolution observation of ν3. J. Mol. Spectrosc. 1992, 155, 84–104. [Google Scholar] [CrossRef]






| Hemisphere | Marker | Group | Median | IQR |
|---|---|---|---|---|
| Intact | GPx, µmol/min * mg | ABA | 1373 | 1351 |
| Control | 190 | 632 | ||
| SOD, units | ABA | 72.5 | 36.5 | |
| Control | 60 | 24 | ||
| TBARS, µmol | ABA | 1.5 | 1.01 | |
| Control | 0.44 | 0.1 | ||
| Ishemic | GPx, µmol/min * mg | ABA | 1262 | 1167 |
| Control | 246 | 666 | ||
| SOD, units | ABA | 66.5 | 15.2 | |
| Control | 56 | 11.2 | ||
| TBARS, µmol | ABA | 0.34 | 0.12 | |
| Control | 0.7 | 0.57 |
| Day | Group | Median | IQR |
|---|---|---|---|
| Day 1 | ABA | 1 | 1.5 |
| Control | 3 | 0.75 | |
| Sham | 1 | 0.75 | |
| Day 3 | ABA | 1 | 0 |
| Control | 2 | 2.25 | |
| Sham | 1 | 1.5 | |
| Day 7 | ABA | 0.5 | 1.75 |
| Control | 2 | 0.75 | |
| Sham | 1 | 1.5 |
| Parameters | ABA | ABA-H+ | DMSO…ABA-H+ |
|---|---|---|---|
| Global reactivity | |||
| IEadiabatic, eV | 5.05 | 5.12 | 4.84 |
| IEvertical, eV | 5.37 | 5.46 | 5.23 |
| EAadiabatic, eV | −0.41 | −0.66 | −0.55 |
| EAvertical, eV | −0.21 | −0.45 | −0.34 |
| η, eV | 2.73 | 2.89 | 2.70 |
| S, eV | 0.18 | 0.17 | 0.19 |
| Electronic structure | |||
| EHOMO, eV | −5.39 | −5.46 | −5.23 |
| ELUMO, eV | −0.12 | −0.36 | −0.28 |
| Egap, eV | 5.27 | 5.10 | 4.95 |
| μ, D | 1.44 | 30.54 | 34.31 |
| q(N14), e | −0.676 | −0.676 | −0.710 |
| q(N18), e | −0.631 | −0.525 | −0.519 |
| q(O15), e | −0.546 | −0.560 | −0.561 |
| Molecular geometry | |||
| C13–N14, Å | 1.398 | 1.397 | 1.398 |
| C17–N18, Å | 1.465 | 1.505 | 1.506 |
| N14–H, Å | 1.012 | 1.012 | 1.011 1.022 |
| N18–H, Å | 1.019 | 1.025 | 1.025 |
| α, ° | 62.5 | 90.3 | 59.5 |
| β, ° | −1.9 | −91.4 | −4.5 |
| γ, ° | 61.4 | 179.9 | 54.6 |
| Harmonic vibrations * | |||
| sym stretching (NH2)ar, cm−1 | 3557 | 3557 | 3401 |
| sym stretching (NH2)alk, cm−1 | 3478 | 3428 | 3417 |
| asym stretching (NH2)ar, cm−1 | 3658 | 3658 | 3627 |
| asym stretching (NH2)alk, cm−1 | 3558 | 3520 3512 | 3525 3502 |
| scissoring (NH2)ar, cm−1 | 1656 | 1672 1654 | 1685 |
| scissoring (NH2)alk, cm−1 | 1663 | 1674 1670 | 1674 |
| wagging (NH2)ar, cm−1 | 622 | 627 | 732 |
| stretching (N–C)alk, cm−1 | 1144 | 1015 | 1068 |
| stretching (N–C)ar, cm−1 | 1309 | 1312 | 1324 |
| torsions (NH2)ar, cm−1 | 302 | 304 | - |
| torsions (NH2)alk, cm−1 | 325 | 283 | 271 |
| NMR 1H chemical shifts | |||
| δ (NH2)ar, ppm | 3.06 | 3.06 | 4.51 |
| δ (NH2)alk, ppm | 0.67 | 4.74 | 5.03 |
| Parameters | H2O2 | Complex 1 | Complex 2 |
|---|---|---|---|
| Ebind, kJ·mol−1 | - | −53.8 | −624.7 |
| ΔGbind, kJ·mol−1 | - | −8.9 | −534.8 |
| BDEO-O, kJ·mol−1 | 201.3 * | 201.1 | 198.6 |
| Parameters | H2O2 Experimental [49,50,51,52] | *H2O2 | *Complex 1 | *Complex 2 |
|---|---|---|---|---|
| lO-O, Å | 1.453 ± 0.007 | 1.456 | 1.457 | 1.455 |
