Association of Small HDL Subclasses with Mortality Risk in Chronic Kidney Disease
Abstract
1. Introduction
2. Materials and Methods
2.1. Study Design and Patients
2.2. Lipoprotein Profiling Using NMR Spectroscopy
2.3. Statistical Analyses
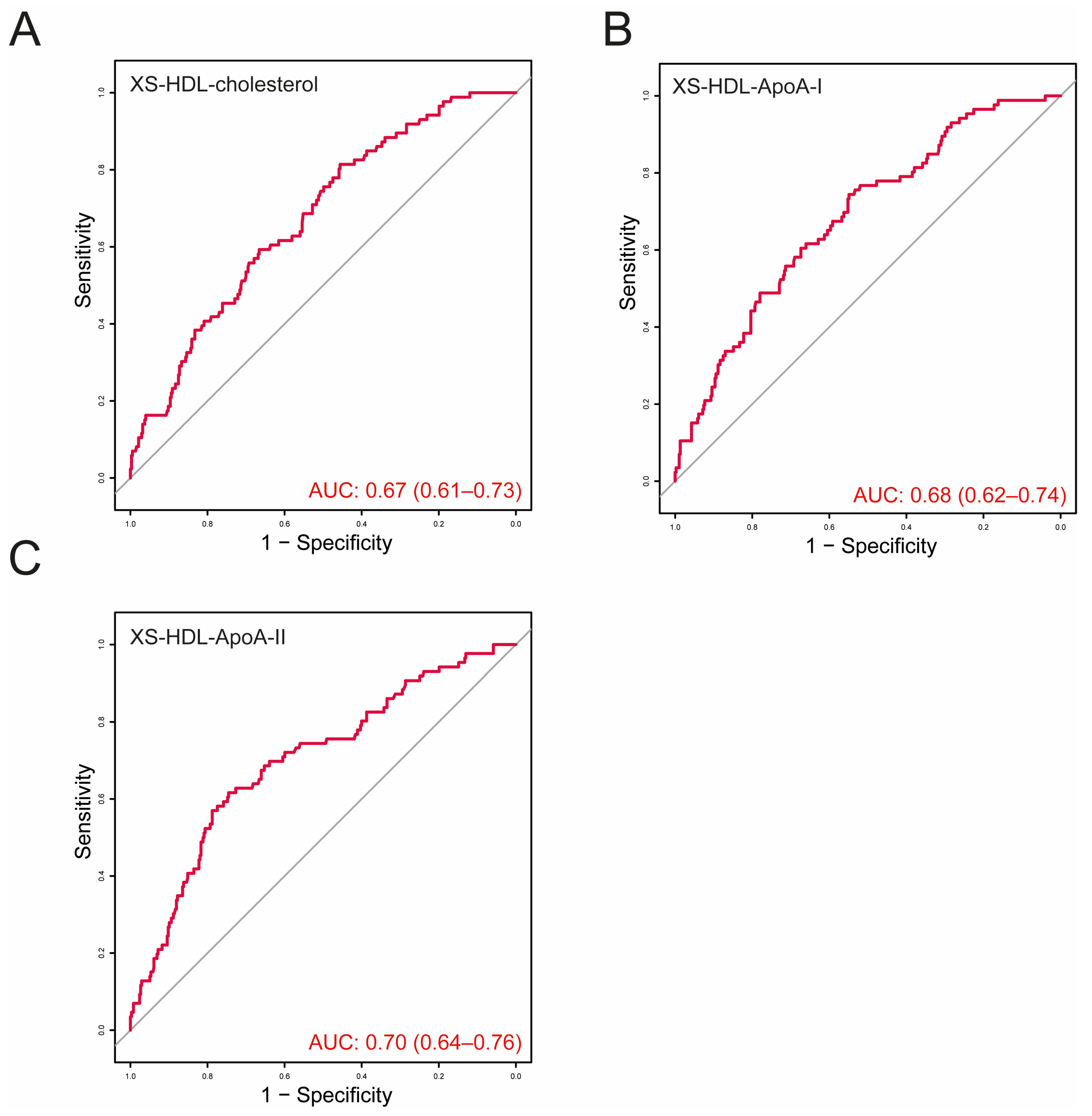
3. Results
3.1. Baseline Characteristics of the Study Cohort
3.2. HDL Subclass Parameters from Lipoprotein Profiling Using NMR Spectroscopy in CKD Patients
3.3. HDL-Related Parameters and the Risk of Mortality in Patients with CKD
4. Discussion
Supplementary Materials
Author Contributions
Funding
Institutional Review Board Statement
Informed Consent Statement
Data Availability Statement
Acknowledgments
Conflicts of Interest
References
- Weinstein, J.R.; Anderson, S. The Aging Kidney: Physiological Changes. Adv. Chronic Kidney Dis. 2010, 17, 302–307. [Google Scholar] [CrossRef] [PubMed]
- Go, A.S.; Chertow, G.M.; Fan, D.; McCulloch, C.E.; Hsu, C. Chronic Kidney Disease and the Risks of Death, Cardiovascular Events, and Hospitalization. N. Engl. J. Med. 2004, 351, 1296–1305. [Google Scholar] [CrossRef] [PubMed]
- Kohagura, K. The Public Health Impact of Hypertension and Diabetes: A Powerful Tag Team for the Development of Chronic Kidney Disease. Hypertens. Res. 2023, 46, 339–340. [Google Scholar] [CrossRef] [PubMed]
- Magagnoli, L.; Cozzolino, M.; Caskey, F.J.; Evans, M.; Torino, C.; Porto, G.; Szymczak, M.; Krajewska, M.; Drechsler, C.; Stenvinkel, P.; et al. Association between CKD-MBD and Mortality in Older Patients with Advanced CKD—Results from the EQUAL Study. Nephrol. Dial. Transplant. 2023, 38, 2562–2575. [Google Scholar] [CrossRef] [PubMed]
- Sarnak, M.J.; Jaber, B.L. Mortality Caused by Sepsis in Patients with End-Stage Renal Disease Compared with the General Population. Kidney Int. 2000, 58, 1758–1764. [Google Scholar] [CrossRef]
- Powe, N.R.; Jaar, B.; Furth, S.L.; Hermann, J.; Briggs, W. Septicemia in Dialysis Patients: Incidence, Risk Factors, and Prognosis. Kidney Int. 1999, 55, 1081–1090. [Google Scholar] [CrossRef]
- von Eckardstein, A.; Nordestgaard, B.G.; Remaley, A.T.; Catapano, A.L. High-Density Lipoprotein Revisited: Biological Functions and Clinical Relevance. Eur. Heart J. 2023, 44, 1394–1407. [Google Scholar] [CrossRef]
- Rohatgi, A.; Westerterp, M.; von Eckardstein, A.; Remaley, A.; Rye, K.-A. HDL in the 21st Century: A Multifunctional Roadmap for Future HDL Research. Circulation 2021, 143, 2293–2309. [Google Scholar] [CrossRef]
- Fazio, S.; Pamir, N. HDL Particle Size and Functional Heterogeneity. Circ. Res. 2016, 119, 704–707. [Google Scholar] [CrossRef]
- Trakaki, A.; Marsche, G. Current Understanding of the Immunomodulatory Activities of High-Density Lipoproteins. Biomedicines 2021, 9, 587. [Google Scholar] [CrossRef]