| lO-H, Å | 0.988 ± 0.005 | 0.971 | 0.973 | 1.001 0.971 |
| ∠HOO, ° | 102.7 ± 0.3 | 99.8 | 101.0 | 101.3 101.2 |
| ∠HOOH, ° | 90.2 ± 0.6 | 118.6 | 112.0 | −88.9 |
| d (NH…O), Å | - | - | 2.31 2.39 | 1.98 2.70 |
| d (N…O), Å | - | - | 2.81 | 2.79 |
| ∠ (N–H…O), ° | - | - | 109.0 103.2 | 133.9 73.6 |
| d (OH…Cl−), Å | - | - | - | 2.11 |
| ∠ (O–H… Cl−), ° | - | - | - | 159.6 |
| d (NH…Cl−), Å | - | - | - | 1.82 |
| ∠ (N–H… Cl−), ° | - | - | - | 163.7 |
| stretching (O–O), cm−1 | 864 | 955 | 948 | 952 |
| stretching (O–H), cm−1 | 3618 | 3763 3764 | 3750 3723 | 3766 3214 |
| bending (O–O–H), cm−1 | 1393 | 1444 1314 | 1420 1320 | 1467 1366 |
| torsion (H–O–O–H), cm−1 | - | 351 | 524 290 | 240 233 |
| sym stretching (NH3), cm−1 | - | - | 3407 | - |
| asym stretching (NH3), cm−1 | - | - | 3507 3466 | 3528 3326 2137 |
| bending (NH3), cm−1 | - | - | 1660 1688 | 1614 1658 |
| torsion (NH3), cm−1 | - | 255 | 460 | |
| bending (N–H…O), cm−1 | - | - | 1177 | |
| bending (O–H…Cl−), cm−1 | - | - | - | 904 |
Disclaimer/Publisher’s Note: The statements, opinions and data contained in all publications are solely those of the individual author(s) and contributor(s) and not of MDPI and/or the editor(s). MDPI and/or the editor(s) disclaim responsibility for any injury to people or property resulting from any ideas, methods, instructions or products referred to in the content. |
© 2026 by the authors. Licensee MDPI, Basel, Switzerland. This article is an open access article distributed under the terms and conditions of the Creative Commons Attribution (CC BY) license.
Share and Cite
Filimonov, D.A.; Eresko, A.B.; Trubnikova, N.N.; Kisilenko, I.A.; Belotserkovskaya, M.A.; Raksha, E.V.; Ishchenko, R.V.; Chudoba, D.M. Structural Descriptors and Antioxidant Activity Markers of 4-[4-(2-Aminoethoxy)benzyl]aniline. Antioxidants 2026, 15, 256. https://doi.org/10.3390/antiox15020256
Filimonov DA, Eresko AB, Trubnikova NN, Kisilenko IA, Belotserkovskaya MA, Raksha EV, Ishchenko RV, Chudoba DM. Structural Descriptors and Antioxidant Activity Markers of 4-[4-(2-Aminoethoxy)benzyl]aniline. Antioxidants. 2026; 15(2):256. https://doi.org/10.3390/antiox15020256
Chicago/Turabian StyleFilimonov, Dmitry A., Alexander B. Eresko, Nadezhda N. Trubnikova, Irina A. Kisilenko, Margarita A. Belotserkovskaya, Elena V. Raksha, Roman V. Ishchenko, and Dorota M. Chudoba. 2026. "Structural Descriptors and Antioxidant Activity Markers of 4-[4-(2-Aminoethoxy)benzyl]aniline" Antioxidants 15, no. 2: 256. https://doi.org/10.3390/antiox15020256
APA StyleFilimonov, D. A., Eresko, A. B., Trubnikova, N. N., Kisilenko, I. A., Belotserkovskaya, M. A., Raksha, E. V., Ishchenko, R. V., & Chudoba, D. M. (2026). Structural Descriptors and Antioxidant Activity Markers of 4-[4-(2-Aminoethoxy)benzyl]aniline. Antioxidants, 15(2), 256. https://doi.org/10.3390/antiox15020256