- Feingold, K.R.; Grunfeld, C. The Role of HDL in Innate Immunity. J. Lipid Res. 2011, 52, 1–3. [Google Scholar] [CrossRef] [PubMed]
- Grao-Cruces, E.; Lopez-Enriquez, S.; Martin, M.E.; Montserrat-de la Paz, S. High-Density Lipoproteins and Immune Response: A Review. Int. J. Biol. Macromol. 2022, 195, 117–123. [Google Scholar] [CrossRef] [PubMed]
- Asztalos, B.F.; Schaefer, E.J.; Horvath, K.V.; Yamashita, S.; Miller, M.; Franceschini, G.; Calabresi, L. Role of LCAT in HDL Remodeling: Investigation of LCAT Deficiency States. J. Lipid Res. 2007, 48, 592–599. [Google Scholar] [CrossRef] [PubMed]
- Kontush, A.; Chantepie, S.; Chapman, M.J. Small, Dense HDL Particles Exert Potent Protection of Atherogenic LDL against Oxidative Stress. Arterioscler. Thromb. Vasc. Biol. 2003, 23, 1881–1888. [Google Scholar] [CrossRef]
- Ashby, D.T.; Rye, K.-A.; Clay, M.A.; Vadas, M.A.; Gamble, J.R.; Barter, P.J. Factors Influencing the Ability of HDL to Inhibit Expression of Vascular Cell Adhesion Molecule-1 in Endothelial Cells. Arterioscler. Thromb. Vasc. Biol. 1998, 18, 1450–1455. [Google Scholar] [CrossRef]
- Bauer, L.; Kern, S.; Rogacev, K.S.; Emrich, I.E.; Zawada, A.; Fliser, D.; Heinemann, A.; Heine, G.H.; Marsche, G. HDL Cholesterol Efflux Capacity and Cardiovascular Events in Patients With Chronic Kidney Disease. J. Am. Coll. Cardiol. 2017, 69, 246–247. [Google Scholar] [CrossRef]
- Calabresi, L.; Simonelli, S.; Conca, P.; Busnach, G.; Cabibbe, M.; Gesualdo, L.; Gigante, M.; Penco, S.; Veglia, F.; Franceschini, G. Acquired Lecithin:Cholesterol Acyltransferase Deficiency as a Major Factor in Lowering Plasma HDL Levels in Chronic Kidney Disease. J. Intern. Med. 2015, 277, 552–561. [Google Scholar] [CrossRef]
- Stadler, J.T.; Bärnthaler, T.; Borenich, A.; Emrich, I.E.; Habisch, H.; Rani, A.; Holzer, M.; Madl, T.; Heine, G.H.; Marsche, G. Low LCAT Activity Is Linked to Acute Decompensated Heart Failure and Mortality in CKD Patients. J. Lipid Res. 2024, 65, 100624. [Google Scholar] [CrossRef]
- Rubinow, K.B.; Henderson, C.M.; Robinson-Cohen, C.; Himmelfarb, J.; de Boer, I.H.; Vaisar, T.; Kestenbaum, B.; Hoofnagle, A.N. Kidney Function Is Associated with an Altered Protein Composition of High-Density Lipoprotein. Kidney Int. 2017, 92, 1526–1535. [Google Scholar] [CrossRef]
- Marsche, G.; Heine, G.H.; Stadler, J.T.; Holzer, M. Current Understanding of the Relationship of HDL Composition, Structure and Function to Their Cardioprotective Properties in Chronic Kidney Disease. Biomolecules 2020, 10, 1348. [Google Scholar] [CrossRef]
- Holzer, M.; Schilcher, G.; Curcic, S.; Trieb, M.; Ljubojevic, S.; Stojakovic, T.; Scharnagl, H.; Kopecky, C.M.; Rosenkranz, A.R.; Heinemann, A.; et al. Dialysis Modalities and HDL Composition and Function. J. Am. Soc. Nephrol. 2015, 26, 2267–2276. [Google Scholar] [CrossRef] [PubMed]
- Xu, Z.; Yang, S.; Cui, L. Understanding the Heterogeneity and Dysfunction of HDL in Chronic Kidney Disease: Insights from Recent Reviews. BMC Nephrol. 2024, 25, 400. [Google Scholar] [CrossRef] [PubMed]
- Pavanello, C.; Ossoli, A. HDL and Chronic Kidney Disease. Atheroscler. Plus 2023, 52, 9–17. [Google Scholar] [CrossRef] [PubMed]
- Holzer, M.; Birner-Gruenberger, R.; Stojakovic, T.; El-Gamal, D.; Binder, V.; Wadsack, C.; Heinemann, A.; Marsche, G. Uremia Alters HDL Composition and Function. J. Am. Soc. Nephrol. 2011, 22, 1631–1641. [Google Scholar] [CrossRef]
- Jurek, A.; Turyna, B.; Kubit, P.; Klein, A. The Ability of HDL to Inhibit VCAM-1 Expression and Oxidized LDL Uptake Is Impaired in Renal Patients. Clin. Biochem. 2008, 41, 1015–1018. [Google Scholar] [CrossRef]
- Vaziri, N.D.; Moradi, H.; Pahl, M.V.; Fogelman, A.M.; Navab, M. In Vitro Stimulation of HDL Anti-Inflammatory Activity and Inhibition of LDL pro-Inflammatory Activity in the Plasma of Patients with End-Stage Renal Disease by an apoA-1 Mimetic Peptide. Kidney Int. 2009, 76, 437–444. [Google Scholar] [CrossRef]
- Anderson, J.L.C.; Gautier, T.; Nijstad, N.; Tölle, M.; Schuchardt, M.; van der Giet, M.; Tietge, U.J.F. High Density Lipoprotein (HDL) Particles from End-Stage Renal Disease Patients Are Defective in Promoting Reverse Cholesterol Transport. Sci. Rep. 2017, 7, 41481. [Google Scholar] [CrossRef]
- Shroff, R.; Speer, T.; Colin, S.; Charakida, M.; Zewinger, S.; Staels, B.; Chinetti-Gbaguidi, G.; Hettrich, I.; Rohrer, L.; O’Neill, F.; et al. HDL in Children with CKD Promotes Endothelial Dysfunction and an Abnormal Vascular Phenotype. J. Am. Soc. Nephrol. 2014, 25, 2658. [Google Scholar] [CrossRef]
- Yamamoto, S.; Yancey, P.G.; Ikizler, T.A.; Jerome, W.G.; Kaseda, R.; Cox, B.; Bian, A.; Shintani, A.; Fogo, A.B.; Linton, M.F.; et al. Dysfunctional High-Density Lipoprotein in Patients With Chronic Hemodialysis. J. Am. Coll. Cardiol. 2012, 60, 2372–2379. [Google Scholar] [CrossRef]
- Emrich, I.E.; Zawada, A.M.; Martens-Lobenhoffer, J.; Fliser, D.; Wagenpfeil, S.; Heine, G.H.; Bode-Böger, S.M. Symmetric Dimethylarginine (SDMA) Outperforms Asymmetric Dimethylarginine (ADMA) and Other Methylarginines as Predictor of Renal and Cardiovascular Outcome in Non-Dialysis Chronic Kidney Disease. Clin. Res. Cardiol. 2018, 107, 201–213. [Google Scholar] [CrossRef]
- Streese, L.; Habisch, H.; Deiseroth, A.; Carrard, J.; Infanger, D.; Schmidt-Trucksäss, A.; Madl, T.; Hanssen, H. Lipoprotein Subclasses Independently Contribute to Subclinical Variance of Microvascular and Macrovascular Health. Molecules 2022, 27, 4760. [Google Scholar] [CrossRef]
- Klobučar, I.; Degoricija, V.; Potočnjak, I.; Trbušić, M.; Pregartner, G.; Berghold, A.; Fritz-Petrin, E.; Habisch, H.; Madl, T.; Frank, S. HDL-apoA-II Is Strongly Associated with 1-Year Mortality in Acute Heart Failure Patients. Biomedicines 2022, 10, 1668. [Google Scholar] [CrossRef]
- Francis, A.; Harhay, M.N.; Ong, A.C.M.; Tummalapalli, S.L.; Ortiz, A.; Fogo, A.B.; Fliser, D.; Roy-Chaudhury, P.; Fontana, M.; Nangaku, M.; et al. Chronic Kidney Disease and the Global Public Health Agenda: An International Consensus. Nat. Rev. Nephrol. 2024, 20, 473–485. [Google Scholar] [CrossRef]
- Borg, R.; Carlson, N.; Søndergaard, J.; Persson, F. The Growing Challenge of Chronic Kidney Disease: An Overview of Current Knowledge. Int. J. Nephrol. 2023, 2023, 9609266. [Google Scholar] [CrossRef]
- Lousa, I.; Reis, F.; Beirão, I.; Alves, R.; Belo, L.; Santos-Silva, A. New Potential Biomarkers for Chronic Kidney Disease Management—A Review of the Literature. Int. J. Mol. Sci. 2021, 22, 43. [Google Scholar] [CrossRef]
- Tummalapalli, L.; Nadkarni, G.N.; Coca, S.G. Biomarkers For Predicting Outcomes in Chronic Kidney Disease. Curr. Opin. Nephrol. Hypertens. 2016, 25, 480. [Google Scholar] [CrossRef]
- Maringhini, S.; Zoccali, C. Chronic Kidney Disease Progression—A Challenge. Biomedicines 2024, 12, 2203. [Google Scholar] [CrossRef]
- Kontush, A.; Chapman, M.J. Antiatherogenic Function of HDL Particle Subpopulations: Focus on Antioxidative Activities. Curr. Opin. Lipidol. 2010, 21, 312–318. [Google Scholar] [CrossRef]
- Kuchta, A.; Ćwiklińska, A.; Czaplińska, M.; Wieczorek, E.; Kortas-Stempak, B.; Gliwińska, A.; Dąbkowski, K.; Sałaga-Zaleska, K.; Mickiewicz, A.; Dębska-Ślizień, A.; et al. Plasma Levels of Preβ1-HDL Are Significantly Elevated in Non-Dialyzed Patients with Advanced Stages of Chronic Kidney Disease. Int. J. Mol. Sci. 2019, 20, 1202. [Google Scholar] [CrossRef]
- Silbernagel, G.; Genser, B.; Drechsler, C.; Scharnagl, H.; Grammer, T.B.; Stojakovic, T.; Krane, V.; Ritz, E.; Wanner, C.; März, W. HDL Cholesterol, Apolipoproteins, and Cardiovascular Risk in Hemodialysis Patients. J. Am. Soc. Nephrol. 2015, 26, 484. [Google Scholar] [CrossRef]
- Pammer, A.; Klobučar, I.; Stadler, J.T.; Meissl, S.; Habisch, H.; Madl, T.; Frank, S.; Degoricija, V.; Marsche, G. Impaired HDL Antioxidant and Anti-Inflammatory Functions Are Linked to Increased Mortality in Acute Heart Failure Patients. Redox Biol. 2024, 76, 103341. [Google Scholar] [CrossRef]
- Singh, A.K.; Acharya, A.; Carroll, K.; Lopes, R.D.; McCausland, F.R.; Mulloy, L.; Perkovic, V.; Solomon, S.; Waikar, S.S.; Wanner, C.; et al. Causes of Death in Patients with Chronic Kidney Disease: Insights from the ASCEND-D and ASCEND-ND Cardiovascular Outcomes Trials. Eur. Heart J. 2022, 43, ehac544.1053. [Google Scholar] [CrossRef]
- Rani, A.; Stadler, J.T.; Marsche, G. HDL-Based Therapeutics: A Promising Frontier in Combating Viral and Bacterial Infections. Pharmacol. Ther. 2024, 260, 108684. [Google Scholar] [CrossRef]
- Hamilton, F.; Pedersen, K.M.; Ghazal, P.; Nordestgaard, B.G.; Smith, G.D. Low Levels of Small HDL Particles Predict but Do Not Influence Risk of Sepsis. Crit. Care 2023, 27, 389. [Google Scholar] [CrossRef]
- Maïga, S.F.; Kalopissis, A.-D.; Chabert, M. Apolipoprotein A-II Is a Key Regulatory Factor of HDL Metabolism as Appears from Studies with Transgenic Animals and Clinical Outcomes. Biochimie 2014, 96, 56–66. [Google Scholar] [CrossRef]
- Florea, G.; Tudorache, I.F.; Fuior, E.V.; Ionita, R.; Dumitrescu, M.; Fenyo, I.M.; Bivol, V.G.; Gafencu, A.V. Apolipoprotein A-II, a Player in Multiple Processes and Diseases. Biomedicines 2022, 10, 1578. [Google Scholar] [CrossRef]
- Gao, X.; Yuan, S.; Jayaraman, S.; Gursky, O. Role of Apolipoprotein A-II in the Structure and Remodeling of Human High-Density Lipoprotein (HDL): Protein Conformational Ensemble on HDL. Biochemistry 2012, 51, 4633–4641. [Google Scholar] [CrossRef]
- Gomaraschi, M.; Sinagra, G.; Serdoz, L.V.; Pitzorno, C.; Fonda, M.; Cattin, L.; Calabresi, L.; Franceschini, G. The Plasma Concentration of Lpa-I:A-II Particles as a Predictor of the Inflammatory Response in Patients with ST-Elevation Myocardial Infarction. Atherosclerosis 2009, 202, 304–311. [Google Scholar] [CrossRef]
- Melchior, J.T.; Street, S.E.; Vaisar, T.; Hart, R.; Jerome, J.; Kuklenyik, Z.; Clouet-Foraison, N.; Thornock, C.; Bedi, S.; Shah, A.S.; et al. Apolipoprotein A-I Modulates HDL Particle Size in the Absence of Apolipoprotein A-II. J. Lipid Res. 2021, 62, 100099. [Google Scholar] [CrossRef]
- Shao, B.; Mathew, A.V.; Thornock, C.; Pennathur, S. Altered HDL Proteome Predicts Incident CVD in Chronic Kidney Disease Patients. J. Lipid Res. 2021, 62, 100135. [Google Scholar] [CrossRef]
- Camont, L.; Lhomme, M.; Rached, F.; Le Goff, W.; Nègre-Salvayre, A.; Salvayre, R.; Calzada, C.; Lagarde, M.; Chapman, M.J.; Kontush, A. Small, Dense High-Density Lipoprotein-3 Particles Are Enriched in Negatively Charged Phospholipids. Arterioscler. Thromb. Vasc. Biol. 2013, 33, 2715–2723. [Google Scholar] [CrossRef]
- Sørensen, I.M.H.; Bisgaard, L.S.; Bjergfelt, S.S.; Ballegaard, E.L.F.; Biering-Sørensen, T.; Landler, N.E.; Pedersen, T.X.; Kofoed, K.F.; Lange, T.; Feldt-Rasmussen, B.; et al. The Metabolic Signature of Cardiovascular Disease and Arterial Calcification in Patients with Chronic Kidney Disease. Atherosclerosis 2022, 350, 109–118. [Google Scholar] [CrossRef]
- Shao, B.; Afshinnia, F.; Mathew, A.V.; Ronsein, G.E.; Thornock, C.; Irwin, A.D.; Kansal, M.; Rao, P.S.; Dobre, M.; Al-Kindi, S.; et al. Low Concentrations of Medium-Sized HDL Particles Predict Incident CVD in Chronic Kidney Disease Patients. J. Lipid Res. 2023, 64, 100381. [Google Scholar] [CrossRef]
- Costacou, T.; Vaisar, T.; Miller, R.G.; Davidson, W.S.; Heinecke, J.W.; Orchard, T.J.; Bornfeldt, K.E. High-Density Lipoprotein Particle Concentration and Size Predict Incident Coronary Artery Disease Events in a Cohort With Type 1 Diabetes. J. Am. Heart Assoc. 2024, 13, e034763. [Google Scholar] [CrossRef]



| Characteristic | Survived (n = 377) | Deceased (n = 86) | All (n = 463) | p-Value |
|---|---|---|---|---|
| Age (years) | 63 (12) | 72 (9) | 65 (12) | <0.001 1 |
| Sex, Female (n, %) | 158 (42%) | 22 (26%) | 180 (39%) | 0.005 2 |
| BMI (kg/m2) | 30.3 (26.9, 33.4) | 29.6 (26.3–33.7) | 30.1 (26.8, 33.4) | 0.533 3 |
| eGFR (ml/min/m2) | 48.8 (37.2, 59.) | 33.6 (25.5, 45.0) | 46.5 (33.7, 57.5) | <0.001 3 |
| CKD severity stages | ||||
| CKD stage G2 (%) | 92 (24.4%) | 6 (7.0%) | 98 (21.2%) | <0.001 2 |
| CKD stage G3a (%) | 136 (36.1%) | 15 (17.4%) | 151 (32.6%) | <0.001 2 |
| CKD stage G3b (%) | 96 (25.5%) | 34 (39.5%) | 130 (28.1%) | 0.009 2 |
| CKD stage G4 (%) | 53 (14.1%) | 31 (36.0%) | 84 (18.1%) | <0.001 2 |
| CRP (mg/L) | 2.4 (1.1, 4.5) | 4.0 (1.8, 7.7) | 2.7 (1.1, 5.0) | <0.001 3 |
| Hba1c (%) | 5.8 (5.5, 6.4) | 5.8 (5.6, 7.1) | 5.8 (5.5, 6.4) | 0.559 3 |
| GOT (U/L) | 26 (22, 31) | 25 (21, 31) | 26 (22, 31) | 0.606 3 |
| Prevalent CVD (n, %) | 101 (27%) | 50 (58%) | 151 (33%) | <0.001 2 |
| Diabetes Mellitus (n, %) | 133 (35%) | 47 (55%) | 180 (39%) | <0.001 2 |
| Current smoking (n, %) | 49 (13%) | 3 (4%) | 52 (11%) | 0.012 2 |
| Statins (n, %) | 192 (51%) | 48 (56%) | 240 (52%) | 0.413 2 |
| Other lipid-lowering drugs (n, %) | 46 (12%) | 8 (9%) | 54 (12%) | 0.450 2 |
| Systolic BP (mmHg) | 149 (137, 166) | 154 (139, 173) | 149 (137, 167) | 0.129 3 |
| Diastolic BP (mmHg) | 86 (77, 95) | 82 (72, 89) | 85 (76, 94) | 0.002 3 |
| Total cholesterol (mg/dL) | 196 (167,228) | 182 (154, 215) | 192 (165, 224) | 0.007 3 |
| Triglycerides (mg/dL) | 150 (109, 212) | 144 (107, 210) | 149 (109, 211) | 0.433 3 |
| LDL-cholesterol (mg/dL) | 93 (75, 116) | 86 (61, 100) | 92 (72, 114) | 0.004 3 |
| HDL-cholesterol (mg/dL) | 52 (45, 61) | 49 (42, 57) | 51 (45, 61) | 0.030 3 |
| Model 1 | Model 2 | |||
|---|---|---|---|---|
| Parameter | HR (95% CI) Per 1 SD | p-Value | HR (95% CI) Per 1 SD | p-Value |
| Total HDL-cholesterol | 0.97 (0.75, 1.26) | 0.827 | 1.10 (0.86, 1.42) | 0.457 |
| S-HDL-cholesterol | 0.75 (0.58, 0.96) | 0.019 | 0.89 (0.69, 1.16) | 0.376 |
| XS-HDL-cholesterol | 0.67 (0.53, 0.84) | <0.001 | 0.77 (0.60, 0.98) | 0.031 |
| Total HDL-ApoA-I | 0.83 (0.64, 1.08) | 0.165 | 1.01 (0.78, 1.30) | 0.940 |
| S-HDL-ApoA-I | 0.77 (0.60, 0.99) | 0.032 | 0.92 (0.71, 1.18) | 0.502 |
| XS-HDL-ApoA-I | 0.65 (0.52, 0.81) | <0.001 | 0.76 (0.60, 0.97) | 0.028 |
| Total HDL-ApoA-II | 0.69 (0.54, 0.88) | 0.002 | 0.83 (0.64, 1.07) | 0.144 |
| S-HDL-ApoA-II | 0.75 (0.59, 0.96) | 0.016 | 0.87 (0.68, 1.11) | 0.254 |
| XS-HDL-ApoA-II | 0.59 (0.47, 0.74) | <0.001 | 0.69 (0.53, 0.88) | 0.003 |
| CVD Mortality (n = 44) | ||
|---|---|---|
| Parameter | HR (95% CI) Per 1 SD | p-Value |
| XS-HDL-cholesterol | 0.82 (0.57, 1.18) | 0.288 |
| XS-HDL-ApoA-I | 0.79 (0.56, 1.14) | 0.208 |
| XS-HDL-ApoA-II | 0.79 (0.56, 1.11) | 0.172 |
Disclaimer/Publisher’s Note: The statements, opinions and data contained in all publications are solely those of the individual author(s) and contributor(s) and not of MDPI and/or the editor(s). MDPI and/or the editor(s) disclaim responsibility for any injury to people or property resulting from any ideas, methods, instructions or products referred to in the content. |
© 2024 by the authors. Licensee MDPI, Basel, Switzerland. This article is an open access article distributed under the terms and conditions of the Creative Commons Attribution (CC BY) license (https://creativecommons.org/licenses/by/4.0/).
Share and Cite
Stadler, J.T.; Borenich, A.; Pammer, A.; Emrich, I.E.; Habisch, H.; Madl, T.; Heine, G.H.; Marsche, G. Association of Small HDL Subclasses with Mortality Risk in Chronic Kidney Disease. Antioxidants 2024, 13, 1511. https://doi.org/10.3390/antiox13121511
Stadler JT, Borenich A, Pammer A, Emrich IE, Habisch H, Madl T, Heine GH, Marsche G. Association of Small HDL Subclasses with Mortality Risk in Chronic Kidney Disease. Antioxidants. 2024; 13(12):1511. https://doi.org/10.3390/antiox13121511
Chicago/Turabian StyleStadler, Julia T., Andrea Borenich, Anja Pammer, Insa E. Emrich, Hansjörg Habisch, Tobias Madl, Gunnar H. Heine, and Gunther Marsche. 2024. "Association of Small HDL Subclasses with Mortality Risk in Chronic Kidney Disease" Antioxidants 13, no. 12: 1511. https://doi.org/10.3390/antiox13121511
APA StyleStadler, J. T., Borenich, A., Pammer, A., Emrich, I. E., Habisch, H., Madl, T., Heine, G. H., & Marsche, G. (2024). Association of Small HDL Subclasses with Mortality Risk in Chronic Kidney Disease. Antioxidants, 13(12), 1511. https://doi.org/10.3390/antiox13121511

